Next Article in Journal
Construction of a Chlorophyll Content Prediction Model for Predicting Chlorophyll Content in the Pericarp of Korla Fragrant Pears during the Storage Period
Previous Article in Journal
Analysis and Experiment of Dynamic Picking Process of Spindle of Cotton Picker
 
 
Font Type:
Arial Georgia Verdana
Font Size:
Aa Aa Aa
Line Spacing:
Column Width:
Background:
Article

Effect of Ripening on the Phenolic and Sugar Contents in the Meso- and Epicarp of Olive Fruits (Olea europaea L.) Cultivar ‘Leccino’

1
Department of Agronomy, Biotechnical Faculty, University of Ljubljana, Jamnikarjeva 101, SI-1000 Ljubljana, Slovenia
2
Institute of Agriculture and Forestry Nova Gorica, Experimental Olive Growing Center, Ul. 15. maja 17, SI-6000 Koper, Slovenia
*
Author to whom correspondence should be addressed.
Agriculture 2022, 12(9), 1347; https://doi.org/10.3390/agriculture12091347
Submission received: 29 July 2022 / Revised: 25 August 2022 / Accepted: 29 August 2022 / Published: 31 August 2022
(This article belongs to the Section Agricultural Product Quality and Safety)

Abstract

:
The study was conducted during the harvest season in the year 2020 to identify and quantify primary and secondary metabolites in olive fruit of the ‘Leccino’ cultivar during ripening. Sugars, individual phenolic compounds, total phenolic content and total tannin content were measured separately for the first time in the skin and pulp. Most of the studied metabolites were higher in the skin. Five sugars were identified, the most important being glucose in both tissues, although its content decreased during ripening. The highest total phenolic content was observed in the skin at the last stage of ripening, because of the accumulation of anthocyanins. Individual phenolic compounds were measured by high performance liquid chromatography with-diode array detector (HPLC-DAD) and confirmed by mass spectrometry. Thirty phenolic compounds were characterized and quantified. The main individual phenolic compound in the skin and pulp was oleuropein, which decreased during ripening. Two previously unreported anthocyanins, cyanidin-3-O-diglucoside and cyanidin-3,5-O-sophoroside, were identified for the first time in olive skin. These results will allow us to better understand the synthesis, distribution and storage of some primary and secondary metabolites in different tissues of olive fruits during ripening.

1. Introduction

The olive tree (Olea europaea L.) is ubiquitous and one of the most economically important fruit trees in Mediterranean countries. In Europe, there are more than 5 million hectares of olive orchards together, which is almost half of the total world’s production [1]. The olive tree is a unique fruit species, whose fruits are mainly used for the production of olive oil or pickled olives. Since olive oil is traditionally exported worldwide, this crop has become the foundation for the economic development in many of these regions [2]. The olive tree is one of the oldest tree species belonging to the Oleaceae family, which includes more than 600 species with 27 genera, and it is one of the most economically important species in this family [3,4]. The quality of the produce depends mainly on the quality of the fruit at the harvest time.
Olive trees produce fruits called olives, botanically classified as drupes, composed of the epicarp (skin), the mesocarp (pulp) and the endocarp (stone), which conform a woody shell and contain one or rarely two seeds [5,6]. The olive fruit skin is a highly specialized tissue that forms the interface between the pulp and the environment and represents the mechanical support of the entire fruit [7]. The skin protects the fruit from various external factors such as uncontrolled water loss or uptake, mechanical damage, ultraviolet radiation, pathogens and herbivores. In addition, skin cells usually contain high levels of phenolic compounds, pigments, proteins and some sugars [8]. The sugars are formed by photosynthesis not only in the leaves, but also in the fruit skin, even when they change color as they approach maturity [5]. However, the pulp is the biggest part of olive fruit. While chloroplasts are localized mostly in the skin, the pulp contains significant amounts of the CO2 fixation enzyme [5]. In the mesocarp cells, sugars accumulate and act as precursors of the olive oil’s biosynthesis pathway. The oil content of the pulp accounts for more than 95% of the total oil content of the fruit [9].
During development and ripening, the skin and pulp show biochemical and physiological changes in color, texture, composition and size [5]. Olive fruits grow and develop in five stages: (i) fertilization and fruit set, which lasts from flowering to about 30 days after; in this stage there is rapid early cell division, which the promotes growth of the embryo; (ii) the seed develops, and the fruit grows rapidly by intense division and cell enlargement, resulting in the development of the endocarp and a little less of the mesocarp; (iii) hardening of the endocarp and the beginning of oil accumulation; the fruit grows more slowly since the endocarp cells stop dividing; (iv) the second major period of fruit growth due to the development of the mesocarp, expansion of the pre-existing pulp cells and intense oil accumulation; (v) ripening [5,6].
The epicarp and mesocarp of olive fruit contain primary metabolites, such as sugars, organic acids, lipids, nucleic acids and secondary metabolites, which change during the ripening process [4]. Sugars are the main soluble components of olive tissue and play an important role since they provide energy for metabolic processes and are important components of the cell wall structure [10,11]. Mannitol and glucose are the primary photosynthetic products and, together with fructose and galactose, are the predominant sugars in fruits and leaves. They represent more than 60% of the total soluble carbohydrates in olive fruits [11]. There are some differences in sugar composition between ripe and unripe fruit, since their content changes during ripening [12].
Phenolic compounds are an important class of secondary metabolites, known for their antioxidant activity and their ability to scavenge free radicals. They protect olive oil from oxidation and have potential benefits for human health, such as a protective effect against vascular diseases and the development of cancer [4,5]. The major classes of phenolic compounds found in olive fruits are secoiridoids, flavonoids, phenolic acids and other simple phenols and their derivatives [13]. Oleuropein is one of the most prominent and significant individual phenolic compounds and belongs to the group of secoiridoids [14]. It is present at every stage of ripening and plays a key role in the bitterness of the olive fruit and oil [15]. Oleuropein is a 3,4-dihydroxy-phenylethanol (hydroxytyrosol) ester with β-glucosylated elenolic acid [12,16]. Other characteristic secoiridoids of olive fruits are oleoside-11-methyl ester, an intermediate involved in the biosynthetic pathway of oleuropein, and its demethylated analog, oleoside [17]. The most important representatives of the phenylpropanoid glycoside group in olives are verbascoside and chlorogenic acid [17]. The flavonoids luteolin-7-O-glucoside, quercetin-3-O-rutinoside and apigenin-7-O-glucoside and the anthocyanins cyanidin-3-O-glucoside and cyanidin-3-O-rutinoside are present in almost all cultivars [18]. The main phenolic alcohols of olives are hydroxytyrosol and p-hydroxyphenyletanol or tyrosol [13]. The fruits also contain p-hydroxybenzoic acid, gallic acid, vanillic acid, syringic acid, caffeic acid and p-coumaric acid [19].
Anthocyanins are responsible for the purple coloration of olives. It is known that the coloration begins in the skin and then continues through the pulp towards the stone. Martinelli and Tonutti [20] found differences in gene expression between the epicarp and mesocarp in the developing olive fruit. Therefore, it would be expected that during ripening, there would be a difference in primary and secondary metabolites between the skin and the pulp. The content of metabolites in the whole fruit has already been well studied. The main purpose of this work was to better understand the distribution and content of primary and secondary metabolites in the skin and pulp of olives during ripening.
The skin and the pulp have very different functions in the olive fruit. The skin represents the mechanical support and protection from various external factors, while the flesh represents most of the fruit weight and the area of oil accumulation. So far, the difference between the primary and secondary metabolites during ripening has not been studied. The first objective of our study was to identify and quantify phenolic compounds in olive fruit of the ‘Leccino’ cultivar during ripening, with particular attention to the content of individual phenols, phenolic groups, the total phenolic content (TPC) and the total tannin content (TTC), for the first time separately in the pulp and in the skin, and to compare the results among ripening stages. The second objective was to compare the sugar content of the olive fruit among ripening stages in the skin and the pulp. The third goal was to determine the weight, size, maturity index (MI) and oil content at the different stages of ripeness. Our study will help to understand the differences in metabolite synthesis, distribution and storage in the different tissues of the olive fruit. Considering the absence of reports of this kind in each tissue of the fruit separately, our study fills a big gap in this field and could clarify the biology of ripening in the cultivar ‘Leccino’.

2. Materials and Methods

2.1. Plant Materials and Treatments

Samples were collected in Izola (45°32′12.98″ N 13°39′42.98″ E), Slovenia, during the 2020 growing season in an organic orchard. The olive trees (Olea europaea L.) cv. ‘Leccino’ were 20 years old. Olive fruits were collected from the same tree and the same part of the canopy from comparatively loaded branches. Fruits were harvested at four stages of ripeness, categorized by color (Figure 1): entirely green or yellow (0), less than half colored (<50), more than half colored (>50) and entirely colored (100). After collecting the fruits, they were immediately taken to the laboratory, where the skin and pulp were separated and immediately frozen in liquid nitrogen. The samples were stored at −20 °C until further processing.
The maturity index (MI) includes eight classification groups (0–7) of olives and was determined on 100 olives per each ripening stage [21]. The maturity index was determined by visual assessment of the color of the fruit skin and pulp. Olives from ripening stage 0 were assigned maturity index 1. Fruits in this group had a yellow–green skin color. Fruits from ripening stage <50 belonged to maturity index 2. They had a skin that had turned less than half purple. Maturity index 3 belonged to the fruits of ripening stage >50, whose skin had turned more than half purple. Ripening stage 100 had purple skin and white pulp. They received the maturity index 4. Average weight and length were determined on 50 olives per maturity stage. A penetrometer model FT 011 (QA Supplies, Virginia, USA) with a cylindrical probe of 1.5 mm diameter was used to evaluate fruit firmness on 50 olives per treatment. Fruit skin color was also measured on 50 fruits using a colorimeter (CR-10 Chroma, Minolta, Osaka, Japan), where L* represents lightness (0: black, 100: white), a* represents color on the red–green axis and b* represents color on the yellow–blue axis. Color was measured on the green and colored part of the skin and on the pulp just under the fruit skin.

2.2. Olive Oil Processing Trail

The percentage of olive oil was determined using the Abencor (Seville, Spain) laboratory olive mill system. This cold pressing process consists of three elements: (i) a hammer mill, (ii) an olive pastes thermo-malaxer and (iii) a centrifuge. The system mimics industrial machines for cold-pressing olive oil. Five hundred grams of olives were ground in the hammer mill and homogenized in the metal jug. The olive paste and 125 mL of water were placed in a metal jug. The jug was placed in the thermo-malaxer, where the paste was malaxed at 25 °C ± 1 °C for 40 min. The paste was first centrifuged at 3500 rpm for 60 s; then, 50 mL of water was added, and the mixture was centrifuged one more time for 60 s. The final products were the solid phase (pomace) and the liquid phase (oil and wastewater), which were removed from the centrifuge to the measuring cylinder, where the volume of oil and water was read. The oil was separated from the water by a funnel separator. The oil content (%) was calculated from the weight of ground olives (Wfruits) and the read volume of olive oil (Voil) according to the following equation:
Oil content (%) = Voil (mL) × 0.915/Wfruits (g)

2.3. Extraction of TPC, TTC and Individual Phenolic Compounds Together with HPLC Analysis of Individual Phenolic Compounds

The phenolic compounds were extracted from the olive pulp and skin according to the protocol described by Mikulic-Petkovsek et al. [22], with minor modifications. Samples (0.5 g) were placed in centrifuge tubes and extracted twice with 15 mL of 70% (v/v) MeOH solution containing 3% formic acid. Samples were sonicated in ice water for 30 min (Sonis 4 ultrasonic bath; Iskra pio, Sentjernej, Slovenia) and then centrifuged (Eppendorf Centrifuge 5810 R, Hamburg, Germany) at 8000 rpm for 5 min at 4 °C. The supernatant of the first and second extractions was collected in separate centrifuge tubes. The same volume (4 mL) of extracts was collected in common centrifuge tubes, filtered through 0.2 µm polyamide filters (Chromafil AO-20/25; Macherey-Nagel, Düren, Germany), transferred to vials and stored at −20 °C until further analysis. Treatments were performed in four replicates. This material was used for the analysis of the individual phenolic compounds, TPC and TTC.

2.3.1. Individual Phenolic Compounds

The analysis of individual phenolic compounds in olive pulp and skin was performed by liquid chromatography on an HPLC system (Vanquish; Thermo Scientific, Waltham, MA, USA) with a diode array detector at 280 nm to detect all phenols except anthocyanins, which were detected at 530 nm. The column was a C18 Gemini 150 × 4.60 mm i.d., 3 μm (Phenomenex, Torrance, CA, USA). The elution solvents were (A) 3% acetonitrile with 0.1% formic acid in bi-distilled water and (B) 3% bi-distilled water with 0.1% formic acid in acetonitrile. The injection volume was 20 µL, and the flow rate was 0.6 mL/min. Samples were eluted according to the linear gradient: 0–15 min, 5–20% (B); 15–25 min 20–30% (B); 25–30 min, 30–90% (B) and 30–45 min.
All phenolic compounds were identified using a mass spectrometer (MS/MS; LTQ XL; Thermo Scientific, Waltham, MA, USA) with heated electrospray ionization (HESI). Measurements were performed in the negative ion mode for all phenolic groups except anthocyanins, which were measured in the positive ion mode, using the parameters described by Medic et al. [23]. The dentification and quantification of the phenolic compounds were confirmed by using external standards, as well as fragmentation or literature data. The contents of each phenol were calculated from the peak areas of the sample and the corresponding external standards. The contents are expressed in g/kg fresh weight (g/kg FW). Retention times, molecular weights, negative ion fragmentation MS2 and MS3 of phenols and positive ion fragmentation of anthocyanins are listed in Table S1.
For phenolic compounds for which external standards were not available, the contents are presented as equivalents of related substances (hydroxytyrosol glucoside as 3-hydroxytyrosol, p-coumaric acid as p-coumaric acid glucoside, salidroside as tyrosol, oleuropein aglycone derivate, oleuropein glucoside, methoxyoleuropein, dimethyloleuropein glucoside, oleoside, oleoside-11-methyl ester, caffeoyl-6′-secologanoside, hydroxyoleuroside and 6′deoxyhexopyranosyl-oleoside as oleuropein, kaempferol-7-O-(6″-rhamnosyl) hexoside as kaempferol-3-glucoside, apigenin as apigenin-7-O-glucoside and cyanidin-3-O-diglucoside and cyanidin-3,5-O-sophoroside as cyanidin-3-O-glucoside).

2.3.2. Determination of the Total Phenolic Content

The total phenol content was determined using the Folin–Ciocalteu phenol reagent according to the method described by Singleton et al. [24]. Six milliliters of bi-distilled water was pipetted into 10 mL centrifuge tubes, followed by 100 µL of the extract and 500 µL of the Folin–Ciocalteau reagent. After allowing the samples to stand at room temperature for a few minutes, 1.5 mL of 20% sodium carbonate (w/v) and 1.9 mL of bi-distilled water were added. The extracts were mixed and then heated in an oven at 40 °C for 30 min. Absorbance was measured at 765 nm using a Lambda Bio 20 UV/Vis spectrophotometer (Perkin Elmer, Waltham, MA). The same mixture was used for the blank sample, but 100 µL of methanol was used instead of the extract. A calibration curve with Y = 0.0009 × (R2 = 0.9952) was constructed using gallic acid solutions in the range of 5000 mg/L. The TPC content of olive fruit was expressed as the gallic acid equivalent in mg/100 g fresh weight (mg GAE/100 g FW).

2.3.3. Determination of the Total Tannin Content

The total tannin content was determined using the Folin–Cicalteu reagent according to the method described in [25], with some modifications: 0.1 g of polyvinylpolypyrrolidone (PVPP), 750 μL of bi-distilled water and 250 μL of the extract were added to a 2 mL microcentrifuge tube to bind the tannins. The mixture was shaken for a few seconds and placed on ice for 10 min. After cooling, the mixture was centrifuged at 8000 rpm for 5 min. The clear supernatant was used to determine of the non-tannin fraction. The procedure was continued as for TPC determination, except that 100 μL of the supernatant was used as the extract. The TTC content was calculated as the difference between TPC and the non-tannin fraction. Both parts were measured at 725 nm using a Lambda Bio 20 UV/Vis spectrophotometer (Perkin Elmer, Waltham, MA). A 99.9% HPLC methanol was used as the blank. A calibration curve was constructed with Y = 0.0008 × (R2 = 0.9972) using tannic acid solutions in the range of 3000 mg/L. TTC content in olive fruit was expressed as the tannic acid equivalent in mg/100 g fresh weight (mg TAN/100 g FW).

2.4. Extraction and HPLC Analysis of Individual Sugars

Samples were analyzed for their content of sugars (glucose, galactose, maltose, mannitol and fructose) in 4 replicates for each ripening stage. The mashed frozen olive pulps and skins (0.5 g) were placed in centrifuge tubes and extracted with 2 mL of bi-distilled water. Samples were extracted at room temperature for half an hour with frequent stirring and then centrifuged (Eppendorf Centrifuge 5810R, Hamburg, Germany) at 8000 rpm for 5 min at 4 °C. The supernatants were filtered through a 0.45 μm cellulose ester filter (Macherey-Nagel, Düren, Germany), transferred to a vial and stored at −20 °C until further analysis.
Analysis of the individual sugars in the olive pulp and skin was performed by liquid chromatography on an HPLC system (Thermo Scientific, San Jose, CA, USA) connected to an RI (refractive index) detector. A Rezex RCM-monosaccharide Ca+ column (150 × 7.8 mm; Thermo Scientific, San Jose, USA) was heated to 85 °C during the measurement. The mobile phase was bi-distilled water, the flow rate was 0.8 mL/min, and the analysis time was 15 min. Results are expressed in mg/g FW.

2.5. Chemical and Standards

Gallic acid, tannic acid, D-mannitol, oleuropein, 3-hydroxytyrosol, luteolin-7-O-glucoside, chlorogenic acid, delphinidin-3-O-glucoside, cyanidin-3-O-glucoside and cyanidin-3-O-rutinoside were obtained from Sigma–Aldrich Chemie GmbH (Steinheim, Germany); tyrosol and oleoside-11-metyl ester were from PhytoLab (Germany); D-galactose, D-fructose, D-glucose, D-maltose monohydrate, p-coumaric acid, apigenin-7-O-glucoside, caffeic acid, kaempferol-3-O-glucoside and quercetin-3-O-rutinoside were from Fluka Chemie GmbH (Buchs, Switzerland) and verbascoside was from the HWI group (Germany). Bi-distilled water was obtained from a Milli-Q water purification system (Millipore, Bedford, MA, USA). Above 99.9% HPLC methanol for the extraction of phenolic contents was obtained from Fluka Chemie GmbH (Buchs, Switzerland). Chemicals for the mobile phases were acetonitrile-HPLC grade and formic acid from Fluka Chemie GmbH (Buchs, Switzerland). Water for the mobile phase was bi-distilled and purified with a Milli-Q system (Millipore, Bedford, MA, USA).

2.6. Data and Statistical Analysis

Data were analyzed using Microsoft Excel 2020 and statistically analyzed using R commander (version 4.0.5, 2021-03-31). Analysis was performed with a one-way analysis of variance (ANOVA). Statistically significant differences between ripening stages were compared using a multiple comparison test (Tukey) at a 95% confidence level. Means and standard deviations are presented (mean ± SD), and statistical differences between ripening stages are indicated by different letters.

3. Results and Discussion

3.1. Fruit Characteristics and Percentage of Oil in Fruits

Olive fruit growth can be described by a double-sigmoid curve [26]. Fruit growth is the result of complex genetic, metabolic, hormonal and environmental interactions that determine fruit size, shape and oil composition [26]. In our study, fruit weight increased from 1.50 g to 2.13 g during ripening (Table 1). This behavior has been previously observed in other cultivars [27]. Fruit weight showed a strong linear coloration with fruit length and fruit diameter, which increased steadily during ripening.
The mesocarp of the olive is the edible part of the fruit and also the tissue where the oil accumulates. It develops and gains weight through various processes: cell division, expansion and differentiation and the accumulation of storage components [28]. In the ‘Leccino’ cultivar, its weight increased from 1.10 g to 1.69 g (Table 1), due to the expansion of the pulp cells and the accumulation of oil [5].
At the third developing stage, between 60 and 90 days after full blooming (DAFB), the endocarp hardens and stops increasing in weight [3]. Hammami et al. [28] reported an increase in endocarp transverse area shortly after bloom to 8 weeks after full bloom. Our samples were collected after this period, so stone weight did not show differences between maturity stages. As fruit size increased, the mesocarp:stone ratio increased as the mesocarp grew. This ratio increased from 2.73 to 3.98 (Table 1).
In most fruits, firmness decreases during ripening due to enzyme activity in the cell wall [29]. In the cultivar ‘Leccino’, firmness progressively decreased from 289.97 g/mm2 to 135.95 g/mm2 (Table 1). Fruit firmness is an accurate estimator of maturity because it changes uniformly during ripening. Emmanouilidou et al. [27] reported a negative correlation between firmness and oil accumulation in olive fruit during ripening. However, our results showed a minimal increase in oil content from 4.58% to 5.11% throughout the sampling period (between 120 and 180 DAFB). Cheng et al. [30] also found similar results regarding the increase in oil content in the cultivar ‘Leccino’ during the same period. In our study, the oil content was two-times-lower than usual [17,30] during this period, which was due to the rainy season at the time of harvest and a higher load on the trees compared to an average year.

3.2. Mesocarp and Epicarp Color Measurements

The color of the fruit skin and pulp was measured in 50 fruits using a colorimeter. In Table 2, the color parameters show increasing values of a* during ripening in the green part of skin and in the pulp. The color became less green and more reddish. The value of b* decreased during ripening in the green and colored part of the skin and in the pulp. This reflects the progressive shift in the fruit surface color of the fruit to purple. During ripening, L* also decreased in both the green and the colored part of skin. This behavior in the olive skin was also observed in other cultivars [29]. However, the common visual method for maturity index classification does include fruit cutting and visual evaluation of the pulp after the whole skin of the fruit is completely colored [21]. At this point, the color of the pulp would not change, which our results refute.

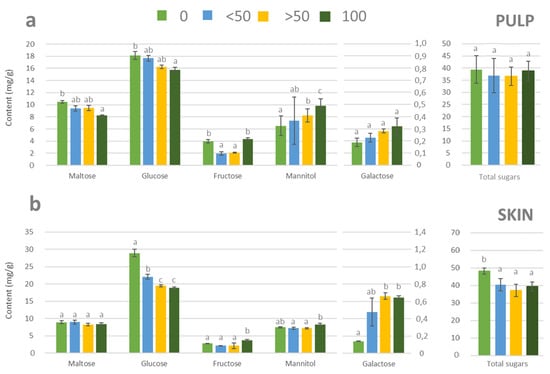
3.3. Skin and Pulp Sugar Content

Soluble carbohydrates in olive fruit consisted of hexose and sugar alcohol, which were present in different proportions in each tissue. Glucose is the most common sugar in the olive leaves and fruits [12,27,31]. Olive fruit mesocarp contains about 4% sugars, which is very low compared to other fruits [22,32]. The content of individual sugars changes differently during ripening in each tissue. In our study, glucose was, as expected, the main free sugar detected in both the skin and the pulp (Figure 2 and Table S2). The highest glucose content was detected in the skin of green olives (28.89 mg/g FW) (Figure 2b). In the skin, the glucose content decreased significantly to 18.87 mg/g FW. A major decrease started when the color of the skin changed from green to purple. During ripening, the glucose content of the pulp decreased linearly from 18.15 to 15.75 mg/g FW, as it was metabolized to oil via acetyl-CoA [31].
The second-most abundant sugar in olive fruit of the ‘Leccino’ cultivar is maltose (Figure 2a and Table S2). Its presence in olive fruit is not mentioned in older studies [12,31]. However, in a recent article, it was found by gas chromatography with mass spectrometry (GC/MS) that maltose is the most abundant sugar in the cultivars ‘Manzanilo’ and ‘Picual’ and the second-most abundant in the cultivar ‘Koroneiki’ [33]. Figure 2b shows that the maltose content in the skin did not change during ripening. Its mean content was 8.66 mg/g FW. The maltose content in the pulp was, on average, 7.8% higher than in the skin. During ripening, in the pulp, it decreased by 21.7% from 10.48 mg/g FW.
The only sugar alcohol detected in olive fruit of the ‘Leccino’ cultivar was mannitol. Mannitol is synthesized in the mesophyll from primary assimilates and, later, in the cytosol from mannose-6-phosphate [5]. It is the major transport sugar in olive trees, so after synthesis, it is rapidly transported into vacuoles and from leaves through the phloem to other organs [10]. Mannitol content increased during ripening in cultivars ‘Chemlali’, ‘Dhokar’ [12] and ‘Hojiblanca’ [31], while its content decreased in cultivars ‘Korakou’ and ‘Ladoelia’ [27]. In our study, mannitol and maltose were present in a similar range. The difference between them was the change of their content: maltose content decreased, while mannitol content increased during ripening. Figure 2a shows the linear increase of mannitol content in the pulp from stage 0 (6.54 mg/g FW) to stage 100 (9.86 mg/g FW). The mannitol content in the skin from stage 0 (7.48 mg/g FW) to >50 (7.20 mg/g FW) was constant (Figure 2b). At the last ripening stage, the content increased by 14.1%. Marsilio et al. [31] reported a linear correlation between mannitol and oil content. Mannitol in olive is considered a translocatable carbohydrate, which seems to play a major transitory role in carbohydrate metabolism [31]. Its relative proportion in olive fruit could be an indication of a cultivar’s potential for oil biosynthesis.
The fructose of fruits content during ripening varies. In the first three ripening stages, the fructose content in the skin did not show statistical differences (Table S2). Their mean content was 2.83, 2.19 and 2.16 mg/g FW, respectively. The highest fructose content was 3.68 mg/g FW in the skin of ripening stage 100. In the pulp, the mean fructose content in the green fruits was 3.96 mg/g FW (Figure 2a). When the fruits started to color, the fructose content decreased to 1.96 mg/g FW, then increased again to 4.32 mg/g FW and reached the highest content at ripening stage 100. Emmanouilidou et al. [27] also reported variations in fructose content during ripening of the cultivar ‘Korakou’. The fruits reached a maximum fructose content shortly after classification in group MI2, which subsequently decreased in group MI4. A sharp decrease in fructose content during ripening was also reported in leaves [34].
In plants, free galactose occurs only in very small amounts and is often present in a polysaccharide form as galactan, pectin and gum [35]. In our study, it was also the sugar with the lowest content in olive fruits. The lowest average content of galactose was in the skin of green olives (0.14 mg/g FW) (Figure 2b). The galactose content increased linearly during ripening until the ripening stage >50, up to 0.66 mg/g FW. At ripening stage 100, the mean content was 0.64 mg/g FW. In fact, there was no significant difference between galactose contents at ripening stages >50 and 100. Mean amounts of galactose contents changed from 0.19 to 0.32 mg/g FW during maturation, although no statistical difference was observed.
The total sugar content did not vary considerably during maturation. In the skin, the highest content was found in the first stage of maturation (48.14 mg/g FW), after which it decreased and stabilized during the rest of the ripening stages. In the pulp, the value was higher and also constant during the different stages. Trapani et al. [36] reported changes in the total sugar content between 85 and 184 DAFB in the cv. ‘Moraiolo’, where sugars content decreased drastically between 85 and 115 days after bloom, but then stabilized. Sugar contents showed an opposite behavior with a decreasing sigmoidal trend. However, our results on the content of individual sugars show that despite total values being constant, sugars can be converted from one to another.

3.4. Content of TPC and TTC in Olive Fruit Skin and Pulp

The total phenolic content was higher in the skin than in the pulp. In the skin, the content increased from ripening stage 0 (2121.88 mg/100 g FW) to stage 100 (2724.83 mg/100 g FW) (Table 3). This increase was due to an increase in anthocyanins and flavones during ripening (Table 3). The TPC content in the pulp decreased during ripening from 1105.07 mg/100 g FW to 791.52 mg/100 g FW equivalent gallic acid. No statistically significant results were shown in the pulp of ripening stages <50 and >50; their contents were 865.65 mg/100 g FW and 930.25 mg/100 g FW, respectively. The decrease of TPC content in the pulp during ripening is probably related to an increase in the activity of hydrolytic enzymes [37].
Briante et al. [38] reported changes in the total phenolic content in fruit of the cultivar ‘Ascolana tenera’ and the Italian cultivar ‘FS17’. TPC content was highest in summer in both cultivars and then decreased until autumn. Similar results were found in the cultivar ‘Frantoio’, where TPC content at 150 DAFB was 28,643 mg/kg FW, and at 164 DAFB, it was 23,693 mg/kg FW [35]. The TPC content in the pulp of the cultivar ‘Leccino’ showed a similar decreasing trend during ripening as found in other studies for the whole fruits [15,35,38]. However, different authors reported a different evolution of TPC content during ripening, depending on the cultivar. The skin represents a very small part of the olive fruit, so high TPC contents do not affect the content in the whole fruit. However, TPC content usually increases during the ripening process until it reaches a maximum and then decreases [14]. In our study, we observed an increasing trend during ripening in the skin and a decrease in the pulp. The trend was more evident at several stages of ripening. Tannins are complex phenolic compounds, found in many plant species. The total tannin content (TTC) in the skin and the pulp of the olives during ripening showed a similar trend to that of TPC. Table 3 shows the highest content of the total tannins in the skin of the olive fruit at the last measurement. The TTC content was fairly constant from ripening stages 0 to >50 and did not show statistically significant differences. Its content was 2384.46 mg/100 g FW. The mean TTC of fruits with green skin was 1438.30 mg/100 g FW; with half colored skin, it was 1275.69 mg/100 g FW, and at the last stage of ripening, the TTC content was 1415.83 mg/100 g FW. On the other hand, the TTC content in the pulp decreased during ripening. The highest total tannin content in the pulp was obtained in the first ripening stage and was 756.37 mg/100 g FW. The ripening stages <50 and >50 did not show statistical differences; their content was 427.02 mg/100 g FW and 541.21 mg/100 g FW. At the last ripening stage, the TTC content was 253.81 mg/100 g FW and had the lowest content in the pulp.
The immature pulp thus had a higher TTC content than the pulp of the ripe fruit. The TTC content in the skin increased during ripening. The contents did not affect the increase in the total tannins in the whole fruit. Some astringent fruits show a reduction in tannins on ripening. Astringency depends on the molecular structure of tannins, which determines their cross-linking with proteins and glycoproteins, so that they give an astringent taste when dissolved in saliva. During ripening, the molecular weight of tannins increases due to polymerization, which leads to insolubility of tannins and a lack of astringency [39]. The fruit pulp data reported in our study agree with those of Brahmi et al. [37], who showed that the TTC content in the olive fruit also decreases during ripening in the ‘Chemali’ and ‘Neb jmel’ cultivars.

3.5. Content of Phenolic Compositions in Olive Fruit Skin and Pulp

Thirty different individual phenolic compounds belonging to the group of flavones, flavonols, secoiridoids, hydroxycinnamic acids and anthocyanins were quantified in the cultivar ‘Leccino’ in two different tissues and four ripening stages. Their contents are shown in Figure 3 and Table S3. The sums of the individual phenolic compound by phenolic group are shown in Table 3.

3.6. Flavones

The content of all flavones was higher in the skin. During ripening, their content did not show statistical differences in the pulp, while it increased in the skin (Table 3). The main flavone in all samples was luteolin-7-O-glucoside (Figure 3). Its content increased from 5550.63 mg/kg FW to 10,950.81 mg/kg FW in the skin (Table S4), while it decreased in the pulp from 506.24 mg/kg FW to 381 mg/kg FW (Table S3). Cecchi et al. [17] also reported an increase of luteolin-7-O-glucoside in the pericarp of cultivar ‘Leccino’ between 105 and 147 DAFB. The next most abundant flavone in both tissues was luteolin-7-O-rutinoside. Its content in the pulp showed no differences during ripening (Table S3). Apigenin had the lowest content of all flavones. Its content decreased significantly in the pulp from 40.49 mg/kg FW to 11.38 mg/kg FW (Table S3) and in the skin from 42.02 mg/kg FW to 7.74 mg/kg FW (Table S4). Dagdelen et al. [15] found that the content of apigenin decreased during ripening from August to October in ‘Domat’ and ‘Gemlik’ cultivars. These results suggest that apigenin content in olives decreases because it is contained in the pulp, not in the skin.

3.7. Flavonols

Quercetin-3-O-rhamnoside, quercetin-3-O-rutinoside and kaempferol-7-O-(6″-rhamnosyl)-hexoside, which belong to the flavonols group, were found in olive fruits of the ‘Leccino’ cultivar. Flavones are a class of bioactive compounds belonging to the flavonoid group that play a key role in plant metabolism, from reproductive biology to protection against UV radiation and microbial attack [40]. The total flavonol content increased during ripening in all tissues studied (Table 3). The most important flavonol in all samples was quercetin-3-O-rutinoside. In the pulp, the content of quercetin-3-O-rutinoside was 38.22 mg/kg FW at stage 0 and increased during ripening to 262.82 mg/kg FW at the last stage (Table S3). The content also increased in the skin during ripening from 205.38 mg/kg FW to 454.51 mg/kg FW (Table S4). However, Fernández-Poyatos et al. [14] reported a different trend in the cultivar ‘Cornezuelo’. During ripening from maturity index 1 to 3, the content decreased in the 2017/2018 season but increased in the 2018/2019 season. At maturity index 4, the content decreased rapidly. The content of quercetin-3-O-rhamnoside in the pulp did not change during ripening (Table S3). The content in the skin did not show significant differences from stage 0 to >50 (Table S4). At stage 100, the content of quercetin 3-O-rutinoside decreased to 55.19 mg/kg FW. Kaempferol-7-O-(6″-rhamnosyl) hexoside represented the lowest content of flavonols (Figure 3) and was similar in the skin and the pulp. Changes in the composition of flavonols during ripening, due to various biotic and abiotic factors, significantly affect their accumulation in fruits [41]. The harvest time has a strong influence on flavonol content.

3.8. Secoiridoids

The main phenolic compounds in olives belong to the secoiridoids group, which is characteristic of the Oleaceae family [42]. Among them, oleuropein, oleuropein aglycone derivate, oleuropein glucoside, methoxyoleuropein, dimethyloleuropein glucoside, hydroxyoleuroside, hydroxytyrosol, hydroxytyrosol glucoside, 6-deoxyhexopyranosyl oleoside, oleoside, oleoside-11-methyl ester, elanolic acid glucoside and salidroside were found in ‘Leccino’ olives. The main phenolic compound of this group was oleuropein, as previously reported [14,33,41]. Its content in the pulp showed a decreasing trend (Figure 3). At stage 0, the content of oleuropein was 4199.27 mg/kg FW, and then, it decreased drastically to 1898.84 mg/kg FW at stage <50. The content of oleuropein was the lowest at stage 100, at 1039.14 mg/kg FW (44.5% of the initial content). The content of oleuropein in the skin decreased significantly from 20,578.92 mg/kg FW to 2039.17 mg/kg FW (9.9% of the initial content) during fruit ripening (Table S4). This behavior has already been observed in other cultivars [15,41] and could be due to extensive degradation of oleuropein or conversion to new conjugates [41,43].
The degradation of oleuropein occurs in a two-step process (Figure S1). In the first step, the enzyme β-glucosidase hydrolyzes the glycoside bond and forms the oleuropein aglycone [43]. The contents of oleuropein aglycone derivate in the pulp varied between 216.78 and 307.10 mg/kg FW during ripening (Figure 3). In the skin, the contents decreased during ripening from 504.84 mg/kg FW to 200.40 mg/kg FW. These results are coincident with the findings of Talhaoui et al. [44]. In the second step of oleuropein degradation, the oleuropein aglycone is hydrolyzed to hydroxytyrosol and elenolic acid [43] (Figure S1). The content of hydroxytyrosol in the pulp at stage 0 was 60.71 mg/kg FW, and at stage <50, the content decreased slightly to 53.25 mg/kg FW (Table S3). At stages >50 and 100, the content increased statistically significantly to 70.99 mg/kg FW (Table S3). In skin, the content increased at all stages from 45.24 mg/kg FW to 117.30 mg/kg FW (Table S4). The content of elenolic acid glucoside in the pulp did not show significant differences between stages (Table S3). However, in the skin, the content of elenolic acid glucoside increased from stage 0 (56.36 mg/kg FW) to stage >50 (65.62 mg/kg FW) (Table S3). At the last stage, the content decreased to 48.05 mg/kg FW.
The content of oleuropein glucoside in the pulp also statistically decreased, from 666.38 mg/kg FW to 265.17 mg/kg FW. In the skin, it increased between stage 0 (1651.54 mg/kg FW) and stage >50 (2721.35 mg/kg FW) (Table S4). At the last stage, the content of oleuropein glucoside was 2588.73 mg/kg FW and was not significantly different from ripening stage >50. Fernández-Poyatos et al. [14] also reported an increase in oleuropein glucoside from maturity index 1 to 3 and a decreasing trend at maturity index 4 in the cultivar ‘Cornezuelo’. During the ripening process, the content of dimethyloleuropein glucoside increased in all tissues studied (Figure 3), in the pulp from 476.85 to 1239.59 mg/kg FW and in the skin from 2970.57 to 13,602.65 mg/kg FW. The increase in these phenolic compounds could be due to the conjugation of oleuropein during the ripening process.
The oleoside-11-methyl ester is both a precursor and a degradation product of oleuropein (Figure S1) [42]. Its content in the pulp at stage 0 and <50 was 101.55 and 102.10 mg/kg FW, respectively (Figure 3). At stage >50 and 100, the content increased significantly to 121.52 and 133.60 mg/kg FW (Table S3). In the skin, the level of oleoside-11-methyl ester increased significantly, from 391.03 mg/kg FW to 708.22 mg/kg FW, across all ripening stages (Table S4). Its increase during ripening was also due to the degradation of oleuropein. The content of oleoside in the skin increased during ripening from 667.15 mg/kg FW to 8976.67 mg/kg FW (Figure 3). In the skin, it reached contents between 320.76 and 249.51 mg/kg FW. This trend was also observed in the cultivars ‘Cornezuelo’, ‘Picular’ and ‘Cornicabra’ [14].
In pulp, the content of hydroxyoleuroic acid, hydroxytyrosol glucoside, ‘6-deoxyhexopyranosyl oleoside and methoxyoleuropein did not change significantly (Table S3). In skin, hydroxyoleuroside increased significantly from stage 0 (82.62 mg/kg WF) to stage <50 (142.66 mg/kg FW) (Table S4). At the other stages, the content did not differ from stage <50. An increase in ‘6-deoxyhexopyranosyl oleoside during ripening in the skin was also observed from stage 0 (989.69 mg/kg FW) to > 0 (1359.27 mg/kg FW). At the last stage, the content of ‘6-deoxyhexopyranosyl oleoside decreased slightly to 1094.88 mg/kg FW. A decrease in the maturity index of 3.5 to 4 was also observed by Fernández-Poyatos et al. [14] in the cultivars ‘Picular’ and ‘Cornezuelo’ during the 2017/2018 season.

3.9. Hydroxycinnamic Acids

The representatives of this group detected in the olive fruits of the cultivar ‘Leccino’ were caffeoyl-6′-secologanoside, verbascoside, chlorogenic acid, caffeic acid and p-coumaric acid glucoside. Their content in the epicarp and mesocarp increased during ripening. Verbascoside consists of cinnamic acid (C6-C3) and hydroxyphenylethyl (C6-C2) moieties attached to β-glucopyranose via a glycosidic bond and is one of the most important hydroxycinnamic acids in olives [45]. Its content in the pulp ranged from 75.08 mg/kg FW to 90.36 mg/kg FW and did not change significantly (Figure 3). In the skin, its levels increased during ripening from 335.51 mg/kg FW to 462.97 mg/kg FW. These results are in good agreement with those of Gómez-Rico et al. [41], who also found an increase of verbascoside during ripening in the cultivars ‘Arbequina’, ‘Morisca’, ‘Picolimon’ and ‘Picular’.
Figure 3 shows an increasing trend in the pericarp of caffeic acid, caffeoyl-6′-secologanoside, p-coumaric acid glucoside, hydroxytyrosol and salidroside, which are precursors of verbascoside and probably responsible for its increase. The content of salidrosides in the pulp ranged from 4.83 mg/kg FW to 9.21 mg/kg FW, while the content in the skin ranged from 7.97 mg/kg FW to 191.60 mg/kg FW. The lowest content in the group of hydroxycinnamic acids was found in caffeic acid. During ripening, its content in the pulp ranged from 0.23 mg/kg FW to 0.66 mg/kg FW and in the skin between 1.88 mg/kg FW to 3.94 mg/kg FW. The content of caffeoyl-6′-secologanoside in the pulp increased significantly from stage <50 (88.94 mg/kg FW) to stage >50 (142.53 mg/kg FW) (Table S3). At the last stage, its content was 170.29 mg/kg FW but showed no significant difference with stage <50. In the skin, the content increased from 177.23 mg/kg FW to 476.76 ± 37.38 mg/kg FW between stage 0 and >50 (Table S4). The variation of caffeoyl-6′-secologanoside’s content during ripening in the cultivar ‘Leccino’ was in the same range as ours [17]. The content of the last verbascoside precursor, p-coumaric acid glucoside, was between 7.89 mg/kg FW and 13.54 mg/kg FW in the pulp and 78.34 mg/kg FW and 112.06 mg/kg FW in the skin (Figure 3). An increase in p-coumaric acid glucoside in olive fruit was also observed in the cultivar ‘Mudanyaa’. Its content increased during ripening from 50.0 mg/kg FW to 73.1 mg/kg FW [46]. The last phenolic compound belonging to hydroxycinnamic acids is chlorogenic acid. In the epicarp, its content ranged from 15.10 mg/kg FW to 27.23 mg/kg FW and showed no significant differences among stages (Table S3). At the same time, the content of chlorogenic acid first increased with maturation and then decreased from 96.10 mg/kg FW to 92.38 mg/kg FW at stage >50. At the last stage, the content decreased sharply to 79.11 mg/kg FW.

3.10. Anthocyanins

Olive ripening is signaled by the epidermal accumulation of anthocyanins, which subsequently progress to the mesocarp [27]. The main anthocyanins in olives are cyanidin-3-O-glucoside and cyanidin-3-O-rutinoside, which account for 90% of the anthocyanin pigments in olive fruit [18]. The content of anthocyanins in the pulp was detected only at stage 100 (Table 3). Their total content was 10.28 mg/kg FW. Anthocyanins were detected in the epicarp at all ripening stages. Their content increased during ripening from 260.94 mg/kg FW to 30,884.14 mg/kg FW (Figure 3). These results agree well with those of Emmanouilidou et al. [27], who studied the accumulation of anthocyanins during ripening in the cultivars ‘Korakou’ and ‘Ladoelia’. The onset of anthocyanin accumulation in fruits was observed at maturity stage 2. With each subsequent ripening stage, anthocyanin content increased statistically, from 0.009 to 0.742 mg/g dry weight in ‘Korakou’ and from 0.029 to 0.164 mg/g dry weight in ‘Ladoelia’.
The major anthocyanin in all tissues was cyanidin-3-O-rutinoside. In the pulp at stage 100, its content was 9.28 mg/kg FW (Figure 3). In the epicarp, the content increased from 253.01 mg/kg FW to 29,784.60 mg/kg WF, which was the highest content of an individual phenolic compound in stage 100 (Figure 3). These results are in agreement with those of Aprile et al. [18], who reported an increase in cyanidin-3-O-rutinoside from stage 4 (3.22 g/kg dry weight) to stage 7 (4.62 g/kg dry weight). The second-most abundant anthocyanin in the fruit was cyanidin-3-O-glucoside. In the pulp, its content at stage 100 was 0.95 mg/kg FW. In the skin, its content increased from 6.20 mg/kg FW to 866.94 mg/kg FW. Vinha et al. [47] studied the influence of geographical origin on the phenolic constituents of the cultivar ‘Cobrancosa’. The content of cyanidin-3-O-glucoside at stage 3.9 in Mieandela was 78.1 mg/kg DW, and at stage 4.0 in Valpacos, it was 141 mg/kg DW. The content of delphinidin-3-O-glucoside was detected only in the skin at stages from <50 to 100, and its content increased from 0.94 mg/kg FW to 6.61 mg/kg FW. However, in olives, cyanidin-3-O-diglucoside and cyanidin-3,5-O-sophoroside were detected for the first time. In the pulp, the content of cyanidin-3-O-diglucoside at stage 100 was 0.41 mg/kg FW (Table S3). In the skin, its content increased from 1.73 mg/kg FW to 213.03 mg/kg FW. The content of cyanidin-3,5-O-sophoroside in the skin increased from stage <50 (0.32 mg/kg FW) to stage 100 (3.24 mg/kg WF) (Table S4). The high content of anthocyanins in the skin at stage 100 indicates that its value affects the increase in TPC content at the last stage of ripening.

4. Conclusions

Numerous biochemical changes occur in olive fruit during the ripening process. This study was conducted to identify and quantify primary and secondary metabolites in olive fruit of the cultivar ‘Leccino’ during ripening. In addition, this is the first report on the characterization and quantification of phenolics and sugars in the pulp and skin of olives separately. For the first time, significant differences in primary and secondary metabolite content were found between the two tissues, suggesting that metabolism differs between them. A total of 30 individual phenolic compounds and five sugars were identified and quantified in the fruit tissues, and TPC and TTC were determined. Most of these compounds were found in significantly higher amounts in the skin at all stages of ripeness. The most important sugar in both tissues was glucose. Its content decreased together with maltose and fructose during ripening, which could be related to the oil accumulation. The most abundant class of phenolic compounds found in olive fruits were secoiridoids. During ripening, the levels of most individual phenolic compounds from the secoiridoid group increased in all tissues due to the transformations and new conjugations of the main individual phenolic compound, oleuropein. Among anthocyanins, the main single phenolic compound that increased during ripening was cyanidin-3-O-rutinoside. In the skin, its content increased by 117 times. Two anthocyanins (cyanidin-3-O-diglucoside and cyanidin-3,5-O-sophoroside) were found for the first time in the olive fruit, more precisely in the skin. In this study, it was found that there are huge differences between the content of primary and secondary metabolites between different fruit tissues. These findings suggest that the size of the olive fruit pieces have different pulp/skin ratios and may alter the results. Therefore, if the samples are not prepared correctly, the results could show differences that may not be real. This kind of detailed analysis of fruits allows us to better understand the distribution and content of primary and secondary metabolites in different olive tissues during ripening. In addition, it provides a solid basis for a better understanding of the differences in metabolite synthesis and storage in different tissues of olive fruit. In future studies of olive fruit physiology and metabolism, these tissues should be separated because of the large differences in their composition.

Supplementary Materials

The following supporting information can be downloaded at https://www.mdpi.com/article/10.3390/agriculture12091347/s1: Table S1: retention times, molecular weights, negative ion MS2 and MS3 fragmentation of phenolic compounds and positive ion fragmentation of anthocyanins; Table S2: sugar content of the ‘Leccino’ cultivar in skin and pulp during ripening; Table S3: content of individual phenolic compositions in pulp of the ‘Leccino’ cultivar during ripening; Table S4: content of individual phenolic compositions in skin of the ‘Leccino’ cultivar during ripening; Figure S1: Simplified scheme of the oleuropein biosynthesis and degradation [42,48,49].

Author Contributions

Conceptualization, T.I., M.H. and R.V.; methodology, J.J., T.I. and V.V.; software, T.I.; validation, M.H.; formal analysis, T.I., J.J. and V.V.; investigation, T.I.; resources, M.H.; data curation, T.I.; writing—original draft preparation, T.I.; writing—review and editing, T.I.; visualization, T.I. and M.H.; supervision, M.H. and R.V.; project administration, T.I.; founding acquisition, T.I. All authors have read and agreed to the published version of the manuscript.

Funding

This research was funded by the Slovenian Research Agency (ARRS) and is part of the program Horticulture P4-0013-0481.

Data Availability Statement

All data are present in the manuscript and supplements.

Conflicts of Interest

The authors declare no conflict of interest.

References

  1. Faraone, I.; Russo, D.; Bruno, M.R.; Todaro, L.; D’Auria, M.; Milella, L. Focus on Olea Europaea L. Pruning by-Products: Extraction Techniques, Biological Activity, and Phytochemical Profile. Biofuels Bioprod. Biorefining 2021, 15, 1835–1849. [Google Scholar] [CrossRef]
  2. Fraga, H.; Moriondo, M.; Leolini, L.; Santos, J.A. Mediterranean Olive Orchards under Climate Change: A Review of Future Impacts and Adaptation Strategies. Agronomy 2020, 11, 56. [Google Scholar] [CrossRef]
  3. Karagiannis, E.; Michailidis, M.; Skodra, C.; Stamatakis, G.; Dasenaki, M.; Ganopoulos, I.; Samiotaki, M.; Thomaidis, N.S.; Molassiotis, A.; Tanou, G. Proteo-Metabolomic Journey across Olive Drupe Development and Maturation. Food Chem. 2021, 363, 130339. [Google Scholar] [CrossRef] [PubMed]
  4. Iaria, D.L.; Chiappetta, A.; Muzzalupo, I. A de Novo Transcriptomic Approach to Identify Flavonoids and Anthocyanins “Switch-off” in Olive (Olea Europaea L.) Drupes at Different Stages of Maturation. Front. Plant Sci. 2016, 6, 1246. [Google Scholar] [CrossRef]
  5. Conde, C.; Delrot, S.; Gerós, H. Physiological, Biochemical and Molecular Changes Occurring during Olive Development and Ripening. J. Plant Physiol. 2008, 165, 1545–1562. [Google Scholar] [CrossRef]
  6. Skodra, C.; Titeli, V.S.; Michailidis, M.; Bazakos, C.; Ganopoulos, I.; Molassiotis, A.; Tanou, G. Olive Fruit Development and Ripening: Break on through to the “-Omics” Side. Int. J. Mol. Sci. 2021, 22, 5806. [Google Scholar] [CrossRef]
  7. Alkio, M.; Jonas, U.; Declercq, M.; Van Nocker, S.; Knoche, M. Transcriptional Dynamics of the Developing Sweet Cherry (Prunus Avium L.) Fruit: Sequencing, Annotation and Expression Profiling of Exocarp-Associated Genes. Hortic. Res. 2014, 1, 1–15. [Google Scholar] [CrossRef]
  8. Rodiah, M.H.; Jamilah, B.; Sharifah Kharidah, S.M.; Russly, A.R. Physico-Chemical and Antioxidant Properties of Mesocarp and Exocarp from Borassus Flabellifer. Int. Food Res. J. 2019, 26, 1469–1476. [Google Scholar]
  9. Wang, W.; Tai, F.; Hu, X. Current Initiatives in Proteomics of the Olive Tree; Elsevier Inc.: Amsterdam, The Netherlands, 2010; ISBN 9780123744203. [Google Scholar]
  10. Gómez-González, S.; Ruiz-Jiménez, J.; Priego-Capote, F.; Luque De Castro, M.D. Qualitative and Quantitative Sugar Profiling in Olive Fruits, Leaves, and Stems by Gas Chromatography-Tandem Mass Spectrometry (GC-MS/MS) after Ultrasound-Assisted Leaching. J. Agric. Food Chem. 2010, 58, 12292–12299. [Google Scholar] [CrossRef]
  11. Kong, W.; Han, R.; Liu, N.; Bai, W.; Ma, J.; Bai, X.; Liang, J.; Wang, J.; Zhang, J. Dynamic Assessment of the Fruit Quality of Olives Cultivated in Longnan (China) during Ripening. Sci. Hortic. 2019, 253, 8–16. [Google Scholar] [CrossRef]
  12. Jemai, H.; Bouaziz, M.; Sayadi, S. Phenolic Composition, Sugar Contents and Antioxidant Activity of Tunisian Sweet Olive Cuitivar with Regard to Fruit Ripening. J. Agric. Food Chem. 2009, 57, 2961–2968. [Google Scholar] [CrossRef] [PubMed]
  13. Arslan, D.; Özcan, M.M. Phenolic Profile and Antioxidant Activity of Olive Fruits of the Turkish Variety “Sariulak” from Different Locations. Grasas y Aceites 2011, 62, 453–461. [Google Scholar] [CrossRef]
  14. Fernández-Poyatos, M.D.P.; Llorent-Martínez, E.J.; Ruiz-Medina, A. Effect of Ripening on the Phenolic Composition and Mineral Content of Three Varieties of Olive Fruits. Foods 2021, 10, 380. [Google Scholar] [CrossRef] [PubMed]
  15. Dagdelen, A.; Tümen, G.; Özcan, M.M.; Dündar, E. Phenolics Profiles of Olive Fruits (Olea Europaea L.) and Oils from Ayvalik, Domat and Gemlik Varieties at Different Ripening Stages. Food Chem. 2013, 136, 41–45. [Google Scholar] [CrossRef]
  16. Mougiou, N.; Trikka, F.; Trantas, E.; Ververidis, F.; Makris, A.; Argiriou, A.; Vlachonasios, K.E. Expression of Hydroxytyrosol and Oleuropein Biosynthetic Genes Are Correlated with Metabolite Accumulation during Fruit Development in Olive, Olea Europaea, Cv. Koroneiki. Plant Physiol. Biochem. 2018, 128, 41–49. [Google Scholar] [CrossRef]
  17. Cecchi, L.; Migliorini, M.; Cherubini, C.; Giusti, M.; Zanoni, B.; Innocenti, M.; Mulinacci, N. Phenolic Profiles, Oil Amount and Sugar Content during Olive Ripening of Three Typical Tuscan Cultivars to Detect the Best Harvesting Time for Oil Production. Food Res. Int. 2013, 54, 1876–1884. [Google Scholar] [CrossRef]
  18. Aprile, A.; Negro, C.; Sabella, E.; Luvisi, A.; Nicolì, F.; Nutricati, E.; Vergine, M.; Miceli, A.; Blando, F.; De Bellis, L. Antioxidant Activity and Anthocyanin Contents in Olives (CV Cellina Di Nardò) during Ripening and after Fermentation. Antioxidants 2019, 8, 138. [Google Scholar] [CrossRef]
  19. Dekdouk, N.; Malafronte, N.; Russo, D.; Faraone, I.; De Tommasi, N.; Ameddah, S.; Severino, L.; Milella, L. Phenolic Compounds from Olea Europaea L. Possess Antioxidant Activity and Inhibit Carbohydrate Metabolizing Enzymes in Vitro. Evidence-Based Complement. Altern. Med. 2015, 7, 1–9. [Google Scholar] [CrossRef]
  20. Martinelli, F.; Tonutti, P. Flavonoid Metabolism and Gene Expression in Developing Olive (Olea Europaea L.) Fruit. Plant Biosyst. 2012, 146, 164–170. [Google Scholar] [CrossRef]
  21. Guzmán, E.; Baeten, V.; Pierna, J.A.F.; García-Mesa, J.A. Determination of the Olive Maturity Index of Intact Fruits Using Image Analysis. J. Food Sci. Technol. 2015, 52, 1462–1470. [Google Scholar] [CrossRef]
  22. Mikulic-Petkovsek, M.; Slatnar, A.; Schmitzer, V.; Stampar, F.; Veberic, R.; Koron, D. Chemical Profile of Black Currant Fruit Modified by Different Degree of Infection with Black Currant Leaf Spot. Sci. Hortic. 2013, 150, 399–409. [Google Scholar] [CrossRef]
  23. Medic, A.; Jakopic, J.; Hudina, M.; Solar, A.; Veberic, R. Identification and Quantification of the Major Phenolic Constituents in Juglans Regia L. Peeled Kernels and Pellicles, Using HPLC–MS/MS. Food Chem. 2021, 352, 129404. [Google Scholar] [CrossRef] [PubMed]
  24. Singleton, V.L.; Orthofer, R.; Lamuela-Raventós, R.M. Analysis of Total Phenols and Other Oxidation Substrates and Antioxidants by Means of Folin-Ciocalteu Reagent. Methods Enzymol. 1999, 299, 152–178. [Google Scholar] [CrossRef]
  25. Persic, M.; Jakopic, J.; Hudina, M. The Effect of Post-Harvest Technologies on Selected Metabolites in Persimmon (Diospyros Kaki Thunb.) Fruit. J. Sci. Food Agric. 2018, 99, 854–860. [Google Scholar] [CrossRef]
  26. Khosravi, A.; Zucchini, M.; Giorgi, V.; Mancini, A.; Neri, D. Continuous Monitoring of Olive Fruit Growth by Automatic Extensimeter in Response to Vapor Pressure Deficit from Pit Hardening to Harvest. Horticulturae 2021, 7, 349. [Google Scholar] [CrossRef]
  27. Emmanouilidou, M.G.; Koukourikou-Petridou, M.; Gerasopoulos, D.; Kyriacou, M.C. Evolution of Physicochemical Constitution and Cultivar-Differential Maturity Configuration in Olive (Olea Europaea L.) Fruit. Sci. Hortic. 2020, 272, 109516. [Google Scholar] [CrossRef]
  28. Hammami, S.B.M.; Manrique, T.; Rapoport, H.F. Cultivar-Based Fruit Size in Olive Depends on Different Tissue and Cellular Processes throughout Growth. Sci. Hortic. 2011, 130, 445–451. [Google Scholar] [CrossRef]
  29. Diarte, C.; Iglesias, A.; Romero, A.; Casero, T.; Ninot, A.; Gatius, F.; Graell, J.; Lara, I. Ripening-Related Cell Wall Modifications in Olive (Olea Europaea L.) Fruit: A Survey of Nine Genotypes. Food Chem. 2021, 338, 127754. [Google Scholar] [CrossRef]
  30. Cheng, Z.; Mingming, Z.; Yang, Z.; Zumstein, K.; Chen, H.; Huang, Q. The Major Qualitative Characteristics of Olive (Olea Europaea L.) Cultivated in Southwest China. Front. Plant Sci. 2017, 8, 559. [Google Scholar] [CrossRef]
  31. Marsilio, V.; Campestre, C.; Lanza, B.; De Angelis, M. Sugar and Polyol Compositions of Some European Olive Fruit Varieties (Olea Europaea L.) Suitable for Table Olive Purposes. Food Chem. 2001, 72, 485–490. [Google Scholar] [CrossRef]
  32. Connor, D.J.; Fereres, E. The Physiology of Adaptation and Yield Expression in Olive; John Wiley & Sons: Barcelona, Spain, 2010; Volume 31, ISBN 9780470650882. [Google Scholar]
  33. Fayek, N.M.; Farag, M.A.; Saber, F.R. Metabolome Classification via GC/MS and UHPLC/MS of Olive Fruit Varieties Grown in Egypt Reveal Pickling Process Impact on Their Composition. Food Chem. 2021, 339, 127861. [Google Scholar] [CrossRef] [PubMed]
  34. Tsantili, E.; Kafkaletou, M. Oil Content and Composition in Relation to Leaf Photosynthesis, Leaf Sugars and Fruit Sugars in Maturing Koroneiki Olives-The Mannitol Effect on Oil. J. Appl. Bot. Food Qual. 2016, 89, 1–10. [Google Scholar] [CrossRef]
  35. Cecchi, L.; Migliorini, M.; Zanoni, B.; Breschi, C.; Mulinacci, N. An Effective HPLC-Based Approach for the Evaluation of the Content of Total Phenolic Compounds Transferred from Olives to Virgin Olive Oil during the Olive Milling Process. J. Sci. Food Agric. 2018, 98, 3636–3643. [Google Scholar] [CrossRef] [PubMed]
  36. Trapani, S.; Migliorini, M.; Cherubini, C.; Cecchi, L.; Canuti, V.; Fia, G.; Zanoni, B. Direct Quantitative Indices for Ripening of Olive Oil Fruits to Predict Harvest Time. Eur. J. Lipid Sci. Technol. 2016, 118, 1202–1212. [Google Scholar] [CrossRef]
  37. Brahmi, F.; Mechri, B.; Dhibi, M.; Hammami, M. Variations in Phenolic Compounds and Antiradical Scavenging Activity of Olea Europaea Leaves and Fruits Extracts Collected in Two Different Seasons. Ind. Crops Prod. 2013, 49, 256–264. [Google Scholar] [CrossRef]
  38. Briante, R.; Patumi, M.; Limongelli, S.; Febbraio, F.; Vaccaro, C.; Di Salle, A.; La Cara, F.; Nucci, R. Changes in Phenolic and Enzymatic Activities Content during Fruit Ripening in Two Italian Cultivars of Olea Europaea L. Plant Sci. 2002, 162, 791–798. [Google Scholar] [CrossRef]
  39. Maduwanthi, S.D.T.; Marapana, R.A.U.J. Induced Ripening Agents and Their Effect on Fruit Quality of Banana. Int. J. Food Sci. 2019, 2, 1–8. [Google Scholar] [CrossRef]
  40. Barreca, D.; Trombetta, D.; Smeriglio, A.; Mandalari, G.; Romeo, O.; Felice, M.R.; Gattuso, G.; Nabavi, S.M. Food Flavonols: Nutraceuticals with Complex Health Benefits and Functionalities. Trends Food Sci. Technol. 2021, 117, 194–204. [Google Scholar] [CrossRef]
  41. Gómez-Rico, A.; Fregapane, G.; Salvador, M.D. Effect of Cultivar and Ripening on Minor Components in Spanish Olive Fruits and Their Corresponding Virgin Olive Oils. Food Res. Int. 2008, 41, 433–440. [Google Scholar] [CrossRef]
  42. Gutierrez-Rosales, F.; Romero, M.P.; Casanovas, M.; Motilva, M.J.; Mínguez-Mosquera, M.I. Metabolites Involved in Oleuropein Accumulation and Degradation in Fruits of Olea Europaea L.: Hojiblanca and Arbequina Varieties. J. Agric. Food Chem. 2010, 58, 12924–12933. [Google Scholar] [CrossRef]
  43. Ramírez, E.; Brenes, M.; García, P.; Medina, E.; Romero, C. Oleuropein Hydrolysis in Natural Green Olives: Importance of the Endogenous Enzymes. Food Chem. 2016, 206, 204–209. [Google Scholar] [CrossRef] [Green Version]
  44. Talhaoui, N.; Gómez-Caravaca, A.M.; León, L.; De La Rosa, R.; Fernández-Gutiérrez, A.; Segura-Carretero, A. Pattern of Variation of Fruit Traits and Phenol Content in Olive Fruits from Six Different Cultivars. J. Agric. Food Chem. 2015, 63, 10466–10476. [Google Scholar] [CrossRef] [PubMed]
  45. Alipieva, K.; Korkina, L.; Orhan, I.E.; Georgiev, M.I. Verbascoside—A Review of Its Occurrence, (Bio)Synthesis and Pharmacological Significance. Biotechnol. Adv. 2014, 32, 1065–1076. [Google Scholar] [CrossRef] [PubMed]
  46. Ben Ghorbal, A.; Leventdurur, S.; Agirman, B.; Boyaci-Gunduz, C.P.; Kelebek, H.; Carsanba, E.; Darici, M.; Erten, H. Influence of Geographic Origin on Agronomic Traits and Phenolic Content of Cv. Gemlik Olive Fruits. J. Food Compos. Anal. 2018, 74, 1–9. [Google Scholar] [CrossRef]
  47. Vinha, A.F.; Ferreres, F.; Silva, B.M.; Valentão, P.; Gonçalves, A.; Pereira, J.A.; Oliveira, M.B.; Seabra, R.M.; Andrade, P.B. Phenolic Profiles of Portuguese Olive Fruits (Olea Europaea L.): Influences of Cultivar and Geographical Origin. Food Chem. 2005, 89, 561–568. [Google Scholar] [CrossRef]
  48. Omar, S.H. Cardioprotective and Neuroprotective Roles of Oleuropein in Olive. Saudi Pharm. J. 2010, 18, 111–121. [Google Scholar] [CrossRef]
  49. Chatzikonstantinou, A.V.; Gkantzou, E.; Thomou, E.; Chalmpes, N.; Lyra, K.M.; Kontogianni, V.G.; Spyrou, K.; Patila, M.; Gournis, D.; Stamatis, H. Enzymatic Conversion of Oleuropein to Hydroxytyrosol Using Immobilized β-Glucosidase on Porous Carbon Cuboids. Nanomaterials 2019, 9, 1166. [Google Scholar] [CrossRef] [Green Version]
Figure 1. Olives cv. ‘Leccino’ collected at four ripening stages: 0—entirely green or yellow, <50—less than half colored, >50—more than half colored, 100—entirely colored.
Figure 1. Olives cv. ‘Leccino’ collected at four ripening stages: 0—entirely green or yellow, <50—less than half colored, >50—more than half colored, 100—entirely colored.
Agriculture 12 01347 g001
Figure 2. Sugar content (mg/g FW) of cultivar ‘Leccino’ in pulp (a) and skin (b) during ripening. The content is expressed as the mean ± standard error (n = 4). Different letters indicate statistically significant differences between ripening stages (p ≤ 0.05).
Figure 2. Sugar content (mg/g FW) of cultivar ‘Leccino’ in pulp (a) and skin (b) during ripening. The content is expressed as the mean ± standard error (n = 4). Different letters indicate statistically significant differences between ripening stages (p ≤ 0.05).
Agriculture 12 01347 g002
Figure 3. Heatmap with means of phenolic compounds present in olive fruits in the skin and pulp during ripening. Data are means of four replicates. phenolic compounds are calculated using their standards.
Figure 3. Heatmap with means of phenolic compounds present in olive fruits in the skin and pulp during ripening. Data are means of four replicates. phenolic compounds are calculated using their standards.
Agriculture 12 01347 g003
Table 1. Fruit characteristics (fruit, mesocarp and stone weight, fruit firmness, fruit diameter and length, mesocarp:stone weight ratio) of olive fruits of the cultivar ‘Leccino’ at different ripening stages, MI and oil content of olives.
Table 1. Fruit characteristics (fruit, mesocarp and stone weight, fruit firmness, fruit diameter and length, mesocarp:stone weight ratio) of olive fruits of the cultivar ‘Leccino’ at different ripening stages, MI and oil content of olives.
0<50>50100
MI1234
Fruit weight (g)1.50 ± 0.31 a1.61 ± 0.25 a1.85 ± 0.26 b2.13 ± 0.35 c
Fruit firmness (g/mm2)289.97 ± 30.59 a258.89 ± 27.44 b239.97 ± 21.14 c135.95 ± 22.87 d
Fruit length (mm)17.03 ± 1.12 a17.36 ± 0.97 a18.05 ± 1.01 b18.55 ± 1.26 b
Fruit diameter (mm)12.16 ± 0.90 a12.56 ± 0.68 b13.34 ± 0.73 c13.9 ± 0.78 d
Stone weight (g)0.40 ± 0.08 a0.40 ± 0.06 a0.43 ± 0.05 a0.42 ± 0.06 a
Mesocarp weight (g)1.10 ± 0.25 a1.22 ± 0.20 a1.41 ± 0.25 b1.69 ± 0.29 c
Mesocarp: stone weight ratio2.73 ± 0.42 a3.07 ± 0.36 b3.31 ± 0.58 c3.98 ± 0.47 d
Oil content (%)4.58 ± 0.4 a4.76 ± 0.9 ab4.94 ± 0.8 ab5.11 ± 0.5 b
Contents are means ± SD. Different letters indicate statistically significant differences between ripening stages (p ≤ 0.05).
Table 2. Color parameters of the green and colored parts of skin and pulp of olive fruits at different ripening stages.
Table 2. Color parameters of the green and colored parts of skin and pulp of olive fruits at different ripening stages.
Ripening StageL*a*b*
MIGreen Part of Skin
049.10 ± 1.72 b−6.03 ± 1.12 a40.11 ± 1.88 b
<5048.77 ± 1.93 b−4.28 ± 2.13 b39.22 ± 2.51 b
>5046.84 ± 2.61 a−1.63 ± 2.42 c35.74 ± 3.75 a
Coloured part of skin
<5029.51 ± 4.56 b7.74 ± 1.34 b13.21 ± 5.69 c
>5022.08 ± 1.94 a6.85 ± 2.59 b4.91 ± 2.36 b
10021.06 ± 0.51 a1.91 ± 1.00 a2.43 ± 0.43 a
Pulp
054.19 ± 1.97 a−4.00 ± 0.78 a35.54 ± 1.31 c
<5053.08 ± 3.06 a−3.02 ± 1.24 b34.77 ± 1.37 bc
>5065.09 ± 69.01 a−2.8 ± 1.26 b33.52 ± 3.53 b
10059.48 ± 3.26 a0.10 ± 1.46 c30.82 ± 2.77 a
Values are means ± SD of four parallel measurements. Different letters indicate statistically significant differences between ripening stages (p ≤ 0.05).
Table 3. TPC, TTC (mg/100 g FW) and sum contents of flavones, flavonols, secoiridoids, hydroxycinnamic acids and anthocyanins in olives pulp and skin during ripening (mg/kg FW).
Table 3. TPC, TTC (mg/100 g FW) and sum contents of flavones, flavonols, secoiridoids, hydroxycinnamic acids and anthocyanins in olives pulp and skin during ripening (mg/kg FW).
Total Compounds0<50>50100
Pulp
TPC1105.07 ± 34.46 c865.65 ± 52.96 ba930.25 ± 33.70 b791.52 ± 52.47 a
TTC756.37 ± 61.23 c427.02 ± 101.56 ba509.21 ± 107.00 b253.81 ± 95.20 a
Flavones672.47 ± 139.70 a556.75 ± 147.07 a637.49 ± 68.20 a507.16 ± 77.00 a
Flavonols90.86 ± 17.81 a147.32 ± 3.96 b223.06 ± 33.91 c296.88 ± 19.12 d
Secoiridoids7048.66 ± 435.37 b4578.90 ± 749.05 a5157.48 ± 580.01 a4141.08 ± 538.39 ab
Hydroxycinnamic acids194.03 ± 42.83 a211.21 ± 51.93 a264.41 ± 45.29 a269.46 ± 22.51 a
Anthocyanins0.00 ± 0.00 a0.00 ± 0.00 a0.00 ± 0.00 a10.28 ± 2.35 b
Skin
TPC2219.60 ± 93.51 ab2121.89 ± 142.41 a2123.05 ± 143.47 a2724.83 ± 443.79 b
TTC1438.30 ± 34.01 a1275.69 ± 102.48 a1415.83 ± 141.44 a2384.46 ± 47.94 b
Flavones6050.49 ± 412.90 a8149.78 ± 533.69 ab11,066.85 ± 1074.67 bc11,914.67 ± 2933.17 c
Flavonols285.16 ± 22.55 a345.94 ± 45.29 ab394.03 ± 26.47 ab431.20 ± 32.25 b
Secoiridoids28,554.76 ± 2284.38 a25,486.37 ± 2039.93 a27,063.77 ± 1510.62 a30,312.52 ± 4585.19 a
Hydroxycinnamic acids694.46 ± 123.39 a944.76 ± 81.83 a1108.64 ± 103.68 bc1127.21 ± 147.92 c
Anthocyanins260.94 ± 128.66 a2349.45 ± 402.43 a6441.14 ± 1632.03 a30,884.14 ± 6634.22 b
The total phenolic content (TPC) and the total tannin content (TTC) are expressed as the gallic acid equivalent and tannic acid equivalent, respectively, while phenolic compounds are calculated using their standards. Data represent means ± SD. Different letters indicate statistically significant differences between ripening stages (p ≤ 0.05).
Publisher’s Note: MDPI stays neutral with regard to jurisdictional claims in published maps and institutional affiliations.

Share and Cite

MDPI and ACS Style

Ivancic, T.; Jakopic, J.; Veberic, R.; Vesel, V.; Hudina, M. Effect of Ripening on the Phenolic and Sugar Contents in the Meso- and Epicarp of Olive Fruits (Olea europaea L.) Cultivar ‘Leccino’. Agriculture 2022, 12, 1347. https://doi.org/10.3390/agriculture12091347

AMA Style

Ivancic T, Jakopic J, Veberic R, Vesel V, Hudina M. Effect of Ripening on the Phenolic and Sugar Contents in the Meso- and Epicarp of Olive Fruits (Olea europaea L.) Cultivar ‘Leccino’. Agriculture. 2022; 12(9):1347. https://doi.org/10.3390/agriculture12091347

Chicago/Turabian Style

Ivancic, Tea, Jerneja Jakopic, Robert Veberic, Viljanka Vesel, and Metka Hudina. 2022. "Effect of Ripening on the Phenolic and Sugar Contents in the Meso- and Epicarp of Olive Fruits (Olea europaea L.) Cultivar ‘Leccino’" Agriculture 12, no. 9: 1347. https://doi.org/10.3390/agriculture12091347

APA Style

Ivancic, T., Jakopic, J., Veberic, R., Vesel, V., & Hudina, M. (2022). Effect of Ripening on the Phenolic and Sugar Contents in the Meso- and Epicarp of Olive Fruits (Olea europaea L.) Cultivar ‘Leccino’. Agriculture, 12(9), 1347. https://doi.org/10.3390/agriculture12091347

Note that from the first issue of 2016, this journal uses article numbers instead of page numbers. See further details here.

Article Metrics

Back to TopTop