UV-A Treatment of ZrO2 Thin Films Fabricated by Environmental Friendlier Water-Based Solution Processing: Structural and Optical Studies
Abstract
:1. Introduction
2. Materials and Methods
3. Results and Discussion
3.1. Study of Structure and Surface Morphology of UV-A Exposed ZrO2 Films
3.1.1. XRD Analysis
3.1.2. Study of Raman Spectra
3.1.3. Study of AFM Images
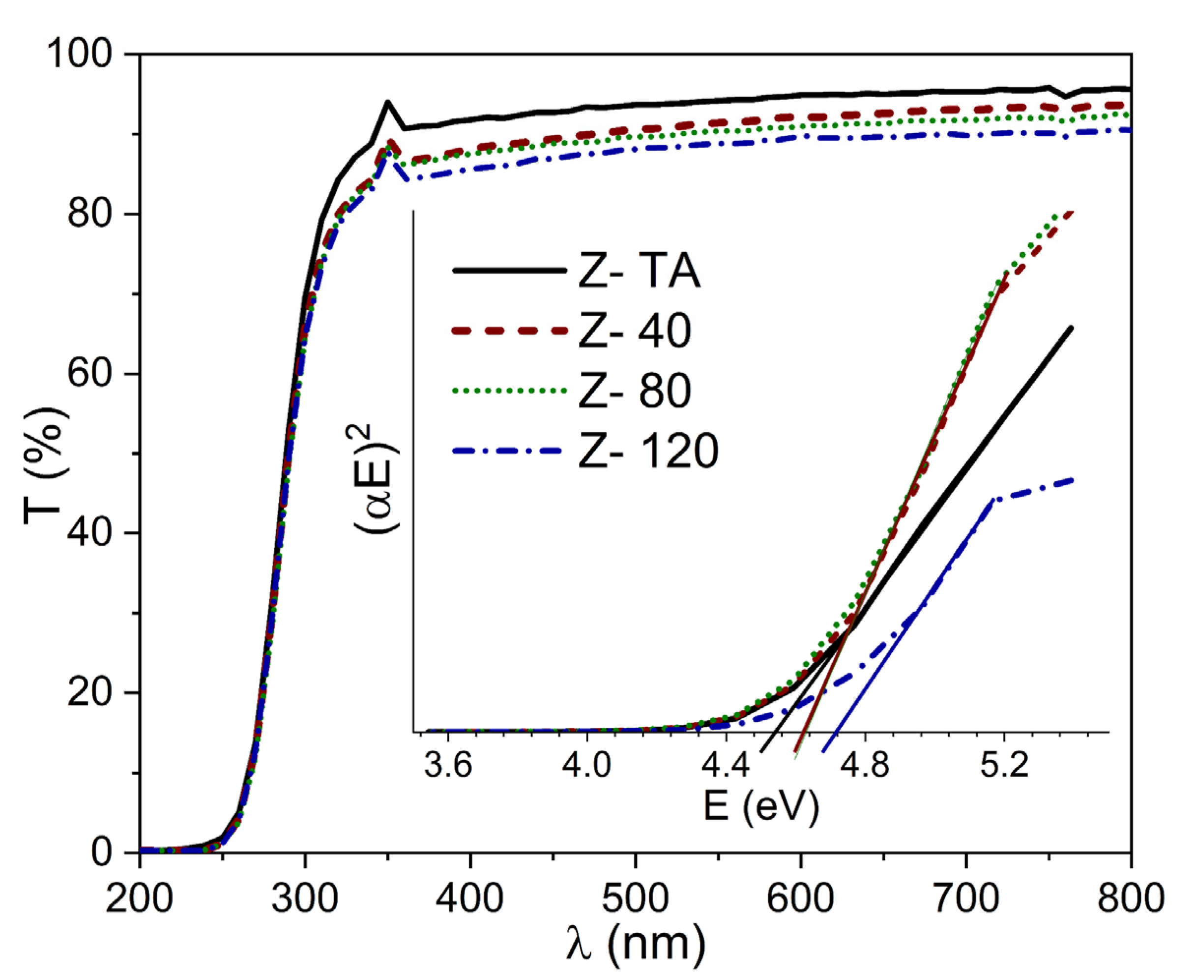
3.2. Optical Properties
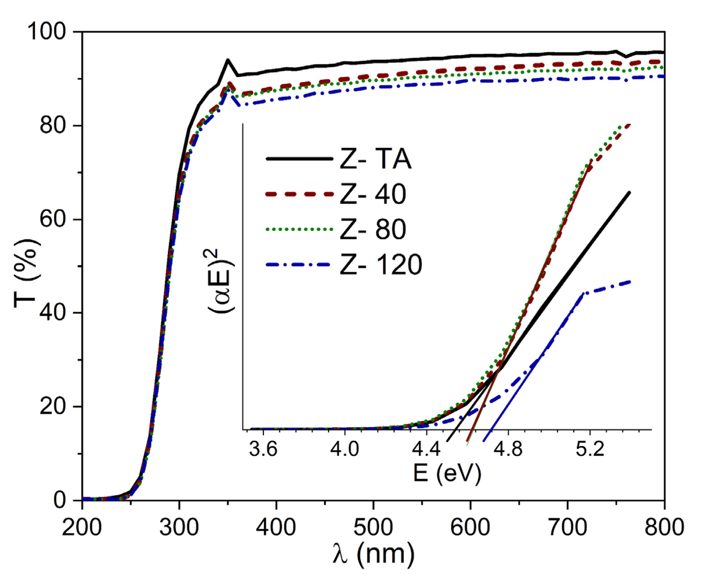
3.2.1. UV–Vis Analysis
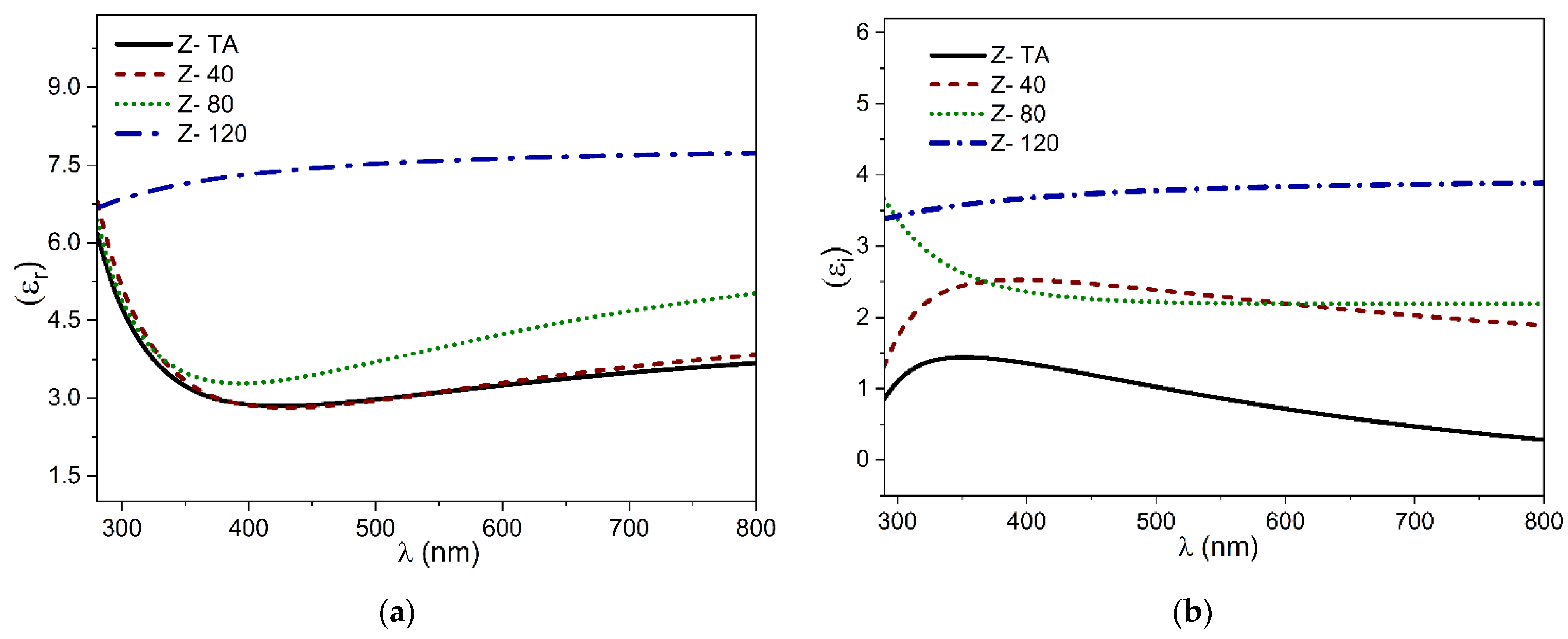
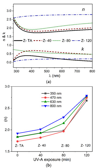
3.2.2. Optical Constants from Spectroscopic Ellipsometry (SE)
3.2.3. Photoluminescence (PL) Studies
4. Conclusions
Author Contributions
Funding
Institutional Review Board Statement
Informed Consent Statement
Data Availability Statement
Conflicts of Interest
References
- Balog, M.; Schieber, M.; Michman, M.; Patai, S. The chemical vapour deposition and characterization of ZrO2 films from organometallic compounds. Thin Solid Films 1977, 47, 109–120. [Google Scholar] [CrossRef]
- Ibrahim, M.M. Photocatalytic activity of nanostructured ZnO–ZrO2 binary oxide using fluorometric method. Spectrochim. Acta A Mol. Biomol. Spectrosc. 2015, 145, 487–492. [Google Scholar] [CrossRef]
- Zegtouf, H.; Saoula, N.; Azibi, M.; Bait, L.; Madaoui, N.; Khelladi, M.R.; Kechouane, M. A study of properties of ZrO2 thin films deposited by magnetron sputtering under different plasma parameters: Biomedical application. J. Electr. Eng. 2019, 70, 117. [Google Scholar] [CrossRef] [Green Version]
- Khan, M.A.; Gondal, M.A.; Khawaja, E.E. A gas pressure sensor based on ZrO2 thin films for use at high temperatures. Int. J. Electron. 2000, 87, 227–234. [Google Scholar] [CrossRef]
- Velumani, M.; Meher, S.R.; Balakrishnan, L.; Sivacoumar, R.; Alex, Z.C. ZrO2-ZnO composite thin films for humidity sensing. In Proceedings of the AIP Conference, Uttar Pradesh, India, 21–25 December 2016; p. 080032. [Google Scholar]
- Stefanov, P.; Atanasova, G.; Marinova, T.; Gómez-García, J.; Sanz, J.M.; Caballero, A.; Morales, J.J.; Cordón, A.M.; González-Elipe, A.R. Characterization of Co/ZrO2 de-NOX Thin Film Catalysts Prepared by Magnetron Sputtering. Catal. Lett. 2003, 90, 195–203. [Google Scholar] [CrossRef]
- Liu, G.X.; Liu, A.; Shan, F.K.; Meng, Y.; Shin, B.C.; Fortunato, E.; Martins, R. High-performance fully amorphous bilayer metal-oxide thin film transistors using ultra-thin solution-processed ZrOx dielectric. Appl. Phys. Lett. 2014, 105, 113509. [Google Scholar] [CrossRef]
- Oluwabi, A.T.; Katerski, A.; Carlos, E.; Branquinho, R.; Mere, A.; Krunks, M.; Fortunato, E.; Pereira, L.; Oja Acik, I. Application of ultrasonic sprayed zirconium oxide dielectric in zinc tin oxide-based thin film transistor. J. Mater. Chem. C 2020, 8, 3730–3739. [Google Scholar] [CrossRef]
- Pešić, M.; Knebel, S.; Geyer, M.; Schmelzer, S.; Böttger, U.; Kolomiiets, N.; Afanas’ev, V.V.; Cho, K.; Jung, C.; Chang, J.; et al. Low leakage ZrO2 based capacitors for sub 20 nm dynamic random access memory technology nodes. J. App. Phys. 2016, 119, 064101. [Google Scholar] [CrossRef] [Green Version]
- Desforges, J.; Robichaud, L.; Gauvin, S. Determination of Optical Properties of Thin Films from Ketteler-Helmholtz Dispersion Relations: Application to the Case of Ultraviolet Irradiated Zirconium Oxide. Adv. Mater. Sci. Eng. 2017, 2017, 8285230. [Google Scholar] [CrossRef] [Green Version]
- Dong, X.; Xia, G.; Zhang, Q.; Li, L.; Gong, H.; Bi, J.; Wang, S. Room-temperature UV-ozone assisted solution process for zirconium oxide films with high dielectric properties. Ceram. Int. 2017, 43, 15205–15213. [Google Scholar] [CrossRef]
- Méndez-López, A.; Zelaya-Ángel, O.; Toledano-Ayala, M.; Torres-Pacheco, I.; Pérez-Robles, J.F.; Acosta-Silva, Y.J. The Influence of Annealing Temperature on the Structural and Optical Properties of ZrO2 Thin Films and How Affects the Hydrophilicity. Cryst 2020, 10, 454. [Google Scholar] [CrossRef]
- Nishizawa, K.; Miki, T.; Suzuki, K.; Kato, K. Wavelength dependence of crystallization of alkoxy-derived ZrO2 thin films prepared by ultraviolet irradiation. J. Mater. Res. 2005, 20, 3133–3140. [Google Scholar] [CrossRef]
- Heuer, A.H. Science and Technology of Zirconia (Advances in Ceramics); The American Ceramic Society: Westerville, OH, USA, 1981. [Google Scholar]
- Xu, X.; Cui, Q.; Jin, Y.; Guo, X. Low-voltage zinc oxide thin-film transistors with solution-processed channel and dielectric layers below 150 °C. Appl. Phys. Lett. 2012, 101, 222114. [Google Scholar] [CrossRef]
- Azorín, J.; Rivera, T.; Furetta, C.; Sánchez-Rodríguez, A. Ultraviolet Induced Thermoluminescence in Gadolinium-Doped Zirconium Oxide Films. Mater. Sci. Forum. 2005, 480–481, 145–148. [Google Scholar] [CrossRef]
- Han, A.; Ding, H.; Tsoi, J.K.H.; Imazato, S.; Matinlinna, J.P.; Chen, Z. Prolonged UV-C Irradiation is a Double-Edged Sword on the Zirconia Surface. ACS Omega 2020, 5, 5126–5133. [Google Scholar] [CrossRef] [PubMed] [Green Version]
- Chang, C.-L.; Ramanathan, S. A Theoretical Approach to Investigate Low-Temperature Nanoscale Oxidation of Metals under UV Radiation. J. Electrochem. Soc. 2007, 154, G160. [Google Scholar] [CrossRef]
- Tsuchiya, M.; Ramanathan, S. Effect of photon irradiation on structure of yttria-doped zirconia thin films grown on semiconductor substrates. Appl. Phys. Lett. 2007, 91, 253104. [Google Scholar] [CrossRef]
- Liu, G.X.; Liu, A.; Meng, Y.; Shan, F.K.; Shin, B.C.; Lee, W.J.; Cho, C.R. Annealing Dependence of Solution-Processed Ultra-Thin ZrO x Films for Gate Dielectric Applications. J. Nanosci. Nanotechnol. 2015, 15, 2185–2191. [Google Scholar] [CrossRef] [PubMed]
- Lin, C.; Zhang, C.; Lin, J. Phase Transformation and Photoluminescence Properties of Nanocrystalline ZrO2 Powders Prepared via the Pechini-type Sol−Gel Process. J. Phys. Chem. C 2007, 111, 3300–3307. [Google Scholar] [CrossRef]
- Rim, Y.S.; Lim, H.S.; Kim, H.J. Low-Temperature Metal-Oxide Thin-Film Transistors Formed by Directly Photopatternable and Combustible Solution Synthesis. ACS Appl. Mater. Interfaces 2013, 5, 3565–3571. [Google Scholar] [CrossRef]
- Bashir, A.; Majeed, A.; Naseem, S.; Bhatti, A.S. Investigation of structural and optical parameters of yttrium-doped ZnO thin films prepared via spin coating of simple aqueous solution. Bull. Mater. Sci. 2021, 44, 95. [Google Scholar] [CrossRef]
- Li, Z.; Su, K. The direct reaction between CO2 and phenol catalyzed by bifunctional catalyst ZrO2. J. Mol. Catal. A: Chem. 2007, 277, 180–184. [Google Scholar] [CrossRef]
- Jung, K.T.; Shul, Y.G.; Bell, A.T. The preparation and surface characterization of zirconia polymorphs. Korean. J. Chem. Eng. 2001, 18, 992–999. [Google Scholar] [CrossRef]
- Shen, Y.; Shao, S.; Yu, H.; Fan, Z.; He, H.; Shao, J. Influences of oxygen partial pressure on structure and related properties of ZrO2 thin films prepared by electron beam evaporation deposition. Appl. Surf. Sci. 2007, 254, 552–556. [Google Scholar] [CrossRef]
- Manivasakan, P.; Rajendran, V.; Ranjan Rauta, P.; Bandhu Sahu, B.; Krushna Panda, B. Synthesis of Monoclinic and Cubic ZrO2 Nanoparticles from Zircon. J. Am. Ceram. Soc. 2011, 94, 1410–1420. [Google Scholar] [CrossRef]
- Benyagoub, A.; Levesque, F.; Couvreur, F.; Gibert-Mougel, C.; Dufour, C.; Paumier, E. Evidence of a phase transition induced in zirconia by high energy heavy ions. Appl. Phys. Lett. 2000, 77, 3197–3199. [Google Scholar] [CrossRef]
- Tiseanu, C.; Cojocaru, B.; Parvulescu, V.; Sanchez-Dominguez, M.; Primus, P.-A.; Boutonnet, M. Order and disorder effects in nano-ZrO2 investigated by micro-Raman and spectrally and temporarily resolved photoluminescence. Phys. Chem. Chem. Phys. 2012, 14, 12970–12981. [Google Scholar] [CrossRef]
- Strekalovskii, V.N.; Vovkotrub, É.G. Raman spectroscopy of materials based on zirconium dioxide. Refractories 1985, 26, 151–162. [Google Scholar] [CrossRef]
- Mirgorodsky, A.P.; Smirnov, M.B.; Quintard, P.E. Phonon spectra evolution and soft-mode instabilities of zirconia during the c-t-m transformation. J. Phys. Chem. Solids 1999, 60, 985. [Google Scholar] [CrossRef]
- Branquinho, R.; Salgueiro, D.; Santos, L.; Barquinha, P.; Pereira, L.; Martins, R.; Fortunato, E. Aqueous Combustion Synthesis of Aluminum Oxide Thin Films and Application as Gate Dielectric in GZTO Solution-Based TFTs. ACS Appl. Mater. Interfaces 2014, 6, 19592–19599. [Google Scholar] [CrossRef]
- Zhu, C.; Liu, A.; Liu, G.; Jiang, G.; Meng, Y.; Fortunato, E.; Martins, R.; Shan, F. Low-temperature, nontoxic water-induced high-k zirconium oxide dielectrics for low-voltage, high-performance oxide thin-film transistors. J. Mater. Chem. C 2016, 4, 10715–10721. [Google Scholar] [CrossRef]
- Cong, Y.; Li, B.; Lei, B.; Li, W. Long lasting phosphorescent properties of Ti doped ZrO2. J. Lumin. 2007, 126, 822–826. [Google Scholar] [CrossRef]
- Takahashi, T.; Nakabayashi, H.; Terasawa, T.; Masugata, K. Atomic force microscopy observation of TiO2 films deposited by dc reactive sputtering. J. Vac. Sci. Technol. A 2002, 20, 1205–1209. [Google Scholar] [CrossRef]
- Martin, N.; Rousselot, C.; Rondot, D.; Palmino, F.; Mercier, R. Microstructure modification of amorphous titanium oxide thin films during annealing treatment. Thin Solid Films 1997, 300, 113–121. [Google Scholar] [CrossRef]
- Bensaha, R.; Bensouyad, H. Heat Treatment—Conventional and Novel Applications; Czerwinski, F., Ed.; IntechOpen: London, UK, 2012. [Google Scholar] [CrossRef] [Green Version]
- Joy, K.; Berlin, I.J.; Nair, P.B.; Lakshmi, J.S.; Daniel, G.P.; Thomas, P.V. Effects of annealing temperature on the structural and photoluminescence properties of nanocrystalline ZrO2 thin films prepared by sol–gel route. J. Phys. Chem. Solids 2011, 72, 673–677. [Google Scholar] [CrossRef]
- Liu, M.; Fang, Q.; He, G.; Li, L.; Zhu, L.Q.; Li, G.H.; Zhang, L.D. Effect of post deposition annealing on the optical properties of HfOxNy films. Appl. Phys. Lett. 2006, 88, 192904. [Google Scholar] [CrossRef]
- French, R.H.; Glass, S.J.; Ohuchi, F.S.; Xu, Y.N.; Ching, W.Y. Experimental and theoretical determination of the electronic structure and optical properties of three phases of ZrO2. Phys. Rev. B 1994, 49, 5133–5142. [Google Scholar] [CrossRef]
- Yusoh, R.; Horprathum, M.; Eiamchai, P.; Chindaudom, P.; Aiempanakit, K. Determination of Optical and Physical Properties of ZrO2 Films by Spectroscopic Ellipsometry. Procedia Eng. 2012, 32, 745–751. [Google Scholar] [CrossRef] [Green Version]
- Wang, X.; Wu, G.; Zhou, B.; Shen, J. Effect of crystal structure on optical properties of sol–gel derived zirconia thin films. J. Alloys Compd. 2013, 556, 182–187. [Google Scholar] [CrossRef]
- Dimitrov, O.; Stambolova, I.; Vassilev, S.; Lazarova, K.; Babeva, T.; Mladenova, R. Surface and Morphological Features of ZrO2 Sol-Gel Coatings Obtained by Polymer Modified Solution. Mater. Proc. 2020, 2, 6. [Google Scholar] [CrossRef]
- An I, L.S.; Kang, B.; Lee, S.; Jeong, H.; Song, C. Optical, Electrical, and Structural Properties of Ultrathin Zirconium-oxide Films. J. Korean Phys. Soc. 2010, 57, 1811–1815. [Google Scholar] [CrossRef]
- Li, J.; Meng, S.; Niu, J.; Lu, H. Electronic structures and optical properties of monoclinic ZrO2 studied by first-principles local density approximation + U approach. J. Adv. Ceram. 2017, 6, 43–49. [Google Scholar] [CrossRef] [Green Version]
- Arsenev, P.A.; Bagdasarov, K.S.; Niklas, A.; Ryazantsev, A.D. X-ray and thermostimulated luminescence of 0.9 ZrO2–0.1 Y2O3 Single Crystals. Phys. Status Solidi (A) 1980, 62, 395–398. [Google Scholar] [CrossRef]
- Kumar, S.; Bhunia, S.; Ojha, A.K. Effect of calcination temperature on phase transformation, structural and optical properties of sol–gel derived ZrO2 nanostructures. Phys. E Low-Dimen Syst. Nanostruct. 2015, 66, 74–80. [Google Scholar] [CrossRef]
- Ghosh, M.; Karmakar, D.; Basu, S.; Jha, S.N.; Bhattacharyya, D.; Gadkari, S.C.; Gupta, S.K. Effect of size and aspect ratio on structural parameters and evidence of shape transition in zinc oxide nanostructures. J. Phys. Chem. Solids 2014, 75, 543–549. [Google Scholar] [CrossRef] [Green Version]
- Kumar, S.; Ojha, A.K. Room temperature ferromagnetism in undoped and Mn doped t-ZrO2 nanostructures originated due to oxygen vacancy and effect of Mn doping on its optical properties. Mater. Chem. Phys. 2016, 169, 13–20. [Google Scholar] [CrossRef]
- Emeline, A.; Kataeva, G.V.; Litke, A.S.; Rudakova, A.V.; Ryabchuk, V.K.; Serpone, N. Spectroscopic and Photoluminescence Studies of a Wide Band Gap Insulating Material: Powdered and Colloidal ZrO2 Sols. Langmuir 1998, 14, 5011–5022. [Google Scholar] [CrossRef]
- Lakshmi, J.S.; John Berlin, I.; Daniel, G.P.; Thomas, P.V.; Joy, K. Effect of calcination atmosphere on photoluminescence properties of nanocrystalline ZrO2 thin films prepared by sol–gel dip coating method. Physica B 2011, 406, 3050–3055. [Google Scholar] [CrossRef]
- Rajabi, M.; Shogh, S.; Iraji zad, A. Defect study of TiO2 nanorods grown by a hydrothermal method through photoluminescence spectroscopy. J. Lumin. 2015, 157, 235–242. [Google Scholar] [CrossRef]
- Kumari, L.; Li, W.Z.; Xu, J.M.; Leblanc, R.M.; Wang, D.Z.; Li, Y.; Guo, H.; Zhang, J. Controlled Hydrothermal Synthesis of Zirconium Oxide Nanostructures and Their Optical Properties. Cryst. Growth Des. 2009, 9, 3874–3880. [Google Scholar] [CrossRef]
- Matsumoto, T.; Kato, H.; Miyamoto, K.; Sano, M.; Zhukov, E.A.; Yao, T. Correlation between grain size and optical properties in zinc oxide thin films. Appl. Phys. Lett. 2002, 81, 1231–1233. [Google Scholar] [CrossRef]
- López, M.; Garrido, B.; García, C.; Pellegrino, P.; Pérez-Rodríguez, A.; Morante, J.R.; Bonafos, C.; Carrada, M.; Claverie, A. Elucidation of the surface passivation role on the photoluminescence emission yield of silicon nanocrystals embedded in SiO2. Appl. Phys. Lett. 2002, 80, 1637–1639. [Google Scholar] [CrossRef]
- Wolkin, M.V.; Jorne, J.; Fauchet, P.M.; Allan, G.; Delerue, C. Electronic States and Luminescence in Porous Silicon Quantum Dots: The Role of Oxygen. Phys. Rev. Lett. 1999, 82, 197–200. [Google Scholar] [CrossRef]







| UV-A = 330 nm Exposure (min) | Sample | RMS Roughness (nm) | Thickness (nm) | T (%) | Eg (eV) | n @ 630 nm |
|---|---|---|---|---|---|---|
| 00 | Z- TA thermally annealed at 350 °C for 1 h | 2.18 ± 0.89 | 181 | 94 | 4.62 | 1.83 |
| 40 | Z- 40 | 1.38 ± 0.68 | 184 | 90 | 4.60 | 1.92 |
| 80 | Z- 80 | 2.01 ± 0.95 | 179 | 91 | 4.70 | 2.15 |
| 120 | Z- 120 | 1.91 ± 0.84 | 230 | 88 | 4.62 | 2.77 |
| Sample | Z- TA | Z- 40 | Z- 80 | Z- 120 |
|---|---|---|---|---|
| Peak 1 FWHM (nm) | 373.87 5.70 ± 0.90 | 373.06 6.02 ± 1.18 | 374.17 6.85 ± 0.82 | 374.33 5.90 ± 1.53 |
| Peak 2 FWHM (nm) | 379.10 3.61 ± 0.85 | 379.47 2.45 ± 0.55 | 379.48 2.49 ± 0.51 | 379.17 2.88 ± 0.92 |
| Peak 3 FWHM (nm) | 386.59 2.04 ± 0.45 | 386.75 2.30 ± 0.34 | 386.65 2.01 ± 0.29 | 386.66 2.00 ± 0.30 |
| Peak 4 FWHM (nm) | 388.70 1.94 ± 0.45 | 388.86 1.98 ± 0.41 | 388.85 1.88 ± 0.35 | 388.72 2.01 ± 0.37 |
Publisher’s Note: MDPI stays neutral with regard to jurisdictional claims in published maps and institutional affiliations. |
© 2021 by the authors. Licensee MDPI, Basel, Switzerland. This article is an open access article distributed under the terms and conditions of the Creative Commons Attribution (CC BY) license (https://creativecommons.org/licenses/by/4.0/).
Share and Cite
Bashir, A.; Farooq, M.; Malik, A.; Naseem, S.; Bhatti, A.S. UV-A Treatment of ZrO2 Thin Films Fabricated by Environmental Friendlier Water-Based Solution Processing: Structural and Optical Studies. Coatings 2021, 11, 821. https://doi.org/10.3390/coatings11070821
Bashir A, Farooq M, Malik A, Naseem S, Bhatti AS. UV-A Treatment of ZrO2 Thin Films Fabricated by Environmental Friendlier Water-Based Solution Processing: Structural and Optical Studies. Coatings. 2021; 11(7):821. https://doi.org/10.3390/coatings11070821
Chicago/Turabian StyleBashir, Aneeqa, Mehwish Farooq, Abdul Malik, Shahzad Naseem, and Arshad Saleem Bhatti. 2021. "UV-A Treatment of ZrO2 Thin Films Fabricated by Environmental Friendlier Water-Based Solution Processing: Structural and Optical Studies" Coatings 11, no. 7: 821. https://doi.org/10.3390/coatings11070821
APA StyleBashir, A., Farooq, M., Malik, A., Naseem, S., & Bhatti, A. S. (2021). UV-A Treatment of ZrO2 Thin Films Fabricated by Environmental Friendlier Water-Based Solution Processing: Structural and Optical Studies. Coatings, 11(7), 821. https://doi.org/10.3390/coatings11070821

