Sign in to use this feature.

Years

Between: -

Subjects

remove_circle_outline
remove_circle_outline
remove_circle_outline
remove_circle_outline
remove_circle_outline
remove_circle_outline
remove_circle_outline
remove_circle_outline
remove_circle_outline

Journals

remove_circle_outline
remove_circle_outline
remove_circle_outline
remove_circle_outline
remove_circle_outline
remove_circle_outline
remove_circle_outline
remove_circle_outline
remove_circle_outline
remove_circle_outline
remove_circle_outline
remove_circle_outline
remove_circle_outline
remove_circle_outline
remove_circle_outline
remove_circle_outline
remove_circle_outline
remove_circle_outline
remove_circle_outline
remove_circle_outline
remove_circle_outline
remove_circle_outline
remove_circle_outline
remove_circle_outline
remove_circle_outline
remove_circle_outline
remove_circle_outline
remove_circle_outline
remove_circle_outline
remove_circle_outline
remove_circle_outline

Article Types

Countries / Regions

remove_circle_outline
remove_circle_outline
remove_circle_outline
remove_circle_outline
remove_circle_outline
remove_circle_outline
remove_circle_outline
remove_circle_outline
remove_circle_outline

Search Results (7,615)

Search Parameters:
Keywords = amorphous

Order results
Result details
Results per page
Select all
Export citation of selected articles as:
64 pages, 12360 KB  
Review
Nacre and Nacre-Inspired Materials: Historical Background, Definition, Fabrication Techniques and Gaps
by Naim Sedira, João Castro-Gomes, Jorge Pinto, Pengkou Hou and Sandra Pereira
Biomimetics 2026, 11(2), 148; https://doi.org/10.3390/biomimetics11020148 - 16 Feb 2026
Abstract
From Palaeolithic ornaments to modern biomimetics, the use of nacre and shells has evolved. Initially utilised for jewellery and tools, they now inspire the development of advanced materials. This paper reviews the current knowledge on nacre’s composition, focusing on the highly regulated biomineralisation [...] Read more.
From Palaeolithic ornaments to modern biomimetics, the use of nacre and shells has evolved. Initially utilised for jewellery and tools, they now inspire the development of advanced materials. This paper reviews the current knowledge on nacre’s composition, focusing on the highly regulated biomineralisation process wherein amorphous calcium carbonate (ACC) transforms into crystalline aragonite. It examines the important role of the organic matrix (specifically soluble, insoluble, and acidic proteins) in controlling crystal nucleation, growth, and polymorph selection. Scientists study natural nacre formation to create nacre-inspired composites for various applications. Charles Hatchett’s in 1799 shell categorisation, Sorby and Sowerby’s 19th-century microscopy, Taylor, Beedham, Bøggild, and Currey’s mid-20th-century research on bivalve structures, and mechanical property investigations in the 1970s are some of the major developments. The hierarchical structure, cooperative plastic deformation, surface asperities, organic–inorganic interactions, and interphase in such complex composite materials give rise to impressive mechanical properties. In the early 2000s, with the emergence of biomimetics, inspired by nacre, several macroscopic structural materials with uniform micro- and nanoscale architectures have been synthesised in recent decades, and their mechanical properties and potential applications have been explored. Modern nacre-inspired fabrication utilises 3D printing for precision, freeze casting for sustainability, and mineralisation for scalability. Techniques like layer-by-layer assembly and nanomaterial integration enhance mechanical performance through advanced interfacial engineering. Full article
Show Figures

Figure 1

19 pages, 6091 KB  
Article
Systematic Evaluation of Zn2+, Ca2+, and Co2+ Doping for Tailoring the Thermal, Structural, Morphological and Magnetic Performance of CdBi0.1Fe1.9O4@SiO2 Nanocomposites
by Thomas Dippong, Ioan Petean and Oana Cadar
Nanomaterials 2026, 16(4), 259; https://doi.org/10.3390/nano16040259 - 16 Feb 2026
Abstract
The influence of Zn2+, Ca2+ and Co2+ doping on the thermal, structural, morphological, and magnetic characteristics of CdBi0.1Fe1.9O4 nanoparticles synthetized via the sol–gel technique and calcined at 300, 600, 900 and 1200 °C was [...] Read more.
The influence of Zn2+, Ca2+ and Co2+ doping on the thermal, structural, morphological, and magnetic characteristics of CdBi0.1Fe1.9O4 nanoparticles synthetized via the sol–gel technique and calcined at 300, 600, 900 and 1200 °C was investigated. Thermal analysis revealed the initial formation of metallic glyoxylates up to 300 °C, followed by their decomposition into metal oxides and subsequent ferrite formation. X-ray diffraction revealed that the ferrites were poorly crystallized at lower temperatures, whereas at higher calcination temperatures all nanocomposites exhibited well-crystalized ferrites coexisting with the SiO2 matrix, except for the Co0.1Cd0.9Bi0.1Fe1.9O4@SiO2 nanocomposite, which formed a single, well-defined crystalline phase. Atomic force microscopy images revealed spherical ferrite particles encapsulated within an amorphous layer, with particle size, surface area, and coating thickness influenced by both the type of dopant ion and the calcination temperature. The structural parameters estimated by X-ray diffraction, as well as the magnetic characteristics, were strongly influenced by the dopant type and thermal treatment. These results demonstrate that the structural and magnetic characteristics of CdBi0.1Fe1.9O4 ferrites can be effectively tuned through controlled doping and calcination, providing insights for the design of tailored functional applications. Full article
Show Figures

Figure 1

26 pages, 2500 KB  
Article
Advancing Dry Powder Inhalers: A Complete Workflow for Carrier-Based Formulation Development
by Rodrigo Amorim, Navneet Sharma, Molly Gallagher, Christopher Bock, Kimberly B. Shepard and Beatriz Noriega-Fernandes
Pharmaceutics 2026, 18(2), 246; https://doi.org/10.3390/pharmaceutics18020246 - 15 Feb 2026
Abstract
Background/Objectives: Carrier-based dry powder inhaler (DPI) formulations remain the predominant platform for respiratory drug delivery. However, integrated development frameworks that align upstream particle engineering with downstream manufacturing are underdeveloped. This study aimed to develop a comprehensive Quality-by-Design (QbD) strategy that systematically connects jet [...] Read more.
Background/Objectives: Carrier-based dry powder inhaler (DPI) formulations remain the predominant platform for respiratory drug delivery. However, integrated development frameworks that align upstream particle engineering with downstream manufacturing are underdeveloped. This study aimed to develop a comprehensive Quality-by-Design (QbD) strategy that systematically connects jet milling, formulation design, and blending scale-up for carrier-based DPI products containing micronized crystalline active pharmaceutical ingredient (API). Methods: Phenytoin was selected as a model API to investigate process–formulation–performance relationships. Jet milling parameters were optimized to generate three distinct API particle size distributions while monitoring solid-state integrity. A design of experiments (DoE) evaluated the impact of API particle size and lactose fines level on aerodynamic performance (fine particle fraction, FPF) and powder processability (flowability, compressibility). High-shear and low-shear blending techniques were compared, and a novel V-shell blending scale-up methodology was developed based on maintaining particle fall velocity and total strain across multiple scales (one-, two-, and eight-quart). Results: Optimized jet milling produced inhalation grade API particles with controlled amorphous content localized to high-energy processes. DoE analysis identified a design space in which API Dv90 of 2.9–4.5 µm and coarse lactose <96% maximized both aerosolization and blend flowability. Low-shear blending achieved superior lung delivery (FPF 62.6 ± 1.7%) compared with high-shear micing (50.1 ± 1.5%). The particle-velocity-based scale up strategy produced statistically equivalent FPF and ED across all scales (p < 0.01), with content uniformity (RSD ≤ 5%) and variability comparable to commercial DPIs. Conclusions: This integrated QbD framework demonstrates that the co-optimization of particle size engineering, formulation composition, and blending dynamics is essential for achieving robust and scalable DPI products. The approach offers a material-sparing, efficient pathway from API characterization through commercial scale manufacturing and is broadly applicable to respiratory drug development. Full article
(This article belongs to the Special Issue Quality by Design in Pharmaceutical Manufacturing)
13 pages, 23791 KB  
Article
Enhanced Thermal Stability of Ni@TiO2 Core-Shell Nanoparticles
by Lucia Bajtošová, Nikoleta Štaffenová, Elena Chochoľaková, Jan Hanuš, Vladimír Šíma and Miroslav Cieslar
Metals 2026, 16(2), 225; https://doi.org/10.3390/met16020225 - 15 Feb 2026
Abstract
Ni@TiO2 core–shell nanoparticles were synthesized by magnetron sputtering and their structure verified by HRTEM and EDS analysis. The thermal stability of these particles was investigated using in situ TEM annealing and compared with that of pure Ni nanoparticles. While pure Ni particles [...] Read more.
Ni@TiO2 core–shell nanoparticles were synthesized by magnetron sputtering and their structure verified by HRTEM and EDS analysis. The thermal stability of these particles was investigated using in situ TEM annealing and compared with that of pure Ni nanoparticles. While pure Ni particles sinter at 450 °C and exhibit significant growth at 800 °C, Ni@TiO2 nanoparticles remain stable up to 700 °C, with the sintering onset between 700 and 800 °C. A simple thermal-mismatch model was applied to explain the stabilizing effect of the TiO2 shell, demonstrating that differences in thermal expansion between Ni and TiO2 generate interface stresses sufficient to crack the shell after the amorphous–rutile transformation. The TiO2 coating effectively delays Ni coalescence by 250 °C relative to bare Ni, highlighting its role as a protective shell against high-temperature sintering. Full article
(This article belongs to the Section Structural Integrity of Metals)
Show Figures

Figure 1

22 pages, 646 KB  
Review
Non-Operative, Micro- and Minimally Invasive Methods for Caries Treatment—A Narrative Review
by Veselina Todorova
J. Clin. Med. 2026, 15(4), 1534; https://doi.org/10.3390/jcm15041534 - 15 Feb 2026
Abstract
The management of dental caries has evolved from the traditional mechanical approach of “extension for prevention” to a biologically oriented philosophy centered on preserving natural tooth structures. Minimally invasive dentistry (MID) emphasizes early detection, risk assessment, prevention, and conservative intervention based on the [...] Read more.
The management of dental caries has evolved from the traditional mechanical approach of “extension for prevention” to a biologically oriented philosophy centered on preserving natural tooth structures. Minimally invasive dentistry (MID) emphasizes early detection, risk assessment, prevention, and conservative intervention based on the lesion’s activity and depth. This review outlines current evidence on non-operative, micro-invasive, and minimally invasive strategies, including fluoride therapy, remineralizing agents such as casein phosphopeptide–amorphous calcium phosphate (CPP-ACP), self-assembling peptides that promote biomimetic enamel repair, sealants, and resin infiltration. Minimally invasive operative methods employ advanced technologies for selective tissue removal—chemomechanical systems (Carisolv, Papacarie, Brix3000), sono-and airabrasion, and new-generation polymeric and ceramic burs (SmartBur, Cerabur) designed to preserve sound dentin. Laser photoablation, particularly with erbium lasers (Er:YAG, Er,Cr:YSGG), enables precise cavity preparation with minimal thermal and mechanical stress. These approaches enhance patient comfort, reduce anesthesia requirements, and maintain tooth vitality. Despite limitations related to cost, equipment, and operator sensitivity, MID represents not only a set of refined clinical techniques but also a comprehensive, evidence-based treatment philosophy founded on biological principles, structural preservation, and the promotion of long-term oral health. Full article
(This article belongs to the Special Issue Current Challenges in Clinical Dentistry: 3rd Edition)
Show Figures

Figure 1

26 pages, 11322 KB  
Article
Effect of HVOF Spraying Parameters on the Spraying Process and Particle Behavior of Amorphous Alloy Coatings
by Jianxing Yu, Zewei Dong, Yang Yu and Ruilong Gao
Coatings 2026, 16(2), 246; https://doi.org/10.3390/coatings16020246 - 14 Feb 2026
Viewed by 34
Abstract
High-velocity oxygen fuel (HVOF) spraying technology has been widely used to protect and repair the surface of mechanical parts and extend their service life. Spraying Fe-based amorphous alloy coatings can improve the corrosion resistance and fatigue resistance of the substrate. It is crucial [...] Read more.
High-velocity oxygen fuel (HVOF) spraying technology has been widely used to protect and repair the surface of mechanical parts and extend their service life. Spraying Fe-based amorphous alloy coatings can improve the corrosion resistance and fatigue resistance of the substrate. It is crucial to quantitatively elucidate the influence of process parameters on spraying behavior to achieve high-quality coatings. This study utilized a computational fluid-dynamics model to analyze the flight trajectories of flames and particles during HVOF spraying. Additionally, how parameters such as the O/F ratio, parallel barrel length, Laval nozzle diameter, and nitrogen flow rate affect flame and particle behavior was examined. These parameters were found to significantly impact the overall spraying process. As a result, the optimum structure and properties are obtained. In this study, the spray gun parameters were investigated to provide better guidance for the process and improve the quality and efficiency of the coating system. Full article
Show Figures

Graphical abstract

33 pages, 3094 KB  
Article
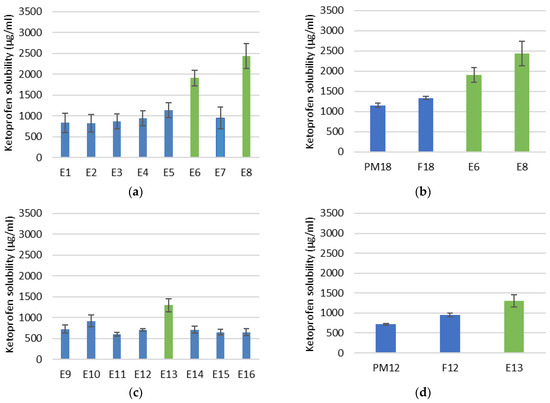
Evaluation of Process Parameters in the Development of Ternary Ketoprofen Amorphous Solid Dispersions via Hot Melt Extrusion
by Ana Stjepanović, Nemanja Todorović, Mihalj Poša, Ivana Marinković, Ivan Ristić, Zita Farkaš Agatić and Mladena Lalić-Popović
Pharmaceutics 2026, 18(2), 241; https://doi.org/10.3390/pharmaceutics18020241 - 14 Feb 2026
Viewed by 132
Abstract
Background/Objectives: Poor aqueous solubility of active pharmaceutical ingredients (APIs) remains a critical barrier to effective oral formulation. This study investigated the production of ketoprofen amorphous solid dispersions (ASDs) via hot melt extrusion (HME) using hydrophilic carriers and surfactants to enhance solubility and [...] Read more.
Background/Objectives: Poor aqueous solubility of active pharmaceutical ingredients (APIs) remains a critical barrier to effective oral formulation. This study investigated the production of ketoprofen amorphous solid dispersions (ASDs) via hot melt extrusion (HME) using hydrophilic carriers and surfactants to enhance solubility and dissolution. Methods: ASDs were prepared by the fusion method employing mannitol or polyethylene glycol (PEG) 4000 hydrophilic carriers and further modified by addition of poloxamer 188 or poloxamer 407 as surfactants. Solubility was evaluated, and the best performing formulations were selected for HME to assess the effect of extrusion parameters (temperature, screw speed and re-extrusion) on API solubility and dissolution. Selected ASD extrudates were formulated into tablets and capsules and further tested. Results: Ternary ASDs exhibited higher solubility than their binary counterparts. The combinations of high-concentration hydrophilic carrier (mannitol or PEG 4000) and poloxamer 407 proved the most effective. The HME-produced ASDs showed superior solubility compared to the simple fusion method, with temperature being the most critical processing parameter, while screw speed and re-extrusion were carrier dependent, enhancing solubility for mannitol-based ASDs but not for PEG 4000; re-extrusion also led to mild color changes and technological issues preventing further processing. The selected ASD extrudates were successfully formulated into tablets and capsules with good physical characteristics and dissolution profiles. Conclusions: These findings demonstrate the need to further investigate the potential of re-extrusion strategies and surfactant-enhanced ASD systems for improving the oral delivery of poorly soluble drugs. Full article
(This article belongs to the Special Issue Advances in Hot Melt Extrusion Technology)
Show Figures

Figure 1

11 pages, 2195 KB  
Article
Pulsed Laser Deposition of Mixed Sn@SnOx Phases Under Different Pressures of Reactive Oxygen Environments
by L. P. Rivera, César D. Rivera-Tello and J. G. Quiñones-Galván
Solids 2026, 7(1), 12; https://doi.org/10.3390/solids7010012 - 14 Feb 2026
Viewed by 73
Abstract
Tin oxide thin films were deposited by the pulsed laser ablation of a metallic Sn target at different oxygen partial pressures, ranging from 10 to 40 mTorr. Langmuir plasma probe diagnostics were performed to evaluate the effect of pressure on mean kinetic energy [...] Read more.
Tin oxide thin films were deposited by the pulsed laser ablation of a metallic Sn target at different oxygen partial pressures, ranging from 10 to 40 mTorr. Langmuir plasma probe diagnostics were performed to evaluate the effect of pressure on mean kinetic energy and density of Sn ions. It was observed that the mean kinetic energy decreased from 34 to 11 eV while the ion density decreased from 10 to 1.5 × 1013 cm−3 with increasing pressure. The films exhibited enhanced optical transmittance, increasing from 10% for the sample grown at 10 mTorr to 70% for the film deposited at 40 mTorr. Furthermore, higher deposition pressures led to wider band gap values, increasing from 1.6 to 3.9 eV for direct transitions and from 2.2 to 3.2 eV for indirect transitions with increasing oxygen pressure. These trends are consistent with progressive oxidation and partial transparency characteristic of semiconducting tin oxides. Structural characterization, based on X-ray diffraction, revealed predominantly metallic Sn diffraction peaks across the entire oxygen pressure range. However, despite this structural signature, the films exhibited optical and electronic properties characteristic of tin oxides. This apparent discrepancy suggests the coexistence of metallic nanoparticles embedded within an amorphous or nanocrystalline SnO2/SnOx matrix. These findings provide insights into the non-equilibrium oxidation dynamics of tin and the formation of metastable SnOx phases during pulsed laser deposition. Full article
Show Figures

Figure 1

33 pages, 18246 KB  
Article
Impact of Post-Annealing on the Water Splitting Performance of Polymeric Carbon Nitride: The Role of Hydrogen Bonds
by L. Florentino-Madiedo, M. F. Vega, N. Rodríguez and C. Barriocanal
Catalysts 2026, 16(2), 184; https://doi.org/10.3390/catal16020184 - 12 Feb 2026
Viewed by 216
Abstract
Post-annealing treatments constitute a simple and cost-effective strategy to tailor the structure and photocatalytic performance of polymeric carbon nitride (PCN). In this work, PCNs synthesized from melamine and urea were subjected to post-annealing at 580 °C under air and CO2 atmospheres to [...] Read more.
Post-annealing treatments constitute a simple and cost-effective strategy to tailor the structure and photocatalytic performance of polymeric carbon nitride (PCN). In this work, PCNs synthesized from melamine and urea were subjected to post-annealing at 580 °C under air and CO2 atmospheres to elucidate the role of hydrogen bonding, as well as other structural modifications induced by oxidizing atmospheres, on photocatalytic water splitting. Comprehensive structural, chemical, and textural characterization (XRD, FTIR spectroscopy, XPS, SSNMR, HRTEM, BET, TGA, and UV–Vis DRS) reveals that post-annealing induces markedly different effects depending on the precursor. For melamine-derived PCN, the treatment selectively disrupts hydrogen bonds between melon strands without introducing nitrogen vacancies, amorphization, or framework shortening. This structural rearrangement increases surface area, reduces particle size, slightly widens the band gap, and enhances water–framework interactions, resulting in a twofold improvement in the hydrogen evolution rate (HER), reaching ~3300 µmol h−1 g·cat−1 under visible-light irradiation. In contrast, urea-derived PCN undergoes only minor structural modifications, including slight exfoliation and possible nitrogen deficiency, which do not translate into a measurable enhancement of photocatalytic activity. These results demonstrate that selective hydrogen-bond disruption is a key factor governing charge transport and photocatalytic efficiency in PCN. Importantly, the optimized melamine-derived PCN achieves HER values comparable to those of urea-derived PCN while maintaining a substantially higher synthesis yield, highlighting its potential for scalable solar hydrogen production. Full article
(This article belongs to the Special Issue Advanced Photo/Electrocatalysts for Environmental Purification)
Show Figures

Figure 1

29 pages, 2915 KB  
Article
Nano-Silica-Enhanced Binder Synergy and Multi-Index Performance of Resource-Efficient Alkali-Activated Composites for Sustainable Infrastructure Applications
by Mahmoud Abo El-Wafa
Infrastructures 2026, 11(2), 64; https://doi.org/10.3390/infrastructures11020064 - 12 Feb 2026
Viewed by 69
Abstract
This study presents a multi-index performance approach that moves beyond the conventional reliance on compressive strength, offering a more holistic evaluation of nano-silica-enhanced binders in resource-efficient alkali-activated composites. Based on the Strength Activity Index (SAI) framework described in ASTM C618, the method integrates [...] Read more.
This study presents a multi-index performance approach that moves beyond the conventional reliance on compressive strength, offering a more holistic evaluation of nano-silica-enhanced binders in resource-efficient alkali-activated composites. Based on the Strength Activity Index (SAI) framework described in ASTM C618, the method integrates fresh state flowability with mechanical strength indices to capture the overall binder synergy. High-calcium fly ash (HCFA) and low-calcium fly ash (LCFA) were used with fine aggregate replacement, the level of which was kept constant at 20% by mass, and nano-silica was incorporated at 0, 1, 2, and 3 wt% of the binder to prepare alkali-activated slag fly ash composites. The fresh-state performance was assessed using the Initial Flow Index (IFI) and Flow Retention Index (FRI), while the mechanical performance was evaluated using the compressive, tensile, and flexural indices (SAI, TSI, and FSI). These results indicate that with an increase in nano-silica content, flowability and workability retention reduce systematically, with LCFA-based mixtures always exhibiting higher fresh-state retention than HCFA systems. Optimal mechanical performance was achieved with an intermediate nano-silica concentration of about 2 wt%, with consequent maximum SAI performance of about 120% at 28 days with HCFA-based mixtures and 118% at 28 days with LCFA-based mixtures, as well as a uniform improvement in TSI and FSI. Correlation analyses between SAI and tensile and flexural indices revealed clear linearity (R2 of about 0.91–0.95), which indicated that compressive strength is not a sufficient measure of total mechanical performance. The mineralogical and microstructural analyses assisted by X-ray diffraction (XRD) and scanning electron microscopy (SEM) showed that the performance trends observed depend on the interactions of the calcium supply, amorphous aluminosilicate and the nucleation effects of nano-silica. Therefore, the proposed multi-index framework offers a robust and practical tool for quantifying binder synergy and optimizing nano-silica dosage, advancing the understanding and development of sustainable alkali-activated composites for infrastructure applications. Full article
Show Figures

Figure 1

12 pages, 2641 KB  
Article
Domain Structure Transformation and Impedance Tuning in Partially Nanocrystallized Fe-Based Microwires
by Oleg Aksenov, Artem Fuks and Alexandr Aronin
Sensors 2026, 26(4), 1200; https://doi.org/10.3390/s26041200 - 12 Feb 2026
Viewed by 83
Abstract
Fe-based amorphous microwires were studied to examine the effect of partial surface nanocrystallization on their magnetic and electrical properties. Controlled annealing was used to induce nanocrystallization within the surface layer of the metallic core. The giant magnetoimpedance (GMI) was found to increase up [...] Read more.
Fe-based amorphous microwires were studied to examine the effect of partial surface nanocrystallization on their magnetic and electrical properties. Controlled annealing was used to induce nanocrystallization within the surface layer of the metallic core. The giant magnetoimpedance (GMI) was found to increase up to 150% compared to the as-cast microwires, which correlates with variations in the electromagnetic skin depth. Magnetic force microscopy (MFM) revealed a pronounced transformation of the magnetic domain structure: inclined and zigzag domains evolved into a ring domain configuration with radially oriented magnetization. This transformation of the domain structure occurred within the same magnetic field range where the maximum impedance response was observed. These results show a strong coupling between surface nanostructuring, domain configuration, and magnetoimpedance behavior, providing insights for optimizing Fe-based microwires for use in high-sensitivity magnetic and mechanical sensors. Full article
(This article belongs to the Special Issue Recent Trends and Advances in Magnetic Sensors)
Show Figures

Graphical abstract

26 pages, 2053 KB  
Article
Physicochemical and Functional Characterization of Cucumis sativus L. (Poona Kheera) Mucilage and Its Application as a Coating to Inhibit Enzymatic Browning in Fresh-Cut Apples
by Madhu Sharma, Aarti Bains, B Hanumanth Gowda, Kandi Sridhar, Baskaran Stephen Inbaraj, Prince Chawla and Minaxi Sharma
Foods 2026, 15(4), 657; https://doi.org/10.3390/foods15040657 - 11 Feb 2026
Viewed by 156
Abstract
Enzymatic browning is a major challenge in maintaining the quality and shelf life of fresh-cut fruits, and in this context, plant-derived hydrocolloids are increasingly recognized as sustainable alternatives to synthetic additives due to their ability to retard browning while supporting quality retention. Therefore, [...] Read more.
Enzymatic browning is a major challenge in maintaining the quality and shelf life of fresh-cut fruits, and in this context, plant-derived hydrocolloids are increasingly recognized as sustainable alternatives to synthetic additives due to their ability to retard browning while supporting quality retention. Therefore, in the present study, Cucumis sativus L. mucilage was extracted using microwave irradiation, yielding 24.56% freeze-dried irregular particles with an average size of 194.5 nm and −19.8 mV zeta potential. Various characterization techniques confirmed the amorphous structure and the presence of polysaccharides functional group. The mucilage was primarily composed of glucose (32.27%), along with arabinose, galactose, xylose, mannose, rhamnose, and minor uronic acids, reflecting a glucose-rich heteropolysaccharide. Functionally, the mucilage exhibited notable water retention (8.46 g/g), oil retention (3.21 g/g), foaming capacity (52.13%) with stability (30.46%), emulsifying capacity (90.45%) with stability (91.62%), and solubility (90.14%). Antioxidant assays revealed strong ferric reducing power (5.1 mM FeSO4 at 10 mg/mL), DPPH scavenging (67.50%; IC50 = 1.798 mg/mL), and ABTS scavenging (60.14%, IC50 = 8.038 mg/mL). Anti-inflammatory evaluation indicated enhanced macrophage viability (1.38-fold at 25 mg/mL) with reduced nitric oxide production, while tyrosinase inhibition reached 60.40% (monophenolase) and 68.50% (diphenolase) at 2 mg/mL. Furthermore, when applied as an edible coating on fresh-cut apple slices, Cucumis sativus L. mucilage effectively delayed enzymatic browning in a dose-dependent manner, with 2 mg/mL maintaining apple slice brightness (L* value; 71.08) and minimizing color change (ΔE = 4.54). Overall, these findings highlight Cucumis sativus L. mucilage as a multifunctional biopolymer with promising applications in food systems and edible coatings. Full article
Show Figures

Figure 1

19 pages, 5382 KB  
Article
The Role of a SiC Sublayer in Modulating the Electrochemical Behavior of CoxSy/SiC Heterostructure Supercapacitor Electrodes
by Tatiana A. Moiseeva, Inna Yu. Bogush, Oleg I. Il’in, Alexey N. Yatsenko, Rajathsing Kalusulingam and Tatiana N. Myasoedova
ChemEngineering 2026, 10(2), 29; https://doi.org/10.3390/chemengineering10020029 - 10 Feb 2026
Viewed by 170
Abstract
In this study, we investigated the electrochemical properties and performance characteristics of CoxSy and silicon–carbon-based heterostructures synthesized on nickel foam substrates for energy storage applications. Cobalt sulfide films were successfully electrodeposited on nickel foam (NF) using cyclic voltammetry (CV) from [...] Read more.
In this study, we investigated the electrochemical properties and performance characteristics of CoxSy and silicon–carbon-based heterostructures synthesized on nickel foam substrates for energy storage applications. Cobalt sulfide films were successfully electrodeposited on nickel foam (NF) using cyclic voltammetry (CV) from the solutions with different Co2+ concentrations. The presence of a silicon–carbon sublayer promotes the deposition of cobalt sulfide material. The amorphous phase of α-CoS was observed by the X-ray diffraction technique. Raman spectroscopy confirmed the formation of CoS and CoS2 phases. A significant increase in electrode areal capacitance is observed with the silicon–carbon film sublayer from 0.5 to 1.3 F·cm−2 and from 1.6 to 2.3 F·cm−2 at 3 mA·cm−2 for samples prepared from solutions with CoCl2·6H2O concentrations of 0.005 M and 0.02 M, respectively. In the case of gravimetric capacitance, an increase is observed in the presence of a silicon–carbon sublayer for the SiC@CoS_0.005 sample, rising from 690 F·g−1 to 748 F·g−1 at 4 A·g−1. Conversely, the SiC@CoS_0.02 sample shows a decrease from 1287 F·g−1 to 6590 F·g−1. It was shown that the capacitance of all the electrodes derives from the mix of diffusion-controlled and surface-controlled capacitance processes. The electrochemical impedance spectroscopy (EIS) analysis indicates that the formation of heterostructure materials significantly alters the electrochemical properties by reducing both Rf and Rs. Full article
Show Figures

Figure 1

17 pages, 1789 KB  
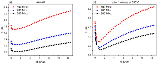
Article
The Effect of Short-Term Annealing of the Amorphous Metal Alloy Al87Y4Gd1Ni8 on Surface Morphology and Electrochemical Properties
by Khrystyna Khrushchyk, Julian Kubisztal, Katarzyna Balin, Krzysztof Aniołek, Vasyl Kordan, Małgorzata Karolus and Lidiya Boichyshyn
Materials 2026, 19(4), 670; https://doi.org/10.3390/ma19040670 - 10 Feb 2026
Viewed by 272
Abstract
Amorphous metal alloys (AMAs) are characterized by good mechanical and electrochemical properties. However, due to crystallization processes occurring at higher temperatures (Ta ˃ 600 K), these properties may deteriorate. The aim of this work was to investigate the effects of short-term annealing at [...] Read more.
Amorphous metal alloys (AMAs) are characterized by good mechanical and electrochemical properties. However, due to crystallization processes occurring at higher temperatures (Ta ˃ 600 K), these properties may deteriorate. The aim of this work was to investigate the effects of short-term annealing at T3 = 611 ± 1 K and to determine the risks of such thermal modifications for the electrochemical properties of the material. A comprehensive analysis shows that short-term isothermal annealing (5 min) of the amorphous metal alloy Al87Y4Gd1Ni8 at a temperature of 611 ± 1 K improves the tribological properties of the material. However, it has been established that heat treatment for 5 min is optimal and leads to temporary thickening of the film and the formation of an almost ideal double layer, but annealing for 15–60 min negatively affects the electrochemical properties of this material, indicating a decrease in the protective properties of the passivating layers. Full article
Show Figures

Graphical abstract

20 pages, 7061 KB  
Article
The Influence of Methods for Distributing the IF-WS2 Modifier into the Structure of Al2O3 Aluminium Oxide Coatings on Their Micromechanical Properties
by Joanna Korzekwa, Adrian Barylski, Mateusz Niedźwiedź, Krzysztof Cwynar and Marek Bara
Materials 2026, 19(4), 667; https://doi.org/10.3390/ma19040667 - 9 Feb 2026
Viewed by 191
Abstract
This work examines the micromechanical response of Al2O3/IF-WS2 (IF-inorganic fullerene-like) composite coatings formed on the EN AW 5251 aluminium alloy by anodic oxidation. The resulting amorphous oxide layer contains a nanopores system that can be filled with IF-WS [...] Read more.
This work examines the micromechanical response of Al2O3/IF-WS2 (IF-inorganic fullerene-like) composite coatings formed on the EN AW 5251 aluminium alloy by anodic oxidation. The resulting amorphous oxide layer contains a nanopores system that can be filled with IF-WS2 particles, provided the modifier is properly dispersed. Because commercial IF-WS2 powders exhibit strong agglomeration, a high-intensity ultrasonic treatment was applied to enhance particle separation before incorporation. The influence of newly established incorporation parameters was assessed using a two-level experimental design. As part of the research, analyses of the microstructure, micromechanical, and sclerometric properties were performed. Cross-sectional SEM observations confirmed the presence of IF-WS2 within the oxide structure and revealed differences in particle distribution, depending on the incorporation technique used. The results indicate that although microhardness and Young’s modulus are largely insensitive to the nanopowder incorporation method, the interaction between the anodising current density and the incorporation technique significantly influences the strain energy components and tribological response of the coatings. These findings suggest that appropriately selected processing parameters can be used to tailor the mechanical and tribological properties of Al2O3/IF-WS2 coatings to specific loading conditions and functional requirements, rather than striving for a single, universal, optimal processing configuration. Full article
Show Figures

Figure 1

Back to TopTop