Nitrogen Rate Assessment for Greenhouse Gas Emission Mitigation and Quality Maintenance in Sustainable Turf Management
Abstract
1. Introduction
2. Materials and Methods
2.1. Experimental Design
2.2. Monitoring Greenhouse Gas Emissions and Assessment of Global Warming Potential
2.3. Visual and Instrumental Turf Quality Measurements
- -
- Color intensity: 1 = very light green; 6 = acceptable green; 9 = very dark green.
- -
- Turf quality: 1 = poor; 6 = acceptable; 9 = excellent.
2.4. Statistical Analysis
3. Results
3.1. Agrometeorological Trends
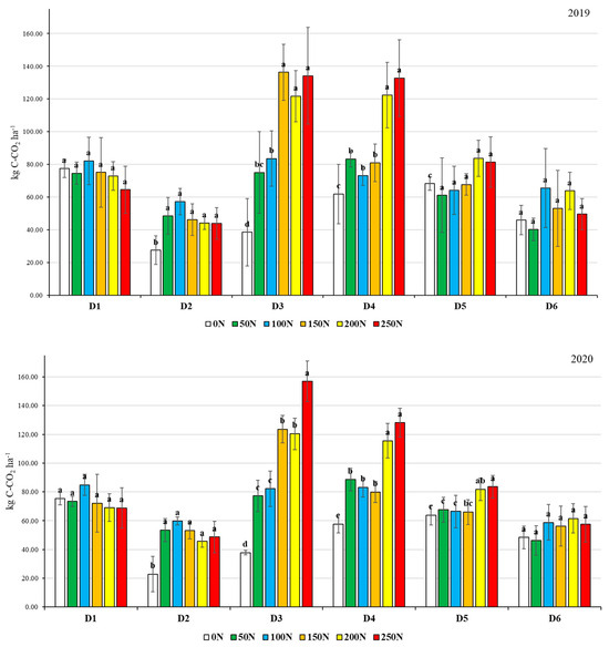
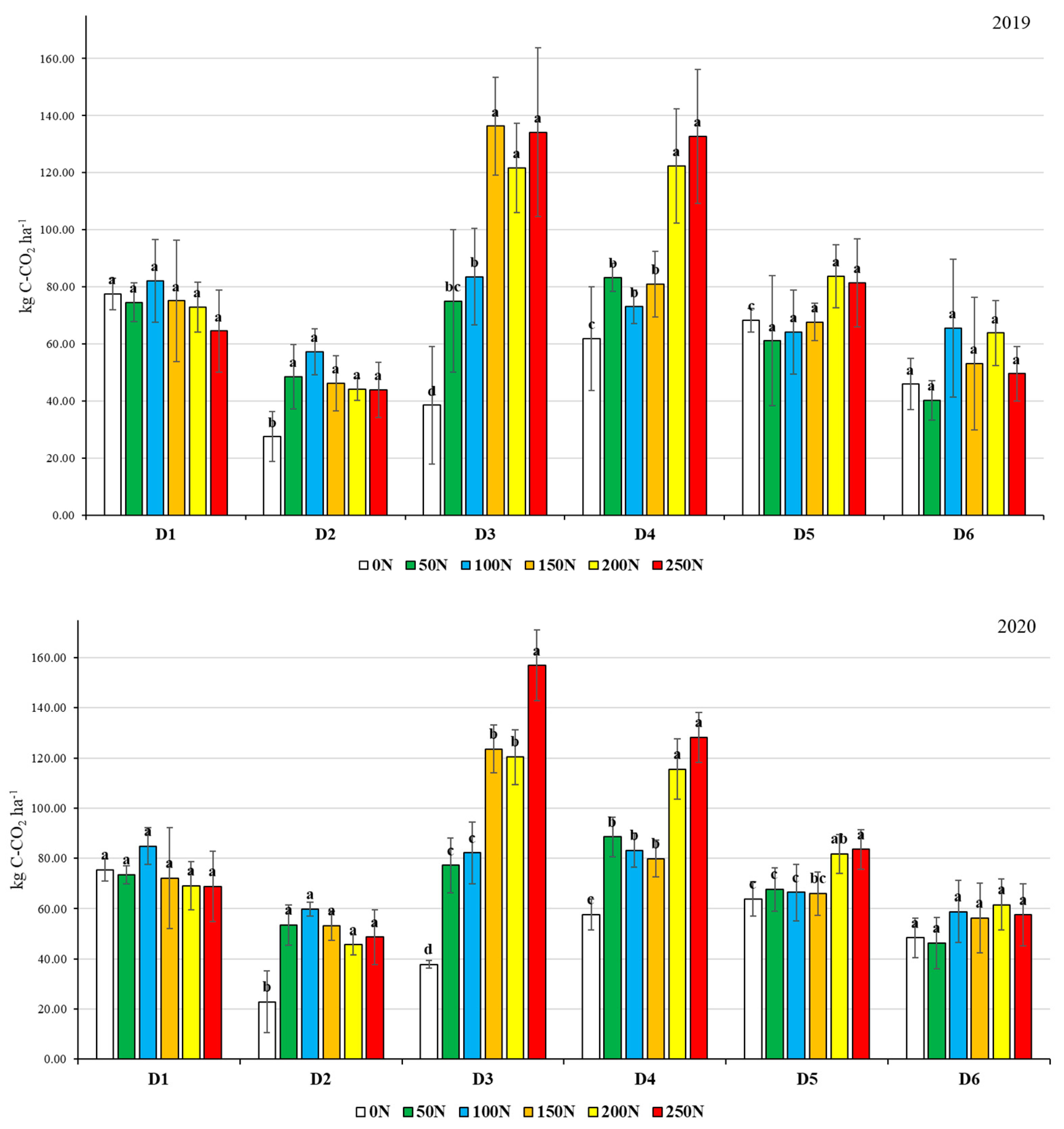
3.2. Carbon Dioxide Emissions
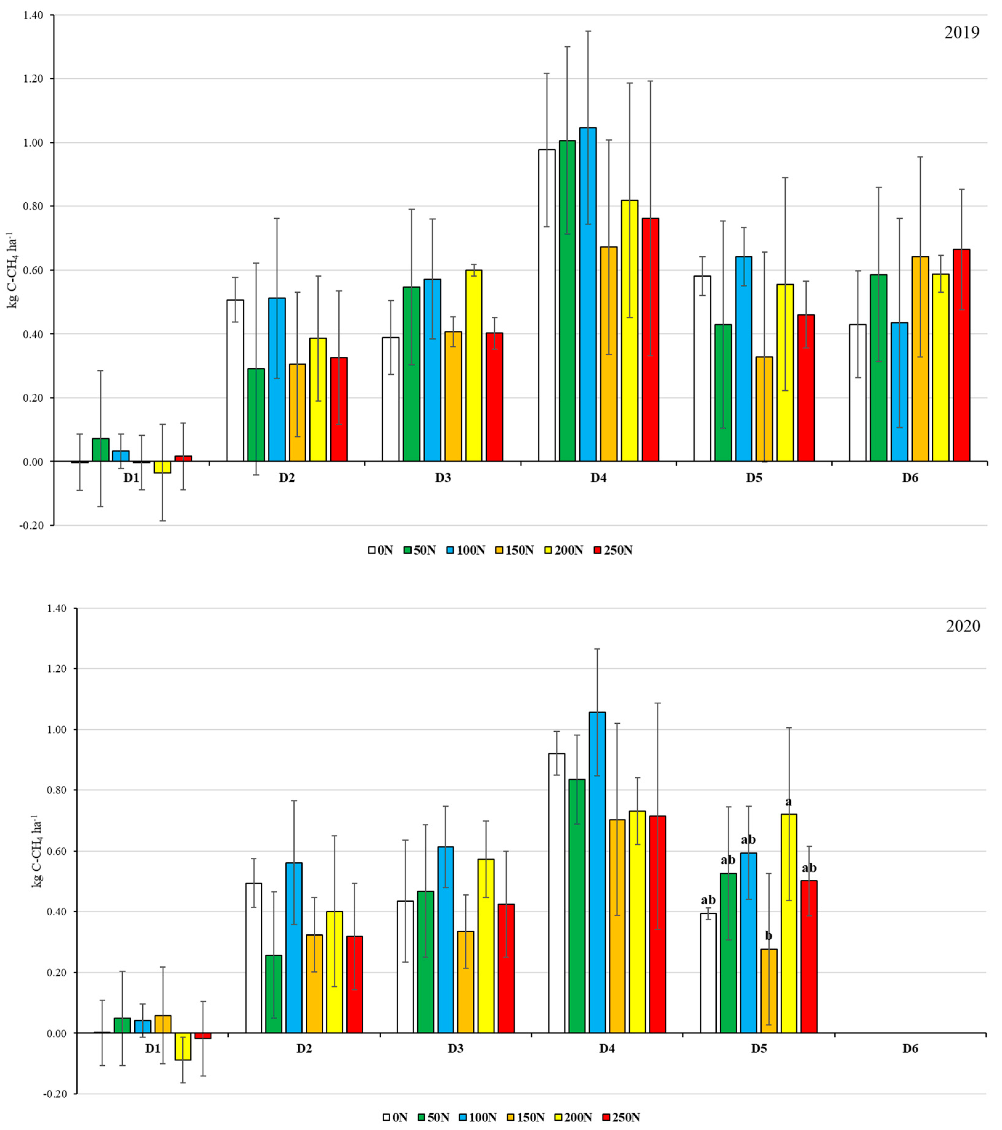
3.3. Methane Emissions
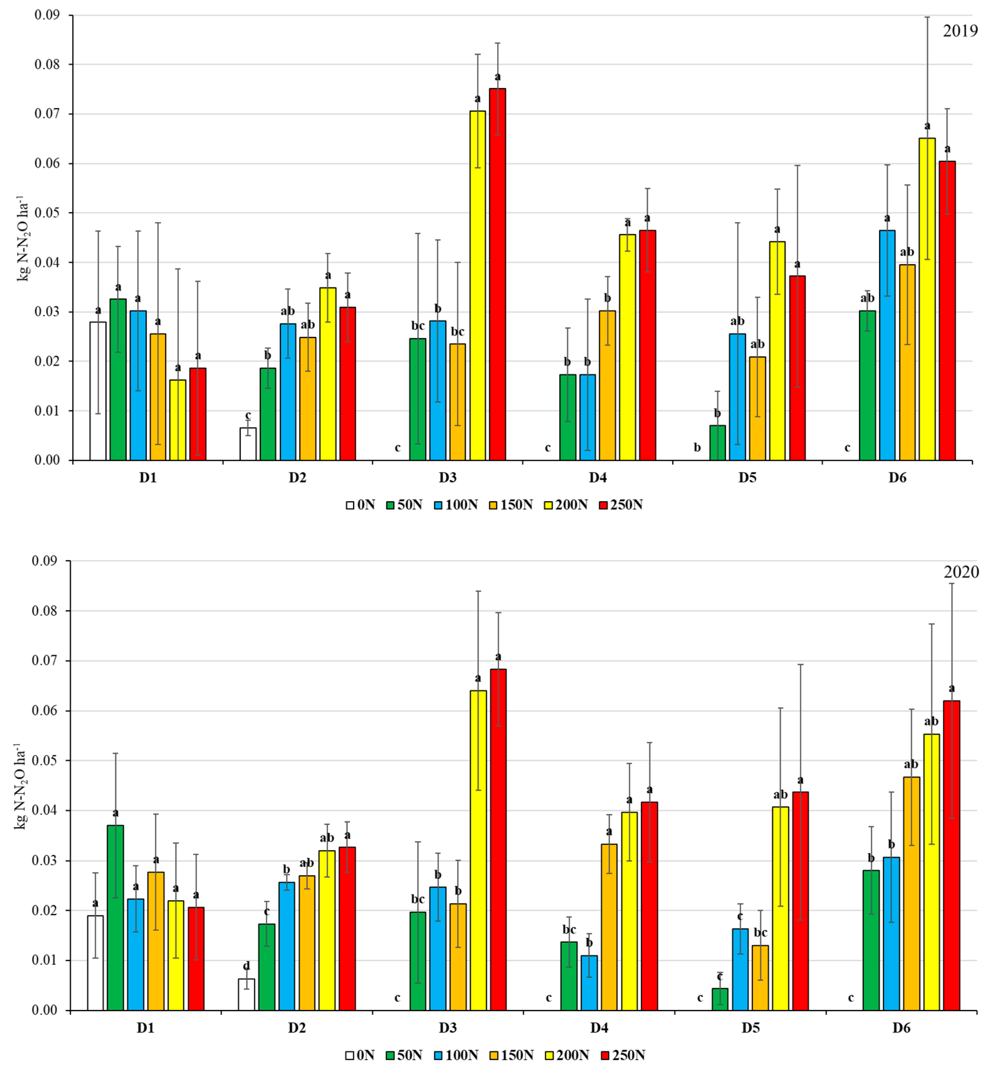
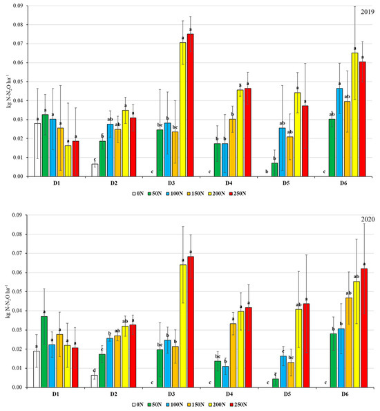
3.4. Nitrous Oxide Emissions
3.5. Global Warming Potential
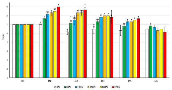
3.6. Turfgrass Health and Quality Assessment
4. Discussion
4.1. Carbon Dioxide Emissions
4.2. Methane Emissions
4.3. Nitrous Oxide Emissions
4.4. Global Warming Potential
4.5. Turfgrass Health and Quality Assessment
5. Conclusions
6. Patents
Author Contributions
Funding
Institutional Review Board Statement
Data Availability Statement
Conflicts of Interest
References
- Verdi, L.; Mancini, M.; Napoli, M.; Violi, R.; Pardini, A.; Orlandini, S.; Marta, A.D. Soil carbon emissions from maize under different fertilization methods in an extremely dry summer in Italy. Ital. J. Agrometeorol. 2019, 2, 3–10. [Google Scholar] [CrossRef]
- Intergovernmental Panel on Climate Change (IPCC). (Ed.) Climate Change 2022—Mitigation of Climate Change: Working Group III Contribution to the Sixth Assessment Report of the Intergovernmental Panel on Climate Change; Cambridge University Press: Cambridge, UK, 2023. [Google Scholar] [CrossRef]
- Braun, R.C.; Bremer, D.J. Nitrous oxide emissions in turfgrass systems: A review. Agron. J. 2018, 110, 2222–2232. [Google Scholar] [CrossRef]
- Bekken, M.A.H.; Soldat, D.J. Estimated energy use and greenhouse gas emissions associated with golf course turfgrass maintenance in the Northern USA. Int. Turfgrass Soc. Res. J. 2022, 14, 58–75. [Google Scholar] [CrossRef]
- Braun, R.C.; Straw, C.M.; Soldat, D.J.; Bekken, M.A.H.; Patton, A.J.; Lonsdorf, E.V.; Horgan, B.P. Strategies for Reducing Inputs and Emissions in Turfgrass Systems. Crop Forage Turfgrass Mgmt. 2023, 9, e20218. [Google Scholar] [CrossRef]
- Townsend-Small, A.; Czimczik, C.I. Carbon sequestration and greenhouse gas emissions in urban turf. Geophys. Res. Lett. 2010, 37, L02707. [Google Scholar] [CrossRef]
- Wang, Z.-H.; Zhao, X.; Yang, J.; Song, J. Cooling and energy saving potentials of shade trees and urban lawns in a desert city. Appl. Energy 2016, 161, 437–444. [Google Scholar] [CrossRef]
- Monteiro, J.A. Ecosystem services from turfgrass landscapes. Urban For. Urban Green. 2017, 26, 151–157. [Google Scholar] [CrossRef]
- Patton, A.J.; Schwartz, B.M.; Kenworthy, K.E. Zoysiagrass (Zoysia spp.) history, utilization, and improvement in the United States: A review. Crop Sci. 2017, 57, S-37. [Google Scholar] [CrossRef]
- Magni, S.; Pompeiano, A.; Gaetani, M.; Caturegli, L.; Grossi, N.; Minelli, A.; Volterrani, M. Zoysiagrass (Zoysia spp. Willd.) for European lawns: A review. Ital. J. Agron. 2017, 12, 395–402. [Google Scholar] [CrossRef]
- Dutt, N.; Tanwar, T. Nitrous oxide emissions from turfgrass lawns as a result of fertilizer application: A meta-analysis of available literature. Curr. Sci. 2020, 115, 1219. [Google Scholar] [CrossRef]
- Law, Q.D.; Trappe, J.M.; Braun, R.C.; Patton, A.J. Greenhouse gas fluxes from turfgrass systems: Species, growth rate, clipping management, and environmental effects. J. Environ. Qual. 2021, 50, 547–557. [Google Scholar] [CrossRef] [PubMed]
- Brandani, G.; Baldi, A.; Caturegli, L.; Gaetani, M.; Grossi, N.; Magni, S.; Pardini, A.; Volterrani, M.; Orlandini, S.; Verdi, L. Carbon dioxide and methane emissions by urban turfgrasses under different nitrogen rates: A comparison between tall fescue (Festuca arundinacea Schreb.) and hybrid bermudagrass (Cynodon dactylon [L.] Pers. var. dactylon × Cynodon transvaalensis Burtt-Davy. Appl. Ecol. Environ. Res. 2021, 19, 1–12. [Google Scholar] [CrossRef]
- Braun, R.; Bremer, D. Nitrous oxide emissions from turfgrass receiving different irrigation amounts and nitrogen fertilizer forms. Crop Sci. 2018, 58, 1762–1775. [Google Scholar] [CrossRef]
- Riches, D.; Porter, I.; Dingle, G.; Gendall, A.; Grover, S. Soil greenhouse gas emissions from Australian sports fields. Sci. Total Environ. 2020, 707, 134420. [Google Scholar] [CrossRef]
- Magni, S.; Gaetani, M.E.; Grossi, N.; Caturegli, L.; Bella, S.L.; Leto, C.; Virga, G.; Tuttolomondo, T.; Lulli, F.; Volterrani, M. Bermudagrass adaptation in the Mediterranean climate: Phenotypic traits of 44 accessions. Adv. Hort. Sci. 2014, 28, 29–34. [Google Scholar]
- Caturegli, L.; Corniglia, M.; Gaetani, M.; Grossi, N.; Magni, S.; Migliazzi, M.; Angelini, L.; Mazzoncini, M.; Silvestri, N.; Fontanelli, M.; et al. Unmanned Aerial Vehicle to Estimate Nitrogen Status of Turfgrasses. PLoS ONE 2016, 11, e0158268. [Google Scholar] [CrossRef] [PubMed]
- Caturegli, L.; Gaetani, M.; Volterrani, M.; Magni, S.; Minelli, A.; Baldi, A.; Brandani, G.; Mancini, M.; Lenzi, A.; Orlandini, S.; et al. Normalized Difference Vegetation Index versus Dark Green Colour Index to estimate nitrogen status on bermudagrass hybrid and tall fescue. Int. J. Remote Sens. 2020, 41, 455–470. [Google Scholar] [CrossRef]
- Rorie, R.L.; Purcell, L.C.; Morteza, M.; Karcher, D.E.; King, C.A.; Marsh, M.C.; Longer, D.E. Association of “greenness” in corn with yield and leaf nitrogen concentration. Agron. J. 2011, 103, 529–535. [Google Scholar] [CrossRef]
- Jiang, Y.; Carrow, R.N. Broadband spectral reflectance models of turfgrass species and cultivars to drought stress. Crop Sci. 2007, 47, 1611–1618. [Google Scholar] [CrossRef]
- Vergara-Díaz, O.; Zaman-Allah, M.A.; Masuka, B.; Hornero, A.; Zarco-Tejada, P.; Prasanna, B.M.; Cairns, J.E.; Araus, J.L. A novel remote sensing approach for prediction of maize yield under different conditions of nitrogen fertilization. Front. Plant Sci. 2016, 7, 666. [Google Scholar] [CrossRef]
- Fitz-Rodríguez, E.; Choi, C. Monitoring turfgrass quality using multispectral radiometry. Trans. ASAE 2002, 45, 865–867. [Google Scholar] [CrossRef]
- Leinauer, B.; Van Leeuwen, D.M.; Serena, M.; Schiavon, M.; Sevostianova, E. Digital image analysis and spectral reflectance to determine turfgrass quality. Agron. J. 2014, 106, 1787–1794. [Google Scholar] [CrossRef]
- Karcher, D.E.; Richardson, M.D. Quantifying turfgrass color using digital image analysis. Crop Sci. 2003, 43, 943–951. [Google Scholar] [CrossRef]
- Karcher, D.E.; Richardson, M.D. Digital image analysis in turfgrass research. Turfgrass Biol. Use Manag. 2013, 56, 1133–1149. [Google Scholar] [CrossRef]
- Parkin, T.B.; Venterea, R.T. USDA-ARS GRACEnet Project Protocols, Chapter 3. Chamber-Based Trace Gas Flux Measurements; Sampling Protocols: Beltsville, MD, USA, 2010; pp. 1–39. [Google Scholar]
- Verdi, L.; Mancini, M.; Ljubojevic, M.; Orlandini, S.; Marta, A.D. Greenhouse gas and ammonia emissions from soil: The effect of organic matter and fertilisation method. Ital. J. Agron. 2018, 13, 260–266. [Google Scholar] [CrossRef]
- Kaye, J.P.; Burke, I.C.; Mosier, A.R.; Pablo Guerschman, J. Methane and nitrous oxide fluxes from urban soils to the atmosphere. Ecol. Appl. 2004, 14, 975–981. [Google Scholar] [CrossRef]
- Kong, L.; Shi, Z.; Chu, L.M. Carbon emission and sequestration of urban turfgrass systems in Hong Kong. Sci. Total Environ. 2014, 473–474, 132–138. [Google Scholar] [CrossRef] [PubMed]
- Van Delden, L.; Larsen, E.; Rowlings, D.; Scheer, C.; Grace, P. Establishing turf grass increases soil greenhouse gas emissions in peri-urban environments. Urban Ecosyst. 2016, 19, 749–762. [Google Scholar] [CrossRef]
- Shchepeleva, A.S.; Vasenev, V.I.; Mazirov, I.M.; Vasenev, I.I.; Prokhorov, I.S.; Gosse, D.D. Changes of soil organic carbon stocks and CO2 emissions at the early stages of urban turf grasses’ development. Urban Ecosyst. 2017, 20, 309–321. [Google Scholar] [CrossRef]
- Morris, K.N.; Shearman, R.C. NTEP Turfgrass Evaluation Guidelines. In NTEP Turfgrass Evaluation Workshop 2008, 1–5, Beltsville, MD. Available online: http://www.ntep.org/cooperator.htm (accessed on 17 December 2023).
- Dhital, D.; Muraoka, H.; Yashiro, Y.; Shizu, Y.; Koizumi, H. Measurement of net ecosystem production and ecosystem respiration in a Zoysia japonica grassland, central Japan, by the chamber method. Ecol. Res. 2010, 25, 483–493. [Google Scholar] [CrossRef]
- Dhital, D.; Yashiro, Y.; Ohtsuka, T.; Noda, H.; Shizu, Y.; Koizumi, H. Carbon dynamics and budget in a Zoysia japonica grassland, central Japan. J. Plant Res. 2010, 123, 519–530. [Google Scholar] [CrossRef]
- Li, H.-J.; Yan, J.-X.; Yue, X.-F.; Wang, M.-B. Significance of soil temperature and moisture for soil respiration in a Chinese mountain area. Agric. For. Meteorol. 2008, 148, 490–503. [Google Scholar] [CrossRef]
- Livesley, S.J.; Dougherty, B.J.; Smith, A.J.; Navaud, D.; Wylie, L.J.; Arndt, S.K. Soil-atmosphere exchange of carbon dioxide, methane and nitrous oxide in urban garden systems: Impact of irrigation, fertiliser and mulch. Urban Ecosyst. 2010, 13, 273–293. [Google Scholar] [CrossRef]
- Snyder, C.; Bruulsema, T.; Jensen, T.; Fixen, P. Review of greenhouse gas emissions from crop production systems and fertilizer management effects. Agric. Ecosyst. Environ. 2009, 133, 247–266. [Google Scholar] [CrossRef]
- Gillette, K.L.; Qian, Y.; Follett, R.F.; Del Grosso, S. Nitrous oxide emissions from a golf course fairway and rough after application of different nitrogen fertilizers. J. Environ. Qual. 2016, 45, 1788–1795. [Google Scholar] [CrossRef]
- Christians, N.; Patton, A.; Law, Q. Fundamentals of Turfgrass Management; John Wiley & Sons, Inc.: Hoboken, NJ, USA, 2017. [Google Scholar]
- Volterrani, M.; Grossi, N.; Foschi, L.; Miele, S. Effects of nitrogen nutrition on bermudagrass spectral reflectance. Int. Turfgrass Soc. Res. J. 2005, 10, 1005–1014. [Google Scholar]
- Frank, K.W.; Guertal, E.A. Nitrogen research in turfgrass. In Turfgrass: Biology, Use, and Management; Stier, J.C., Horgan, B.P., Bonos, S.A., Eds.; American Society of Agronomy Soil Science Society of America Crop Science Society of America, Inc.: Madison, WI, USA, 2013; pp. 457–491. [Google Scholar] [CrossRef]
- Knot, P.; Hrabe, F.; Hejduk, S.; Skladanka, J.; Kvasnovsky, M.; Hodulikova, L.; Caslavova, I.; Horky, P. The impacts of different management practices on botanical composition, quality, colour and growth of urban lawns. Urban For. Urban Green. 2017, 26, 178–183. [Google Scholar] [CrossRef]
- Trenholm, L.E.; Carrow, R.N.; Duncan, R.R. Wear tolerance, growth, and quality of seashore paspalum in response to nitrogen and potassium. HortScience 2001, 36, 780–783. [Google Scholar] [CrossRef]
- Kopp, K.L.; Guillard, K. Clipping management and nitrogen fertilization of turfgrass. Crop Sci. 2002, 42, 1225–1231. [Google Scholar] [CrossRef]
- Caturegli, L.; Lulli, F.; Foschi, L.; Guglielminetti, L.; Bonari, E.; Volterrani, M. Monitoring turfgrass species and cultivars by spectral reflectance. Eur. J. Hortic. Sci. 2014, 79, 97–107. [Google Scholar]
- Caturegli, L.; Lulli, F.; Foschi, L.; Guglielminetti, L.; Enrico Bonari, E.; Volterrani, M. Turfgrass spectral reflectance: Simulating satellite monitoring of spectral signatures of main C3 and C4 species. Precis. Agric. 2014, 16, 297–310. [Google Scholar] [CrossRef]
- Bremer, D.J.; Lee, H.; Su, K.; Keeley, S.J. Relationships between Normalized Difference Vegetation Index and Visual Quality in Cool-Season Turfgrass: II. Factors Affecting NDVI and its Component Reflectances. Crop Sci. 2011, 51, 2219–2227. [Google Scholar] [CrossRef]
- Baldi, A.; Caturegli, L.; Gaetani, M.; Brandani, G.; Pardini, A.; Grossi, N.; Magni, S.; Orlandini, S.; Volterrani, M. A comparison of remote and proximity sensing techniques in the monitoring of nitrogen status of turfgrasses. In Proceedings of the 2019 IEEE International Workshop on Metrology for Agriculture and Forestry (MetroAgriFor), Naples, Italy, 24–26 October 2019; pp. 344–349. [Google Scholar] [CrossRef]









| Properties | Measure Unit | Value |
|---|---|---|
| Sand | % | 28 |
| Silt | % | 55 |
| Clay | % | 17 |
| Organic matter | g kg−1 | 21 |
| Total nitrogen | g kg d.m.−1 | 1 |
| Available phosphorus | mg kg−1 | 12 |
| Exchangeable potassium | mg kg−1 | 126 |
| pH | 7.7 | |
| Cation exchange capacity | meq 100 g−1 | 9.8 |
| Electric conductivity | mS cm−1 | 0.2 |
| CO2 | CH4 | N2O | GWP | ||
|---|---|---|---|---|---|
| kg/ha | kg/ha | kg/ha | kg CO2eq | ||
| 2019 | 0 | 319.78 (±23.63) d | 2.88 (±0.45) a | 0.03 (±0.02) c | 410.71 (±24.92) c |
| 50 | 382.94 (±20.76) cd | 2.93 (±1.12) a | 0.13 (±0.02) b | 503.84 (±53.59) bc | |
| 100 | 425.75 (±52.48) bc | 3.24 (±0.40) a | 0.17 (±0.08) b | 568.65 (±64.32) ab | |
| 150 | 459.57 (±57.32) ab | 2.35 (±1.01) a | 0.16 (±0.07) b | 574.42 (±91.48) ab | |
| 200 | 508.73 (±44.23) a | 2.91 (±0.89) a | 0.28 (±0.03) a | 672.71 (±28.37) a | |
| 250 | 506.56 (±25.28) a | 2.63 (±0.72) a | 0.27 (±0.06) a | 660.32 (±30.42) a | |
| *** | ns | *** | *** | ||
| 2020 | 0 | 339.37 (±26.59) d | 2.24 (±0.40) ab | 0.02 (±0.01) d | 409.77 (±39.37) c |
| 50 | 443.25 (±36.75) c | 2.39 (±0.25) b | 0.12 (±0.03) c | 546.05 (±42.40) bc | |
| 100 | 469.68 (±13.41) c | 2.30 (±0.10) a | 0.13 (±0.02) bc | 573.43 (±6.79) b | |
| 150 | 483.02 (±10.53) bc | 2.14 (±0.38) b | 0.18 (±0.01) b | 596.37 (±5.20) b | |
| 200 | 528.86 (±33.46) b | 2.15 (±0.39) ab | 0.27 (±0.03) a | 670.53 (±36.73) a | |
| 250 | 582.14 (±26.97) a | 2.30 (±0.57) b | 0.29 (±0.04) a | 733.44 (±14.08) a | |
| *** | * | *** | *** |
| 2019 | ||||
|---|---|---|---|---|
| N Rate (kg N ha−1) | Turf Color (1–9) | Turf Quality (1–9) | NDVI | DGCI |
| 0 | 6.6 (±0.43) c | 7.6 (±0.26) b | 0.77 (±0.03) b | 0.52 (±0.09) b |
| 50 | 7.1 (±0.45) b | 7.7 (±0.24) a | 0.79 (±0.04) a | 0.55 (±0.07) ab |
| 100 | 7.4 (±0.58) ab | 7.7 (±0.26) a | 0.79 (±0.05) a | 0.57 (±0.09) ab |
| 150 | 7.6 (±0.78) a | 7.7 (±0.24) a | 0.79 (±0.05) a | 0.58 (±0.05) ab |
| 200 | 7.6 (±0.74) a | 7.7 (±0.23) a | 0.79 (±0.06) a | 0.59 (±0.07) a |
| 250 | 7.7 (±1.06) a | 7.8 (±0.26) a | 0.79 (±0.06) a | 0.60 (±0.05) a |
| (p < 0.05) | ** | * | * | ** |
| 2020 | ||||
|---|---|---|---|---|
| N Rate (kg N ha−1) | Turf Color (1–9) | Turf Quality (1–9) | NDVI | DGCI |
| 0 | 6.3 (±0.34) d | 6.5 (±0.24) b | 0.74 (±0.04) b | 0.54 (±0.05) c |
| 50 | 6.6 (±0.34) c | 6.8 (±0.24) ab | 0.76 (±0.03) a | 0.56 (±0.06) bc |
| 100 | 6.7 (±0.26) bc | 6.9 (±0.29) ab | 0.76 (±0.03) a | 0.57 (±0.06) b |
| 150 | 6.7 (±0.26) bc | 6.8 (±0.39) ab | 0.78 (±0.03) a | 0.58 (±0.06) b |
| 200 | 6.9 (±0.43) b | 6.9 (±0.38) ab | 0.78 (±0.03) a | 0.59 (±0.07) a |
| 250 | 7.1 (±0.45) a | 7.0 (±0.44) a | 0.79 (±0.03) a | 0.61 (±0.06) a |
| (p < 0.05) | * | * | * | * |
Disclaimer/Publisher’s Note: The statements, opinions and data contained in all publications are solely those of the individual author(s) and contributor(s) and not of MDPI and/or the editor(s). MDPI and/or the editor(s) disclaim responsibility for any injury to people or property resulting from any ideas, methods, instructions or products referred to in the content. |
© 2024 by the authors. Licensee MDPI, Basel, Switzerland. This article is an open access article distributed under the terms and conditions of the Creative Commons Attribution (CC BY) license (https://creativecommons.org/licenses/by/4.0/).
Share and Cite
Verdi, L.; Caturegli, L.; Magni, S.; Volterrani, M.; Dalla Marta, A.; Orlandini, S.; Baldi, A. Nitrogen Rate Assessment for Greenhouse Gas Emission Mitigation and Quality Maintenance in Sustainable Turf Management. Agriculture 2024, 14, 1244. https://doi.org/10.3390/agriculture14081244
Verdi L, Caturegli L, Magni S, Volterrani M, Dalla Marta A, Orlandini S, Baldi A. Nitrogen Rate Assessment for Greenhouse Gas Emission Mitigation and Quality Maintenance in Sustainable Turf Management. Agriculture. 2024; 14(8):1244. https://doi.org/10.3390/agriculture14081244
Chicago/Turabian StyleVerdi, Leonardo, Lisa Caturegli, Simone Magni, Marco Volterrani, Anna Dalla Marta, Simone Orlandini, and Ada Baldi. 2024. "Nitrogen Rate Assessment for Greenhouse Gas Emission Mitigation and Quality Maintenance in Sustainable Turf Management" Agriculture 14, no. 8: 1244. https://doi.org/10.3390/agriculture14081244
APA StyleVerdi, L., Caturegli, L., Magni, S., Volterrani, M., Dalla Marta, A., Orlandini, S., & Baldi, A. (2024). Nitrogen Rate Assessment for Greenhouse Gas Emission Mitigation and Quality Maintenance in Sustainable Turf Management. Agriculture, 14(8), 1244. https://doi.org/10.3390/agriculture14081244

