Rebound Inverts the Staphylococcus aureus Bacteremia Prevention Effect of Antibiotic Based Decontamination Interventions in ICU Cohorts with Prolonged Length of Stay
Abstract
1. Introduction
2. Results
2.1. Characteristics of the Studies
2.2. Indicative Effect Sizes
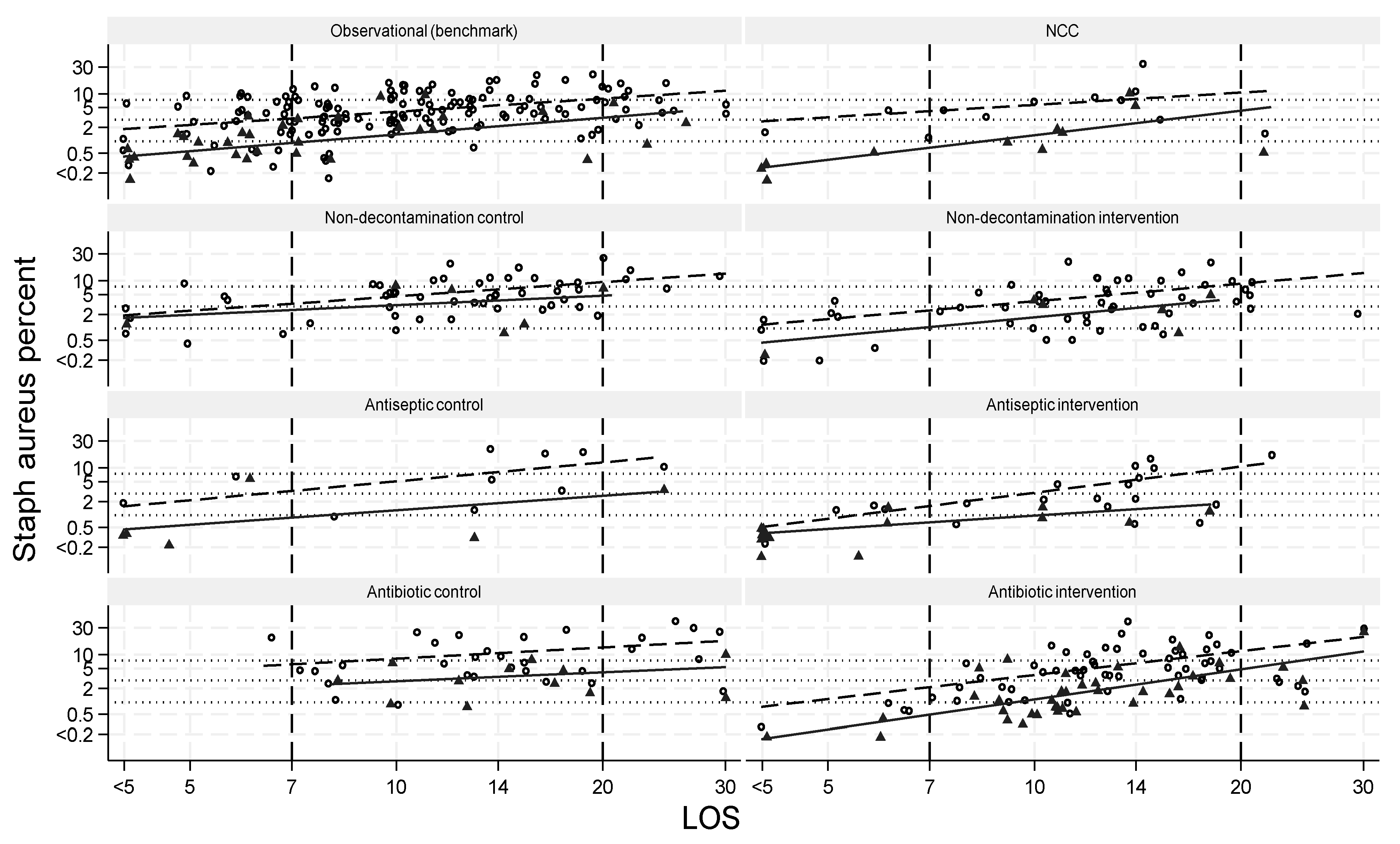
2.3. Prevention Effect Size Meta-Regression versus LOS
2.4. S. aureus VAP and BSI Incidence versus LOS
2.5. GSEM Modelling of S. aureus Colonization
3. Discussion
Limitations
4. Conclusions
5. Materials and Methods
5.1. Study Selection and Decant of Groups
5.2. Outcomes of Interest
5.3. Summary Effect Size
5.4. Meta-Regression Model 1: Study Effect Size versus LOS
5.5. Meta-Regression Model 2: S. aureus VAP and S. aureus BSI Incidences versus LOS
5.6. Generalized Structural Equation Modelling
5.7. Availability of Data and Materials
Supplementary Materials
Funding
Institutional Review Board Statement
Informed Consent Statement
Data Availability Statement
Conflicts of Interest
References
- Paling, F.P.; Hazard, D.; Bonten, M.J.; Goossens, H.; Jafri, H.S.; Malhotra-Kumar, S.; Sifakis, F.; Weber, S.; Kluytmans, J.A.; ASPIRE-ICU Study Team. Association of Staphylococcus aureus colonization and pneumonia in the intensive care unit. JAMA Netw. Open 2020, 3, e2012741. [Google Scholar] [CrossRef] [PubMed]
- Paling, F.P.; Wolkewitz, M.; Bode, L.G.; Klouwenberg, P.K.; Ong, D.S.; Depuydt, P.; de Bus, L.; Sifakis, F.; Bonten, M.J.; Kluytmans, J.A. Staphylococcus aureus colonization at ICU admission as a risk factor for developing S. aureus ICU pneumonia. Clin. Microbiol. Infect. 2017, 23, 49.e9–49.e14. [Google Scholar] [CrossRef] [PubMed]
- Masse, J.; Elkalioubie, A.; Blazejewski, C.; Ledoux, G.; Wallet, F.; Poissy, J.; Preau, S.; Nseir, S. Colonization pressure as a risk factor of ICU-acquired multidrug resistant bacteria: A prospective observational study. Eur. J. Clin. Microbiol. Infect. Dis. 2017, 36, 797–805. [Google Scholar] [CrossRef] [PubMed]
- Masse, J.; Elkalioubie, A.; Blazejewski, C.; Ledoux, G.; Wallet, F.; Poissy, J.; Preau, S.; Nseir, S. “Colonization pressure” and risk of acquisition of methicillin-resistant Staphylococcus aureus in a medical intensive care unit. Infect. Control Hosp. Epidemiol. 2000, 21, 718–723. [Google Scholar]
- Septimus, E.J.; Schweizer, M.L. Decolonization in prevention of health care-associated infections. Clin. Microbiol. Rev. 2016, 29, 201–222. [Google Scholar] [CrossRef] [PubMed]
- Troeman, D.P.; Van Hout, D.; Kluytmans, J.A. Antimicrobial approaches in the prevention of Staphylococcus aureus infections: A review. J. Antimicrob. Chemother. 2019, 74, 281–294. [Google Scholar] [CrossRef] [PubMed]
- Simor, A.E. Staphylococcal decolonisation: An effective strategy for prevention of infection? Lancet Infect. Dis. 2011, 11, 952–962. [Google Scholar] [CrossRef] [PubMed]
- Hurley, J.C. Selective digestive decontamination-Con. Intensive Care Med. 2023, 30, 982–983. [Google Scholar] [CrossRef] [PubMed]
- Silvestri, L.; Weir, I.; Gregori, D.; Taylor, D.; Van Saene, J.; Van Saene, H. Effectiveness of oral chlorhexidine on nosocomial pneumonia, causative microorganisms and mortality in critically ill patients: A systematic review and meta-analysis. Minerva Anestesiol. 2014, 80, 805–820. [Google Scholar] [PubMed]
- Silvestri, L.; Van Saene, H.K.; Casarin, A.; Berlot, G.; Gullo, A. Impact of selective decontamination of the digestive tract on carriage and infection due to Gram-negative and Gram-positive bacteria: A systematic review of randomised controlled trials. Anaesth. Intensive Care 2008, 36, 324–338. [Google Scholar] [CrossRef] [PubMed]
- Silvestri, L.; Van Saene, H.K.; Milanese, M.; Gregori, D.; Gullo, A. Selective decontamination of the digestive tract reduces bacterial bloodstream infection and mortality in critically ill patients. Systematic review of randomized, controlled trials. J. Hosp. Infect. 2007, 65, 187–203. [Google Scholar] [PubMed]
- Silvestri, L.; Weir, W.I.; Gregori, D.; Taylor, N.; Zandstra, D.F.; van Saene, J.J.; van Saene, H.K. Impact of Oral Chlorhexidine on Bloodstream Infection in Critically Ill Patients: Systematic Review and Meta-Analysis of Randomized Controlled Trials. J. Cardiothoracic. Vasc. Anesth. 2017, 31, 2236–2244. [Google Scholar] [CrossRef] [PubMed]
- Klompas, M.; Speck, K.; Howell, M.D.; Greene, L.R.; Berenholtz, S.M. Reappraisal of routine oral care with chlorhexidine gluconate for patients receiving mechanical ventilation: Systematic review and meta-analysis. JAMA Intern. Med. 2014, 174, 751–761. [Google Scholar] [CrossRef] [PubMed]
- Noto, M.J.; Wheeler, A.P. Understanding chlorhexidine decolonization strategies. Intensive Care Med. 2015, 41, 1351–1354. [Google Scholar] [CrossRef] [PubMed]
- Van der Bij, A.K.; Frentz, D.; Bonten, M.J.; Stuart, J.C.; van Hees, B.C.; Vijfhuizen, J.; Wintermans, R.G.; der Kuil, W.A.; Alblas, J.; van der Bij, A.K.; et al. Gram-positive cocci in Dutch ICUs with and without selective decontamination of the oropharyngeal and digestive tract: A retrospective database analysis. J. Antimicrob. Chemother. 2016, 71, 816–820. [Google Scholar] [CrossRef][Green Version]
- Lingnau, W.; Berger, J.; Javorsky, F.; Fille, M.; Allerberger, F.; Benzer, H. Changing bacterial ecology during a five year period of selective intestinal decontamination. J. Hosp. Infect. 1998, 39, 195–206. [Google Scholar] [CrossRef]
- Hurley, J.C. Studies of selective digestive decontamination as a natural experiment to evaluate topical antibiotic prophylaxis and cephalosporin use as population-level risk factors for enterococcal bacteraemia among ICU patients. J. Antimicrob. Chemother. 2019, 74, 3087–3094. [Google Scholar] [CrossRef] [PubMed]
- Hurley, J.C. Incidence of coagulase-negative staphylococcal bacteremia among ICU patients: Decontamination studies as a natural experiment. Eur. J Clin. Micro. Infect. Dis. 2019, 39, 657–664. [Google Scholar] [CrossRef] [PubMed]
- Hurley, J.C. Staphylococcus aureus hitchhiking from colonization to bacteremia via Candida within ICU infection prevention studies: A proof of concept modelling. Eur. J. Clin. Microbiol. Infect. Dis 2023, 42, 543–554. [Google Scholar] [CrossRef] [PubMed]
- Oostdijk, E.A.; de Smet, A.M.; Blok, H.E.; Thieme Groen, E.S.; van Asselt, G.J.; Benus, R.F.; Bernards, S.A.; Frénay, I.H.; Jansz, A.R.; de Jongh, B.M.; et al. Ecological effects of selective decontamination on resistant Gram-negative bacterial colonization. Am. J. Resp. Crit. Care. Med. 2010, 181, 452–457. [Google Scholar] [CrossRef] [PubMed]
- Tetteroo, G.W.; Wagenvoort, J.H.; Bruining, H.A. Bacteriology of selective decontamination: Efficacy and rebound colonization. J. Antimicrob. Chemother. 1994, 34, 139–148. [Google Scholar] [CrossRef] [PubMed]
- de Smet, A.M.; Hopmans, T.E.; Minderhoud, A.L.; Blok, H.E.; Gossink-Franssen, A.; Bernards, A.T.; Bonten, M.J. Decontamination of the digestive tract and oropharynx: Hospital acquired infections after discharge from the intensive care unit. Intensive Care Med. 2009, 35, 1609. [Google Scholar] [CrossRef] [PubMed]
- Hurley, J.C. Length of ICU stay and the apparent efficacy of antimicrobial based versus non-antimicrobial based ventilator pneumonia prevention interventions within the Cochrane review database. J. Hosp. Infect. 2023, 140, 46–53. [Google Scholar] [CrossRef] [PubMed]
- Liberati, A.; D’Amico, R.; Pifferi, S.; Torri, V.; Brazzi, L.; Parmelli, E. Antibiotic prophylaxis to reduce respiratory tract infections and mortality in adults receiving intensive care (Review). Cochrane Database Syst. Rev. 2009, CD000022. [Google Scholar] [CrossRef]
- Minozzi, S.; Pifferi, S.; Brazzi, L.; Pecoraro, V.; Montrucchio, G.; D’Amico, R. Topical antibiotic prophylaxis to reduce respiratory tract infections and mortality in adults receiving mechanical ventilation. Cochrane Database Syst. Rev. 2021, CD000022. [Google Scholar] [CrossRef]
- Hammond, N.E.; Myburgh, J.; Seppelt, I.; Garside, T.; Vlok, R.; Mahendran, S.; Adigbli, D.; Finfer, S.; Gao, Y.; Goodman, F.; et al. Association between selective decontamination of the digestive tract and in-hospital mortality in intensive care unit patients receiving mechanical ventilation: A systematic review and meta-analysis. JAMA 2022, 328, 1922–1934. [Google Scholar] [CrossRef] [PubMed]
- Hua, F.; Xie, H.; Worthington, H.V.; Furness, S.; Zhang, Q.; Li, C. Oral hygiene care for critically ill patients to prevent ventilator-associated pneumonia. Cochrane Database Syst. Rev. 2016, CD008367. [Google Scholar] [CrossRef] [PubMed]
- Zhao, T.; Wu, X.; Zhang, Q.; Li, C.; Worthington, H.V.; Hua, F. Oral hygiene care for critically ill patients to prevent ventilator-associated pneumonia. Cochrane Database Syst. Rev. 2020, CD008367. [Google Scholar] [CrossRef]
- Pileggi, C.; Bianco, A.; Flotta, D.; Nobile, C.G.; Pavia, M. Prevention of ventilator-associated pneumonia, mortality and all intensive care unit acquired infections by topically applied antimicrobial or antiseptic agents: A meta-analysis of randomized controlled trials in intensive care units. Crit. Care 2011, 15, R155. [Google Scholar] [CrossRef] [PubMed]
- Labeau, S.O.; Van de Vyver, K.; Brusselaers, N.; Vogelaers, D.; Blot, S.I. Prevention of ventilator-associated pneumonia with oral antiseptics: A systematic review and meta-analysis. Lancet Infect. Dis. 2011, 11, 845–854. [Google Scholar] [CrossRef] [PubMed]
- Alhazzani, W.; Smith, O.; Muscedere, J.; Medd, J.; Cook, D. Toothbrushing for Critically Ill Mechanically Ventilated Patients: A Systematic Review and Meta-Analysis of Randomized Trials Evaluating Ventilator-Associated Pneumonia. Crit. Care Med. 2013, 41, 646–655. [Google Scholar] [CrossRef]
- Bo, L.; Li, J.; Tao, T.; Bai, Y.; Ye, X.; Hotchkiss, R.S.; Kollef, M.H.; Crooks, N.H.; Deng, X. Probiotics for preventing ventilator-associated pneumonia. Cochrane Database Syst. Rev. 2014, CD009066. [Google Scholar] [CrossRef] [PubMed]
- Gillies, D.; Todd, D.A.; Foster, J.P.; Batuwitage, B.T. Heat and moisture exchangers versus heated humidifiers for mechanically ventilated adults and children. Cochrane Database Syst. Rev. 2017, CD004711. [Google Scholar] [CrossRef] [PubMed]
- Solà, I.; Benito, S. Closed tracheal suction systems versus open tracheal suction systems for mechanically ventilated adult patients. Cochrane Database Syst. Rev. 2007, CD004581. [Google Scholar] [CrossRef] [PubMed]
- Tokmaji, G.; Vermeulen, H.; Müller, M.C.A.; Kwakman, P.H.S.; Schultz, M.J.; Zaat, S.A.J. Silver-coated endotracheal tubes for prevention of ventilator-associated pneumonia in critically ill patients. Cochrane Database Syst. Rev. 2015, CD009201. [Google Scholar] [CrossRef] [PubMed]
- Toews, I.; George, A.T.; Peter, J.V.; Kirubakaran, R.; Fontes, L.E.S.; Ezekiel, J.P.B.; Meerpohl, J.J. Interventions for preventing upper gastrointestinal bleeding in people admitted to intensive care units. Cochrane Database Syst. Rev. 2018, CD008687. [Google Scholar] [CrossRef] [PubMed]
- Wang, L.; Li, X.; Yang, Z.; Tang, X.; Yuan, Q.; Deng, L.; Sun, X. Semi-recumbent position versus supine position for the prevention of ventilator-associated pneumonia in adults requiring mechanical ventilation. Cochrane Database Syst. Rev. 2016, CD009946. [Google Scholar] [CrossRef] [PubMed]
- De Smet, A.M.; Kluytmans, J.A.; Cooper, B.S.; Mascini, E.M.; Benus, R.F.; Van der Werf, T.S.; Van der Hoeven, J.G.; Pickkers, P.; Bogaers-Hofman, D.; Van Der Meer, N.J.; et al. Decontamination of the digestive tract and oropharynx in ICU patients. N. Engl. J. Med. 2009, 360, 20–31. [Google Scholar] [CrossRef] [PubMed]
- Wittekamp, B.H.; Plantinga, N.L.; Cooper, B.S.; Lopez-Contreras, J.; Coll, P.; Mancebo, J.; Wise, M.P.; Morgan, M.P.; Depuydt, P.; Boelens, J.; et al. Decontamination strategies and bloodstream infections with antibiotic-resistant microorganisms in ventilated patients: A randomized clinical trial. JAMA 2018, 320, 2087–2098. [Google Scholar] [CrossRef] [PubMed]
- The SuDDICU Investigators for the Australian and New Zealand Intensive Care Society Clinical Trials Group. Effect of selective decontamination of the digestive tract on hospital mortality in critically ill patients receiving mechanical ventilation: A randomized clinical trial. JAMA 2022, 328, 1911–1921. [Google Scholar] [CrossRef] [PubMed]
- François, B.; Jafri, H.S.; Chastre, J.; Sánchez-García, M.; Eggimann, P.; Dequin, P.F.; Huberlant, V.; Soria, L.V.; Boulain, T.; Bretonnière, C.; et al. Efficacy and safety of suvratoxumab for prevention of Staphylococcus aureus ventilator-associated pneumonia (SAATELLITE): A multicentre, randomised, double-blind, placebo-controlled, parallel-group, phase 2 pilot trial. Lancet Infect. Dis. 2021, 21, 1313–1323. [Google Scholar] [CrossRef] [PubMed]
- Baggs, J.; Jernigan, J.A.; Halpin, A.L.; Epstein, L.; Hatfield, K.M.; McDonald, L.C. Risk of subsequent sepsis within 90 days after a hospital stay by type of antibiotic exposure. Clin. Infect. Dis 2018, 66, 1004–1012. [Google Scholar] [CrossRef] [PubMed]
- Hurley, J.C. The perfidious effect of topical placebo: Calibration of Staphylococcus aureus ventilator-associated pneumonia incidence within selective digestive decontamination studies versus the broader evidence base. Antimicrob. Agents. Chemother. 2013, 57, 4524–4531. [Google Scholar] [CrossRef] [PubMed]
- Haaber, J.; Friberg, C.; McCreary, M.; Lin, R.; Cohen, S.N.; Ingmer, H. Reversible antibiotic tolerance induced in Staphylococcus aureus by concurrent drug exposure. MBio 2015, 6, 10–128. [Google Scholar] [CrossRef] [PubMed]
- Hurley, J.C. Establishing the safety of Selective Digestive Decontamination within the ICU population. A bridge too far? Trials 2023, 24, 337. [Google Scholar] [CrossRef] [PubMed]
- Hurley, J.C. Comparison of mortality associated with methicillin-susceptible and methicillin-resistant Staphylococcus aureus bacteremia: An ecological analysis. Clin. Infect. Dis. 2003, 37, 866–868. [Google Scholar] [CrossRef] [PubMed]
- Stata Corporation. Meta-analysis reference manual. In Stata 16 Documentation; StataCorp LLC: College Station, TX, USA, 2023. [Google Scholar]
- Hurley, J.C. Candida and the Gram-positive trio: Testing the vibe in the ICU patient microbiome using structural equation modelling of literature derived data. Emerg. Themes Epidemiol. 2022, 19, 7. [Google Scholar] [CrossRef] [PubMed]
- A’Court, C.H.; Garrard, C.S.; Crook, D.; Bowler, I.; Conlon, C.; Peto, T.; Anderson, E. Microbiological lung surveillance in mechanically ventilated patients, using non-directed bronchial lavage and quantitative culture. Q. J. Med. 1993, 86, 635–648. [Google Scholar] [CrossRef] [PubMed]
- Alvarez-Lerma, F.; IC U-acquired Pneumonia Study Group. Modification of empiric antibiotic treatment in patients with pneumonia acquired in the intensive care unit. Intensive Care Med. 1996, 22, 387–394. [Google Scholar] [CrossRef] [PubMed]
- Apostolopoulou, E.; Bakakos, P.; Katostaras, T.; Gregorakos, L. Incidence and risk factors for ventilator-associated pneumonia in 4 multidisciplinary intensive care units in Athens, Greece. Respir. Care 2003, 48, 681–688. [Google Scholar] [PubMed]
- Arroliga, A.C.; Pollard, C.L.; Wilde, C.D.; Pellizzari, S.J.; Chebbo, A.; Song, J.; Ordner, J.; Cormier, S.; Meyer, T. Reduction in the incidence of ventilator-associated pneumonia: A multidisciplinary approach. Respir. Care 2012, 57, 688–696. [Google Scholar] [CrossRef] [PubMed]
- Arumugam, S.K.; Mudali, I.; Strandvik, G.; El-Menyar, A.; Al-Hassani, A.; Al-Thani, H. Risk factors for ventilator-associated pneumonia in trauma patients: A descriptive analysis. World J. Emerg. Med. 2018, 9, 203. [Google Scholar] [CrossRef] [PubMed]
- Baldesi, O.; Bailly, S.; Ruckly, S.; Lepape, A.; L’Heriteau, F.; Aupee, M.; Boussat, S.; Bervas, C.; Machut, A.; Berger-Carbonne, A.; et al. ICU-acquired candidaemia in France: Epidemiology and temporal trends, 2004–2013–A study from the REA-RAISIN network. J. Infect. 2017, 75, 59–67. [Google Scholar] [CrossRef] [PubMed]
- Bekaert, M.; Timsit, J.F.; Vansteelandt, S.; Depuydt, P.; Vésin, A.; Garrouste-Orgeas, M.; Decruyenaere, J.; Clec’h, C.; Azoulay, E.; Benoit, D. Attributable mortality of ventilator-associated pneumonia: A reappraisal using causal analysis. Am. J. Respir. Crit. Care Med. 2011, 184, 1133–1139. [Google Scholar] [CrossRef] [PubMed]
- Bercault, N.; Boulain, T. Mortality rate attributable to ventilator-associated nosocomial pneumonia in an adult intensive care unit: A prospective case-control study. Crit. Care Med. 2001, 29, 2303–2309. [Google Scholar] [CrossRef] [PubMed]
- Blot, S.; Koulenti, D.; Dimopoulos, G.; Martin, C.; Komnos, A.; Krueger, W.A.; Spina, G.; Armaganidis, A.; Rello, J. Prevalence, risk factors, and mortality for ventilator-associated pneumonia in middle-aged, old, and very old critically ill patients. Crit. Care Med. 2014, 42, 601–609. [Google Scholar] [CrossRef] [PubMed]
- Bochicchio, G.V.; Joshi, M.; Bochicchio, K.; Tracy, K.; Scalea, T.M. A time-dependent analysis of intensive care unit pneumonia in trauma patients. J. Trauma 2004, 56, 296–301. [Google Scholar] [CrossRef] [PubMed]
- Bonten, M.J.; Gaillard, C.A.; van Tiel, F.H.; Smeets, H.G.; van der Geest, S.; Stobberingh, E.E. The stomach is not a source for colonization of the upper respiratory tract and pneumonia in ICU patients. Chest 1994, 105, 878–884. [Google Scholar] [CrossRef] [PubMed]
- Boots, R.J.; George, N.; Faoagali, J.L.; Druery, J.; Dean, K.; Heller, R.F. Double-heater-wire circuits and heat-and-moisture exchangers and the risk of ventilator-associated pneumonia. Crit. Care Med. 2006, 34, 687–693. [Google Scholar] [CrossRef] [PubMed]
- Boots, R.J.; Phillips, G.E.; George, N.; Faoagali, J.L. Surveillance culture utility and safety using low-volume blind bronchoalveolar lavage in the diagnosis of ventilator-associated pneumonia. Respirology 2008, 13, 87–96. [Google Scholar] [CrossRef] [PubMed]
- Bornstain, C.; Azoulay, E.; De Lassence, A.; Cohen, Y.; Costa, M.A.; Mourvillier, B.; Descorps-Declere, A.; Garrouste-Orgeas, M.; Thuong, M.; Schlemmer, B.; et al. Sedation, sucralfate, and antibiotic use are potential means for protection against early-onset ventilator-associated pneumonia. Clin. Infect. Dis. 2004, 38, 1401–1408. [Google Scholar] [CrossRef] [PubMed]
- Braun, S.R.; Levin, A.B.; Clark, K.L. Role of corticosteroids in the development of pneumonia in mechanically ventilated head-trauma victims. Crit. Care Med. 1986, 14, 198–201. [Google Scholar] [CrossRef] [PubMed]
- Bregeon, F.; Papazian, L.; Visconti, A.; Gregoire, R.; Thirion, X.; Gouin, F. Relationship of microbiologic diagnostic criteria to morbidity and mortality in patients with ventilator-associated pneumonia. JAMA 1997, 277, 655–662. [Google Scholar] [CrossRef] [PubMed]
- Cade, J.F.; McOwat, E.; Siganporia, R.; Keighley, C.; Presneill, J.; Sinickas, V. Uncertain relevance of gastric colonization in the seriously ill. Intensive Care Med. 1992, 18, 210–217. [Google Scholar] [CrossRef] [PubMed]
- Cavalcanti, M.; Ferrer, M.; Ferrer, R.; Morforte, R.; Garnacho, A.; Torres, A. Risk and prognostic factors of ventilator-associated pneumonia in trauma patients. Crit. Care Med. 2006, 34, 1067–1072. [Google Scholar] [CrossRef] [PubMed]
- Cendrero, J.A.; Solé-Violán, J.; Benitez, A.B.; Catalán, J.N.; Fernández, J.A.; Santana, P.S.; de Castro, F.R. Role of different routes of tracheal colonization in the development of pneumonia in patients receiving mechanical ventilation. Chest 1999, 116, 462–470. [Google Scholar] [CrossRef] [PubMed]
- Chaari, A.; El Habib, M.; Ghdhoun, H.; Algia, N.B.; Chtara, K.; Hamida, C.B.; Chelly, H.; Bahloul, M.; Bouaziz, M. Does low-dose hydrocortisone therapy prevent ventilator-associated pneumonia in trauma patients? Am. J. Therap. 2015, 22, 22–28. [Google Scholar] [CrossRef] [PubMed]
- Chastre, J.; Trouillet, J.L.; Vuagnat, A.; Joly-Guillou, M.L.; Clavier, H.; Dombret, M.C.; Gibert, C. Nosocomial pneumonia in patients with acute respiratory distress syndrome. Am. J. Respir. Crit. Care Med. 1998, 157, 1165–1172. [Google Scholar] [CrossRef] [PubMed]
- Chevret, S.; Hemmer, M.; Carlet, J. Incidence and risk factors of pneumonia acquired in intensive care units. Results from a multicenter prospective study on 996 patients. European Cooperative Group on Nosocomial Pneumonia. Intensive Care Med. 1993, 19, 256–264. [Google Scholar] [CrossRef] [PubMed]
- Combes, P.; Fauvage, B.; Oleyer, C. Nosocomial pneumonia in mechanically ventilated patients, a prospective randomised evaluation of the Stericath closed suctioning system. Intensive Care Med. 2000, 26, 878–882. [Google Scholar] [CrossRef] [PubMed]
- Cook, A.; Norwood, S.; Berne, J. Ventilator-associated pneumonia is more common and of less consequence in trauma patients compared with other critically ill patients. J. Trauma Acute Care Surg. 2010, 69, 1083–1091. [Google Scholar] [CrossRef] [PubMed]
- Craven, D.E.; Kunches, L.M.; Lichtenberg, D.A.; Kollisch, N.R.; Barry, M.A.; Heeren, T.C.; McCabe, W.R. Nosocomial infection and fatality in medical and surgical intensive care unit patients. Arch. Intern. Med. 1988, 148, 1161–1168. [Google Scholar] [CrossRef] [PubMed]
- Daschner, F.; Kappstein, I.; Schuster, F.; Scholz, R.; Bauer, E.; Jooβens, D.; Just, H. Influence of disposable (‘Conchapak’) and reusable humidifying systems on the incidence of ventilation pneumonia. J. Hosp. Infect. 1988, 11, 161–168. [Google Scholar] [CrossRef] [PubMed]
- Delclaux, C.; Roupie, E.; Blot, F.; Brochard, L.; Lemaire, F.; Brun-Buisson, C. Lower respiratory tract colonization and infection during severe acute respiratory distress syndrome: Incidence and diagnosis. Am. J. Respir. Crit. Care Med. 1997, 156, 1092–1098. [Google Scholar] [CrossRef] [PubMed]
- Delle Rose, D.; Pezzotti, P.; Fortunato, E.; Sordillo, P.; Gini, S.; Boros, S.; Meledandri, M.; Gallo, M.T.; Prignano, G.; Caccese, R.; et al. Clinical predictors and microbiology of ventilator-associated pneumonia in the intensive care unit: A retrospective analysis in six Italian hospitals. Eur. J. Clin. Microbiol. Infect. Dis. 2016, 35, 1531–1539. [Google Scholar] [CrossRef]
- Edgeworth, J.D.; Treacher, D.F.; Eykyn, S.J. A 25-year study of nosocomial bacteremia in an adult intensive care unit. Crit. Care Med. 1999, 27, 1421–1428. [Google Scholar] [CrossRef] [PubMed]
- El-Masri, M.M.; Hammad, T.A.; McLeskey, S.W.; Joshi, M.; Korniewicz, D.M. Predictors of nosocomial bloodstream infections among critically ill adult trauma patients. Infect. Cont. Hosp. Epidemiol. 2004, 25, 656–663. [Google Scholar] [CrossRef]
- Ensminger, S.A.; Wright, R.S.; Baddour, L.M.; Afess, B. Suspected ventilator-associated pneumonia in cardiac patients admitted to the coronary care unit. Mayo Clin. Proc. 2006, 81, 32–35. [Google Scholar] [CrossRef] [PubMed]
- Ertugrul, B.M.; Yildirim, A.; Ay, P.; Oncu, S.; Cagatay, A.; Cakar, N.; Ertekin, C.; Ozsut, H.; Eraksoy, H.; Calangu, S. Ventilator-associated pneumonia in surgical emergency intensive care unit. Saudi Med. J. 2006, 27, 52–57. [Google Scholar] [PubMed]
- Esnault, P.; Nguyen, C.; Bordes, J.; D’Aranda, E.; Montcriol, A.; Contargyris, C.; Cotte, J.; Goutorbe, P.; Joubert, C.; Dagain, A.; et al. Early-onset ventilator-associated pneumonia in patients with severe traumatic brain injury: Incidence, risk factors, and consequences in cerebral oxygenation and outcome. Neurocrit. Care 2017, 27, 187–198. [Google Scholar] [CrossRef]
- Evans, H.L.; Zonies, D.H.; Warner, K.J.; Bulger, E.M.; Sharar, S.R.; Maier, R.V.; Cuschieri, J. Timing of intubation and ventilator-associated pneumonia following injury. Arch. Surg. 2010, 145, 1041–1046. [Google Scholar] [CrossRef] [PubMed]
- Ewig, S.; Torres, A.; El-Ebiary, M.; Fàbregas, N.; Hernandez, C.; Gonzalez, J.; Nicolas, J.M.; Soto, L. Bacterial colonization patterns in mechanically ventilated patients with traumatic and medical head injury. Incidence, risk factors, and association with ventilator-associated pneumonia. Am. J. Respir. Crit. Care Med. 1999, 159, 188–198. [Google Scholar] [CrossRef] [PubMed]
- Fabian, T.C.; Boucher, B.A.; Croce, M.A.; Kuhl, D.A.; Janning, S.W.; Coffey, B.C.; Kudsk, K.A. Pneumonia and stress ulceration in severely injured patients: A prospective evaluation of the effects of stress ulcer prophylaxis. Arch. Surg. 1993, 128, 185–192. [Google Scholar] [CrossRef] [PubMed]
- Fagon, J.Y.; Chastre, J.; Domart, Y.; Trouillet, J.L.; Pierre, J.; Darne, C.; Gibert, C. Nosocomial pneumonia in patients receiving continuous mechanical ventilation. Prospective analysis of 52 episodes with use of a protected specimen brush and quantitative culture techniques. Am. Rev. Respir. Dis. 1989, 139, 877–884. [Google Scholar] [CrossRef] [PubMed]
- García-Garmendia, J.L.; Ortiz-Leyba, C.; Garnacho-Montero, J.; Jiménez-Jiménez, F.J.; Pérez-Paredes, C.; Barrero-Almodóvar, A.E.; Miner, M.G. Risk factors for Acinetobacter baumannii nosocomial bacteremia in critically ill patients: A cohort study. Clin. Infect. Dis. 2001, 33, 939–946. [Google Scholar] [CrossRef] [PubMed]
- Garrouste-Orgeas, M.; Chevret, S.; Arlet, G.; Marie, O.; Rouveau, M.; Popoff, N.; Schlemmer, B. Oropharyngeal or gastric colonization and nosocomial pneumonia in adult intensive care unit patients. A prospective study based on genomic DNA analysis. Am. J. Respir. Crit. Care Med. 1997, 156, 1647–1656. [Google Scholar] [CrossRef] [PubMed][Green Version]
- Garrouste-Orgeas, M.; Timsit, J.F.; Tafflet, M.; Misset, B.; Zahar, J.R.; Soufir, L.; Lazard, T.; Jamali, S.; Mourvillier, B.; Cohen, Y.; et al. Excess risk of death from intensive care unit—Acquired nosocomial bloodstream infections: A reappraisal. Clin. Infect. Dis. 2006, 42, 1118–1126. [Google Scholar] [CrossRef] [PubMed]
- George, D.L.; Falk, P.S.; Wunderink, R.G.; Leeper, K.V., Jr.; Meduri, G.U.; Steere, E.L.; Glen Mayhall, C. Epidemiology of ventilator-acquired pneumonia based on protected bronchoscopic sampling. Am. J. Respir. Crit. Care Med. 1998, 158, 1839–1847. [Google Scholar] [CrossRef] [PubMed]
- Georges, H.; Leroy, O.; Guery, B.; Alfandari, S.; Beaucaire, G. Predisposing factors for nosocomial pneumonia in patients receiving mechanical ventilation and requiring tracheotomy. Chest 2000, 118, 767–774. [Google Scholar] [CrossRef] [PubMed]
- Giard, M.; Lepape, A.; Allaouchiche, B.; Guerin, C.; Lehot, J.J.; Robert, M.O.; Vanhems, P. Early-and late-onset ventilator-associated pneumonia acquired in the intensive care unit: Comparison of risk factors. J. Crit. Care 2008, 23, 27–33. [Google Scholar] [CrossRef] [PubMed]
- Girou, E.; Schortgen, F.; Delclaux, C.; Brun-Buisson, C.; Blot, F.; Lefort, Y.; Lemaire, F.; Brochard, L. Association of noninvasive ventilation with nosocomial infections and survival in critically ill patients. JAMA 2000, 284, 2361–2367. [Google Scholar] [CrossRef] [PubMed]
- Gouel-Cheron, A.; Swihart, B.J.; Warner, S.; Mathew, L.; Strich, J.R.; Mancera, A.; Follmann, D.; Kadri, S.S. Epidemiology of ICU-Onset Bloodstream Infection: Prevalence, Pathogens, and Risk Factors Among 150,948 ICU Patients at 85 US Hospitals. Crit. Care Med. 2022, 50, 1725–1736. [Google Scholar] [CrossRef] [PubMed]
- Gruson, D.; Hilbert, G.; Vargas, F.; Valentino, R.; Bebear, C.; Allery, A.; Bebear, C.; Gbikpi-Benissan, G.E.; Cardinaud, J.P. Rotation and restricted use of antibiotics in a medical intensive care unit: Impact on the incidence of ventilator-associated pneumonia caused by antibiotic-resistant gram-negative bacteria. Am. J. Respir. Crit. Care Med. 2000, 162, 837–843. [Google Scholar] [CrossRef] [PubMed]
- Gruson, D.; Hilbert, G.; Vargas, F.; Valentino, R.; Bui, N.; Pereyre, S.; Bebear, C.; Bebear, C.M.; Gbikpi-Benissan, G. Strategy of antibiotic rotation: Long-term effect on incidence and susceptibilities of Gram-negative bacilli responsible for ventilator-associated pneumonia. Crit. Care Med. 2003, 31, 1908–1914. [Google Scholar] [CrossRef] [PubMed]
- Guérin, C.; Girard, R.; Chemorin, C.; De Varax, R.; Fournier, G. Facial mask noninvasive mechanical ventilation reduces the incidence of nosocomial pneumonia. Intensive Care Med. 1997, 23, 1024–1032. [Google Scholar] [CrossRef] [PubMed]
- Guimaraes, M.M.; Rocco, J.R. Prevalence of ventilator-associated pneumonia in a university hospital and prognosis for the patients affected. J. Bras. Pneumol. 2006, 32, 339–346. [Google Scholar] [CrossRef] [PubMed]
- Gursel, G.; Aydogdu, M.; Nadir Ozis, T.; Tasyurek, S. Comparison of the value of initial and serial endotracheal aspirate surveillance cultures in predicting the causative pathogen of ventilator-associated pneumonia. Scand. J. Infect. Dis. 2010, 42, 341–346. [Google Scholar] [CrossRef] [PubMed]
- Alkhawaja, S.; Martin, C.; Butler, R.J.; Gwadry-Sridhar, F. Post-pyloric versus gastric tube feeding for preventing pneumonia and improving nutritional outcomes in critically ill adults. Cochrane Database Syst. Rev. 2015, CD008875. [Google Scholar] [CrossRef] [PubMed]
- Holzapfel, L.; Chevret, S.; Madinier, G.; Ohen, F.; Demingeon, G.; Coupry, A.; Chaudet, M. Influence of long-term oro- or nasotracheal intubation on nosocomial maxillary sinusitis and pneumonia: Results of a prospective, randomized, clinical trial. Crit. Care Med. 1993, 21, 1132–1138. [Google Scholar] [CrossRef] [PubMed]
- Hortal, J.; Muñoz, P.; Cuerpo, G.; Litvan, H.; Rosseel, P.M.; Bouza, E.; European Study Group on Nosocomial Infections, European Workgroup of Cardiothoracic Intensivists. Ventilator-associated pneumonia in patients undergoing major heart surgery: An incidence study in Europe. Crit. Care 2009, 13, R80. [Google Scholar] [CrossRef] [PubMed]
- Hugonnet, S.; Uçkay, I.; Pittet, D. Staffing level: A determinant of late-onset ventilator-associated pneumonia. Crit. Care 2007, 11, R80. [Google Scholar] [CrossRef] [PubMed]
- Hyllienmark, P.; Gardlund, B.; Persson, J.O.; Ekdahl, K. Nosocomial pneumonia in the ICU: A prospective cohort study. Scand. J. Infect. Dis. 2007, 39, 676–682. [Google Scholar] [CrossRef] [PubMed]
- Ibáñez, J.; Peñafiel, A.; Marsé, P.; Jordá, R.; Raurich, J.M.; Mata, F. Incidence of gastroesophageal reflux and aspiration in mechanically ventilated patients using small-bore nasogastric tubes. J. Parenter. Enter. Nutr. 2000, 24, 103–106. [Google Scholar] [CrossRef] [PubMed]
- Ibrahim, E.H.; Ward, S.; Sherman, G.; Kollef, M.H. A comparative analysis of patients with early-onset vs late-onset nosocomial pneumonia in the ICU setting. Chest 2000, 117, 1434–1442. [Google Scholar] [CrossRef] [PubMed]
- Ibrahim, E.H.; Sherman, G.; Ward, S.; Fraser, V.J.; Kollef, M.H. The influence of inadequate antimicrobial treatment of bloodstream infections on patient outcomes in the ICU setting. Chest 2000, 118, 146–155. [Google Scholar] [CrossRef] [PubMed]
- Jacobs, S.; Chang, R.W.; Lee, B.; Bartlett, F.W. Continuous enteral feeding: A major cause of pneumonia among ventilated intensive care unit patients. JPEN J. Parenter. Enter. Nutr. 1990, 14, 353–356. [Google Scholar] [CrossRef] [PubMed]
- Jaillette, E.; Nseir, S. Relationship between inhaled β2-agonists and ventilator-associated pneumonia: A cohort study. Crit. Care Med. 2011, 39, 725–730. [Google Scholar] [CrossRef] [PubMed]
- Jaimes, F.; De La Rosa, G.; Gómez, E.; Múnera, P.; Ramírez, J.; Castrillón, S. Incidence and risk factors for ventilator-associated pneumonia in a developing country Where is the difference? Respir. Med. 2007, 101, 762–767. [Google Scholar] [CrossRef] [PubMed]
- Jiménez, P.; Torres, A.; Rodríguez-Roisin, R.; de la Bellacasa, J.P.; Aznar, R.; Gatell, J.M.; Agustí-Vidal, A. Incidence and etiology of pneumonia acquired during mechanical ventilation. Crit. Care Med. 1989, 17, 882–885. [Google Scholar] [CrossRef] [PubMed]
- Kallel, H.; Chelly, H.; Bahloul, M.; Ksibi, H.; Dammak, H.; Chaari, A.; Hamida, C.B.; Rekik, N.; Bouaziz, M. The effect of ventilator-associated pneumonia on the prognosis of head trauma patients. J. Trauma Acute Care Surg. 2005, 59, 705–710. [Google Scholar]
- Kallel, H.; Houcke, S.; Resiere, D.; Roy, M.; Mayence, C.; Mathien, C.; Mootien, J.; Demar, M.; Hommel, D.; Djossou, F. Epidemiology and Prognosis of Intensive Care Unit–Acquired Bloodstream Infection. Am. J. Trop. Med. Hyg. 2020, 103, 508. [Google Scholar] [CrossRef] [PubMed]
- Kanafani, Z.A.; Kara, L.; Hayek, S.; Kanj, S.S. Ventilator-associated pneumonia at a tertiary-care center in a developing country: Incidence, microbiology, and susceptibility patterns of isolated microorganisms. Infect. Control Hosp. Epidemiol. 2003, 24, 864–869. [Google Scholar] [CrossRef] [PubMed][Green Version]
- Kantorova, I.; Svoboda, P.; Scheer, P.; Doubek, J.; Rehorkova, D.; Bosakova, H.; Ochmann, J. Stress ulcer prophylaxis in critically ill patients: A randomized controlled trial. Hepato-Gastroenterology 2004, 51, 757–761. [Google Scholar]
- Karin, A.; Peršec, J.; Bakran, K.; Pražetina, M.; Šribar, A. Etiology, incidence and mortality in patients with ventilator-associated pneumonia in adult general surgery and cardiac surgery intensive care units in University Hospital Dubrava. Infektološki Glas. 2019, 39, 124–128. [Google Scholar] [CrossRef]
- Kasuya, Y.; Hargett, J.L.; Lenhardt, R.; Heine, M.F.; Doufas, A.G.; Remmel, K.S.; Ramirez, J.A.; Akça, O. Ventilator-associated pneumonia in critically ill stroke patients: Frequency, risk factors, and outcomes. J. Crit. Care 2011, 26, 273–279. [Google Scholar] [CrossRef] [PubMed]
- Kirschenbaum, L.; Azzi, E.; Sfeir, T.; Tietjen, P.; Astiz, M. Effect of continuous lateral rotational therapy on the prevalence of ventilator-associated pneumonia in patients requiring long-term ventilatory care. Crit. Care Med. 2002, 30, 1983–1986. [Google Scholar] [CrossRef] [PubMed]
- Ko, H.K.; Yu, W.K.; Lien, T.C.; Wang, J.H.; Slutsky, A.S.; Zhang, H.; Kou, Y.R. Intensive care unit-acquired bacteremia in mechanically ventilated patients: Clinical features and outcomes. PLoS ONE 2013, 8, e83298. [Google Scholar] [CrossRef] [PubMed]
- Kollef, M.H. Ventilator-associated pneumonia. A multivariate analysis. JAMA 1993, 270, 1965–1970. [Google Scholar] [CrossRef] [PubMed]
- Kollef, M.H.; Shapiro, S.D.; Fraser, V.J.; Silver, P.; Murphy, D.M.; Trovillion, E.; Hearns, M.L.; Richards, R.D.; Cracchilo, L.; Hossin, L. Mechanical ventilation with or without 7-day circuit changes. A randomized controlled trial. Ann. Intern. Med. 1995, 123, 168–174. [Google Scholar] [CrossRef] [PubMed]
- Kollef, M.H.; Silver, P.; Murphy, D.M.; Trovillion, E. The effect of late-onset ventilator-associated pneumonia in determining patient mortality. Chest 1995, 108, 1655–1662. [Google Scholar] [CrossRef] [PubMed]
- Kollef, M.H.; Von Harz, B.; Prentice, D.; Shapiro, S.D.; Silver, P.; John, R.S.; Trovillion, E. Patient transport from intensive care increases the risk of developing ventilator-associated pneumonia. Chest 1997, 112, 765–773. [Google Scholar] [CrossRef] [PubMed]
- Kollef, M.H.; Prentice, D.; Shapiro, S.D.; Fraser, V.J.; Silver, P.; Trovillion, E.; Weilitz, P.; Von Harz, B. STJOHNRO Mechanical ventilation with or without daily changes of in-line suction catheters. Am. J. Respir. Crit. Care Med. 1997, 156, 466–472. [Google Scholar] [CrossRef] [PubMed]
- Kollef, M.H.; Chastre, J.; Fagon, J.Y.; François, B.; Niederman, M.S.; Rello, J.; Torres, A.; Vincent, J.L.; Wunderink, R.G.; Go, K.W.; et al. Global prospective epidemiologic and surveillance study of ventilator-associated pneumonia due to Pseudomonas aeruginosa. Crit. Care Med. 2014, 42, 2178–2187. [Google Scholar] [CrossRef] [PubMed]
- Kołpa, M.; Wałaszek, M.; Gniadek, A.; Wolak, Z.; Dobroś, W. Incidence, microbiological profile and risk factors of healthcare-associated infections in intensive care units: A 10 year observation in a provincial hospital in Southern Poland. Int. J. Environ. Res. Public Health 2018, 15, 112. [Google Scholar] [CrossRef]
- Koss, W.G.; Khalili, T.M.; Lemus, J.F.; Chelly, M.M.; Margulies, D.R.; Shabot, M.M. Nosocomial pneumonia is not prevented by protective contact isolation in the surgical intensive care unit. Am. Surg. 2001, 67, 1140–1144. [Google Scholar] [CrossRef] [PubMed]
- Kunac, A.; Sifri, Z.C.; Mohr, A.M.; Horng, H.; Lavery, R.F.; Livingston, D.H. Bacteremia and Ventilator-Associated Pneumonia: A Marker for Contemporaneous Extra-Pulmonic Infection. Surg. Infect. 2014, 15, 77–83. [Google Scholar] [CrossRef] [PubMed]
- Lambert, M.L.; Suetens, C.; Savey, A.; Palomar, M.; Hiesmayr, M.; Morales, I.; Agodi, A.; Frank, U.; Mertens, K.; Schumacher, M.; et al. Clinical outcomes of health-care-associated infections and antimicrobial resistance in patients admitted to European intensive-care units: A cohort study. Lancet Infect. Dis. 2011, 11, 30–38. [Google Scholar] [CrossRef] [PubMed]
- Laupland, K.B.; Zygun, D.A.; Davies, H.D.; Church, D.L.; Louie, T.J.; Doig, C.J. Population-based assessment of intensive care unit-acquired bloodstream infections in adults: Incidence, risk factors, and associated mortality rate. Crit. Care Med. 2002, 30, 2462–2467. [Google Scholar] [CrossRef]
- Laupland, K.B.; Kirkpatrick, A.W.; Church, D.L.; Ross, T.; Gregson, D.B. Intensive-care-unit-acquired bloodstream infections in a regional critically ill population. J. Hosp. Infect. 2004, 58, 137–145. [Google Scholar] [CrossRef] [PubMed]
- Leblebicioglu, H.; Ersoz, G.; Rosenthal, V.D.; Nevzat-Yalcin, A.; Akan, Ö.A.; Sirmatel, F.; Turgut, H.; Ozdemir, D.; Alp, E.; Uzun, C.; et al. Impact of a multidimensional infection control approach on catheter-associated urinary tract infection rates in adult intensive care units in 10 cities of Turkey: International Nosocomial Infection Control Consortium findings (INICC). Am. J. Infect. Control. 2013, 41, 885–891. [Google Scholar] [CrossRef] [PubMed]
- Lepelletier, D.; Roquilly, A.; Mahe, P.J.; Loutrel, O.; Champin, P.; Corvec, S.; Naux, E.; Pinaud, M.; Lejus, C.; Asehnoune, K. Retrospective analysis of the risk factors and pathogens associated with early-onset ventilator-associated pneumonia in surgical-ICU head-trauma patients. J. Neurosurg. Anesthesiol. 2010, 22, 32–37. [Google Scholar] [CrossRef] [PubMed]
- Lowy, F.D.; Carlisle, P.S.; Adams, A.; Feiner, C. The incidence of nosocomial pneumonia following urgent endotracheal intubation. Infect. Control Hosp. Epidemiol. 1987, 8, 245–248. [Google Scholar] [CrossRef] [PubMed]
- Luna, C.M.; Blanzaco, D.; Niederman, M.S.; Matarucco, W.; Baredes, N.C.; Desmery, P.; Palizas, F.; Menga, G.; Rios, F.; Apezteguia, C. Resolution of ventilator-associated pneumonia: Prospective evaluation of the clinical pulmonary infection score as an early clinical predictor of outcome. Crit. Care Med. 2003, 31, 676–682. [Google Scholar] [CrossRef] [PubMed]
- Luyt, C.E.; Guérin, V.; Combes, A.; Trouillet, J.L.; Ayed, S.B.; Bernard, M.; Gibert, C.; Chastre, J. Procalcitonin kinetics as a prognostic marker of ventilator-associated pneumonia. Am. J. Respir. Crit. Care Med. 2005, 171, 48–53. [Google Scholar] [CrossRef] [PubMed]
- Magnason, S.; Kristinsson, K.G.; Stefansson, T.; Erlendsdottir, H.; Jonsdottir, K.; Kristjansson, M.; Gudmundsson, S. Risk factors and outcome in ICU-acquired infections. Acta Anaesthesiol. Scand. 2008, 52, 1238–1245. [Google Scholar] [CrossRef] [PubMed]
- Magret, M.; Amaya-Villar, R.; Garnacho, J.; Lisboa, T.; Diaz, E.; DeWaele, J.; Deja, M.; Manno, E.; Rello, J. EU-VAP/CAP Study Group: Ventilator-associated pneumonia in trauma patients is associated with lower mortality: Results from EU-VAP study. J. Trauma Acute Care Surg. 2010, 69, 849–854. [Google Scholar] [CrossRef] [PubMed]
- Mahul, P.; Auboyer, C.; Jospe, R.; Ros, A.; Guerin, C.; el Khouri, Z.; Galliez, M.; Dumont, A.; Gaudin, O. Prevention of nosocomial pneumonia in intubated patients respective role of mechanical subglottic secretions drainage and stress ulcer prophylaxis. Intensive Care Med. 1992, 18, 20–25. [Google Scholar] [CrossRef] [PubMed]
- Makris, D.; Manoulakas, E.; Komnos, A.; Papakrivou, E.; Tzovaras, N.; Hovas, A.; Zintzaras, E.; Zakynthinos, E. Effect of pravastatin on the frequency of ventilator-associated pneumonia and on intensive care unit mortality: Open-label, randomized study. Crit. Care Med. 2011, 39, 2440–2446. [Google Scholar] [CrossRef] [PubMed]
- Markowicz, P.; Wolff, M.; Djedaini, K.; Cohen, Y.; Chastre, J.; Delclaux, C. Multicenter prospective study of ventilator-associated pneumonia during acute respiratory distress syndrome. Incidence, prognosis, and risk factors. ARDS Study Group. Am. J. Respir. Crit. Care Med. 2000, 161, 1942–1948. [Google Scholar] [CrossRef] [PubMed]
- Massart, N.; Wattecamps, G.; Moriconi, M.; Fillatre, P. Attributable mortality of ICU acquired bloodstream infections: A propensity-score matched analysis. Eur. J. Clin. Microbiol. Infect. Dis. 2021, 40, 1673–1680. [Google Scholar] [CrossRef]
- Meduri, G.U.; Reddy, R.C.; Stanley, T.; El-Zeky, F. Pneumonia in acute respiratory distress syndrome: A prospective evaluation of bilateral bronchoscopic sampling. Am. J. Respir. Crit. Care Med. 1998, 158, 870–875. [Google Scholar] [CrossRef] [PubMed]
- Memish, Z.A.; Cunningham, G.; Oni, G.A.; Djazmati, W. The incidence and risk factors of ventilator-associated pneumonia in a Riyadh hospital. Infect. Control Hosp. Epidemiol. 2000, 21, 271–273. [Google Scholar] [CrossRef] [PubMed]
- Michel, F.; Franceschini, B.; Berger, P.; Arnal, J.M.; Gainnier, M.; Sainty, J.M.; Papazian, L. Early antibiotic treatment for BAL-confirmed ventilator-associated pneumonia: A role for routine endotracheal aspirate cultures. Chest 2005, 127, 589–597. [Google Scholar] [CrossRef] [PubMed]
- Moine, P.; Timsit, J.F.; De Lassence, A.; Troché, G.; Fosse, J.P.; Alberti, C.; Cohen, Y. Mortality associated with late-onset pneumonia in the intensive care unit: Results of a multi-center cohort study. Intensive Care Med. 2002, 28, 154–163. [Google Scholar] [CrossRef] [PubMed]
- Myny, D.; Depuydt, P.; Colardyn, F.; Blot, S. Ventilator-associated pneumonia in a tertiary care ICU analysis of risk factors for acquisition and mortality. Acta Clin. Belg. 2005, 60, 114–121. [Google Scholar] [CrossRef] [PubMed]
- Nguile-Makao, M.; Zahar, J.R.; Français, A.; Tabah, A.; Garrouste-Orgeas, M.; Allaouchiche, B.; Goldgran-Toledano, D.; Azoulay, E.; Adrie, C.; Jamali, S.; et al. Attributable mortality of ventilator-associated pneumonia: Respective impact of main characteristics at ICU admission and VAP onset using conditional logistic regression and multi-state models. Intensive Care Med. 2010, 36, 781–789. [Google Scholar] [CrossRef] [PubMed]
- Nielsen, S.L.; Røder, B.; Magnussen, P.; Engquist, A.; Frimodt-møller, N. Nosocomial pneumonia in an intensive care unit in a Danish university hospital: Incidence, mortality and etiology. Scand. J. Infect. Dis. 1992, 24, 65–70. [Google Scholar] [CrossRef] [PubMed]
- Noor, A.; Hussain, S.F. Risk factors associated with development of ventilator associated pneumonia. J. Coll. Physicians Surg. Pak. 2005, 15, 92–95. [Google Scholar] [PubMed]
- Nseir, S.; Di Pompeo, C.; Soubrier, S.; Cavestri, B.; Jozefowicz, E.; Saulnier, F.; Durocher, A. Impact of ventilator-associated pneumonia on outcome in patients with COPD. Chest 2005, 128, 1650–1656. [Google Scholar] [CrossRef] [PubMed]
- Saied, W.I.; Mourvillier, B.; Cohen, Y.; Ruckly, S.; Reignier, J.; Marcotte, G.; Siami, S.; Bouadma, L.; Darmon, M.; Argaud, L.; et al. A comparison of the mortality risk associated with ventilator-acquired bacterial pneumonia and nonventilator ICU-acquired bacterial pneumonia. Crit. Care Med. 2019, 47, 345–352. [Google Scholar] [CrossRef] [PubMed]
- Papazian, L.; Bregeon, F.; Thirion, X.; Gregoire, R.; Saux, P.; Denis, J.P.; Perin, G.; Charrel, J.; Dumon, J.F.; Affray, J.P.; et al. Effect of ventilator-associated pneumonia on mortality and morbidity. Am. J. Respir. Crit. Care Med. 1996, 154, 91–97. [Google Scholar] [CrossRef]
- Pawar, M.; Mehta, Y.; Khurana, P.; Chaudhary, A.; Kulkarni, V.; Trehan, N. Ventilator-associated pneumonia: Incidence, risk factors, outcome, and microbiology. J. Cardiothorac. Vasc Anesth. 2003, 17, 22–28. [Google Scholar] [CrossRef] [PubMed]
- Plurad, D.S.; Kim, D.; Bricker, S.; Lemesurier, L.; Neville, A.; Bongard, F.; Putnam, B. Ventilator-associated pneumonia in severe traumatic brain injury: The clinical significance of admission Chest computed tomography findings. J. Surg. Res. 2013, 183, 371–376. [Google Scholar] [CrossRef] [PubMed]
- Pouwels, K.B.; Vansteelandt, S.; Batra, R.; Edgeworth, J.D.; Smieszek, T.; Robotham, J.V. Intensive care unit (ICU)-acquired bacteraemia and ICU mortality and discharge: Addressing time-varying confounding using appropriate methodology. J. Hosp. Infect. 2018, 99, 42–47. [Google Scholar] [CrossRef] [PubMed]
- Prowle, J.R.; Echeverri, J.E.; Ligabo, E.V.; Sherry, N.; Taori, G.C.; Crozier, T.M.; Bellomo, R. Acquired bloodstream infection in the intensive care unit: Incidence and attributable mortality. Crit. Care 2011, 15, R100. [Google Scholar] [CrossRef] [PubMed]
- Ramirez, P.; Lopez-Ferraz, C.; Gordon, M.; Gimeno, A.; Villarreal, E.; Ruiz, J.; Menendez, R.; Torres, A. From starting mechanical ventilation to ventilator-associated pneumonia, choosing the right moment to start antibiotic treatment. Crit. Care 2016, 20, 169. [Google Scholar] [CrossRef] [PubMed]
- Rello, J.; Quintana, E.; Ausina, V.; Castella, J.; Luquin, M.; Net, A.; Prats, G. Incidence, etiology, and outcome of nosocomial pneumonia in mechanically ventilated patients. Chest 1991, 100, 439–444. [Google Scholar] [CrossRef] [PubMed]
- Rello, J.; Ricart, M.; Mirelis, B.; Quintana, E.; Gurgui, M.; Net, A.; Prats, G. Nosocomial bacteremia in a medical-surgical intensive care unit: Epidemiologic characteristics and factors influencing mortality in 111 episodes. Intensive Care Med. 1994, 20, 94–98. [Google Scholar] [CrossRef] [PubMed]
- Rello, J.; Ollendorf, D.A.; Oster, G.; Vera-Llonch, M.; Bell, L.; Redman, R.; Kollef, M.H. Epidemiology and outcomes of ventilator-associated pneumonia in a large US database. Chest 2002, 122, 2115–2121. [Google Scholar] [CrossRef] [PubMed]
- Rello, J.; Lorente, C.; Diaz, E.; Bodi, M.; Boque, C.; Sandiumenge, A.; Santamaria, J.M. Incidence, etiology, and outcome of nosocomial pneumonia in ICU patients requiring percutaneous tracheotomy for mechanical ventilation. Chest 2003, 124, 2239–2243. [Google Scholar] [CrossRef] [PubMed]
- Resende, M.M.; Monteiro, S.G.; Callegari, B.; Figueiredo, P.M.; Monteiro, C.R.; Monteiro-Neto, V. Epidemiology and outcomes of ventilator-associated pneumonia in northern Brazil: An analytical descriptive prospective cohort study. BMC Infect. Dis. 2013, 13, 119. [Google Scholar] [CrossRef] [PubMed]
- Reusser, P.; Zimmerli, W.; Scheidegger, D.; Marbet, G.A.; Buser, M.; Gyr, K. Role of gastric colonization in nosocomial infections and endotoxemia: A prospective study in neurosurgical patients on mechanical ventilation. J. Infect. Dis. 1989, 160, 414–421. [Google Scholar] [CrossRef] [PubMed]
- Rezai, M.S.; Bagheri–Nesami, M.; Nikkhah, A.; Bayg, A.H. Incidence, risk factors, and outcome of ventilator-associated Pneumonia in 18 hospitals of Iran. Running title: Ventilator-associated pneumonia in Iran. Int. J. Adv. Biotech. Res. 2016, 7, 936–946. [Google Scholar]
- Rincón-Ferrari, M.D.; Flores-Cordero, J.M.; Leal-Noval, S.R.; Murillo-Cabezas, F.; Cayuelas, A.; Muñoz-Sánchez, M.A.; Sánchez-Olmedo, J.I. Impact of ventilator-associated pneumonia in patients with severe head injury. J. Trauma Acute Care Surg. 2004, 57, 1234–1240. [Google Scholar] [CrossRef] [PubMed]
- Rodrigues, P.M.; Neto, C.; Santos, L.R.; Knibel, M.F. Ventilator-associated pneumonia: Epidemiology and impact on the clinical evolution of ICU patients. J. Bras. De Pneumol. 2009, 35, 1084–1091. [Google Scholar] [CrossRef] [PubMed]
- Rodriguez, J.L.; Gibbons, K.J.; Bitzer, L.G.; Dechert, R.E.; Steinberg, S.M.; Flint, L.M. Pneumonia: Incidence, risk factors, and outcome in injured patients. J. Trauma Acute Care Surg. 1991, 31, 907–912. [Google Scholar] [CrossRef]
- Rosenthal, V.D.; Maki, D.G.; Salomao, R.; Moreno, C.A.; Mehta, Y.; Higuera, F.; Cuellar, L.E.; Arikan, Ö.A.; Abouqal, R.; Leblebicioglu, H. International Nosocomial Infection Control Consortium*. Device-associated nosocomial infections in 55 intensive care units of 8 developing countries. Ann. Intern. Med. 2006, 145, 582–591. [Google Scholar] [CrossRef] [PubMed]
- Rosenthal, V.D.; Rodrigues, C.; Madani, N.; Mitrev, Z.; Ye, G.; Salomao, R.; Ulger, F.; Guanche-Garcell, H.; Kanj, S.S.; Cuéllar, L.E.; et al. Effectiveness of a multidimensional approach for prevention of ventilator-associated pneumonia in adult intensive care units from 14 developing countries of four continents: Findings of the International Nosocomial Infection Control Consortium. Crit. Care Med. 2012, 40, 3121–3128. [Google Scholar] [CrossRef] [PubMed]
- Ruiz-Santana, S.; Garcia Jimenez, A.; Esteban, A.; Guerra, L.; Alvarez, B.; Corcia, S.; Gudin, J.; Martinez, A.; Quintana, E.; Armengol, S.; et al. ICU pneumonias: A multi-institutional study. Crit. Care Med. 1987, 15, 930–932. [Google Scholar] [CrossRef]
- Salata, R.A.; Lederman, M.M.; Shlaes, D.M.; Jacobs, M.R.; Eckstein, E.; Tweardy, D.; Toossi, Z.; Chmielewski, R.; Marino, J.; King, C.H. Diagnosis of nosocomial pneumonia in intubated, intensive care unit patients. Am. Rev. Respir. Dis. 1987, 135, 426–432. [Google Scholar] [PubMed]
- Shahin, J.; Bielinski, M.; Guichon, C.; Flemming, C.; Kristof, A.S. Suspected ventilator-associated respiratory infection in severely ill patients: A prospective observational study. Crit. Care 2013, 17, R251. [Google Scholar] [CrossRef] [PubMed]
- Sofianou, D.C.; Constandinidis, T.C.; Yannacou, M.; Anastasiou, H.; Sofianos, E. Analysis of risk factors for ventilator-associated pneumonia in a multidisciplinary intensive care unit. Eur. J. Clin. Microbiol. Infect. Dis. 2000, 19, 460–463. [Google Scholar] [CrossRef] [PubMed]
- Stéphan, F.; Mabrouk, N.; Decailliot, F.; Delclaux, C.; Legrand, P. Ventilator-associated pneumonia leading to acute lung injury after trauma: Importance of Haemophilus influenzae. Anesthesiology 2006, 104, 235–241. [Google Scholar] [CrossRef] [PubMed]
- Stoclin, A.; Rotolo, F.; Hicheri, Y.; Mons, M.; Chachaty, E.; Gachot, B.; Pignon, J.P.; Wartelle, M.; Blot, F. Ventilator-associated pneumonia and bloodstream infections in intensive care unit cancer patients: A retrospective 12-year study on 3388 prospectively monitored patients. Support. Care Cancer 2020, 28, 193–200. [Google Scholar] [CrossRef] [PubMed]
- Sutherland, K.R.; Steinberg, K.P.; Maunder, R.J.; Milberg, J.A.; Allen, D.L.; Hudson, L.D. Pulmonary infection during the acute respiratory distress syndrome. Am. J. Respir. Crit. Care Med. 1995, 152, 550–556. [Google Scholar] [CrossRef] [PubMed]
- Tan, X.; Zhu, S.; Yan, D.; Chen, W.; Chen, R.; Zou, J.; Yan, J.; Zhang, X.; Farmakiotis, D.; Mylonakis, E. Candida spp. airway colonization: A potential risk factor for Acinetobacter baumannii ventilator-associated pneumonia. Med. Mycol. 2016, 54, myw009. [Google Scholar] [CrossRef] [PubMed]
- Tejada Artigas, A.T.; Dronda, S.B.; Vallés, E.C.; Marco, J.M.; Usón, M.C.; Figueras, P.; Suarez, F.J.; Hernandez, A. Risk factors for nosocomial pneumonia in critically ill trauma patients. Crit. Care Med. 2001, 29, 304–309. [Google Scholar] [CrossRef] [PubMed]
- Thompson, D.S. Estimates of the rate of acquisition of bacteraemia and associated excess mortality in a general intensive care unit: A 10 year study. J. Hosp. Infect. 2008, 69, 56–61. [Google Scholar] [CrossRef] [PubMed]
- Timsit, J.F.; Chevret, S.; Valcke, J.; Misset, B.; Renaud, B.; Goldstein, F.W.; Vaury, P.; Carlet, J. Mortality of nosocomial pneumonia in ventilated patients: Influence of diagnostic tools. Am. J. Respir. Crit. Care Med. 1996, 154, 116–123. [Google Scholar] [CrossRef] [PubMed]
- Timsit, J.F.; Schwebel, C.; Styfalova, L.; Cornet, M.; Poirier, P.; Forrestier, C.; Ruckly, S.; Jacob, M.C.; Souweine, B. Impact of bronchial colonization with Candida spp. on the risk of bacterial ventilator-associated pneumonia in the ICU: The FUNGIBACT prospective cohort study. Intensive Care Med. 2019, 45, 834–843. [Google Scholar] [CrossRef] [PubMed]
- Torres, A.; Aznar, R.; Gatell, J.M.; Jiménez, P.; González, J.; Ferrer, A.; Celis, R.; Rodriguez-Roisin, R. Incidence, risk, and prognosis factors of nosocomial pneumonia in mechanically ventilated patients. Am. Rev. Respir. Dis. 1990, 142, 523–528. [Google Scholar] [CrossRef] [PubMed]
- Trouillet, J.L.; Chastre, J.; Vuagnat, A.; Joly-Guillou, M.L.; Combaux, D.; Dombret, M.C.; Gibert, C. Ventilator-associated pneumonia caused by potentially drug-resistant bacteria. Am. J. Respir. Crit. Care Med. 1998, 157, 531–539. [Google Scholar] [CrossRef] [PubMed]
- Urli, T.; Perone, G.; Acquarolo, A.; Zappa, S.; Antonini, B.; Ciani, A. Surveillance of infections acquired in intensive care: Usefulness in clinical practice. J. Hosp. Infect. 2002, 52, 130–135. [Google Scholar] [CrossRef] [PubMed]
- Valles, J.; Pobo, A.; Garcia-Esquirol, O.; Mariscal, D.; Real, J.; Fernández, R. Excess ICU mortality attributable to ventilator-associated pneumonia: The role of early vs late onset. Intensive Care Med. 2007, 33, 1363–1368. [Google Scholar] [CrossRef] [PubMed]
- Vanhems, P.; Bénet, T.; Voirin, N.; Januel, J.M.; Lepape, A.; Allaouchiche, B.; Argaud, L.; Chassard, D.; Guérin, C. Early-onset ventilator-associated pneumonia incidence in intensive care units: A surveillance-based study. BMC Infect. Dis. 2011, 11, 236. [Google Scholar] [CrossRef] [PubMed]
- Verhamme, K.M.; De Coster, W.; De Roo, L.; De Beenhouwer, H.; Nollet, G.; Verbeke, J.; Demeyer, I.; Jordens, P. Pathogens in early-onset and late-onset intensive care unit–acquired pneumonia. Infect. Control Hosp. Epidemiol. 2007, 28, 389–397. [Google Scholar] [CrossRef] [PubMed]
- Violan, J.S.; Sanchez-Ramirez, C.; Mujica, A.P.; Cendrero, J.C.; Fernandez, J.A.; de Castro, F.R. Impact of nosocomial pneumonia on the outcome of mechanically-ventilated patients. Crit. Care 1998, 2, 19–23. [Google Scholar] [CrossRef] [PubMed]
- Warren, D.K.; Zack, J.E.; Elward, A.M.; Cox, M.J.; Fraser, V.J. Nosocomial primary bloodstream infections in intensive care unit patients in a nonteaching community medical center: A 21-month prospective study. Clin. Infect. Dis. 2001, 33, 1329–1335. [Google Scholar] [CrossRef] [PubMed]
- Woske, H.J.; Röding, T.; Schulz, I.; Lode, H. Ventilator-associated pneumonia in a surgical intensive care unit Epidemiology, etiology and comparison of three bronchoscopic methods for microbiological specimen sampling. Crit. Care 2001, 5, 167–173. [Google Scholar] [CrossRef] [PubMed]
- Xie, D.S.; Xiong, W.; Lai, R.P.; Liu, L.; Gan, X.M.; Wang, X.H.; Wang, M.; Lou, Y.X.; Fu, X.Y.; Wang, H.F.; et al. Ventilator-associated pneumonia in intensive care units in Hubei Province, China: A multicentre prospective cohort survey. J. Hosp. Infect. 2011, 78, 284–288. [Google Scholar] [CrossRef] [PubMed]
- Zahar, J.R.; Nguile-Makao, M.; Français, A.; Schwebel, C.; Garrouste-Orgeas, M.; Goldgran-Toledano, D.; Azoulay, E.; Thuong, M.; Jamali, S.; Cohen, Y.; et al. Predicting the risk of documented ventilator-associated pneumonia for benchmarking: Construction and validation of a score. Crit. Care Med. 2009, 37, 2545–2551. [Google Scholar] [CrossRef] [PubMed]
- Apisarnthanarak, A.; Pinitchai, U.; Thongphubeth, K.; Yuekyen, C.; Warren, D.K.; Zack, J.E.; Warachan, B.; Fraser, V.J. Effectiveness of an educational program to reduce ventilator-associated pneumonia in a tertiary care center in Thailand: A 4-year study. Clin. Infect. Dis. 2007, 45, 704–711. [Google Scholar] [CrossRef] [PubMed]
- Acosta-Escribano, J.; Fernández-Vivas, M.; Carmona, T.G.; Caturla-Such, J.; Garcia-Martinez, M.; Menendez-Mainer, A.; Sanchez-Payá, J. Gastric versus transpyloric feeding in severe traumatic brain injury: A prospective, randomized trial. Intensive Care Med. 2010, 36, 1532–1539. [Google Scholar] [CrossRef] [PubMed]
- Bonten, M.J.; Gaillard, C.A.; Van der Geest, S.; Van Tiel, F.H.; Beysens, A.J.; Smeets, H.G.; Stobberingh, E.E. The role of intragastric acidity and stress ulcer prophylaxis on colonization and infection in mechanically ventilated ICU patients. A stratified, randomized, double-blind study of sucralfate versus antacids. Am. J. Respir. Crit. Care Med. 1995, 152, 1825–1834. [Google Scholar] [CrossRef] [PubMed]
- Cook, D.; Guyatt, G.; Marshall, J.; Leasa, D.; Fuller, H.; Hall, R.; Peters, S.; Rutledge, F.; Griffith, L.; McLellan, A.; et al. A comparison of sucralfate and ranitidine for the prevention of upper gastrointestinal bleeding in patients requiring mechanical ventilation. Canadian Critical Care Trials Group. N. Engl. J. Med. 1998, 338, 791–797. [Google Scholar] [CrossRef] [PubMed]
- Driks, M.R.; Craven, D.E.; Celli, B.R.; Manning, M.; Burke, R.A.; Garvin, G.M.; Kunches, L.M.; Farber, H.W.; Wedel, S.A.; McCabe, W.R. Nosocomial pneumonia in intubated patients given sucralfate as compared with antacids or histamine type 2 blockers. The role of gastric colonization. N. Engl. J. Med. 1987, 317, 1376–1382. [Google Scholar] [CrossRef] [PubMed]
- Forestier, C.; Guelon, D.; Cluytens, V.; Guillart, T.; Sirot, J.; De champs, C. Oral probiotic and prevention of Pseudomonas aeruginosa infections: A randomized, double-blind, placebocontrolled pilot study in intensive care unit patients. Crit. Care 2008, 12, R69. [Google Scholar] [CrossRef] [PubMed]
- Giamarellos-Bourboulis, E.J.; Bengmark, S.; Kanellakopoulou, K.; Kotzampassi, K. Pro-and synbiotics to control inflammation and infection in patients with multiple injuries. J. Trauma Acute Care Surg. 2009, 67, 815–821. [Google Scholar] [CrossRef] [PubMed]
- Heyland, D.K.; Cook, D.J.; Schoenfeld, P.S.; Frietag, A.; Varon, J.; Wood, G. The effect of acidified enteral feeds on gastric colonization in critically ill patients: Results of a multicenter randomized trial. Canadian Critical Care Trials Group. Crit. Care Med. 1999, 27, 2399–2406.201. [Google Scholar] [CrossRef] [PubMed]
- Knight, D.J.; Gardiner, D.; Banks, A.; Snape, S.E.; Weston, V.C.; Bengmark, S.; Girling, K.J. Effect of synbiotic therapy on the incidence of ventilator associated pneumonia in critically ill patients: A randomised, double-blind, placebo-controlled trial. Intensive Care Med. 2009, 35, 854–861. [Google Scholar] [CrossRef] [PubMed]
- Kostadima, E.; Kaditis, A.G.; Alexopoulos, E.I.; Zakynthinos, E.; Sfyras, D. Early gastrostomy reduces the rate of ventilator-associated pneumonia in stroke or head injury patients. Eur. Respir. J. 2005, 26, 106–111. [Google Scholar] [CrossRef] [PubMed]
- Laggner, A.N.; Lenz, K.; Base, W.; Druml, W.; Schneeweiss, B.; Grimm, G. Prevention of upper gastrointestinal bleeding in long-term ventilated patients: Sucralfate versus ranitidine. Am. J. Med. 1989, 86, 81–84. [Google Scholar] [CrossRef] [PubMed]
- Martin, C.; Perrin, G.; Gevaudan, M.J.; Saux, P.; Gouin, F. Heat and moisture exchangers and vaporizing humidifiers in the intensive care unit. Chest 1990, 97, 144–149. [Google Scholar] [CrossRef] [PubMed]
- Miano, T.A.; Reichert, M.G.; Houle, T.T.; MacGregor, D.A.; Kincaid, E.H.; Bowton, D.L. Nosocomial pneumonia risk and stress ulcer prophylaxis: A comparison of pantoprazole vs ranitidine in cardiothoracic surgery patients. Chest 2009, 136, 440–447. [Google Scholar] [CrossRef] [PubMed]
- Montecalvo, M.A.; Steger, K.A.; Farber, H.W.; Smith, B.F.; Dennis, R.C.; Fitzpatrick, G.F.; Pollack, S.D.; Korsberg, T.Z.; Birkett, D.H.; Hirsch, E.F. Nutritional outcome and pneumonia in critical care patients randomized to gastric versus jejunal tube feedings. The Critical Care Research Team. Crit. Care Med. 1992, 20, 1377–1387. [Google Scholar] [CrossRef] [PubMed]
- Morrow, L.E.; Kollef, M.H.; Casale, T.B. Probiotic prophylaxis of ventilator-associated pneumonia: A blinded, randomized, controlled trial. Am. J. Respir. Crit. Care Med. 2010, 182, 1058–1064. [Google Scholar] [CrossRef] [PubMed]
- Pickworth, K.K.; Falcone, R.E.; Hoogeboom, J.E.; Santanello, S.A. Occurrence of nosocomial pneumonia in mechanically ventilated trauma patients: A comparison of sucralfate and ranitidine. Crit. Care Med. 1993, 21, 1856–1862. [Google Scholar] [CrossRef] [PubMed]
- Prod’hom, G.; Leuenberger, P.; Koerfer, J.; Blum, A.; Chiolero, R.; Schaller, M.D.; Perret, C.; Spinnler, O.; Blondel, J.; Siegrist, H.; et al. Nosocomial pneumonia in mechanically ventilated patients receiving antacid, ranitidine, or sucralfate as prophylaxis for stress ulcer. A randomized controlled trial. Ann. Intern. Med. 1994, 120, 653–662. [Google Scholar] [CrossRef]
- Reignier, J.; Mercier, E.; Le Gouge, A.; Boulain, T.; Desachy, A.; Bellec, F.; Lascarrou, J.B. Effect of Not Monitoring Residual Gastric Volume on Risk of Ventilator-Associated Pneumonia in Adults Receiving Mechanical Ventilation and Early Enteral Feeding. A Randomized Controlled Trial. JAMA 2013, 309, 249–256. [Google Scholar] [CrossRef] [PubMed]
- Ryan, P.; Dawson, J.; Teres, D.; Celoria, G.; Navab, F. Nosocomial pneumonia during stress ulcer prophylaxis with cimetidine and sucralfate. Arch. Surg. 1993, 128, 1353–1357. [Google Scholar] [CrossRef] [PubMed]
- Zeng, J.; Wang, C.T.; Zhang, F.S.; Qi, F.; Wang, S.F.; Ma, S.; Wu, T.J.; Tian, H.; Tian, Z.T.; Zhang, S.L.; et al. Effect of probiotics on the incidence of ventilator-associated pneumonia in critically ill patients: A randomized controlled multicenter trial. Intensive Care Med. 2016, 42, 1018–1028. [Google Scholar] [CrossRef] [PubMed]
- Damas, P.; Legrain, C.; Lambermont, B.; Dardenne, N.; Guntz, J.; Kisoka, G.; Demaret, P.; Rousseau, A.F.; Jadot, L.; Piret, S.; et al. Prevention of ventilator-associated pneumonia by noble metal coating of endotracheal tubes: A multi-center, randomized, double-blind study. Ann. Intensive Care 2022, 12, 1. [Google Scholar] [CrossRef] [PubMed]
- Dat, V.Q.; Minh Yen, L.; Thi Loan, H.; Dinh Phu, V.; Thien Binh, N.; Geskus, R.B.; Khanh Trinh, D.H.; Hoang Mai, N.T.; Hoan Phu, N.; Huong Lan, N.P.; et al. Effectiveness of continuous endotracheal cuff pressure control for the prevention of ventilator-associated respiratory infections: An open-label randomized, controlled trial. Clin. Infect. Dis. 2022, 74, 1795–1803. [Google Scholar] [CrossRef] [PubMed]
- Djedaini, K.; Billiard, M.; Mier, L.; Le Bourdelles, G.; Brun, P.; Markowicz, P.; Estagnasie, P.; Coste, F.; Boussougant, Y.; Dreyfuss, D. Changing heat and moisture exchangers every 48 hours rather than 24 hours does not affect their efficacy and the incidence of nosocomial pneumonia. Am. J. Respir. Crit. Care Med. 1995, 152, 1562–1569. [Google Scholar] [CrossRef] [PubMed]
- Drakulovic, M.B.; Torres, A.; Bauer, T.T.; Nicolas, J.M.; Nogué, S.; Ferrer, M. Supine body position as a risk factor for nosocomial pneumonia in mechanically ventilated patients: A randomised trial. Lancet 1999, 354, 1851–1858. [Google Scholar] [CrossRef] [PubMed]
- Dreyfuss, D.; Djedaini, K.; Weber, P.; Brun, P.; Lanore, J.J.; Rahmani, J.; Coste, F. Prospective study of nosocomial pneumonia and of patient and circuit colonization during mechanical ventilation with circuit changes every 48 hours versus no change. Am. Rev. Respir. Dis. 1991, 143 Pt 1, 738–743. [Google Scholar] [CrossRef] [PubMed]
- Dreyfuss, D.; Djedaïni, K.; Gros, I.; Mier, L.; Le Bourdellés, G.; Cohen, Y.; Estagnasié, P.; Coste, F.; Boussougant, Y. Mechanical ventilation with heated humidifiers or heat and moisture exchangers: Effects on patient colonization and incidence of nosocomial pneumonia. Am. J. Respir. Crit. Care Med. 1995, 151, 986–992. [Google Scholar] [PubMed]
- Holzapfel, L.; Chastang, C.; Demingeon, G.; Bohe, J.; Piralla, B.; Coupry, A. A randomized study assessing the systematic search for maxillary sinusitis in nasotracheally mechanically ventilated patients. Influence of nosocomial maxillary sinusitis on the occurrence of ventilator-associated pneumonia. Am. J. Respir. Crit. Care Med. 1999, 159, 695–701. [Google Scholar] [CrossRef] [PubMed]
- Kirton, O.C.; DeHaven, B.; Morgan, J.; Civetta, J.A. A prospective, randomized comparison of an in-line heat moisture exchange filter and heated wire humidifiers: Rates of ventilator-associated early-onset (community-acquired) or late-onset (hospital-acquired) pneumonia and incidence of endotracheal tube occlusion. Chest 1997, 112, 1055–1059. [Google Scholar] [PubMed]
- Kollef, M.H.; Vlasnik, J.O.; Sharpless, L.; Pasque, C.; Murphy, D.; Fraser, V. Scheduled change of antibiotic classes: A strategy to decrease the incidence of ventilator-associated pneumonia. Am. J. Respir. Crit. Care Med. 1997, 156, 1040–1048. [Google Scholar] [CrossRef] [PubMed]
- Kollef, M.H.; Afessa, B.; Anzueto, A.; Veremakis, C.; Kerr, K.M.; Margolis, B.D.; Schinner, R. Silver-coated endotracheal tubes and incidence of ventilator-associated pneumonia: The NASCENT randomized trial. JAMA 2008, 300, 805–813. [Google Scholar] [CrossRef] [PubMed]
- Lacherade, J.C.; Auburtin, M.; Cerf, C.; Van de Louw, A.; Soufir, L.; Rebufat, Y.; Rezaiguia, S.; Ricard, J.D.; Lellouche, F.; Brun-Buisson, C.; et al. Impact of humidification systems on ventilator-associated pneumonia: A randomized multicenter trial. Am. J. Respir. Crit. Care Med. 2005, 172, 1276–1282. [Google Scholar] [CrossRef] [PubMed]
- Lacherade, J.C.; De Jonghe, B.; Guezennec, P.; Debbat, K.; Hayon, J.; Monsel, A.; Bastuji-Garin, S. Intermittent subglottic secretion drainage and ventilator-associated pneumonia A multicenter trial. Am. J. Respir. Crit. Care Med. 2010, 182, 910–917. [Google Scholar] [CrossRef] [PubMed]
- Launey, Y.; Nesseler, N.; Le Cousin, A.; Feuillet, F.; Garlantezec, R.; Mallédant, Y.; Seguin, P. Effect of a fever control protocol-based strategy on ventilator-associated pneumonia in severely brain-injured patients. Crit. Care 2014, 18, 1. [Google Scholar] [CrossRef] [PubMed]
- Lorente, L.; Lecuona, M.; Málaga, J.; Revert, C.; Mora, M.L.; Sierra, A. Bacterial filters in respiratory circuits: An unnecessary cost? Crit. Care Med. 2003, 31, 2126–2130. [Google Scholar] [CrossRef] [PubMed]
- Lorente, L.; Lecuona, M.; Galván, R.; Ramos, M.J.; Mora, M.L.; Sierra, A. Periodically changing ventilator circuits is not necessary to prevent ventilator-associated pneumonia when a heat and moisture exchanger is used. Infect. Control Hosp. Epidemiol. 2004, 25, 1077–1082. [Google Scholar] [CrossRef] [PubMed]
- Lorente, L.; Lecuona, M.; Martín, M.M.; García, C.; Mora, M.L.; Sierra, A. Ventilator-associated pneumonia using a closed versus an open tracheal suction system. Crit. Care Med. 2005, 33, 115–119. [Google Scholar] [CrossRef] [PubMed]
- Lorente, L.; Lecuona, M.; Jiménez, A.; Mora, M.L.; Sierra, A. Tracheal suction by closed system without daily change versus open system. Intensive Care Med. 2006, 32, 538–544. [Google Scholar] [CrossRef] [PubMed]
- Lorente, L.; Lecuona, M.; Jimenez, A.; Mora, M.L.; Sierra, A. Ventilator-associated pneumonia using a heated humidifier or a heat and moisture exchanger: A randomized controlled trial. Crit. Care 2006, 10, R116. [Google Scholar] [CrossRef] [PubMed]
- Lorente, L.; Lecuona, M.; Jimenez, A.; Mora, M.L. Sierra: Influence of an endotracheal tube with polyurethane cuff and subglottic secretion drainage on pneumonia. Am. J. Respir. Crit. Care Med. 2007, 176, 1079–1083. [Google Scholar] [CrossRef]
- Lorente, L.; Lecuona, M.; Jiménez, A.; Lorenzo, L.; Roca, I.; Cabrera, J.; Llanos, C.; Mora, M.L. Continuous endotracheal tube cuff pressure control system protects against ventilator-associated pneumonia. Crit. Care 2014, 18, 1. [Google Scholar] [CrossRef] [PubMed]
- Mahmoodpoor, A.; Hamishehkar, H.; Hamidi, M.; Shadvar, K.; Sanaie, S.; Golzari, S.E.; Khan, Z.H.; Nader, N.D. A prospective randomized trial of tapered-cuff endotracheal tubes with intermittent subglottic suctioning in preventing ventilator-associated pneumonia in critically ill patients. J. Crit. Care 2017, 38, 152–156. [Google Scholar] [CrossRef] [PubMed]
- Manzano, F.; Fernandez-Mondejar, E.; Colmenero, M.; Poyatos, M.E.; Rivera, R.; Machado, J.; Catalan, I.; Artigas, A. Positive-end expiratory pressure reduces incidence of ventilator-associated pneumonia in nonhypoxemic patients. Crit. Care Med. 2008, 36, 2225–2231. [Google Scholar] [CrossRef] [PubMed]
- Marjanovic, N.; Boisson, M.; Asehnoune, K.; Foucrier, A.; Lasocki, S.; Ichai, C.; Leone, M.; Pottecher, J.; Lefrant, J.Y.; Falcon, D.; et al. Continuous pneumatic regulation of tracheal cuff pressure to decrease ventilator-associated pneumonia in trauma patients who were mechanically ventilated: The AGATE multicenter randomized controlled study. Chest 2021, 160, 499–508. [Google Scholar] [CrossRef] [PubMed]
- Nseir, S.; Zerimech, F.; Fournier, C.; Lubret, R.; Ramon, P.; Durocher, A.; Balduyck, M. Continuous control of tracheal cuff pressure and microaspiration of gastric contents in critically ill patients. Am. J. Respir. Crit. Care Med. 2011, 184, 1041–1047. [Google Scholar] [CrossRef] [PubMed]
- Pneumatikos, I.; Konstantonis, D.; Tsagaris, I.; Theodorou, V.; Vretzakis, G.; Danielides, V.; Bouros, D. Prevention of nosocomial maxillary sinusitis in the ICU: The effects of topically applied alpha-adrenergic agonists and corticosteroids. Intensive Care Med. 2006, 32, 532–537. [Google Scholar] [CrossRef] [PubMed]
- Rumbak, M.J.; Truncale, T.; Newton, M.N.; Adams, B.; Hazard, P. A Prospective, Randomized Study Comparing Early Versus Delayed Percutaneous Tracheostomy In Critically Ill Medical Patients Requiring Prolonged Mechanical Ventilation. Chest 2000, 118, 97S–98S. [Google Scholar]
- Smulders, K.; van der Hoeven, H.; Weers-Pothoff, I.; Vandenbroucke-Grauls, C. A randomized clinical trial of intermittent subglottic secretion drainage in patients receiving mechanical ventilation. Chest 2002, 121, 858–862. [Google Scholar] [CrossRef] [PubMed]
- Staudinger, T.; Bojic, A.; Holzinger, U.; Meyer, B.; Rohwer, M.; Mallner, F.; Locker, G.J. Continuous lateral rotation therapy to prevent ventilator-associated pneumonia. Crit. Care Med. 2010, 38, 486–490. [Google Scholar] [CrossRef] [PubMed]
- Thomachot, L.; Viviand, X.; Arnaud, S.; Boisson, C.; Martin, C.D. Comparing two heat and moisture exchangers, one hydrophobic and one hygroscopic, on humidifying efficacy and the rate of nosocomial pneumonia. Chest 1998, 114, 1383–1389. [Google Scholar] [CrossRef] [PubMed]
- Thomachot, L.; Leone, M.; Razzouk, K.; Antonini, F.; Vialet, R.; Martin, C. Do the components of heat and moisture exchanger filters affect humidifying efficacy and the incidence of nosocomial pneumonia? Crit. Care Med. 1999, 27, 923–928. [Google Scholar] [CrossRef] [PubMed]
- Thomachot, L.; Leone, M.; Razzouk, K.; Antonini, F.; Vialet, R.; Martin, C. Randomized Clinical Trial of Extended Use of a Hydrophobic Condenser Humidifier: 1 vs. 7 Days. Crit. Care Med. 2002, 30, 232–237. [Google Scholar] [CrossRef] [PubMed]
- Valencia, M.; Ferrer, M.; Farre, R.; Navajas, D.; Badia, J.R.; Nicolas, J.M.; Torres, A. Automatic control of tracheal tube cuff pressure in ventilated patients in semirecumbent position: A randomized trial. Crit. Care Med. 2007, 35, 1543–1549. [Google Scholar] [CrossRef] [PubMed]
- Walaszek, M.; Gniadek, A.; Kolpa, M.; Wolak, Z.; Kosiarska, A. The effect of subglottic secretion drainage on the incidence of ventilator associated pneumonia. Biomed. Pap. Med. Fac. Univ. Palacky Olomouc. Czech Repub. 2017, 161, 374–380. [Google Scholar] [CrossRef] [PubMed]
- Bleasdale, S.C.; Trick, W.E.; Gonzalez, I.M.; Lyles, R.D.; Hayden, M.K.; Weinstein, R.A. Effectiveness of chlorhexidine bathing to reduce catheter-associated bloodstream infections in medical intensive care unit patients. Arch. Intern. Med. 2007, 167, 2073–2079. [Google Scholar] [CrossRef] [PubMed]
- Ćabov, T.; Macan, D.; Husedžinović, I.; Škrlin-Šubić, J.; Bošnjak, D.; Šestan-Crnek, S.; Perić, B.; Kovač, Z.; Golubović, V. The impact of oral health and 0.2% chlorhexidine oral gel on the prevalence of nosocomial infections in surgical intensive-care patients: A randomized placebo-controlled study. Wien. Klin. Wochenschr. 2010, 122, 397–404. [Google Scholar] [CrossRef] [PubMed]
- Caruso, P.; Denari, S.; Ruiz, S.A.; Demarzo, S.E.; Deheinzelin, D. Saline instillation before tracheal suctioning decreases the incidence of ventilator-associated pneumonia. Crit. Care Med. 2009, 37, 32–38. [Google Scholar] [CrossRef] [PubMed]
- Climo, M.W.; Yokoe, D.S.; Warren, D.K.; Perl, T.M.; Bolon, M.; Herwaldt, L.A.; Weinstein, R.A.; Sepkowitz, K.A.; Jernigan, J.A.; Sanogo, K.; et al. Effect of daily chlorhexidine bathing on hospital-acquired infection. N. Engl. J. Med. 2013, 368, 533–542. [Google Scholar] [CrossRef] [PubMed]
- Fourrier, F.E.; Cau-Pottier, H.; Boutigny, M.; Roussel-Delvallez, M.; Jourdain Chopin, C. Effects of dental plaque antiseptic decontamination on bacterial colonization and nosocomial infections in critically ill patients. Intensive Care Med. 2000, 26, 1239–1247. [Google Scholar] [CrossRef] [PubMed]
- Fourrier, F.; Dubois, D.; Pronnier, P.; Herbecq, P.; Leroy, O.; Desmettre, T.; Roussel-Delvallez, M. Effect of gingival and dental plaque antiseptic decontamination on nosocomial infections acquired in the intensive care unit a double-blind placebo-controlled multicenter study. Crit. Care Med. 2005, 33, 1728–1735. [Google Scholar] [CrossRef] [PubMed]
- Gacouin, A.; Barbarot, N.; Camus, C.; Salomon, S.; Isslame, S.; Marque, S.; Lavoué, S.; Donnio, P.Y.; Thomas, R.; Le Tulzo, Y. Late-onset ventilator-associated pneumonia in nontrauma intensive care unit patients. Anesth. Analg. 2009, 109, 1584–1590. [Google Scholar] [CrossRef] [PubMed]
- Genuit, T.; Bochicchio, G.; Napolitano, L.M.; McCarter, R.J.; Roghman, M.C. Prophylactic chlorhexidine oral rinse decreases ventilator-associated pneumonia in surgical ICU patients. Surg. Infect. 2001, 2, 5–18. [Google Scholar] [CrossRef] [PubMed]
- Huang, S.S.; Septimus, E.; Kleinman, K.; Moody, J.; Hickok, J.; Avery, T.R.; Lankiewicz, J.; Gombosev, A.; Terpstra, L.; Hartford, F.; et al. Targeted versus universal de- colonization to prevent ICU infection. N. Engl. J. Med. 2013, 368, 2255–2265. [Google Scholar] [CrossRef] [PubMed]
- Koeman, M.; van der Ven, A.J.; Hak, E.; Joore, H.C.; Kaasjager, K.; de Smet, A.G.; Ramsay, G.; Dormans, T.P.; Aarts, L.P.; de Bel, E.E.; et al. Oral decontamination with chlorhexidine reduces the incidence of ventilator-associated pneumonia. Am. J. Respir. Crit. Care Med. 2006, 173, 1348–1355. [Google Scholar] [CrossRef] [PubMed]
- Kollef, M.; Pittet, D.; Sanchez Garcia, M.; Chastre, J.; Fagon, J.Y.; Bonten, M.; Hyzy, R.; Fleming, T.R.; Fuchs, H.; Bellm, L.; et al. A randomized double-blind trial of iseganan in prevention of ventilator-associated pneumonia. Am. J. Respir. Crit. Care Med. 2006, 173, 91–97. [Google Scholar] [CrossRef] [PubMed]
- Lorente, L.; Lecuona, M.; Jiménez, A.; Palmero, S.; Pastor, E.; Lafuente, N.; Ramos, M.J.; Mora, M.L.; Sierra, A. Ventilator-associated pneumonia with or without toothbrushing a randomized controlled trial. Eur. J. Clin. Microbiol. Infect. Dis. 2012, 31, 1–9. [Google Scholar] [CrossRef] [PubMed]
- Milstone, A.M.; Elward, A.; Song, X.; Zerr, D.M.; Orscheln, R.; Speck, K.; Obeng, D.; Reich, N.G.; Coffin, S.E.; Perl, T.M. Daily chlorhexidine bathing to reduce bacteraemia in critically ill children: A multicentre, cluster-randomised, crossover trial. Lancet 2013, 381, 1099–1106. [Google Scholar] [CrossRef] [PubMed]
- Mori, H.; Hirasawa, H.; Oda, S.; Shiga, H.; Matsuda, K.; Nakamura, M. Oral care reduces incidence of ventilator-associated pneumonia in ICU populations. Intensive Care Med. 2006, 32, 230–236. [Google Scholar] [CrossRef] [PubMed]
- Morris, A.C.; Hay, A.W.; Swann, D.G.; Everingham, K.; McCulloch, C.; McNulty, J.; Brooks, O.; Laurenson, I.F.; Cook, B.; Walsh, T.S. Reducing ventilator-associated pneumonia in intensive care: Impact of implementing a care bundle. Crit. Care Med. 2011, 39, 2218–2224. [Google Scholar] [CrossRef] [PubMed]
- Noto, M.J.; Domenico, H.J.; Byrne, D.W.; Talbot, T.; Rice, T.W.; Bernard, G.R.; Wheeler, A.P. Chlorhexidine bathing and health care-associated infections: A randomized clinical trial. JAMA 2015, 313, 369–378. [Google Scholar] [CrossRef] [PubMed]
- Pobo, A.; Lisboa, T.; Rodriguez, A.; Sole, R.; Magret, M.; Trefler, S.; Gómez, F.; Rello, J. A randomized trial of dental brushing for preventing ventilator-associated pneumonia. Chest 2009, 136, 433–439. [Google Scholar] [CrossRef] [PubMed]
- Roquilly, A.; Mahe, P.J.; Seguin, P.; Guitton, C.; Floch, H.; Tellier, A.C.; Merson, L.; Renard, B.; Malledant, Y.; Flet, L.; et al. Hydrocortisone therapy for patients with multiple trauma: The randomized controlled HYPOLYTE study. JAMA 2011, 305, 1201–1209. [Google Scholar] [CrossRef]
- Sebastian, M.R.; Lodha, R.; Kapil, A.; Kabra, S.K. Oral mucosal decontamination with chlorhexidine for the prevention of ventilator-associated pneumonia in children—A randomized, controlled trial. Pediatr. Crit. Care Med. 2012, 13, e305–e310. [Google Scholar] [CrossRef]
- Segers, P.; Speekenbrink, R.G.; Ubbink, D.T.; van Ogtrop, M.L.; de Mol, B.A. Prevention of nosocomial infection in cardiac surgery by decontamination of the nasopharynx and oropharynx with chlorhexidine gluconate: A randomized controlled trial. JAMA 2006, 296, 2460–2466. [Google Scholar] [CrossRef] [PubMed]
- Seguin, P.; Tanguy, M.; Laviolle, B.; Tirel, O.; Mallédant, Y. Effect of oropharyngeal decontamination by povidone-iodine on ventilator-associated pneumonia in patients with head trauma. Crit. Care Med. 2006, 34, 1514–1519. [Google Scholar] [CrossRef] [PubMed]
- Seguin, P.; Laviolle, B.; Dahyot-Fizelier, C.; Dumont, R.; Veber, B.; Gergaud, S.; Asehnoune, K.; Mimoz, O.; Donnio, P.Y.; Bellissant, E.; et al. Effect of oropharyngeal povidone-iodine preventive oral care on ventilator-associated pneumonia in severely brain-injured or cerebral hemorrhage patients: A multicenter, randomized controlled trial. Crit. Care Med. 2014, 42, 1–8. [Google Scholar] [CrossRef] [PubMed]
- Beovic, B.; Matos, B.; Bošnjak, R.; Seme, K.; Mueller-Premru, M.; Hergouth-Krizan, V.; Cizman, M. Prevention of nosocomial lower respiratory tract infections in patients after intracranial artery aneurysm surgery with a short course of antimicrobials. Intern. J. Antimicrob. Agents 2003, 22, 60–66. [Google Scholar] [CrossRef] [PubMed]
- Bergmans, D.C.; Bonten, M.J.; Gaillard, C.A.; Paling, J.C.; van der Geeest, S.I.; van Tiel, F.H.; Beysens, A.J.; de Leeuw, P.W.; Stobberingh, E.E. Prevention of ventilator-associated pneumonia by oral decontamination: A prospective, randomized, double-blind, placebo-controlled study. Am. J. Respir. Crit. Care Med. 2001, 164, 382–388. [Google Scholar] [CrossRef]
- Biagioni, E.; Ferrari, E.; Gatto, I.; Serio, L.; Farinelli, C.; Coloretti, I.; Talamonti, M.; Tosi, M.; Meschiari, M.; Tonelli, R.; et al. Role of Selective Digestive Decontamination in the Prevention of Ventilator-Associated Pneumonia in COVID-19 Patients: A Pre-Post Observational Study. J. Clin. Med. 2023, 12, 1432. [Google Scholar] [CrossRef] [PubMed]
- Bonten, M.J.; Gaillard, C.A.; Johanson, W.G., Jr.; Van Tiel, F.H.; Smeets, H.G.; Van Der Geest, S.; Stobberingh, E.E. Colonization in patients receiving and not receiving topical antimicrobial prophylaxis. Am. J. Respir. Crit. Care Med. 1994, 150, 1332–1340. [Google Scholar] [CrossRef] [PubMed]
- Bos, L.D.; Stips, C.; Schouten, L.R.; van Vught, L.A.; Wiewel, M.A.; Wieske, L.; van Hooijdonk, R.T.; Straat, M.; de Beer, F.M.; Glas, G.J.; et al. Selective decontamination of the digestive tract halves the prevalence of ventilator-associated pneumonia compared to selective oral decontamination. Intensive Care Med. 2017, 43, 1535–1537. [Google Scholar] [CrossRef] [PubMed]
- Camus, C.; Salomon, S.; Bouchigny, C.; Gacouin, A.; Lavoué, S.; Donnio, P.Y.; Bellissant, E. Short-Term Decline in All-Cause Acquired Infections with the Routine Use of a Decontamination Regimen Combining Topical Polymyxin, Tobramycin, and Amphotericin B With Mupirocin and Chlorhexidine in the ICU: A Single-Center Experience. Crit. Care Med. 2014, 42, 1121–1130. [Google Scholar] [CrossRef] [PubMed]
- David, A. Infektionen und Keimspektrum nach einer Dekade der Selektiven Darmdekontamination (SDD) in der Operativen Intensivmedizin. Ph.D. Dissertation, Münster (Westfalen) University, Münster, Germany, 2007. [Google Scholar]
- De la court Jara, R.; Sigaloff, K.C.; Groot, T.; van der Spoel, J.I.; Schade, R.P. Reducing the dosing frequency of selective digestive tract decontamination to three times daily provides effective decontamination of Gram-negative bacteria. Eur. J. Clin. Microbiol. Infect. Dis. 2021, 1, 1–8. [Google Scholar] [CrossRef] [PubMed]
- Garbino, J.; Lew, D.P.; Romand, J.A.; Hugonnet, S.; Auckenthaler, R.; Pittet, D. Prevention of severe Candida infections in nonneutropenic, high-risk, critically ill patients: A randomized, double-blind, placebo-controlled trial in patients treated by selective digestive decontamination. Intensive Care Med. 2002, 28, 1708–1717. [Google Scholar] [CrossRef] [PubMed]
- Hartenauer, U.B.; Thülig, B.; Lawin, P.; Fegeler, W. Infection surveillance and selective decontamination of the digestive tract (SDD) in critically ill patients—Results of a controlled study. Infection 1990, 18, S22–S30. [Google Scholar] [CrossRef] [PubMed]
- Hjortrup, A.; Rasmussen, A.; Hansen, B.A.; Hoiby, N.; Heslet, L.; Moesgaard, F.; Kirkegaard, P. Early bacterial and fungal infections in liver transplantation after oral selective bowel decontamination. Transplant. Proc. 1997, 29, 3106–3110. [Google Scholar] [CrossRef] [PubMed]
- Landelle, C.; Boyer, V.N.; Abbas, M.; Genevois, E.; Abidi, N.; Naimo, S.; Raulais, R.; Bouchoud, L.; Boroli, F.; Terrisse, H.; et al. Impact of a multifaceted prevention program on ventilator-associated pneumonia including selective oropharyngeal decontamination. Intensive Care Med. 2018, 44, 1777–1786. [Google Scholar] [CrossRef] [PubMed]
- Leone, M.; Bourgoin, A.; Giuly, E.; Antonini, F.; Dubuc, M.; Viviand, X.; Albanèse, J.; Martin, C. Influence on outcome of ventilator-associated pneumonia in multiple trauma patients with head trauma treated with selected digestive decontamination. Crit. Care Med. 2002, 30, 1741–1746. [Google Scholar] [CrossRef] [PubMed]
- Massart, N.; Reizine, F.; Dupin, C.; Legay, F.; Legris, E.; Cady, A.; Rieul, G.; Barbarot, N.; Magahlaes, E.; Fillatre, P. Prevention of acquired invasive fungal infection with decontamination regimen in mechanically ventilated ICU patients: A pre/post observational study. Infect. Dis. 2023, 55, 263–271. [Google Scholar] [CrossRef] [PubMed]
- Nardi, G.; Valentinis, U.; Bartaletti, R.; Bello, A.; De, A.M.; Muzzi, R.; Giordano, F.; Troncon, M.G. Effectiveness of topical selective decontamination, without systemic antibiotic prophylaxis, in prevention of pulmonary infection in intensive care. Minerva Anestesiol. 1990, 56, 19–26. [Google Scholar] [PubMed]
- Nardi, G.; Di Silvestre, A.; De Monte, A.; Massarutti, D.; Proietti, A.; Troncon, M.G.; Zussino, M. Reduction in gram-positive pneumonia and antibiotic consumption following the use of a SDD protocol including nasal and oral mupirocin. Eur. J. Emerg. Med. 2001, 8, 203–214. [Google Scholar] [CrossRef] [PubMed]
- Ong, D.S.; Bonten, M.J.; Safdari, K.; Spitoni, C.; Frencken, J.F.; Witteveen, E.; Horn, J.; Klein Klouwenberg, P.M.; Cremer, O.L.; MARS consortium. Epidemiology, management, and risk-adjusted mortality of ICU-acquired enterococcal bacteremia. Clin. Infect. Dis. 2015, 61, 1413–1420. [Google Scholar] [CrossRef] [PubMed]
- Oostdijk, E.A.N.; Kesecioglu, J.; Schultz, M.J.; Visser, C.E.; De Jonge, E.; van Essen, E.H.; Bernards, A.T.; Purmer, I.; Brimicombe, R.; Bergmans, D.; et al. Notice of Retraction and Replacement: Oostdijk et al. Effects of Decontamination of the Oropharynx and Intestinal Tract on Antibiotic Resistance in ICUs: A Randomized Clinical Trial. JAMA 2014, 312, 1429–1437. [Google Scholar] [CrossRef] [PubMed]
- Rouby, J.J.; Poete, P.; de Lassale, E.M.; Nicolas, M.H.; Bodin, L.; Jarlier, V.; Korinek, A.M.; Viars, P. Prevention of Gram negative noscomial bronchopneumonia by intratracheal colistin in critically ill patients. Intensive Care Med. 1994, 20, 187–192. [Google Scholar] [CrossRef] [PubMed]
- Silvestri, L.; Bragadin, C.M.; Milanese, M.; Gregori, D.; Consales, C.; Gullo, A.; Van Saene, H.K. Are most ICU infections really nosocomial? A prospective observational cohort study in mechanically ventilated patients. J. Hosp. Infect. 1999, 42, 125–133. [Google Scholar] [CrossRef] [PubMed]
- Silvestri, L.; Milanese, M.; Oblach, L.; Fontana, F.; Gregori, D.; Guerra, R.; van Saene, H.K. Enteral vancomycin to control methicillin-resistant Staphylococcus aureus outbreak in mechanically ventilated patients. Am. J. Infect. Control 2002, 30, 391–399. [Google Scholar] [CrossRef] [PubMed]
- Silvestri, L.; Van Saene, H.K.; Milanese, M.; Fontana, F.; Gregori, D.; Oblach, L.; Piacente, N.; Blazic, M. Prevention of MRSA pneumonia by oral vancomycin decontamination: A randomised trial. Eur. Respir. J. 2004, 23, 921–926. [Google Scholar] [CrossRef] [PubMed]
- Steffen, R.; Reinhartz, O.; Blumhardt, G.; Bechstein, W.O.; Raakow, R.; Langrehr, J.M.; Rossaint, R.; Slama, K.; Neuhaus, P. Bacterial and fungal colonization and infections using oral selective bowel decontamination in orthotopic liver transplantations. Transpl. Int. 1994, 7, 101–108. [Google Scholar] [CrossRef]
- Stoutenbeek, C.P.; van Saene, H.K.; Miranda, D.R.; Zandstra, D.F.; Langrehr, D. The effect of oropharyngeal decontamination using topical nonabsorbable antibiotics on the incidence of nosocomial respiratory tract infections in multiple trauma patients. J. Trauma 1987, 27, 357–364. [Google Scholar] [CrossRef] [PubMed]
- Veelo, D.P.; Bulut, T.; Dongelmans, D.A.; Korevaar, J.C.; Spronk, P.E.; Schultz, M.J. The incidence and microbial spectrum of ventilator-associated pneumonia after tracheotomy in a selective decontamination of the digestive tract-setting. J. Infect. 2008, 56, 20–26. [Google Scholar] [CrossRef] [PubMed]
- Winter, R.; Humphreys, H.; Pick, A.; MacGowan, A.P.; Willatts, S.M.; Speller, D.C. A controlled trial of selective decontamination of the digestive tract in intensive care and its effect on nosocomial infection. J. Antimicrob. Chemother. 1992, 30, 73–87. [Google Scholar] [CrossRef] [PubMed]
- Abele-Horn, M.; Dauber, A.; Bauernfeind, A.; Russwurm, W.; Seyfarth-Metzger, I.; Gleich, P.; Ruckdeschel, G. Decrease in nosocomial pneumonia in ventilated patients by selective oropharyngeal decontamination (SOD). Intensive Care Med. 1997, 23, 187–195. [Google Scholar] [CrossRef] [PubMed]
- Aerdts, S.J.; van Dalen, R.; Clasener, H.A.; Festen, J.; van Lier, H.J.; Vollaard, E.J. Antibiotic prophylaxis of respiratory tract infection in mechanically ventilated patients. A prospective, blinded, randomized trial of the effect of a novel regimen. Chest 1991, 100, 783–791. [Google Scholar] [CrossRef] [PubMed]
- Blair, P.; Rowlands, B.J.; Lowry, K.; Webb, H.; Armstrong, P.; Smilie, J. Selective decontamination of the digestive tract: A stratified, randomized, prospective study in a mixed intensive care unit. Surgery 1991, 110, 303–309. [Google Scholar] [PubMed]
- Camus, C.; Bellissant, E.; Sebille, V.; Perrotin, D.; Garo, B.; Legras, A.; Renault, A.; Le Corre, P.; Donnio, P.Y.; Gacouin, A. Prevention of acquired infections in intubated patients with the combination of two decontamination regimens. Crit. Care Med. 2005, 33, 307–314. [Google Scholar] [CrossRef] [PubMed]
- Cerra, F.B.; Maddaus, M.A.; Dunn, D.L.; Wells, C.L.; Konstantinides, N.N.; Lehmann, S.L.; Mann, H.J. Selective gut decontamination reduces nosocomial infections and length of stay but not mortality or organ failure in surgical intensive care unit patients. Arch. Surg. 1992, 127, 163–167. [Google Scholar] [CrossRef] [PubMed]
- de La Cal, M.A.; Cerdá, E.; Garcıa-Hierro, P.; Van Saene HKG ómez-Santos, D.; Negro, E.; Lorente, J.A. Survival benefit in critically ill burned patients receiving selective decontamination of the digestive tract: A randomized, placebocontrolled, double-blind trial. Ann. Surg. 2005, 241, 424–430. [Google Scholar] [CrossRef] [PubMed]
- de Latorre, F.J.; Pont, T.; Ferrer, A.; Rosselló, J.; Palomar, M.; Planas, M. Pattern of tracheal colonization during mechanical ventilation. Am. J. Respir. Crit. Care Med. 1995, 152, 1028–1033. [Google Scholar] [CrossRef]
- Ferrer, M.; Torres, A.; Gonzalez, J.; Puig de la Bellacasa, J.; el-Ebiary, M.; Roca, M.; Gatell, J.M.; Rodriguez-Roisin, R. Utility of selective digestive decontamination in mechanically ventilated patients. Ann. Intern. Med. 1994, 120, 389–395. [Google Scholar] [CrossRef] [PubMed]
- Gastinne, H.M.; Wolff, M.; Delatour, F.; Faurisson, F.; Chevret, S. A controlled trial in intensive care units of selective decontamination of the digestive tract with nonabsorbable antibiotics. N. Engl. J. Med. 1992, 326, 594–599. [Google Scholar] [CrossRef] [PubMed]
- Gaussorgues, P.; Salord, M.; Sirodot, S.; Tigaud, S.; Cagnin, S.; Gerard, M.; Robert, D. Efficiency of selective decontamination of the digestive tract on the occurrence of nosocomial bacteremia in patients on mechanical ventilation receiving betamimetic therapy. Réanimation Soins Intensifs Médecin D’Urgence 1991, 7, 169–174. [Google Scholar]
- Georges, B.; Mazerolles, M.; Decun, J.-F.; Rouge, P.; Pomies, S.; Cougot, P.; Andrieu, P. Décontamination digestive sélective résultats d’une étude chez le polytraumatisé. Réanimation Soins Intensifs Médecin D’Urgence 1994, 3, 621–627. [Google Scholar] [CrossRef]
- Hammond, J.M.; Potgieter, P.D.; Saunders, L.G. Selective decontamination of the digestive tract in multiple trauma patients-Is there a role? Results of a prospective, double-blind, randomized trial. Crit. Care Med. 1994, 22, 33–39. [Google Scholar] [CrossRef] [PubMed]
- Jacobs, S.; Foweraker, J.E.; Roberts, S.E. Effectiveness of selective decontamination of the digestive tract (SDD) in an ICU with a policy encouraging a low gastric pH. Clin. Intensive Med. 1992, 3, 52–58. [Google Scholar]
- Karvouniaris, M.; Makris, D.; Zygoulis, P.; Triantaris, A.; Xitsas, S.; Mantzarlis, K.; Petinaki, E.; Zakynthinos, E. Nebulised colistin for ventilator-associated pneumonia prevention. Eur. Resp. J. 2015, 46, 1544–1547. [Google Scholar] [CrossRef] [PubMed]
- Korinek, A.M.; Laisne, M.J.; Nicolas, M.H.; Raskine, L.; Deroin, V.; Sanson-lepors, M.J. Selective decontamination of the digestive tract in neurosurgical intensive care unit patients: A double-blind, randomized, placebo-controlled study. Crit. Care Med. 1993, 21, 1466–1473. [Google Scholar] [CrossRef]
- Laggner, A.N.; Tryba, M.; Georgopoulos, A.; Lenz, K.; Grimm, G.; Graninger, W.; Schneeweiss, B.; Druml, W. Oropharyngeal decontamination with gentamicin for long-term ventilated patients on stress ulcer prophylaxis with sucralfate? Wien. Klin. Wochenschr. 1994, 106, 15–19. [Google Scholar] [PubMed]
- Langlois-Karaga, A.; Bues-Charbit, M.; Davignon, A.; Albanese, J.; Durbec, O.; Martin, C.; Morati, N.; Balansard, G. Selective digestive decontamination in multiple trauma patients: Cost and efficacy. Pharm. World Sci. 1995, 17, 12–16. [Google Scholar] [CrossRef] [PubMed]
- Palomar, M.; Alvarez-Lerma, F.; Jorda, R.; Bermejo, B.; Catalan Study Group of Nosocomial Pneumonia Prevention. Prevention of nosocomial infection in mechanically ventilated patients: Selective digestive decontamination versus sucralfate. Clin. Intensive Care 1997, 8, 228–235. [Google Scholar] [CrossRef]
- Quinio, B.; Albanese, J.; Bues-Charbit, M.; Viviand, X.; Martin, C. Selective decontamination of the digestive tract in multiple trauma patients. A prospective double-blind, randomized, placebo-controlled study. Chest 1996, 109, 765–772. [Google Scholar] [CrossRef] [PubMed]
- Reizine, F.; Asehnoune, K.; Roquilly, A.; Laviolle, B.; Rousseau, C.; Arnouat, M.; Dahyot-Fizelier, C.; Seguin, P. Effects of antibiotic prophylaxis on ventilator-associated pneumonia in severe traumatic brain injury. A post hoc analysis of two trials. J. Crit. Care 2019, 50, 221–226. [Google Scholar] [PubMed]
- Rimola, A.; Bory, F.; Teres, J.; Perez-Ayuso, R.M.; Arroyo, V.; Rodes, J. Oral, nonabsorbable antibiotics prevent infection in cirrhotics with gastrointestinal hemorrhage. Hepatology 1985, 5, 463–467. [Google Scholar] [CrossRef] [PubMed]
- Rocha, L.A.; Martin, M.J.; Pita, S.; Paz, J.; Seco, C.; Margusino, L.; Villanueva, R.; Duran, M.T. Prevention of nosocomial infection in critically ill patients by selective decontamination of the digestive tract. A randomized, double blind, placebo-controlled study. Intensive Care Med. 1992, 18, 398–404. [Google Scholar] [CrossRef] [PubMed]
- Rodríguez-Roldán, J.M.; Altuna-Cuesta, A.; López, A.; Carrillo, A.; Garcia, J.; León, J.; Martínez-Pellús, A.J. Prevention of nosocomial lung infection in ventilated patients: Use of an antimicrobial pharyngeal nonabsorbable paste. Crit. Care Med. 1990, 18, 1239–1242. [Google Scholar] [CrossRef] [PubMed]
- Rolando, N.; Gimson, A.; Wade, J.; Philpott-Howard, J.; Casewell, M.; Williams, R. Prospective controlled trial of selective parenteral and enteral antimicrobial regimen in fulminant liver failure. Hepatology 1993, 17, 196–201. [Google Scholar] [CrossRef] [PubMed]
- Sanchez-Garcia, M.; Cambronero, J.A.; Lopez-Diaz, J.; Gomez Aguinaga, M.A.; Onoro Canaveral, J.J.; Sacristan del Castillo, J. Effectiveness and cost of selective decontamination of the digestive tract in critically ill intubated patients. A randomized, double-blind, placebo-controlled multicenter trial. Am. Rev. Respir. Dis. 1998, 158, 908–916. [Google Scholar] [CrossRef] [PubMed]
- Stoutenbeek, C.P.; van Saene, H.K.F.; Little, R.A.; Whitehead, A. The effect of selective decontamination of the digestive tract on mortality in multiple trauma patients: A multicenter randomized controlled trial. Intensive Care Med. 2007, 33, 261–270. [Google Scholar] [CrossRef] [PubMed]
- Ulrich, C.; Harinck-deWeerd, J.E.; Bakker, N.C.; Jacz, K.; Doornbos, L.; De Ridder, V.A. Selective decontamination of the digestive tract with norfloxacin in the prevention of ICU-acquired infections: A prospective randomized study. Intensive Care Med. 1989, 15, 424–431. [Google Scholar] [CrossRef] [PubMed]
- Unertl, K.; Ruckdeschel, G.; Selbmann, H.K.; Jensen, U.; Forst, H.; Lenhart, F.P.; Peter, K. Prevention of colonization and respiratory infections in long-term ventilated patients by local antimicrobial prophylaxis. Intensive Care Med. 1987, 13, 106–113. [Google Scholar] [CrossRef] [PubMed]
- Verwaest, C.; Verhaegen, J.; Ferdinande, P.; Schetz, M.; Van den Berghe, G.; Verbist, L.; Lauwers, P. Randomized, controlled trial of selective digestive decontamination in 600 mechanically ventilated patients in a multidisciplinary intensive care unit. Crit. Care Med. 1997, 25, 63–71. [Google Scholar] [CrossRef] [PubMed]
- Wiener, J.; Itokazu, G.; Nathan, C.; Kabins, S.A.; Weinstein, R.A. A randomized, double-blind, placebo-controlled trial of selective digestive decontamination in a medical-surgical intensive care unit. Clin. Infect. Dis. 1995, 20, 861–867. [Google Scholar] [CrossRef] [PubMed]
- Huang, S.S.; Septimus, E.J.; Kleinman, K.; Heim, L.T.; Moody, J.A.; Avery, T.R.; McLean, L.; Rashid, S.; Haffenreffer, K.; Shimelman, L.; et al. Nasal Iodophor Antiseptic vs Nasal Mupirocin Antibiotic in the Setting of Chlorhexidine Bathing to Prevent Infections in Adult ICUs: A Randomized Clinical Trial. JAMA 2023, 330, 1337–1347. [Google Scholar] [CrossRef] [PubMed]
- Verhaegen, J. Randomized Study of Selective Digestive Decontamination on Colonization and Prevention of Infection in Mechanically Ventilated Patients in the ICU. Ph.D. Thesis, University Hospital, Leuven, Belgium, 1992. [Google Scholar]
- Camus, C.; Sébille, V.; Legras, A.; Garo, B.; Renault, A.; Le Corre, P.; Donnio, P.Y.; Gacouin, A.; Perrotin, D.; Le Tulzo, Y.; et al. Mupirocin/chlorexidine to prevent methicillin-resistant Staphylococcus aureus infections: Post hoc analysis of a placebo-controlled, randomized trial using mupirocin/chlorhexidine and polymyxin/tobramycin for the prevention of acquired infections in intubated patients. Infection 2014, 42, 493–502. [Google Scholar] [PubMed]



| Observational Studies | Infection Prevention Studies | |||
|---|---|---|---|---|
| (No Intervention) | Non-Decontamination | Antiseptic-BDI | Antibiotic-BDI | |
| Study characteristics | ||||
| Listing | Table S1 | Table S2 | Table S3 | Table S4 |
| Number of studies | 145 | 53 | 26 | 60 |
| Origin from systematic review b | 46 | 20 | 14 | 27 |
| North American ICU’s c | 33 | 12 | 8 | 2 |
| MV for >48 h for <90% d | 24 | 0 | 9 | 4 |
| Control group PPAP e | 2 | 0 | 0 | 2 |
| Group mean age; (mean, 95% CI) | 56.1 54.4–57.5 | 55.4 52.3–58.4 | 48.5 42.0–54.5 | 50.1 46.2–54.0 |
| Study publication year (range) | 1986–2023 | 1987–2022 | 2000–2015 | 1985–2022 |
| Group characteristics | ||||
| Types of groups | ||||
| 165 | |||
| NA f | 0 | 16 | 22 |
| NA | 53 | 11 | 30 |
| NA | 54 | 75 | 152 |
| Numbers of patients per group; (median; IQR) g | 300 135–936 | 81 61–155 | 72 31–347 | 54 34–84 |
| Group mean LOS; (mean, 95% CI) | 10.8 9.9–11.6 | 12.9 11.3–14.4 | 11.4 8.3–14.5 | 15.9 14.0–17.9 |
| Overall prevention effect size; h | ||||
| Total VAP (odds ratio; 95% CI; number of studies) | NA | 0.69; 0.59–0.82 (54) | 0.65; 0.48–0.89 (17) | 0.34; 0.27–0.42 (46) |
| Total bacteremia (odds ratio; 95% CI; number of studies) | NA | 0.96; 0.64–1.44 (8) | 0.73; 0.61–0.87 (13) | 0.62; 0.52–0.74 (39) |
| S. aureus prevention effect size; | ||||
| S. aureus VAP (odds ratio; 95% CI; number of studies) | NA | 0.76; 0.65–0.90 (51) (see Figure S1) | 0.44; 0.30–0.64 (13) (see Figure S2) | 0.57; 0.46–0.7 (40) (see Figure S2) |
| S. aureus bacteremia (odds ratio; 95% CI; number of studies) | NA | 0.66; 0.31–1.4 (5) (see Figure S3) | 0.98; 0.74–1.3 (10) (see Figure S3) | 0.92; 0.65–1.29 (25) (see Figure S3) |
| Day 7 | Day 20 | |||
|---|---|---|---|---|
| Prediction | 95% CI | Prediction | 95% CI | |
| S. aureus VAP | ||||
| Observational (Benchmark) | 3.0 | 2.5–3.6 | 7.6 | 5.9–9.1 |
| Non-concurrent control | 3.6 | 2.1–6.3 | 8.3 | 3.6–18.2 |
| Non-decontamination control | 3.2 | 2.2–4.7 | 9.1 | 6.3–11.9 |
| Non-decontamination intervention | 2.4 | 1.6–3.6 | 7.6 | 5.1–10.9 |
| Antiseptic-BDI control | 2.9 | 1.2–6.3 | 13.0 | 6.2–25.0 |
| Antiseptic-BDI intervention | 1.3 | 0.7–2.4 | 9.1 | 4.8–16.8 |
| Antibiotic-BDI control | 6.9 | 3.4–13.0 | 11.9 | 8.5–16.8 |
| Antibiotic-BDI intervention | 1.6 | 1.1–2.7 | 10.0 | 7.1–14.2 |
| S. aureus BSI | ||||
| Observational (benchmark) | 1.1 | 0.9–1.5 | 3.2 | 1.9–4.7 |
| Non concurrent control | 0.7 | 0.5–1.2 | 3.9 | 1.6–9.9 |
| Non-decontamination control | 2.0 | 0.9–4.7 | 2.4 | 0.9–5.7 |
| Non-decontamination intervention | 1.1 | 0.3–3.6 | 2.4 | 1.0–6.3 |
| Antiseptic-BDI control | 1.1 | 0.5–2.4 | 3.9 | 0.6–19.8 |
| Antiseptic-BDI intervention | 0.7 | 0.4–1.2 | 2.7 | 0.5–11.9 |
| Antibiotic-BDI Control | 1.6 | 0.5–5.7 | 3.6 | 2.0–6.3 |
| Antibiotic-BDI intervention | 0.6 | 0.4–1.0 | 6.3 | 4.0–9.1 |
| Model 2 (Figure S12) | Model 1 (Figure 3) | ||
|---|---|---|---|
| Factor (Label Abbreviations as in Figure 3 and Figure S12) | Coefficient | Coefficient | 95% CI |
| b_Sr_n c | |||
| Staphylococcal colonization | 0.88 *** | 0.88 *** | 0.75 to 1.01 |
| ppap d | 0.33 * | 0.36 | −0.15 to 0.86 |
| _ Constant | −4.75 *** | −4.72 *** | −4.9 to −4.54 |
| v_Sr_n c | |||
| Staphylococcal colonization | 1 | 1 | (constrained) |
| mvp90 d | 0.18 | 0.12 | −0.23 to 0.47 |
| non_D d | −0.25 | −0.24 | −0.53 to 0.05 |
| _ Constant | −4.1 *** | −4.0 *** | −4.64 to −3.3 |
| Staphylococcal colonization c | |||
| CC (Concurrency to TAP use) e | 0.36 * | 0.39 * | 0.05 to 0.73 |
| TAP d | −0.25 * | −0.62 ** | −1.07 to −0.18 |
| 0.69 * | 0.09 to 1.29 | |
| Antiseptic | −0.39 * | −0.40 ** | −0.69 to −0.11 |
| 0.09 | −0.41 to 0.60 | |
| LnLOS7 g | 1.07 *** | 1.00 *** | 0.15 to 0.73 |
| Trauma50 h | 0.97 *** | 0.95 *** | 0.72 to 1.18 |
| Variance (e. Staph col) | 0.59 *** | 0.58 *** | 0.46 to 0.73 |
| Groups (n) | 442 | 442 | |
| Clusters (n) | 277 | 277 | |
| Factors | 13 | 15 | |
| Akaike Information Criteria (AIC) | 3240 | 3238 | |
| Antiseptic-BDI | Antibiotic-BDI | |||||||
|---|---|---|---|---|---|---|---|---|
| Coefficient | 95% CI | n a | Ref. | Coefficient | 95% CI; | n a | Ref. | |
| VAP or RTI (Overall) | ||||||||
| RTI | RR: 0.76 | 0.62 to 0.91 | 18 | [27,28] | OR: 0.28 | 0.2 to 0.38 | 16 | [24] |
| VAP | OR: 0.68 | 0.53 to 0.87 | 21 | [9] | RR: 0.43 | 0.35 to 0.53 | 17 | [25] |
| NP/RTI | OR: 0.66 | 0.51 to 0.85 | 22 | [9] | RR: 0.44 | 0.36 to 0.54 | 22 | [26] |
| NP/RTI | RR: 0.73 | 0.58 to 0.92 | 16 | [13] | ||||
| VAP | OR: 0.65 | 0.48 to 0.89 | 17 | This study | OR: 0.34 | 0.27 to 0.42 | 46 | This study |
| BSI (Overall) | ||||||||
| BSI | OR: 0.74 | 0.37 to 1.5 | 5 | [12] | RR: 0.68 | 0.58 to 0.80 | 21 | [26] |
| BSI | OR: 0.73 | 0.59 to 0.90 | 31 | [11] | ||||
| BSI | OR: 0.73 | 0.61 to 0.87 | 13 | This study | OR: 0.62 | 0.52 to 0.74 | 39 | This study |
| Gram-positive VAP or RTI | ||||||||
| Gram-positive RTI | OR: 0.41 | 0.19 to 0.85 | 9 | [9] | OR: 0.52 | 0.34 to 0.78 | 14 | [10] |
| MSSA RTI | OR: 0.48 | 0.2 to 1.16 | 21 | [9] | ||||
| S. aureus | OR: 0.44 | 0.3 to 0.64 | 13 | Figure S2; this study | OR: 0.57 | 0.46 to 0.7 | 40 | Figure S2; this study |
| Gram-positive BSI | ||||||||
| Gram-positive BSI | OR: 0.72 | 0.23 to 2.22 | 3 | [12] | OR: 1.03 | 0.75 to 1.41 | 19 | [10] |
| Gram-positive BSI | OR: 1.06 | 0.77 to 1.47 | 16 | [11] | ||||
| S. aureus | OR: 0.98 | 0.74 to 1.3 | 10 | Figure S3; this study | OR: 0.92 | 0.65 to 1.29 | 25 | Figure S3; this study |
Disclaimer/Publisher’s Note: The statements, opinions and data contained in all publications are solely those of the individual author(s) and contributor(s) and not of MDPI and/or the editor(s). MDPI and/or the editor(s) disclaim responsibility for any injury to people or property resulting from any ideas, methods, instructions or products referred to in the content. |
© 2024 by the author. Licensee MDPI, Basel, Switzerland. This article is an open access article distributed under the terms and conditions of the Creative Commons Attribution (CC BY) license (https://creativecommons.org/licenses/by/4.0/).
Share and Cite
Hurley, J. Rebound Inverts the Staphylococcus aureus Bacteremia Prevention Effect of Antibiotic Based Decontamination Interventions in ICU Cohorts with Prolonged Length of Stay. Antibiotics 2024, 13, 316. https://doi.org/10.3390/antibiotics13040316
Hurley J. Rebound Inverts the Staphylococcus aureus Bacteremia Prevention Effect of Antibiotic Based Decontamination Interventions in ICU Cohorts with Prolonged Length of Stay. Antibiotics. 2024; 13(4):316. https://doi.org/10.3390/antibiotics13040316
Chicago/Turabian StyleHurley, James. 2024. "Rebound Inverts the Staphylococcus aureus Bacteremia Prevention Effect of Antibiotic Based Decontamination Interventions in ICU Cohorts with Prolonged Length of Stay" Antibiotics 13, no. 4: 316. https://doi.org/10.3390/antibiotics13040316
APA StyleHurley, J. (2024). Rebound Inverts the Staphylococcus aureus Bacteremia Prevention Effect of Antibiotic Based Decontamination Interventions in ICU Cohorts with Prolonged Length of Stay. Antibiotics, 13(4), 316. https://doi.org/10.3390/antibiotics13040316

