Sign in to use this feature.

Years

Between: -

Subjects

remove_circle_outline
remove_circle_outline
remove_circle_outline
remove_circle_outline
remove_circle_outline
remove_circle_outline
remove_circle_outline
remove_circle_outline
remove_circle_outline

Journals

remove_circle_outline
remove_circle_outline
remove_circle_outline
remove_circle_outline
remove_circle_outline
remove_circle_outline
remove_circle_outline
remove_circle_outline
remove_circle_outline
remove_circle_outline
remove_circle_outline
remove_circle_outline
remove_circle_outline
remove_circle_outline
remove_circle_outline
remove_circle_outline
remove_circle_outline
remove_circle_outline
remove_circle_outline
remove_circle_outline
remove_circle_outline
remove_circle_outline
remove_circle_outline
remove_circle_outline
remove_circle_outline
remove_circle_outline

Article Types

Countries / Regions

remove_circle_outline
remove_circle_outline
remove_circle_outline
remove_circle_outline
remove_circle_outline
remove_circle_outline

Search Results (1,491)

Search Parameters:
Keywords = meta-regression

Order results
Result details
Results per page
Select all
Export citation of selected articles as:
17 pages, 1510 KB  
Article
Data-Driven Multi-Objective Optimization of Drilling Performance in Multi-Walled Carbon Nanotube-Reinforced Carbon Fiber-Reinforced Polymer Nanocomposites
by Hediye Kirli Akin
Polymers 2026, 18(8), 986; https://doi.org/10.3390/polym18080986 (registering DOI) - 18 Apr 2026
Viewed by 57
Abstract
Carbon fiber reinforced polymer (CFRP) composites are widely used in many engineering applications such as aerospace, automotive, and defense industries due to their superior properties such as high specific strength, stiffness, and corrosion resistance. However, these materials require drilling, especially during assembly processes. [...] Read more.
Carbon fiber reinforced polymer (CFRP) composites are widely used in many engineering applications such as aerospace, automotive, and defense industries due to their superior properties such as high specific strength, stiffness, and corrosion resistance. However, these materials require drilling, especially during assembly processes. Damage mechanisms arising during this process, such as delamination, high thrust force, and torque, negatively affect structural integrity and production quality. This study proposes a data-driven, multi-objective optimization approach to solve problems encountered during drilling in multi-walled carbon nanotube (MWCNT)-reinforced CFRP nanocomposites. The study considers the MWCNT reinforcement ratio, cutting speed, and feed rate as process parameters and examines their effects on thrust force, torque, and delamination factor. Second-degree polynomial regression-based prediction models were created using the experimental data obtained, and these models were included in the multi-objective optimization process. During the optimization phase, thrust force and torque values were simultaneously minimized, while the delamination factor was kept below the statistically determined constraint of Fd ≤ 1.054. Pareto-optimal solution sets were obtained using NSGA-II and MOPSO meta-heuristic algorithms in the solution process. The results indicate that suitable combinations of drilling parameters can be identified through Pareto-based optimization, allowing significant reductions in thrust force and torque while maintaining the delamination factor below the specified limit. The study presents a reliable optimization approach for the more efficient machining of CFRP nanocomposites. Full article
(This article belongs to the Special Issue Advanced Polymer Composites with High Mechanical Properties)
Show Figures

Figure 1

26 pages, 2624 KB  
Systematic Review
Daily Steps During Nutritional Lifestyle Modification Programs for Obesity Management: A Systematic Review and Meta-Analysis
by Dana Saadeddine, Matteo Foglia, Elisa Berri, Silvia Raggi, Leila Itani and Marwan El Ghoch
Int. J. Environ. Res. Public Health 2026, 23(4), 522; https://doi.org/10.3390/ijerph23040522 - 17 Apr 2026
Viewed by 110
Abstract
Background and objectives: Increasing daily steps during weight management programs remains one of the most common recommendations; however, why, when and how many is still unclear. To clarify this, we aim to conduct a systematic review and meta-analysis. Methods: The study was conducted [...] Read more.
Background and objectives: Increasing daily steps during weight management programs remains one of the most common recommendations; however, why, when and how many is still unclear. To clarify this, we aim to conduct a systematic review and meta-analysis. Methods: The study was conducted in adherence to the PRISMA guidelines on randomized controlled trials (RCTs), that included weight loss (WL) interventions based on lifestyle modification programs (LSMs), compared to “as usual care” considered as controls, to whom both daily steps and WL% were reported or retrievable at baseline (Time 0), end of WL phase (Time 1, WL1%), and weight maintenance phase (Time 2, WL2%), for both arms. Results: A total of 18 RCTs met the inclusion criteria and were included in the systematic review. Of those, 14 underwent meta-analysis and five main findings were revealed: (i) at baseline (Time 0), no significant difference was observed in mean daily steps between the LSM and controls (7280 vs. 7180, p = 0.336), reflecting a similar lifestyle between arms; (ii) at Time 1, the mean duration was 7.88 months (range = 3–12 months), and the LSM arm showed a significant increase in daily steps with respect to baseline (8454 vs. 7486 steps, p = 0.017) and a significant WL (WL1% = 4.39%, p < 0.001); (iii) at Time 2, the mean duration was 10.27 months (range = 3–24 months), and the LSM arm maintained the level of daily steps achieved by the end of WL phase (8241 vs. 8454 steps, p > 0.05), and also a significant WL% (WL2% = 3.28%, p = 0.001); (iv) the control arm showed no significant changes in daily steps and weight status at all times of assessment; and (v) the meta-regression showed in the LSM arm a positive relationship between daily steps at Time 1 (β = 1.33, p = 0.03) and Time 2 (β = 1.10, p = 0.02), both with WL2%. Conclusions: Our preliminary study results support that during LSM programs, patients should be encouraged to increase their daily steps during the WL phase, targeting approximately 8500 steps/day and maintaining these levels during the maintenance phase, since this strategy appears to be a useful behavioral approach associated with maintaining significant WL in the long term. Full article
12 pages, 1084 KB  
Systematic Review
QRS Index as a Predictor of Response to Cardiac Resynchronization Therapy: A Systematic Review and Meta-Analysis
by Egle Corrado, Francesco Stabile, Sebastian Jaramillo, Mariana Niño Lopez, Marco Mirabella, Cristina Madaudo, Vincenzo Sucato, Alfredo Ruggero Galassi, Roberto De Ponti and Giuseppe Coppola
J. Clin. Med. 2026, 15(8), 3074; https://doi.org/10.3390/jcm15083074 - 17 Apr 2026
Viewed by 139
Abstract
Background: Cardiac resynchronization therapy (CRT) improves outcomes in heart failure (HF) patients with reduced left ventricular ejection fraction (LVEF) and a wide QRS complex. However, up to 30–50% of patients fail to respond. The QRS Index, which quantifies QRS shortening after CRT, [...] Read more.
Background: Cardiac resynchronization therapy (CRT) improves outcomes in heart failure (HF) patients with reduced left ventricular ejection fraction (LVEF) and a wide QRS complex. However, up to 30–50% of patients fail to respond. The QRS Index, which quantifies QRS shortening after CRT, has emerged as a potential predictor of response. We aimed to perform a systematic review and meta-analysis to evaluate the association between QRS Index and CRT response. Methods: We searched PubMed, Scopus and Cochrane for studies reporting QRS Index values in CRT responders and non-responders. Studies defining response based on clinical, echocardiographic, or combined criteria were included. Heterogeneity was assessed using the I2 statistic, and a random-effects model was applied. A meta-regression analysis explored the relationship between baseline echocardiographic parameters and QRS Index. Results: Nine studies with 1274 patients met the inclusion criteria, with 760 (59%) classified as responders and 514 (41%) as non-responders. The weighted mean ± standard deviation was 16.14 ± 13.19 in responders and 7.22 ± 14.96 in non-responders. The QRS Index was significantly higher in the responder group compared to non-responders (mean difference: 8.76; 95% CI: 6.45–11.06; I2 = 45%; p < 0.00001). Meta-regression revealed that lower left ventricular end-systolic volume (LVESV) values were associated with even higher QRS Index in responders compared to non-responders (β = −0.0483; 95% CI: −0.0938; −0.0029, p = 0.0372). Conclusions: QRS Index is significantly higher in CRT responders, supporting its role as a predictor of response. Further studies are needed to standardize its clinical use and assess its prognostic impact. Full article
(This article belongs to the Special Issue Advances in Cardiac Resynchronization Treatment: 2nd Edition)
Show Figures

Figure 1

25 pages, 1608 KB  
Review
Functional Amino Acid Supplementation Drives Early Growth and Gut Maturation in Broilers: A Meta-Analysis
by Emmanuel Nuamah, Utibe Mfon Okon, Jongryun Kim, Guybong Song, Darae Kang, Hakkyo Lee and Kwanseob Shim
Animals 2026, 16(8), 1207; https://doi.org/10.3390/ani16081207 - 15 Apr 2026
Viewed by 202
Abstract
Early post-hatch feeding strategies supplementing nutrients, particularly functional amino acids, have been proposed to enhance gastrointestinal tract (GIT) maturation and health in broilers in the post-antibiotic era. However, reported effects on performance and gut morphology remain inconsistent. Hence, this meta-analysis synthesized and clarified [...] Read more.
Early post-hatch feeding strategies supplementing nutrients, particularly functional amino acids, have been proposed to enhance gastrointestinal tract (GIT) maturation and health in broilers in the post-antibiotic era. However, reported effects on performance and gut morphology remain inconsistent. Hence, this meta-analysis synthesized and clarified the efficacy pattern of supplemental FAA (Arg, Gln, Gly) evidence on growth performance, gut morphology, and lymphoid organ development. From a search spanning 2015 to September 2025, data were extracted from 23 eligible studies among 582 reports identified and pooled from five online databases. Standardized mean differences (SMDs) were calculated using Hedges’ g estimator with 95% confidence intervals, and heterogeneity was explored using subgroup and meta-regression procedures. Internal validity and reliability of included studies and publication bias were also assessed. The random-effects meta-analyses revealed that the FAA increased BWG (SMD = 1.01; p = 0.0006) and reduced feed conversion ratio (SMD = −0.45; p < 0.0001). Likewise, they enhanced intestinal architecture in both the jejunum and ileum. This was characterized by increased villus height (p < 0.05), reduced crypt depth (p < 0.05), and an elevated villus-to-crypt ratio (p < 0.0001), with the ileum exhibiting the greatest morphological response. In contrast, supplementation had no significant effect on spleen weight (SMD = 0.24; p = 0.2483) or bursa weight (SMD = 0.31; p = 0.1575). These effects, however, can be influenced by dosage used, dietary crude protein level, and broiler strain. In addition to enhancing the small intestine morphology early on, longer supplementation increased feed efficiency. Specifically, L-arginine and glycine efficaciously stimulated BWG, while L-glutamine and L-arginine enhanced morphology. Overall, early dietary supplementation with arginine, glutamine, or glycine is an effective post-antibiotic nutritional strategy to alleviate early post-hatch physiological stress and support broiler growth and intestinal development. However, to optimize nutrient utilization and sustain growth performance comparable to that achieved with standard CP diets, these FAAs in practical broiler nutrition should be strategically integrated into low-CP formulations. Full article
(This article belongs to the Section Animal Physiology)
20 pages, 2101 KB  
Review
Effects of Psychological Interventions for Mental Health in Police Officers: A Systematic Review and Meta-Analysis
by Ga-In Lee and Jin-Hyuck Park
Healthcare 2026, 14(8), 1025; https://doi.org/10.3390/healthcare14081025 - 13 Apr 2026
Viewed by 178
Abstract
Background/Objectives: Police officers are exposed to chronic occupational stress and traumatic events, placing them at increased risk for mental health problems. Previous meta-analyses have been limited by heterogeneous samples and methodological variability. This study evaluated the effectiveness of psychological interventions on mental health [...] Read more.
Background/Objectives: Police officers are exposed to chronic occupational stress and traumatic events, placing them at increased risk for mental health problems. Previous meta-analyses have been limited by heterogeneous samples and methodological variability. This study evaluated the effectiveness of psychological interventions on mental health and posttraumatic stress disorder (PTSD) symptoms among police officers using randomized controlled trials (RCTs). Methods: A systematic search of PubMed, Embase, Web of Science, PsycINFO, and MEDLINE was conducted for studies published between January 2000 and September 2025. The search strategy utilized key terms including “police officers,” “psychological interventions,” “mental health,” and “randomized controlled trials”. Only RCTs involving police officers were included. Psychological interventions were compared with waitlist, usual-care, or active control conditions. General mental health outcomes (depression, anxiety, and stress) were analyzed as the primary outcome, and PTSD symptoms as a secondary outcome. Effect sizes were calculated as Hedges’s g using random-effects models. Subgroup, meta-regression, sensitivity, and publication bias analyses were conducted when appropriate. Results: Ten RCTs comprising 637 police officers met the inclusion criteria. Psychological interventions demonstrated moderate improvements in overall mental health (Hedges’s g = 0.516, 95% CI = 0.296–0.735, p < 0.001), albeit with substantial heterogeneity. Comparable effects were observed across waitlist and usual-care/active control comparisons. For PTSD symptoms, significant improvements were found only in comparisons with waitlist controls, whereas the overall pooled effect was not statistically significant. Meta-regression showed no dose–response relationship between total intervention hours and treatment effects. Sensitivity analyses confirmed result robustness. The certainty of evidence was rated as moderate for general mental health and low for PTSD symptoms, primarily due to substantial inconsistency and imprecision. Conclusions: These findings suggest that structured psychological programs show potential to confer added benefits for general mental health beyond routine wellness activities, although the certainty of the evidence is moderate to low. In contrast, the evidence for PTSD symptoms remains inconclusive, with effects failing to reach robust statistical significance. This underscores that preliminary individual-level intervention may be insufficient for trauma-specific symptoms, necessitating further research into specialized, trauma-focused approaches and the role of organizational determinants in enhancing intervention efficacy. Full article
24 pages, 3453 KB  
Article
Role of Platelet-Rich Plasma Injection in Anterior Cruciate Ligament Reconstruction: A Meta-Analysis of Randomized Controlled Trials
by Ahmed Abdirahman Ibrahim, Michael Opoku, Abakar Mahamat Abdramane, Mingqing Fang, Xu Liu, Abdulraheem Mustapha, Yusheng Li, Wenfeng Xiao, Kai Zhang and Shuguang Liu
Bioengineering 2026, 13(4), 455; https://doi.org/10.3390/bioengineering13040455 - 13 Apr 2026
Viewed by 305
Abstract
Purpose: To critically evaluate the role or effect of platelet-rich plasma (PRP) in anterior cruciate ligament (ACL) reconstruction in terms of clinical and radiological outcomes. Method: We conducted a systematic search of PubMed, Embase, the Cochrane Library, and Web of Science to identify [...] Read more.
Purpose: To critically evaluate the role or effect of platelet-rich plasma (PRP) in anterior cruciate ligament (ACL) reconstruction in terms of clinical and radiological outcomes. Method: We conducted a systematic search of PubMed, Embase, the Cochrane Library, and Web of Science to identify relevant studies. Clinical outcomes included the Visual Analogue Scale (VAS), International Knee Documentation Committee (IKDC) subjective and objective evaluations, Lysholm score, Tegner score, anterior knee laxity, Knee Injury and Osteoarthritis Outcome Score (KOOS), Kujala score, Victorian Institute of Sport Assessment (VISA) scale, proprioception, isokinetic strength, and physical examination tests (anterior drawer, Lachman, and pivot-shift tests). Radiological outcomes encompassed measures obtained via magnetic resonance imaging (MRI), computed tomography (CT), X-ray, and ultrasound. Statistical significance was defined as a p value < 0.05, and all analyses were performed using R software (version 4.1.3). Results: A total of 23 studies, including 19 randomized controlled trials, met the inclusion criteria, encompassing 1072 patients overall. The meta-analysis showed significant differences between PRP group and non-PRP group with regard to VAS score at 6- and 12-month follow-up, Lysholm score at 6-month follow-up, and Tegner score at 6-month follow-up. Meta-regression showed that the two group differences in VAS score changed significantly with follow-up time (p < 0.01). In terms of radiological findings, about half of the assessments favored PRP to facilitate the graft maturation and integration at 6-month follow-up. Conclusions: PRP application in ACL reconstruction compared with non-PRP, may produce short-term but not long-term clinical outcomes such as VAS score, Lysholm score and Tegner score. While some short-term statistical differences exist, their magnitude and durability do not yet justify routine clinical adoption of PRP in ACL reconstruction. Larger samples and higher-quality studies are needed to support our results and further explore the advantages of PRP in other aspects. Level of evidence: Level II. Full article
(This article belongs to the Section Regenerative Engineering)
Show Figures

Figure 1

24 pages, 1390 KB  
Article
Effects of Pollen Storage on Physiological Quality and Reproductive Performance in Date Palm (Phoenix dactylifera L.): A Systematic Review and Meta-Analysis
by Ricardo Salomón-Torres, Mohammed Aziz Elhoumaizi, Glenn C. Wright, Abdelouahhab Alboukhari Zaid, Yohandri Ruisanchez-Ortega, Fidel Núñez-Ramírez and Laura Samaniego-Sandoval
Horticulturae 2026, 12(4), 475; https://doi.org/10.3390/horticulturae12040475 - 13 Apr 2026
Viewed by 281
Abstract
Date palm (Phoenix dactylifera L.) production relies on the availability of viable and physiologically active pollen during female flowering, making pollen storage an important strategy to overcome flowering asynchrony and ensure effective artificial pollination. In this study, we systematically reviewed and quantitatively [...] Read more.
Date palm (Phoenix dactylifera L.) production relies on the availability of viable and physiologically active pollen during female flowering, making pollen storage an important strategy to overcome flowering asynchrony and ensure effective artificial pollination. In this study, we systematically reviewed and quantitatively synthesized the effects of pollen storage conditions on pollen physiological quality and reproductive performance in date palm. Following PRISMA guidelines, 22 experimental studies were identified in the qualitative synthesis, and comparable quantitative datasets were used for meta-analysis. Acetocarmine staining, the most commonly used method for assessing pollen stainability across studies, was selected as the standardized indicator of pollen stainability. Multilevel random-effects meta-regression models were applied to evaluate temporal deterioration patterns over storage periods of up to 24 months, while standardized forest plot meta-analyses were used to estimate pooled effects after 12 months of storage. The results revealed a strong temperature-dependent decline in pollen physiological quality. Acetocarmine stainability declined by −6.41, −3.10, −2.62, and −2.24% month−1 under ambient, refrigerated, mild freezing, and moderate freezing conditions, respectively, whereas germination declined by −6.77, −1.86, −3.14, −1.09, and −1.05% month−1 under ambient (23–25 °C), refrigerated (4–5 °C), mild freezing (−5 °C), moderate freezing (−20 °C), and deep freezing (−80 °C) conditions, respectively. After 12 months of storage, stainability, germination, and fruit set were significantly reduced relative to fresh pollen. In contrast, pollen storage had no significant effect on final fruit weight, suggesting that pollen deterioration primarily affects fertilization success rather than subsequent fruit development. The available evidence suggests that low-temperature storage represents the most effective strategy for preserving date palm pollen functionality. Refrigerated storage around 4 °C appears to provide a reliable and accessible option for short- to medium-term pollen preservation, whereas freezing conditions may be advantageous for longer storage periods when moisture control and thawing procedures are properly managed. Full article
(This article belongs to the Section Propagation and Seeds)
25 pages, 854 KB  
Systematic Review
Hybrid Machine Learning Architectures for Emergency Triage: A Systematic Review of Predictive Performance and the Complexity Gradient
by Junaid Ullah, R. Kanesaraj Ramasamay and Venushini Rajendran
BioMedInformatics 2026, 6(2), 21; https://doi.org/10.3390/biomedinformatics6020021 - 10 Apr 2026
Viewed by 352
Abstract
Background: Emergency triage systems using machine learning traditionally rely on structured tabular data (vital signs), creating a “contextual blind spot” that ignores diagnostic information embedded in unstructured clinical narratives. Hybrid AI models that fuse tabular and text data may improve predictive discrimination, but [...] Read more.
Background: Emergency triage systems using machine learning traditionally rely on structured tabular data (vital signs), creating a “contextual blind spot” that ignores diagnostic information embedded in unstructured clinical narratives. Hybrid AI models that fuse tabular and text data may improve predictive discrimination, but the magnitude and conditions under which fusion adds value remain unclear. Methods: Five databases (PubMed, Scopus, Web of Science, IEEE Xplore, ACM Digital Library) were searched from 1 January 2015 to 15 December 2025. Eligible studies employed Hybrid AI models integrating structured and unstructured emergency department data with quantitative baseline comparisons. Twenty-five studies (N ≈ 4.8 million encounters) met inclusion criteria. We extracted marginal performance gains (ΔAUC), calibration metrics, and demographic reporting. Synthesis followed SWiM principles with subgroup meta-regression testing our novel “Complexity Gradient” hypothesis. Results: Hybrid models demonstrated superior discrimination compared to tabular baselines, with effect magnitude dependent on clinical task complexity. Low-complexity tasks (tachycardia prediction) showed minimal gains (median ΔAUC + 0.036, IQR: 0.02–0.05), while high-complexity tasks (hypoxia, sepsis) demonstrated substantial improvement (median ΔAUC + 0.111, IQR: 0.09–0.13). Meta-regression confirmed complexity significantly moderated effect size (R2 = 0.42, p = 0.003). Only 12% (3/25) of studies reported calibration metrics (Brier scores: 0.089–0.142). Zero studies stratified performance by race/ethnicity; 88% (22/25) failed to report training data demographics. Discussion: The complexity gradient framework explains when multimodal fusion adds predictive value: tasks where diagnostic signal resides in narrative features (temporality, negation) rather than physiological measurements. However, systematic absence of calibration reporting and fairness auditing prevents clinical deployment. Seventy-two percent of studies had high risk of bias in the analysis domain due to retrospective designs without temporal validation. Conclusions: Hybrid triage models show promise for complex diagnostic tasks but require mandatory calibration reporting and demographic performance stratification before clinical implementation. We propose minimum reporting standards including Brier scores, race-stratified metrics, and temporal validation protocols. Full article
Show Figures

Figure 1

21 pages, 6175 KB  
Systematic Review
Disadvantages of the Use of Low-Protein Diets in Weaned Piglets and Nutritional Interventions: A Meta-Analysis
by Jingchun Gao, Xiaoyi Long, Qingsong Tang, Xie Peng, Yetong Xu and Zhihong Sun
Animals 2026, 16(8), 1157; https://doi.org/10.3390/ani16081157 - 10 Apr 2026
Viewed by 286
Abstract
This study aimed to systematically evaluate the effects of low-protein (LP) diets and their associated nutritional interventions on growth performance and intestinal health in weaned piglets through a meta-analysis. Following the PRISMA guidelines, 21 studies were selected from an initial set of 1720 [...] Read more.
This study aimed to systematically evaluate the effects of low-protein (LP) diets and their associated nutritional interventions on growth performance and intestinal health in weaned piglets through a meta-analysis. Following the PRISMA guidelines, 21 studies were selected from an initial set of 1720 to construct a database. A random-effects model was employed to assess the growth performance and intestinal health of weaned piglets, comparing LP diet with control diet, and LP diet + additive with LP diet alone. Heterogeneity was assessed using the I2 statistic, and its sources along with publication bias were explored through meta-regression, subgroup analysis, and Egger’s linear regression. The results show that LP diets (crude protein < 18%) reduced final body weight (p < 0.001), average daily gain (p < 0.001), and gain-to-feed ratio (p < 0.001) of weaned piglets. Additionally, forest plot data show that LP diet (crude protein < 18%) decreased villus height and crypt depth in the jejunum and ileum of weaned piglets (p < 0.05). To mitigate these adverse effects, plant extracts, amino acids (AAs), fatty acids, vitamins, enzymes, and carbohydrates are commonly used as additives. Among these, the results show that LP diets supplemented with AAs and plant extracts increased average daily feed intake (p < 0.001) and ileal crypt depth (p < 0.05). Network meta-analysis further identified AAs and plant extracts as the most effective additives for improving growth performance of weaned piglets. In conclusion, dietary protein levels below 18% negatively affect the growth performance of weaned piglets, and supplementation with AAs or plant extracts represents a promising strategy to counteract these adverse effects. Full article
(This article belongs to the Special Issue Dietary Regulation for Nutrient Metabolism and Utilization in Animals)
Show Figures

Figure 1

31 pages, 3479 KB  
Systematic Review
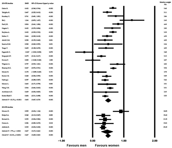
Sex-Related Differences in Myocardial Deformation and Systolic Function in Healthy Individuals: A Systematic Review and Meta-Analysis of Global Longitudinal Strain and Left Ventricular Ejection Fraction
by Andrea Sonaglioni, Giulio Francesco Gramaglia, Gian Luigi Nicolosi, Massimo Baravelli and Michele Lombardo
J. Clin. Med. 2026, 15(8), 2859; https://doi.org/10.3390/jcm15082859 - 9 Apr 2026
Viewed by 151
Abstract
Background: Left ventricular global longitudinal strain (GLS) measured by speckle-tracking echocardiography (STE) has become a key marker of myocardial systolic function, yet normal reference values remain heterogeneous, and the magnitude of physiological sex differences is not fully defined. We performed a systematic review [...] Read more.
Background: Left ventricular global longitudinal strain (GLS) measured by speckle-tracking echocardiography (STE) has become a key marker of myocardial systolic function, yet normal reference values remain heterogeneous, and the magnitude of physiological sex differences is not fully defined. We performed a systematic review and meta-analysis to establish pooled GLS reference estimates in healthy individuals, quantify sex-related differences, and contextualize deformation findings relative to conventional systolic function. Methods: A systematic search of PubMed, Scopus, and EMBASE identified observational studies reporting GLS in healthy adults assessed by two-dimensional or three-dimensional STE. Random-effects meta-analysis using standardized mean differences (SMD) compared GLS between women and men. Descriptive pooled reference values were derived using weighted median and interquartile range (IQR) reconstruction from study-level distributions. Meta-regression analyses explored demographic, clinical, and methodological sources of heterogeneity. A complementary analysis evaluated sex-related differences in left ventricular ejection fraction (LVEF) within the same populations. Results: Thirty-two studies, including 19,157 healthy individuals, were analyzed. The pooled population had a weighted median age of 47.5 years and 53% female participants. Overall, GLS demonstrated a weighted median of 20.3% (IQR 17.8–22.5). Women showed higher GLS values than men (20.8% [18.4–23.1] vs. 19.4% [17.0–21.6]). Meta-analysis of 28 studies confirmed significantly greater GLS in females (SMD 0.487, 95% CI 0.409–0.565; p < 0.001), with consistent findings across imaging modalities and no subgroup interaction. Between-study heterogeneity was substantial (I2 = 82.7%), although effect direction was uniform. Meta-regression analyses identified no significant moderators, and sensitivity analyses confirmed stable estimates without publication bias. Segmental analysis demonstrated a physiological base-to-apex strain gradient. In contrast, LVEF was largely comparable between sexes, with no clinically meaningful difference (SMD 0.257, 95% CI 0.186–0.327; p < 0.001), indicating preserved global systolic performance despite differences in myocardial deformation. Conclusions: GLS demonstrates a consistent physiological range in healthy populations, with women exhibiting higher longitudinal deformation than men, independent of the imaging modality. These findings support the adoption of sex-specific GLS reference values and highlight the complementary roles of deformation and volumetric indices in improving the interpretation of myocardial function and reducing misclassification in clinical practice. Full article
(This article belongs to the Special Issue New Advances in Cardiovascular Diseases: The Cutting Edge)
Show Figures

Figure 1

26 pages, 1776 KB  
Article
Regression Meta-Model for Predicting Temperature-Humidity Index in Mechanically Ventilated Broiler Houses Using Building Energy Simulation in South Korea
by Taehwan Ha, Kyeongseok Kwon, Se-Woon Hong and Uk-Hyeon Yeo
Agriculture 2026, 16(8), 824; https://doi.org/10.3390/agriculture16080824 - 8 Apr 2026
Viewed by 308
Abstract
Heat stress is a major challenge for broiler production worldwide and is expected to intensify with more frequent heatwaves. This study focuses on mechanically ventilated broiler houses in South Korea, where heatwaves have become increasingly frequent. Three regression meta-models were developed to predict [...] Read more.
Heat stress is a major challenge for broiler production worldwide and is expected to intensify with more frequent heatwaves. This study focuses on mechanically ventilated broiler houses in South Korea, where heatwaves have become increasingly frequent. Three regression meta-models were developed to predict the indoor temperature–humidity index (THI) directly from weather forecast data, using simulated results from a validated building energy simulation (BES) model. A TRNSYS-based BES model was validated against field measurements from four rearing cycles in a commercial broiler house (RMSE 1.31–2.16; MAPE < 2.00%). Using 3072 simulation cases that combined multiple sites, thermal-transmittance levels, cooling conditions, building sizes, and broiler body weights, three regression meta-model approaches were evaluated: a condition-specific regression meta-model for each condition set, a unified regression meta-model with categorical predictors, and a single variable meta-model using only external THI as a predictor. All three showed strong predictive performance, and the unified regression meta-model achieved R2 = 0.978, RMSE = 0.817, and MAPE = 0.829, providing the best balance between accuracy and simplicity. This unified model offers a practical tool to link weather forecasts with broiler-house design and environmental-control decisions for heat-stress risk management. Full article
Show Figures

Graphical abstract

17 pages, 3244 KB  
Systematic Review
Off-Clamp Versus On-Clamp Partial Nephrectomy: An Updated Systematic Review, Meta-Analysis and Meta-Regression
by Paweł Dębiński, Jakub Karwacki, Łukasz Nowak, Zuzanna Szczepaniak, Maria Jędryka, Karol Zagórski, Bartosz Małkiewicz and Tomasz Szydełko
J. Clin. Med. 2026, 15(7), 2792; https://doi.org/10.3390/jcm15072792 - 7 Apr 2026
Viewed by 325
Abstract
Objectives: The impact of renal ischemia during partial nephrectomy (PN) on postoperative renal function remains controversial. On-clamp PN provides improved surgical exposure and haemostasis but induces warm ischemia, which may impair renal function. Off-clamp PN avoids ischemia-related injury and may better preserve renal [...] Read more.
Objectives: The impact of renal ischemia during partial nephrectomy (PN) on postoperative renal function remains controversial. On-clamp PN provides improved surgical exposure and haemostasis but induces warm ischemia, which may impair renal function. Off-clamp PN avoids ischemia-related injury and may better preserve renal function, although concerns persist regarding blood loss and oncological safety. We systematically compared perioperative and functional outcomes, as well as surgical margin status between on-clamp and off-clamp PN. Methods: We performed a systematic search of PubMed, Embase, Cochrane, Web of Science, and Scopus to identify randomized controlled trials (RCTs) and observational studies comparing on-clamp versus off-clamp PN with no publication time limitations. Outcomes included estimated glomerular filtration rate (eGFR), percentage eGFR change, estimated blood loss (EBL), transfusion rates, positive surgical margins (PSMs), operative time, and complications. Results: Thirty-nine studies (four RCTs) including 10,154 patients were analysed. Off-clamp PN was associated with a smaller decline in eGFR (mean difference [MD] −4 mL/min/1.73 m2, 95% CI −5.7 to −2.8) and lower percentage eGFR loss (MD −1.7%, 95% CI −2.8 to −0.7). On-clamp PN was associated with lower EBL (MD −48 mL, 95% CI −72 to −25). Transfusion rates favored on-clamp PN but were not statistically significant (OR 0.7, 95% CI 0.5–1.0). On-clamp PN was associated with a higher risk of PSM (OR 1.3, 95% CI 1.0–1.7) and postoperative complications (OR 1.3, 95% CI 1.1–1.6). Between-study heterogeneity and predominance of observational data were key limitations. Conclusions: Off-clamp PN provides superior renal functional preservation and lower risks of PSMs and complications, at the cost of increased blood loss. These findings support individualized surgical decision-making based on patient and tumor characteristics. What does the study add?: This study provides an extensive and detailed comparison of off-clamp versus on-clamp partial nephrectomy, encompassing more than 10,000 patients from 39 studies. By integrating the available evidence up to late 2024, it delivers comprehensive estimates of the renal functional benefits associated with ischemia-free surgery. Our findings delineate the trade-offs between renal preservation, blood loss, and surgical margin status, thereby informing individualised decision-making in nephron-sparing surgery and refining current understanding of when ischemia avoidance is most clinically advantageous. Patient summary: Our study suggests that performing partial nephrectomy without temporarily clamping the kidney blood vessels may better preserve kidney function and reduce cancer-related surgical risks, but can lead to increased blood loss during surgery. These findings indicate that the choice of surgical technique should be individualised, taking into account tumour features and patient-specific factors. Full article
(This article belongs to the Section Nephrology & Urology)
Show Figures

Figure 1

16 pages, 2526 KB  
Systematic Review
Meta-Analytic Modeling to Define Decision Thresholds for Cerebrospinal Fluid Heparin-Binding Protein in Healthcare-Associated Ventriculitis and Meningitis
by Hsiang-Yi Hung, Po-An Su, Pei-Chun Lai and Yen-Ta Huang
Diagnostics 2026, 16(7), 1110; https://doi.org/10.3390/diagnostics16071110 - 7 Apr 2026
Viewed by 374
Abstract
Background/Objectives: Healthcare-associated ventriculitis and meningitis (HAVM) is a life-threatening complication of neurosurgical procedures. Conventional cerebrospinal fluid (CSF) indices cannot reliably distinguish bacterial infection from sterile postoperative inflammation, and cultures are frequently delayed or negative. We conducted the first systematic review and meta-analysis to [...] Read more.
Background/Objectives: Healthcare-associated ventriculitis and meningitis (HAVM) is a life-threatening complication of neurosurgical procedures. Conventional cerebrospinal fluid (CSF) indices cannot reliably distinguish bacterial infection from sterile postoperative inflammation, and cultures are frequently delayed or negative. We conducted the first systematic review and meta-analysis to determine the pooled diagnostic accuracy of CSF heparin-binding protein (HBP) for HAVM and to establish clinically actionable decision thresholds. Methods: PubMed, Embase, the Cochrane Library, and China National Knowledge Infrastructure were searched from inception to 15 February 2026. Risk of bias was assessed using QUADAS-3. Sensitivity and specificity were pooled with a bivariate random-effects model, and heterogeneity was explored through subgroup analyses and metaregression. Thresholds were derived using likelihood ratio (LR)-based and diagmeta cutoff modeling. Results: Twelve studies (n = 1761) were included. Pooled sensitivity was 0.861 (95% confidence interval [CI]: 0.777–0.917) and specificity was 0.848 (95% CI: 0.781–0.897), with a positive LR (LR+) of 5.65 and a negative LR (LR−) of 0.164. At a 50% pretest probability, post-test probability was increased to 85% by a positive result and reduced to 14% by a negative result. Intracerebral hemorrhage cohorts showed lower accuracy (sensitivity: 0.675, specificity: 0.755), whereas brain tumor-predominant cohorts demonstrated the highest performance (sensitivity: 0.935, specificity: 0.922; p = 0.017). Thresholds of ≥41.3 (rule-in; LR+ ≥10) and ≤30.1 ng/mL (rule-out; LR− ≤0.1) defined clinically actionable decision zones. Conclusions: CSF HBP provides quantitatively defined rule-in and rule-out thresholds that meaningfully shift the post-test probability and may support antimicrobial decision-making in suspected HAVM. Prospective multicenter validation is warranted. Full article
Show Figures

Figure 1

19 pages, 8010 KB  
Article
Multi-Model Fusion for Street Visual Quality Evaluation
by Qianhan Wang and Yuechen Li
ISPRS Int. J. Geo-Inf. 2026, 15(4), 158; https://doi.org/10.3390/ijgi15040158 - 6 Apr 2026
Viewed by 368
Abstract
With accelerating global urbanization and increasingly diverse demands for public spaces, promoting urban low-carbon transitions and enhancing residents’ quality of life have become central missions of modern urban development. As one of the city’s primary arteries, streets—through their green landscapes, slow-moving transportation systems, [...] Read more.
With accelerating global urbanization and increasingly diverse demands for public spaces, promoting urban low-carbon transitions and enhancing residents’ quality of life have become central missions of modern urban development. As one of the city’s primary arteries, streets—through their green landscapes, slow-moving transportation systems, and public facilities—play an indispensable role in reducing carbon emissions, promoting healthy living, and improving residents’ well-being. In this study, the Yubei District of Chongqing was selected as the research area, and an automated evaluation framework was proposed for street visual quality, based on multi-source street view data and ensemble learning. PSP-Net semantic segmentation model was employed to extract eight key visual indicators from street view images, including green view index, Visual Entropy (Entropy), sky view factor (SVF), drivable space, sidewalk, safety facilities, buildings, and enclosure. Based on these features, a Stacking-based ensemble learning model was constructed, integrating multiple base models such as Random Forest, XGBoost, and LightGBM, with Linear Regression as the meta-learner, to predict street visual quality. The results demonstrate that the ensemble model significantly outperforms any single model, achieving a correlation coefficient (r) of 0.77 and effectively capturing the complex perceptual features of street environments. This study provides a reliable, intelligent, and quantitative method for large-scale evaluation of urban street visual quality, while supplying data support and decision-making references for street renewal and spatial optimization. Full article
Show Figures

Figure 1

18 pages, 3296 KB  
Systematic Review
Association Between Levels of Magnesium and Diabetic Retinopathy in Diabetic Patients with Type 2 Diabetes Mellitus: An Updated Systematic Review and Meta-Analysis
by Eman A. Kubbara, Sara Z. Hamdan, Tassneem Awad Hajali, Mohamad Y. Rezk and Hamdan Z. Hamdan
Nutrients 2026, 18(7), 1162; https://doi.org/10.3390/nu18071162 - 6 Apr 2026
Viewed by 696
Abstract
Background/Objectives: Magnesium is an intracellular cation that plays important roles in metabolism and insulin signaling. The evidence of association between magnesium levels and diabetic retinopathy is limited by small study effects. Therefore, this systematic review and meta-analysis aim to update the current evidence. [...] Read more.
Background/Objectives: Magnesium is an intracellular cation that plays important roles in metabolism and insulin signaling. The evidence of association between magnesium levels and diabetic retinopathy is limited by small study effects. Therefore, this systematic review and meta-analysis aim to update the current evidence. Methods: A comprehensive search of PubMed, ScienceDirect, Google Scholar, and Scopus was conducted from database inception to January 2026 to identify studies examining magnesium levels and diabetic retinopathy. The pooled standardized mean difference in magnesium levels between type 2 diabetic patients with retinopathy and those without retinopathy was estimated using the “meta” package in R software. Results: We included seventeen studies which assessed magnesium levels in 1100 patients with diabetic retinopathy and 1132 diabetic controls without retinopathy. The random-effects model indicated significantly lower magnesium levels in patients with diabetic retinopathy compared to diabetic controls [SMD = −1.19, 95% CI (−1.68; −0.70); p < 0.0001; I2 = 95%]. Sensitivity analysis retained all studies, and no evidence of publication bias was detected. Subgroup analyses demonstrated consistent findings across geographic regions (Asian versus non-Asian), study designs (case–control versus cross-sectional), and magnesium assay methods except enzymatic method. Meta-regression analysis revealed that year of publication (coefficient = 0.061; p = 0.009) and non-Asian studies (coefficient = 2.376; p = 0.001) were positively associated with the pooled effect size, while the NOS quality score was inversely associated (coefficient = −0.709; p = 0.035). The magnesium levels were significantly lower in patients with proliferative diabetic retinopathy compared with those with non-proliferative diabetic retinopathy using a fixed effect model [SMD = −1.41, (95% CI: −1.83; −1.00); p < 0.01; I2 = 32%; Cochran’s Q statistic (Q = 1.46, p < 0.23)]. The certainty of the generated evidence is rated as low certainty. Conclusions: This systematic review and meta-analysis conclude that magnesium levels are significantly lower in patients with diabetic retinopathy than in diabetic controls without retinopathy. A potential association between hypomagnesemia and the development of diabetic retinopathy in individuals with type 2 diabetes is suggested; therefore, the clinician may check and adjust magnesium levels in patients with type 2 diabetes mellitus. Full article
(This article belongs to the Special Issue Magnesium in Aging, Health and Diseases)
Show Figures

Figure 1

Back to TopTop