An Evaluation of the Efficiency of the Floating Solar Panels in the Western Black Sea and the Razim-Sinoe Lagunar System
Abstract
1. Introduction
2. Materials and Methods
2.1. The Location of Interest
2.2. ERA5 Data Set
2.3. The Mathematical Model Used
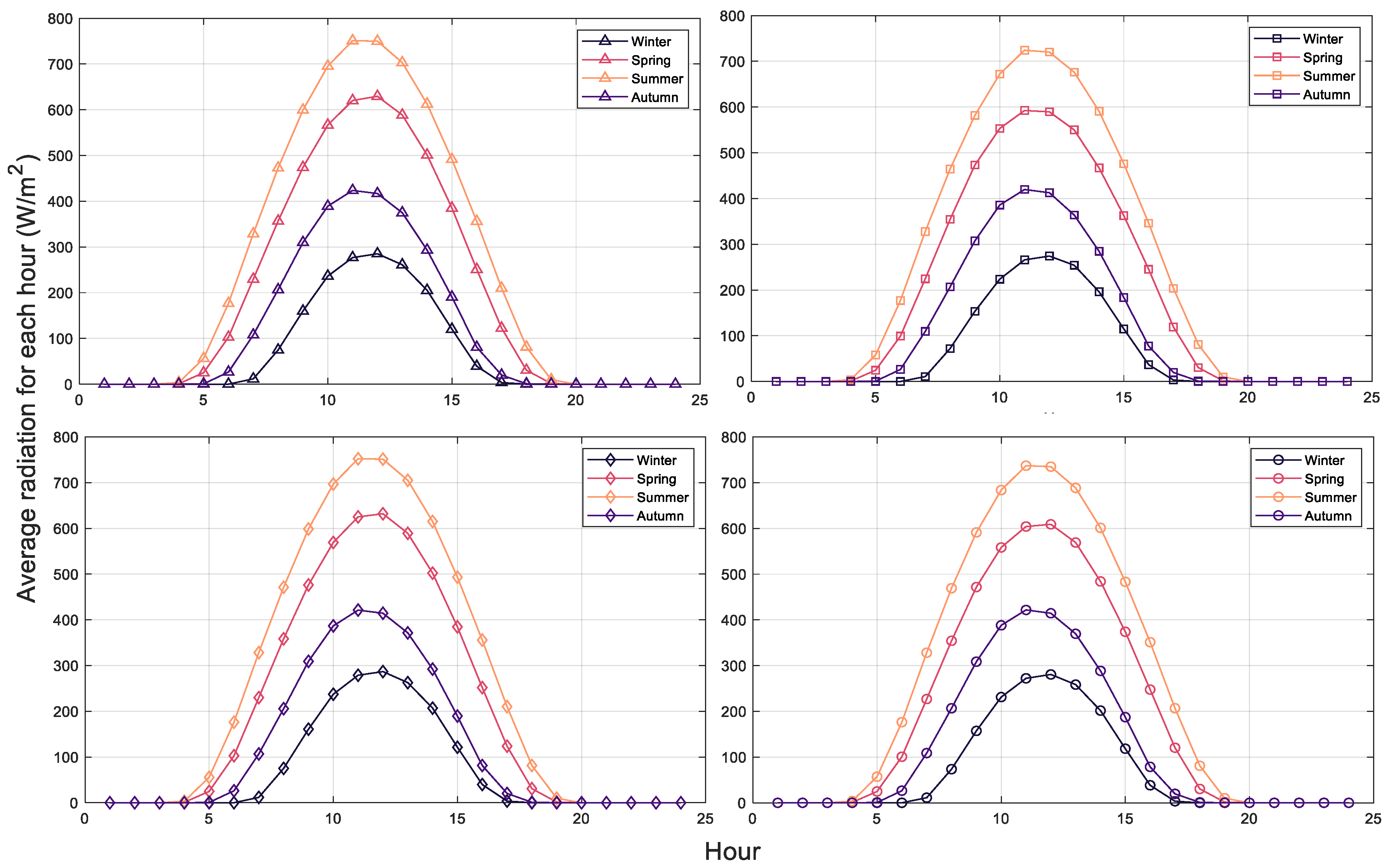
3. Results
4. Discussion
5. Conclusions
- The data obtained from the ERA5 database are similar to the measured ones; those from ERA5 underestimate solar radiation.
- The energy production for the chosen locations is high, reaching 700 kWh for a 540 W PV. These results are similar to the first PV farm located on the water in Romania, which is estimated at 15,000 kWh for 22 panels.
- Because the PVs will be floating on water, they will be cooler and thus will produce more power than those installed on land. Overheating can lead to component damage, and by placing them on water, maintenance can be significantly reduced. Furthermore, rain and wind help to clean the surface of the PV, minimizing the amount of maintenance necessary.
- The tilt angle has a significant impact on solar energy production. In our case, the value of this angle should be set at 64° and for summer at 24°. The use of PVs without an angle reduces energy production by about 10–15%. This tilt angle is a challenge for FPVs because the technology has not yet been sufficiently developed.
- FPV technology could be an innovative solution to the problem of insufficient land. The majority of land in Romania is used for agricultural purposes, and the country is positioned among the first countries in agriculture in Europe.
- The lakes used for this study have two main economic purposes, one being tourism, having beautiful fauna and flora, and the main one being for irrigation. Taking into account the remark about how the panels help to reduce water evaporation, as was also concluded in reference [65], we can say that the economic impact of irrigation is increased by the location of PVs on the water.
- By integrating several FPV farms into the four sites, we were able to see that, in three out of the four cases, our locations were able to produce more energy than their existing positions. Dobrogea nowadays is characterized by undeveloped, largely uninhabited settlements, and renewable energy sources are advantageous to these communities. Many of these villages use wind turbines to provide electricity. As a result, it is possible to assure the nearby communities’ access to electricity by building even the smallest FVP project.
- The Black Sea location provided the best results, but it is also the most difficult in terms of environmental conditions, as it will be affected by waves, and the structure must be designed to last implying higher costs.
Author Contributions
Funding
Institutional Review Board Statement
Informed Consent Statement
Data Availability Statement
Conflicts of Interest
References
- IRENA. Global Hydrogen Trade to Meet the 1.5 °C Climate Goal: Part II—Technology Review of Hydrogen Carriers; IRENA: Abu Dhabi, United Arab Emirates, 2022; ISBN 978-92-9260-431-8. [Google Scholar]
- United Nations. Report of the Conference of the Parties to the United Nations Framework Convention on Climate Change (21st Session); United Nations: Paris, France, 2015; Volume 4, p. 2017. [Google Scholar]
- Wang, C.; Wang, Y.; Tong, X.; Ulgiati, S.; Liang, S.; Xu, M.; Wei, W.; Li, X.; Jin, M.; Mao, J. Mapping Potentials and Bridging Regional Gaps of Renewable Resources in China. Renew. Sustain. Energy Rev. 2020, 134, 110337. [Google Scholar] [CrossRef]
- Singh, D.P.; Dhami, S.S.; Banwait, S.S.; Goyal, D. Performance Comparison of Fixed and Tracking Type Solar Plants. Int. J. Innov. Technol. Explor. Eng. 2020, 9, 612–620. [Google Scholar] [CrossRef]
- Ravichandran, N.; Ravichandran, N.; Panneerselvam, B. Comparative Assessment of Offshore Floating Photovoltaic Systems Using Thin Film Modules for Maldives Islands. Sustain. Energy Technol. Assess. 2022, 53, 102490. [Google Scholar] [CrossRef]
- Olabi, A.G.; Abdelkareem, M.A. Renewable Energy and Climate Change. Renew. Sustain. Energy Rev. 2022, 158, 112111. [Google Scholar] [CrossRef]
- Kannan, N.; Vakeesan, D. Solar Energy for Future World—A Review. Renew. Sustain. Energy Rev. 2016, 62, 1092–1105. [Google Scholar] [CrossRef]
- Essak, L.; Ghosh, A. Floating Photovoltaics: A Review. Clean Technol. 2022, 4, 752–769. [Google Scholar] [CrossRef]
- Devabhaktuni, V.; Alam, M.; Depuru, S.S.S.R.; Green, R.C., II; Nims, D.; Near, C. Solar Energy: Trends and Enabling Technologies. Renew. Sustain. Energy Rev. 2013, 19, 555–564. [Google Scholar] [CrossRef]
- Claus, R.; López, M. Key Issues in the Design of Floating Photovoltaic Structures for the Marine Environment. Renew. Sustain. Energy Rev. 2022, 164, 112502. [Google Scholar] [CrossRef]
- Weinstein, L.A.; Loomis, J.; Bhatia, B.; Bierman, D.M.; Wang, E.N.; Chen, G. Concentrating Solar Power. Chem. Rev. 2015, 115, 12797–12838. [Google Scholar] [CrossRef]
- Santos, J.J.C.S.; Palacio, J.C.E.; Reyes, A.M.M.; Carvalho, M.; Freire, A.J.R.; Barone, M.A. Concentrating Solar Power. In Advances in Renewable Energies and Power Technologies; Elsevier: Amsterdam, The Netherlands, 2018; pp. 373–402. [Google Scholar]
- Ge, T.S.; Wang, R.Z.; Xu, Z.Y.; Pan, Q.W.; Du, S.; Chen, X.M.; Ma, T.; Wu, X.N.; Sun, X.L.; Chen, J.F. Solar Heating and Cooling: Present and Future Development. Renew Energy 2018, 126, 1126–1140. [Google Scholar] [CrossRef]
- Hairong, X.; Hao, G.; Yusuke, Y.; Takayoshi, S.; Renzhi, M. Photo-Enhanced Rechargeable High-Energy-Density Metal Batteries for Solar Energy Conversion and Storage. Nano Res. Energy 2022, 1, e9120007. [Google Scholar] [CrossRef]
- International Renewable Energy Agency. Renewable Capacity Statistics 2022; IRENA: Abu Dhabi, United Arab Emirates, 2022; ISBN 978-92-9260-428-8. [Google Scholar]
- Sahu, A.; Yadav, N.; Sudhakar, K. Floating Photovoltaic Power Plant: A Review. Renew. Sustain. Energy Rev. 2016, 66, 815–824. [Google Scholar] [CrossRef]
- Vo, T.T.E.; Ko, H.; Huh, J.; Park, N. Overview of Possibilities of Solar Floating Photovoltaic Systems in the OffShore Industry. Energies 2021, 14, 6988. [Google Scholar] [CrossRef]
- Kumar, M.; Niyaz, H.M.; Gupta, R. Challenges and Opportunities towards the Development of Floating Photovoltaic Systems. Sol. Energy Mater. Sol. Cells 2021, 233, 111408. [Google Scholar] [CrossRef]
- Trapani, K.; Millar, D.L. Floating Photovoltaic Arrays to Power the Mining Industry: A Case Study for the McFaulds Lake (Ring of Fire). Env. Prog. Sustain. Energy 2016, 35, 898–905. [Google Scholar] [CrossRef]
- Trapani, K.; Millar, D.L.; Smith, H.C.M. Novel Offshore Application of Photovoltaics in Comparison to Conventional Marine Renewable Energy Technologies. Renew Energy 2013, 50, 879–888. [Google Scholar] [CrossRef]
- Choi, Y.K. A Study on Power Generation Analysis of Floating PV System Considering Environmental Impact. Int. J. Softw. Eng. Its Appl. 2014, 8, 75–84. [Google Scholar] [CrossRef]
- Sasmanto, A.A.; Dewi, T. Eligibility Study on Floating Solar Panel Installation over Brackish Water in Sungsang, South Sumatra. EMITTER Int. J. Eng. Technol. 2020, 8, 240–255. [Google Scholar] [CrossRef]
- Majid, Z.A.A.; Ruslan, M.H.; Sopian, K.; Othman, M.Y.; Azmi, M.S.M. Study on Performance of 80 Watt Floating Photovoltaic Panel. J. Mech. Eng. Sci. 2014, 7, 1150–1156. [Google Scholar] [CrossRef]
- Cazzaniga, R.; Cicu, M.; Rosa-Clot, M.; Rosa-Clot, P.; Tina, G.M.; Ventura, C. Floating Photovoltaic Plants: Performance Analysis and Design Solutions. Renew. Sustain. Energy Rev. 2018, 81, 1730–1741. [Google Scholar] [CrossRef]
- Micheli, L. The Temperature of Floating Photovoltaics: Case Studies, Models and Recent Findings. Sol. Energy 2022, 242, 234–245. [Google Scholar] [CrossRef]
- Liu, H.; Krishna, V.; Lun Leung, J.; Reindl, T.; Zhao, L. Field Experience and Performance Analysis of Floating PV Technologies in the Tropics. Prog. Photovolt. Res. Appl. 2018, 26, 957–967. [Google Scholar] [CrossRef]
- El Hammoumi, A.; Chalh, A.; Allouhi, A.; Motahhir, S.; El Ghzizal, A.; Derouich, A. Design and Construction of a Test Bench to Investigate the Potential of Floating PV Systems. J. Clean. Prod. 2021, 278, 123917. [Google Scholar] [CrossRef]
- Pimentel Da Silva, G.D.; Branco, D.A.C. Is Floating Photovoltaic Better than Conventional Photovoltaic? Assessing Environmental Impacts. Impact Assess. Proj. Apprais. 2018, 36, 390–400. [Google Scholar] [CrossRef]
- Haas, J.; Khalighi, J.; De La Fuente, A.; Gerbersdorf, S.U.; Nowak, W.; Chen, P.-J. Floating Photovoltaic Plants: Ecological Impacts versus Hydropower Operation Flexibility. Energy Convers. Manag. 2020, 206, 112414. [Google Scholar] [CrossRef]
- Elshafei, M.; Ibrahim, A.; Helmy, A.; Abdallah, M.; Eldeib, A.; Badawy, M.; AbdelRazek, S. Study of Massive Floating Solar Panels over Lake Nasser. J. Energy 2021, 2021, 6674091. [Google Scholar] [CrossRef]
- Nhiavue, Y.; Lee, H.S.; Chisale, S.W.; Cabrera, J.S. Prioritization of Renewable Energy for Sustainable Electricity Generation and an Assessment of Floating Photovoltaic Potential in Lao PDR. Energies 2022, 15, 8243. [Google Scholar] [CrossRef]
- López, M.; Soto, F.; Hernández, Z.A. Assessment of the Potential of Floating Solar Photovoltaic Panels in Bodies of Water in Mainland Spain. J. Clean. Prod. 2022, 340, 130752. [Google Scholar] [CrossRef]
- Mamatha, G.; Kulkarni, P.S. Assessment of Floating Solar Photovoltaic Potential in India’s Existing Hydropower Reservoirs. Energy Sustain. Dev. 2022, 69, 64–76. [Google Scholar] [CrossRef]
- Agrawal, K.K.; Jha, S.K.; Mittal, R.K.; Vashishtha, S. Assessment of Floating Solar PV (FSPV) Potential and Water Conservation: Case Study on Rajghat Dam in Uttar Pradesh, India. Energy Sustain. Dev. 2022, 66, 287–295. [Google Scholar] [CrossRef]
- Kakoulaki, G.; Sanchez, R.G.; Amillo, A.G.; Szabo, S.; de Felice, M.; Farinosi, F.; de Felice, L.; Bisselink, B.; Seliger, R.; Kougias, I. Benefits of Pairing Floating Solar Photovoltaics with Hydropower Reservoirs in Europe. Renew. Sustain. Energy Rev. 2023, 171, 112989. [Google Scholar] [CrossRef]
- Popa, B.; Vuta, L.I.; Dumitran, G.E.; Picioroaga, I.; Calin-Arhip, M.; Porumb, R.-F. FPV for Sustainable Electricity Generation in a Large European City. Sustainability 2021, 14, 349. [Google Scholar] [CrossRef]
- Hersbach, H. The ERA5 Atmospheric Reanalysis; American Geophysical Union: Washington, DC, USA, 2016; p. NG33D-01. [Google Scholar]
- Hersbach, H.; Bell, B.; Berrisford, P.; Hirahara, S.; Horányi, A.; Muñoz-Sabater, J.; Nicolas, J.; Peubey, C.; Radu, R.; Schepers, D. The ERA5 Global Reanalysis. Q. J. R. Meteorol. Soc. 2020, 146, 1999–2049. [Google Scholar] [CrossRef]
- Savazzi, A.C.M.; Nuijens, L.; Sandu, I.; George, G.; Bechtold, P. The Representation of Winds in the Lower Troposphere in ECMWF Forecasts and Reanalyses during the EUREC4A Field Campaign. Atmos. Chem. Phys. Discuss. 2022, 22, 1–29. [Google Scholar]
- Jiang, H.; Yang, Y.; Bai, Y.; Wang, H. Evaluation of the Total, Direct, and Diffuse Solar Radiations from the ERA5 Reanalysis Data in China. IEEE Geosci. Remote Sens. Lett. 2019, 17, 47–51. [Google Scholar] [CrossRef]
- Gleixner, S.; Demissie, T.; Diro, G.T. Did ERA5 Improve Temperature and Precipitation Reanalysis over East Africa? Atmosphere 2020, 11, 996. [Google Scholar] [CrossRef]
- Hogan, R. Radiation Quantities in the ECMWF Model and MARS; ECMWF: Reading, UK, 2015. [Google Scholar]
- Jiang, H.; Yang, Y.; Wang, H.; Bai, Y.; Bai, Y. Surface Diffuse Solar Radiation Determined by Reanalysis and Satellite over East Asia: Evaluation and Comparison. Remote Sens. 2020, 12, 1387. [Google Scholar] [CrossRef]
- Stein, J.S.; Hansen, C.W.; Reno, M.J. Global Horizontal Irradiance Clear Sky Models: Implementation and Analysis; Sandia National Laboratories (SNL): Albuquerque, NM, USA; Livermore, CA, USA, 2012. [Google Scholar]
- Yang, D.; Sharma, V.; Ye, Z.; Lim, L.I.; Zhao, L.; Aryaputera, A.W. Forecasting of Global Horizontal Irradiance by Exponential Smoothing, Using Decompositions. Energy 2015, 81, 111–119. [Google Scholar] [CrossRef]
- Fatemi, S.A.; Kuh, A. Solar Radiation Forecasting Using Zenith Angle. In Proceedings of the 2013 IEEE Global Conference on Signal and Information Processing, Austin, TX, USA, 3–5 December 2013; IEEE: Piscataway, NJ, USA, 2013; pp. 523–526. [Google Scholar]
- Deceased, J.A.D.; Beckman, W.A. Solar Engineering of Thermal Processes; Wiley: Hoboken, NJ, USA, 1982; Volume 3, ISBN 9780470873663. [Google Scholar]
- Duffie, J.A.; Beckman, W.A.; Blair, N. Solar Engineering of Thermal Processes, Photovoltaics and Wind; John Wiley & Sons: Hoboken, NJ, USA, 2020; ISBN 11195-40283. [Google Scholar]
- Sproul, A.B. Derivation of the Solar Geometric Relationships Using Vector Analysis. Renew. Energy 2007, 32, 1187–1205. [Google Scholar] [CrossRef]
- ASHRAE Handbook of Fundamentals; ASHRAE Inc.: Atlanta, GA, USA, 2009; ISBN 6785392187.
- Liu, B.Y.H.; Jordan, R.C. Daily Insolation on Surfaces Tilted towards the Equator. Trans. ASHRAE 1962, 67, 526–541. [Google Scholar]
- Islam, M.A.; Alam, M.S.; Sharker, K.K.; Nandi, S.K. Estimation of Solar Radiation on Horizontal and Tilted Surface over Bangladesh. Comput. Water Energy Environ. Eng. 2016, 5, 54–69. [Google Scholar] [CrossRef]
- Bakirci, K. General Models for Optimum Tilt Angles of Solar Panels: Turkey Case Study. Renew. Sustain. Energy Rev. 2012, 16, 6149–6159. [Google Scholar] [CrossRef]
- Berisha, X.; Zeqiri, A.; Meha, D. Solar Radiation–The Estimation of the Optimum Tilt Angles for South-Facing Surfaces in Pristina. Preprints 2017, 2017080010. [Google Scholar] [CrossRef]
- Muneer, T. Solar Radiation and Daylight Models; Routledge: Boca Raton, FL, USA, 2007; ISBN 00804-74411. [Google Scholar]
- Mierzwiak, M.; Kroszczyński, K.; Araszkiewicz, A. On Solar Radiation Prediction for the East–Central European Region. Energies 2022, 15, 3153. [Google Scholar] [CrossRef]
- Jiao, B.; Li, Q.; Sun, W.; Martin, W. Uncertainties in the Global and Continental Surface Solar Radiation Variations: Inter-Comparison of in-Situ Observations, Reanalyses, and Model Simulations. Clim. Dyn. 2022, 59, 2499–2516. [Google Scholar] [CrossRef]
- Trolliet, M.; Walawender, J.P.; Bourlès, B.; Boilley, A.; Trentmann, J.; Blanc, P.; Lefèvre, M.; Wald, L. Downwelling Surface Solar Irradiance in the Tropical Atlantic Ocean: A Comparison of Re-Analyses and Satellite-Derived Data Sets to PIRATA Measurements. Ocean. Sci. 2018, 14, 1021–1056. [Google Scholar] [CrossRef]
- Tahir, Z.R.; Azhar, M.; Mumtaz, M.; Asim, M.; Moeenuddin, G.; Sharif, H.; Hassan, S. Evaluation of the Reanalysis Surface Solar Radiation from NCEP, ECMWF, NASA, and JMA Using Surface Observations for Balochistan, Pakistan. J. Renew. Sustain. Energy 2020, 12, 23703. [Google Scholar] [CrossRef]
- Galanaki, E.; Emmanouil, G.; Lagouvardos, K.; Kotroni, V. Long-Term Patterns and Trends of Shortwave Global Irradiance over the Euro-Mediterranean Region. Atmosphere 2021, 12, 1431. [Google Scholar] [CrossRef]
- Aktağ, A.; Yilmaz, E. A Suitable Model to Estimate Global Solar Radiation in Black Sea Shoreline Countries. Energy Sources Part A Recovery Util. Environ. Eff. 2012, 34, 1628–1636. [Google Scholar] [CrossRef]
- Elminshawy, N.A.S.; El-Damhogi, D.G.; Ibrahim, I.A.; Elminshawy, A.; Osama, A. Assessment of Floating Photovoltaic Productivity with Fins-Assisted Passive Cooling. Appl. Energy 2022, 325, 119810. [Google Scholar] [CrossRef]
- Dörenkämper, M.; Wahed, A.; Kumar, A.; de Jong, M.; Kroon, J.; Reindl, T. The Cooling Effect of Floating PV in Two Different Climate Zones: A Comparison of Field Test Data from the Netherlands and Singapore. Sol. Energy 2021, 219, 15–23. [Google Scholar] [CrossRef]
- Kjeldstad, T.; Lindholm, D.; Marstein, E.; Selj, J. Cooling of Floating Photovoltaics and the Importance of Water Temperature. Sol. Energy 2021, 218, 544–551. [Google Scholar] [CrossRef]
- Abdelal, Q. Floating PV; an Assessment of Water Quality and Evaporation Reduction in Semi-Arid Regions. Int. J. Low-Carbon Technol. 2021, 16, 732–739. [Google Scholar] [CrossRef]
- Diaconita, A.I.; Rusu, L.; Andrei, G. A Local Perspective on Wind Energy Potential in Six Reference Sites on the Western Coast of the Black Sea Considering Five Different Types of Wind Turbines. Inventions 2021, 6, 44. [Google Scholar] [CrossRef]
- Diaconita, A.; Andrei, G.; Rusu, L. New Insights into the Wind Energy Potential of the West Black Sea Area Based on the North Sea Wind Farms Model. Energy Rep. 2021, 7, 112–118. [Google Scholar] [CrossRef]












| Sites | ||||
|---|---|---|---|---|
| P1 | P2 | P3 | P4 | |
| Location | Lake Razim | Lake Golovita | Lake Sinoe | Black Sea |
| Latitude (°) | 44°57′07.03″ N | 44°43′17.40″ N | 44°28′00.95″ N | 44°20′35.93″ N |
| Longitude (°) | 28°51′37.11″ E | 28°47′32.28″ E | 28°45′23.41″ E | 28°41′39.11″ E |
| Sites | January | February | March | April | May | June |
|---|---|---|---|---|---|---|
| P1 | 65.8 | 58.3 | 47.3 | 35.5 | 26.1 | 21.9 |
| P2 | 65.6 | 58.0 | 47.1 | 35.2 | 25.9 | 21.6 |
| P3 | 65.3 | 57.8 | 46.9 | 35.0 | 25.7 | 21.4 |
| P4 | 65.2 | 57.7 | 46.7 | 34.9 | 25.5 | 21.3 |
| July | August | September | October | November | December | |
| P1 | 23.9 | 31.7 | 43.0 | 54.8 | 64.0 | 68.0 |
| P2 | 23.6 | 31.4 | 42.7 | 54.6 | 63.8 | 67.8 |
| P3 | 23.4 | 31.2 | 42.5 | 54.3 | 63.5 | 67.6 |
| P4 | 23.2 | 31.0 | 42.3 | 54.2 | 63.4 | 67.4 |
| Characteristics | |
|---|---|
| Power | 540 W |
| Type | Monocrystalline |
| Area | |
| Number of cells | 144 |
| Open Cct voltage | 49.55 V |
| Short Cct current | 13.89 A |
| Voltage, max power | 41.62 V |
| Current, max power | 12.98 A |
| Sites | ||||
|---|---|---|---|---|
| Germany | United Kingdom | China | India | |
| Location | Salzwedel | Queen Elizabeth II Reservoir | Huainan | Telangana |
| Capacity | 729 kW | 6.3 MW | 40 MW | 100 MW |
| Area | ||||
Disclaimer/Publisher’s Note: The statements, opinions and data contained in all publications are solely those of the individual author(s) and contributor(s) and not of MDPI and/or the editor(s). MDPI and/or the editor(s) disclaim responsibility for any injury to people or property resulting from any ideas, methods, instructions or products referred to in the content. |
© 2023 by the authors. Licensee MDPI, Basel, Switzerland. This article is an open access article distributed under the terms and conditions of the Creative Commons Attribution (CC BY) license (https://creativecommons.org/licenses/by/4.0/).
Share and Cite
Manolache, A.I.; Andrei, G.; Rusu, L. An Evaluation of the Efficiency of the Floating Solar Panels in the Western Black Sea and the Razim-Sinoe Lagunar System. J. Mar. Sci. Eng. 2023, 11, 203. https://doi.org/10.3390/jmse11010203
Manolache AI, Andrei G, Rusu L. An Evaluation of the Efficiency of the Floating Solar Panels in the Western Black Sea and the Razim-Sinoe Lagunar System. Journal of Marine Science and Engineering. 2023; 11(1):203. https://doi.org/10.3390/jmse11010203
Chicago/Turabian StyleManolache, Alexandra Ionelia, Gabriel Andrei, and Liliana Rusu. 2023. "An Evaluation of the Efficiency of the Floating Solar Panels in the Western Black Sea and the Razim-Sinoe Lagunar System" Journal of Marine Science and Engineering 11, no. 1: 203. https://doi.org/10.3390/jmse11010203
APA StyleManolache, A. I., Andrei, G., & Rusu, L. (2023). An Evaluation of the Efficiency of the Floating Solar Panels in the Western Black Sea and the Razim-Sinoe Lagunar System. Journal of Marine Science and Engineering, 11(1), 203. https://doi.org/10.3390/jmse11010203

