Next Article in Journal
Fusing Gradient, Intensity Accumulation, and Region Contrast for Robust Infrared Dim-Small Target Detection
Next Article in Special Issue
Muffins Enriched with the Polysaccharide Fraction Residue After Isolation of Starch from Unripe Apples—Nutritional Composition, Profile of Phenolic Compounds, and Oxidation Stability
Previous Article in Journal
Conditional GAN-Based Two-Stage ISP Tuning Method: A Reconstruction–Enhancement Proxy Framework
 
 
Font Type:
Arial Georgia Verdana
Font Size:
Aa Aa Aa
Line Spacing:
Column Width:
Background:
Article

Production of Starch Esters by Roasting Potato Starch with Unripe Apple Juice

by
Wioletta Drożdż
,
Małgorzata Kapelko-Żeberska
*,
Tomasz Zięba
,
Artur Gryszkin
,
Ewa Tomaszewska-Ciosk
and
Urszula Sielczak
Department of Food Storage and Technology, Faculty of Food Science, Wrocław University of Environmental and Life Sciences, Chełmońskiego Str. 37, 51-630 Wrocław, Poland
*
Author to whom correspondence should be addressed.
Appl. Sci. 2025, 15(6), 3374; https://doi.org/10.3390/app15063374
Submission received: 25 February 2025 / Revised: 14 March 2025 / Accepted: 18 March 2025 / Published: 19 March 2025
(This article belongs to the Special Issue Food Polysaccharides: Chemistry, Technology and Applications)

Abstract

Within the framework of this study, starch esters were produced from potato starch roasted with unripe apple juice concentrate. Starch roasting with an apple juice concentrate at temperatures of 70 °C, 80 °C, and 100 °C enabled the production of preparations with a low degree of substitution, whereas starch roasting at 120°C and 140 °C produced preparations with a high degree of substitution. The latter had a significant effect on the properties of the malates produced. The esters with a low degree of substitution featured higher solubility in water and swelling power, higher initial and end pasting temperatures, and higher viscosity compared to those with a low degree of substitution. An increasing substitution degree was accompanied by diminished susceptibility of the starch esters to the effects of amylolytic enzymes, which suggests the presence of resistant starch in the modified preparations. Production of starch esters with the use of a natural apple concentrate may offer a viable alternative to conventional chemical modifications applied in the food industry and an environmentally friendly method for producing modified starch preparations applicable in the manufacture of low-energy foods with potential health benefits.

1. Introduction

Starch is the second most abundant organic compound in nature following cellulose. It is produced by higher plants and accumulated as a storage substance in grains (e.g., maize, wheat, rice, and sorghum) or tubers and rhizomes (e.g., potato and cassava) and also in seeds, stems, leaves, and fruits. It occurs in the form of granules, the shape and size of which are typical of the plant species it derives from [1]. However, the applicability of native starch in various industry branches is limited due to its low resistance to the effects of shear forces and high temperatures and pressures and low solubility and susceptibility to the effects of amylolytic enzymes. Its broader applications require modification of its properties to desirable ones (capability for pasting, swelling, and film formation; solubility; swelling power; retrogradation; rheological properties; etc.) [2]. Modified starch is extensively used in both the food processing and non-food industries (textile, paper, pharmaceutical, cosmetic, plastics, and glue industries and others) [3], and its modification entails physical, chemical, or biochemical factors and combinations thereof.
The morphology of a starch granule and its high reactability with various chemical compounds make the application of chemical agents one of the most common strategies for its modification [4]. Among the chemically modified starches, the acetylated starch (E1420), obtained upon starch reaction with acetic acid or acetic acid anhydride in the alkaline medium, has been most extensively harnessed in the food industry. This modified preparation offers stabilizing and thickening properties and is applied, most of all, to produce instant noodles, pastry and bakery products, sauces, soups, powdered concentrates, yogurts, and cottage cheeses [5]. Apart from starch acetates, the food industry makes use of other modified starch preparations acting as stabilizers, thickeners, or binding substances, like starch monophosphate (E1410) or cross-linked starches, including distarch phosphate (E1412), acetylated distarch phosphate (E1414), and acetylated distarch adipate (E1422) [6].
The chemical modification is the most common method for imparting new properties to starch. However, its application may be severely hampered given the toxicity of the resulting by-products and their adverse effects on the natural environment. Therefore, an intensive search is underway for chemical substances not compromising human health and safe for the environment, on the one hand, and effective in modifying starch preparations, on the other hand. These include organic acids, like citric acid and malic acid, which are used for starch esterification and cross-linking and considered to be safe food additives (E330 and E296, respectively). Investigations into the production of starch citrates have been conducted for 50 years [7], and the properties of these modified starch preparations, differing as affected by reaction conditions, the botanical origin of starch, or its degree of substitution, have been extensively described in the scientific literature [8]. In the food industry, starch citrates are mainly applied to enrich food with resistant starch (RS4), characterized by a reduced susceptibility to the effects of amylolytic enzymes and exhibiting properties of dietary fiber [8]. Starch citrates are produced using, among others, malic acid, which is a safe and non-toxic compound whose structure and properties resemble those of citric acid [9]. Similarly to citrates, malates are classified as resistant starch preparations and produced primarily to enrich food with this valuable component [10]. Organic acids are produced on the industrial scale by means of chemical, enzymatic, or biotechnological methods. However, they can be found in most fruits and vegetables. Malic acid (L-malic acid) occurs commonly in fruits and is a major organic acid of apple juice [11]. The leading global producers of apples are China and the European Union, with an annual production of nearly 13 million tons in 2022 recorded for the latter [12]. In turn, Poland is the undisputed leader in apple production among the EU Member States. Over half of the apples produced in Poland are intended for processing. Ca. 90% of these include industrial apples, i.e., those of different varieties and with different degrees of ripeness, which are used for apple juice production [13]. For this reason, apple juice differs throughout the processing campaign in terms of active acidity, total acid content, and percentage share of individual acids depending on the production date. The increase in the total acid content, mainly malic acid, is related to the use of mostly unripe apples for juice production [14]. The content of malic acid increases during the growth of young fruits, reaching the maximum value, and then decreases during their further growth and ripening [15]. A decrease in its content is mainly due to its consumption as an important substrate in the respiration process [15]. In addition, the malic acid content of ripening fruits decreases as a result of many transformations, including gluconeogenesis resulting in the production of sugars, tricarboxylic acids cycle (TCA), alcoholic fermentation, and the formation of complex secondary compounds, like anthocyanins and flavonols [16].
The scientific literature widely describes the properties of starch esters produced using organic acids, but the novelty in this respect is the use of natural sources of these acids, like fruit juices. Apple juice is a natural source of malic acid, which, when appropriate technologies are used, can offer a cheap and safe raw material for the production of esterified starch. In our previous study, we used apple distillery wastewater to produce starch esters, while the aims of this work were to produce potato starch esters by roasting starch with unripe apple juice concentrate at different temperatures and to analyze the properties of the modified preparations.

2. Materials and Methods

2.1. Materials

The experimental material included superior-standard potato starch produced in 2023 by the Przedsiębiorstwo Przemysłu Spożywczego PEPEES S.A. in Łomża (Łomża, Poland) and unripe apples of Idared cultivar collected in apple orchards in Trzebnica (Trzebnica, Poland).
Dextrozyme DX 1.5X (DX), which contains glucoamylase (255 AGU/g) and pullulanase (510 NPUN/g), and Liquozyme Supra (LS), which is alpha-amylase (135 KNU/g), were purchased from NOVONESIS (Lyngby, Denmark).

2.2. Preparation of Unripe Apple Juice Concentrate

Apple juice with a concentration of 11°Bx was made of Idared cultivar apples using a Zelmer ZJP3900 juice extractor. Next, it was concentrated in an air-dryer (Memmert, Schwabach, Germany) at a temperature of 35 °C until 50°Bx. Its pH was then adjusted to pH = 3.5 by means of a pH meter (Mettler Toledo, Columbus, OH, USA) using 10M NaOH.

2.3. Production of Preparations of Potato Starch Roasted with Apple Juice Concentrate

Native potato starch was saturated with the apple juice concentrate (having a concentration of 50°Bx) in the amount of 30 g dry matter per 100 g starch dry weight, conditioned at a temperature of 25 °C for 24 h, dried in an air-dryer (Memmert, Schwabach, Germany) at a temperature of 50 °C for 48 h, ground in a laboratory grinder, and sieved through a screen with a mesh size of 400 µm. Native starch with the concentrate was roasted in an air-dryer (Memmert, Schwabach, Germany) at temperatures of 70, 80, 100, 120, or 140 °C for 3 h. The roasted preparations were rinsed with an aqueous solution of ethyl alcohol with a concentration of 65% until the supernatant became colorless (at an alcohol-to-preparation ratio of 3:1). The produced preparations were dried in an air-dryer (Memmert, Schwabach, Germany) at a temperature of 35 °C, ground, and sieved through a screen with a mesh size of 400 μm. Preparations produced in an analogous way but without apple juice concentrate served as control samples.

2.4. Qualitative and Quantitative Analysis of Organic Acids of the Unripe Apple Juice Concentrate by Means of a Liquid Chromatography–Mass Spectrometry Technique

A sample of concentrated juice was 1000-fold diluted in water with purity suitable for mass spectrometry analyses. Concentrations of citric and malic acids were determined using an LCMS 8045 apparatus with an HPLC Prominence-i LC2030C 3D Plus unit (Shimadzu, Kyoto, Japan). Analytes were separated on a Kinetex 2.6 µm C18 100A 100 × 3 mm column (Phenomenex, Torrance, CA, USA). Eluents used included a 0.1% solution of formic acid (A) and acetonitrile (B) and were applied in the following gradient system: start 10% B, 20% B in 5 min, 80% B in 10 min, 10% B in 13 min, and 10% B in 17 min.
The acids were identified and quantified using the MRM negative ionization mode. In the case of citric acid, the precursor ion was selected at 191.4 m/z and the fragmentation ions at 110.95, 86.95, and 85.0, whereas in the case of malic acid, the precursor ion was selected at 149.4 m/z and the fragmentation ions at 86.90, 72.95, and 43.0. The acids were quantified against a 5-point calibration curve.

2.5. Qualitative and Quantitative Analysis of Starch Esters by Means of High-Performance Liquid Chromatography (HPLC) Technique with the Calibration Curve Method

Chromatographic analysis of organic acids was conducted after refining the preparations (which allows assuming that all free acids were removed from the sample) and alkaline deesterification of starch esters [17]. The preparation (20 g on dry matter basis) was transferred to a conical flask using 300 mL of distilled water. The suspension was brought to a boil and stirred until the preparation dissolved completely. After cooling, 1 L of rectified ethanol was poured into the flask to enable starch precipitation. After 24 h, the excess of a clear solution was decanted from above the precipitate. The refining process was repeated three times, and the resulting preparation was dried in an air-dryer (Memmert, Schwabach, Germany) at a temperature of 35 °C, ground, and sieved through a screen with a mesh size of 400 µm. Next, alkaline deesterification was performed by mixing 2 g of the preparation (on a dry matter basis) and 100 mL of 0.5M NaOH on a magnetic stirrer at a temperature of 35 °C for 12 h. Afterward, 400 mL of rectified ethanol was added to a homogenous solution to enable starch precipitation. The obtained solution was concentrated by evaporating the solvent on a Rotavapor R II rotary evaporator (BUCHI, Flawil, Switzerland) at a compaction temperature of 55 °C and vacuum compaction of 120 mbar to a volume of 10 mL, and then 1 mL was filtered through a Millipore membrane filter with a pore size of 0.45 µm and analyzed using high-performance liquid chromatography (HPLC). Contents of organic acids were determined using 10 µL of the filtered supernatant by means of the HPLC technique (Hewlett–Packard 1100 series; Hewlett–Packard, Wilmington, DE, USA) with 0.1% orthophosphoric acid elution buffer at a flow rate of 0.5 mL min−1 using a Supelcogel TM C–610H column (30 cm × 7.8 mm) with a pre-column (Supelguard 5 cm × 4.6 mm; Supelco, Inc., Bellefonte, PA, USA). Absorbance was measured at a wavelength of 210 nm using a detector with a diode matrix (DAD). Calibration curves (R2 = 0.9990) were plotted in three replications using standards of organic acids purchased from Sigma company (Poole, UK). Results were expressed in grams per 100 mL of fresh weight (FW), whereas the degree of substitution was expressed as the percentage content of acid residues in the preparations.

2.6. Determination of Swelling Power and Solubility in Water of Starch Preparation at a Temperature of 80 °C

A total of 200 mL of a 1% aqueous suspension of a modified starch preparation was prepared in a round-bottom flask. Next, the flask with contents was placed in a water bath with shaking at a temperature of 80 °C. Once the temperature inside the flask had reached 80 °C, the suspension was kept in these conditions for 30 min, after which the solution was cooled to 20 C and the water lost was replenished. From one round-bottom flask, 50 g of starch paste was weighed into three centrifuge tubes, which were then centrifuged at 14,500 rpm and 20 °C for 30 min using a Biofuge 28RS centrifuge (Heraeus Sepetach, Hanau, Germany). After centrifugation, the dry matter content of the supernatant was determined with the oven drying method at 105 °C, whereas the precipitate left in the centrifuge tubes was weighed [18].

2.7. Determination of Thermal Characteristics of the Modified Starch Preparations with Differential Scanning Calorimetry (DSC)

Determination was performed using a DSC 822E differential scanning calorimeter (Mettler Toledo, Columbus, OH, USA) [19]. Measurements were conducted in a temperature range of 25 to 100 °C at a heating rate of 4 °C/min. Analyses were performed using 100 µL aluminum crucibles with lids (ME-5119872). Redistilled water was added to 10 mg of the preparation on a dry weight basis (weighed with the accuracy of ±0.02 mg) at a ratio of 3:1. The measuring crucible was covered with a lid and conditioned at a temperature of 20 °C for 30 min. The obtained thermographs allowed for determining the initial and end temperature of pasting and the heat of phase transition.

2.8. Determination of Rheological Properties of Starch Pastes Using a Haake Oscillating–Rotating Viscometer

The properties of the starch pastes were determined based on flow curves using an RS 6000 Rheostress oscillating–rotating viscosimeter (Haake, Karlsruhe, Germany) [20]. To this end, a 5% starch paste was prepared that was heated under continuous stirring at a temperature of 96 °C for 30 min. The hot paste was transferred to a system of coaxial cylinders (Z38AL type) of the RS 6000 rheometer, cooled, relaxed at 50 °C for 15 min, and subjected to measurements at a shear rate of 1–300 1/s. The determined flow curves were described with Ostwald de Waele’s and Casson’s models.

2.9. Color Determination of Starch Preparations

Color difference (darkening) ∆E was calculated from Hunter color scale values (L, a, b) and determined with a Konica Minolta CR–5 chronometer in reference to native starch [21]. The total color difference was calculated using the following formula:
ΔE = (ΔL2 + Δa2 + Δb2)½

2.10. Resistance of Starch Preparations to the Action of Amyloglucosidase

A 0.36 g portion of starch preparations or modified starch preparations per 100 g solution was prepared in a conical flask, which was then kept at a boiling temperature for 5 min. The suspension was then cooled, evaporated water was measured to the weight of 38 g, and 34 mL of an acetate buffer (pH 4.5) was added. The flask was placed in a water bath with a shaker at a temperature of 37 °C, and 4 mL of an amyloglucosidase solution was added (enzyme to acetate buffer ratio was at 1:100). After 20 min and 1, 2, or 3 h (or until the maximal saccharification of the preparation), 1 mL of the hydrolysate was collected to a centrifuge tube and centrifuged at 5000 rpm for 5 min in an MPW 312 centrifuge. Then, 10 µL of the supernatant was collected from the centrifuge sample, transferred to a microcuvette containing 1 mL of a BIOSYSTEM reagent (Barcelona, Spain), stirred, and incubated at a temperature of 20 °C for 15 min. Absorbance was measured at a wavelength of λ = 500 nm using a CECIL CE 2010 colorimeter (Villenave d’Ornon, France) against a blank sample made of the reagent with the acetate buffer. The content of glucose was read out from the standard curve [20].

2.11. Statistical Analysis

Experimental results were subjected to statistical analysis using Statistica 13.3 package (StatSoft, Cary, NC, USA).
The statistical computations (from at least three parallel replications) enabled determining values of the least significant differences (LSDs) and standard deviations. For statistical evaluation, the results were subjected to two-way analysis of variance (selected results were additionally subjected to one-way analysis of variance) at a significance level of 0.05. Values of the least significant difference (LSD) between the means were computed using Duncan’s test at a significance level of 0.05.

3. Results and Discussion

Malic acid is widely used in the food industry as a preserving and flavor-enhancing agent. It has a mild taste and easily dissolves in organic solvents. The Food and Drug Administration (FDA) has given it the “Generally Recognized as Safe” (GRAS) status, whereas the Food Chemicals Codex (FCC) has classified it as a food-grade organic acid [22]. In the present study, malic acid turned out to be the major acid of the unripe apple juice concentrate used to produce starch malates. Its content was determined to be 38.87 g/100 g apple concentrate dry weight (Table 1). The concentrate also contained small amounts of other organic acids, i.e., 2.75 g of succinic acid, 0.28 g of lactic acid, and traces of oxalic and citric acid per 100 g of dry weight. The malic acid found in the concentrate was a natural esterifying agent, which enabled the production of esters differing in the degree of substitution depending on reaction conditions.
The number of malic acid residues esterified with starch during native starch roasting with the unripe apple juice concentrate is presented in Figure 1. As shown by the data in the figure, the degree of starch substitution increased along with the roasting temperature increase. However, lower roasting temperatures resulted in starch preparations with lower degrees of substitution (from 0.06 g/100 g to 0.12 g/100 g), whereas roasting at temperatures above 100 °C (120 °C and 140 °C) enabled producing preparations with a few-fold higher degree of esterification (0.55 g/100 g and 1.24 g/100 g, respectively). We observed a similar dependency in our previous study, where potato starch roasted with apple distillery wastewater at temperatures of 130 °C and 150 °C showed ca. 10-fold higher degree of substitution compared to the starch roasted at 110 °C [23]. The effect of roasting temperature on the degree of substitution of starch citrates was also reported by other authors, who demonstrated that when starch was treated with citric acid at lower temperatures, the main phenomenon observed was mild hydrolysis [24], whereas its treatment at temperatures exceeding 100 °C resulted in starch esterification, with citric acid observed as the main reaction [25].
Figure 2 presents the results of determinations of solubility in water (Figure 2B) and swelling power (Figure 2A) of the modified starch preparations. As can be seen from the data in the figures, the solubility of roasted native starch (N) increased along with increasing roasting temperature, reaching a value 20% higher in the case of starch roasted at the highest temperature compared to the native starch roasted at the lowest temperature tested. A similar dependency of starch solubility increase on the roasting temperature was also observed in our previous study [26], which demonstrated that the increased solubility of the analyzed preparations was due to the progressing starch thermolysis. Native starch esterification with the apple juice concentrate (NC) caused its solubility to increase compared to the control, except for the sample obtained upon starch roasting with the concentrate at the highest temperature tested (NC140), the solubility of which did not differ significantly from that of the control sample. When investigating the properties of starch citrates, Falade & Ayetigbo [27] also obtained esters exhibiting higher solubility in water compared to native starch. The solubility of esters produced upon starch roasting with the apple juice concentrate at a temperature of 100 °C ranged from 26% to 30%. Presumably, gentle heating of starch with apple juice concentrate leads to mild hydrolysis and amylose leaching from starch granules, which in turn contributes to the increased solubility of the modified preparations [24]. A further increase in roasting temperature caused a significant decrease in the solubility of the starch esters to a value below 19% in the case of those obtained upon starch roasting with the apple juice concentrate at the highest temperature tested. Most likely, the changes observed in the solubility of the produced malates were related to the degree of substitution of the obtained esters (Figure 1) because, as proved by other authors [28], starch esters with a low degree of substitution exhibit higher solubility in water compared to starches with a high degree of substitution.
The roasting of native starch (N) caused an insignificant increase in its swelling power along with a roasting temperature increase (from ca. 20 g/g to 25 g/g; Figure 2A). The samples obtained after starch roasting with the apple juice concentrate showed a lower swelling power compared to the control samples, but still, the difference between the samples increased with the increasing roasting temperature. Starch esters produced at roasting temperatures of 70–100 °C showed a similar swelling power, reaching 17.3 g/g on average, whereas roasting temperature increase over 100 °C caused a decrease in the swelling power of the produced malates to ca. 6.5 g/g (NC140). A reduced swelling power of starch esters, compared to the native starch, was confirmed in ample research [26,29]. High-temperature roasting of starch with apple juice concentrates probably leads to the cross-linking of starch chains, whereas the links formed impair water penetration and contribute to a decrease in the swelling power of the modified preparations [30]. In addition, Zavareze and Dias [31], who analyzed the properties of starch citrates, concluded that a decrease in their swelling power was due to the enhanced interaction between amylose and amylopectin molecules and strengthened intramolecular bonds. In turn, Hung et al. [32] ascribed the lower water capacity of starch citrate to the presence of short-chain molecules formed during acidic hydrolysis. Furthermore, Golachowski et al. [5] found that a change in the swelling power of starch esters was influenced by the degree of substitution, with the tendencies and extent of these changes depending on reaction conditions.
Figure 3 and Figure 4 present parameters describing the thermal characteristics of pasting of starch malates and roasted native starch. As can be concluded from the data in Figure 3A, the initial pasting temperature decreased along with an increasing roasting temperature in both types of preparations. Starch esterification with the apple juice concentrate at roasting temperatures from 70 to 100 °C (NC70, NC80, or NC100) caused an increase, whereas modification at temperatures above 100 °C (NC120 or NC140) caused a decrease in the initial pasting temperature compared to the control samples. An analogous tendency was observed for the end pasting temperature of the obtained preparations (Figure 3B). Similar changes in the pasting temperatures of starch and malates, as affected by roasting temperature, were observed in our previous work. These parameters of the pasting characteristics of the analyzed samples were most likely affected by the degree of substitution of starch esters, i.e., the higher the substitution degree, the higher the roasting temperature. Also, other authors reported a declining pasting temperature of esterified starch along with an increasing roasting temperature [33].
The heat of phase transition of the produced esters ranged from 12.44 J/g to 16.11 J/g (Figure 4). Its lowest value among all analyzed samples was determined for the starch roasted with the apple juice concentrate at the highest temperature tested. The heat of phase transition is a measure of starch crystallinity, and its decrease may result from the loss of the ordered starch structure [34]. The observed decrease in the heat of phase transition was probably due to the higher degree of substitution of this preparation, whereas the attachment of functional groups modified the arrangement of amylose and amylopectin chains, leading to the enlargement of the amorphous region of starch granules [35].
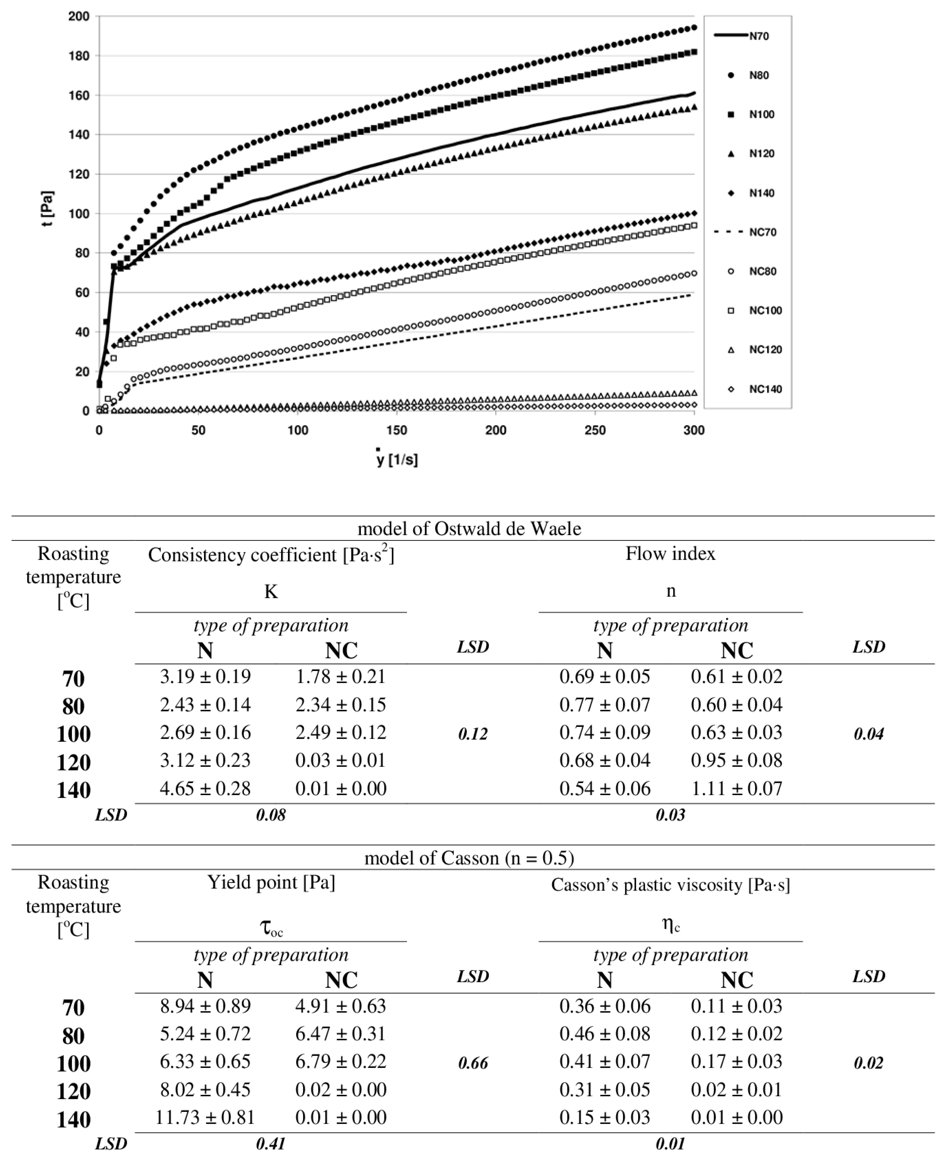
The rheological properties of pastes produced from starch roasted at various temperatures and starch esters produced with the use of the apple juice concentrate are presented in Figure 5. All analyzed samples, except for the starch roasted with the apple juice concentrate at the highest temperature tested, showed properties of shear-thinned non-Newtonian fluids, which is typical of starch pastes [36,37]. Among the pastes prepared from roasted native starch, the highest viscosity was determined in the entire course of the flow curves for the paste prepared from starch roasted at 80 °C (N80), whereas the lowest value of this parameter was determined for the paste produced from starch roasted at 140 °C (N140). Native starch roasting with the apple juice concentrate (NC) caused a significant decrease in the viscosity of pastes compared to the control samples, with the samples roasted at the highest temperatures tested (NC120 and NC140) exhibiting a drastic paste viscosity decrease. Changes in the viscosity of the investigated samples may also be observed by analyzing values of rheological parameters determined based on Ostwald de Waele’s and Casson’s rheological models. The decreased viscosity of the preparations obtained upon starch roasting with the apple juice concentrate was also indicated by the consistency coefficient (K), which decreased along with the increasing roasting temperature of the malates, reaching very low values (0.03 Pa·s2 and 0.01 Pa·s2) in the case of the preparations produced at temperatures higher than 100 °C (NC120 and NC140, respectively). The esters produced at the highest roasting temperatures tested were also not resistant to shear forces, as indicated by very low values of their plastic viscosity (0.02–0.01 Pa·s) determined based on Casson’s model. Likewise, starch roasting with the apple juice concentrate at a temperature above 120 °C caused a drastic decrease in paste viscosity, making determination of the above-discussed rheological parameters impossible in some cases [23]. The difference observed in the viscosity of pastes was most likely due to thermolysis progressing during starch roasting and the presence of organic acids in the apple juice concentrate [38], which might have accelerated the degradation of starch molecules at high temperatures. The decreased viscosity of the pastes prepared from starch esters could also be due to the formation of new functional groups during starch reaction with malic acid, which enhanced the interaction between two starch molecules by cross-linking. The bonds formed between starch chains make it difficult for these chains to unfold during gelatinization and increase the steric hindrance of water molecules, which in turn reduces the viscosity of starch malates [39].
The temperature of starch roasting also had a significant effect on the color change observed in the produced preparations. The darkening of native starch roasted with the apple juice concentrate (NC) intensified along with the increasing roasting temperature compared to the control samples (Figure 6). Compared to the native starch roasted at the lowest analyzed temperatures (N70 or N80), the native starch roasted with the apple juice concentrate at the same temperatures (NC70 or NC80) had the lowest value of the darkening index (ca. 3.5), whereas the higher roasting temperatures contributed to significant darkening of the analyzed preparations. This was probably due to the caramelization reaction [40] and Maillard reaction [41] proceeding under these conditions.
Figure 7 shows the susceptibility of native starch roasted at various temperatures and of the preparations produced from starch esterified with the apple juice concentrate to the action of amylolytic enzymes. Resistance of the roasted native starch (N) to the effects of amyloglucosidase was observed to increase along with the increasing roasting temperature. A similar dependency between starch susceptibility to amylolysis and roasting temperature was observed in our previous study [26]. Starch esterification caused a further significant increase in enzymatic resistance, with the higher resistance developed by the preparations along with the roasting temperature increase. The highest resistance to the action of amyloglucosidase, exceeding 40%, was determined for the starch roasted with the apple juice concentrate at the highest temperature tested in the study. The increase observed in the resistance of the produced malates to amylolytic enzymes was most likely due to the formation of resistant starch upon esterification. As demonstrated by Na et al. [42], the increase in resistant starch content noted during the heating of starches of various origins with malic acid was attributed to the partial damage of amylose and amylopectin structures in an acidic environment. Such conditions promote the substitution of hydroxyl groups with a malate group and starch molecule cross-linking. In turn, an increase in the content of cross-linked starch inhibits the action of amylolytic enzymes, thereby increasing the enzymatic resistance of the preparations. The increased enzymatic resistance of the produced preparations was also linked to the degree of substitution. Starch esters with a higher degree of substitution were characterized by a significantly higher resistance to amylolytic enzymes. We observed a similar dependency in our previous study with malates obtained upon potato starch heating with apple distillery wastewater [23]. Also, other authors demonstrated an increasing content of resistant starch along with an increasing degree of substitution of starch esterified with malic acid [9,10].
The present study results suggest that heating potato starch with juice from unripe apples offers an effective method for the production of preparations with a high content of resistant starch, which could be used as a food component with beneficial health-promoting effects. The availability of apples in our geographical region makes the technology based on the use of natural apple juice for starch modification economically viable and, above all, suitable to produce health-safe preparations with desired properties that can also be classified as clean-label ingredients. The developed method for starch malate production (starch modification using only natural ingredients and high temperature) with no need for the use of pure chemical compounds means that the modified preparations can be applied as safe food ingredients without any constraints resulting from legal regulations. In addition, the ease of producing modified starch preparations by means of the developed method may encourage its implementation not only by food producers but also in non-food industries, e.g., pharmacy, or in the production of biodegradable materials.

4. Conclusions

Potato starch heating with unripe apple juice enabled producing preparations with modified properties compared to native starch. Starch modification contributed to changes in the solubility in water, swelling power, viscosity, color, and thermal characteristics of the produced esters, with trends of these changes being dependent on the roasting temperature applied. Roasting temperature increases resulted in an increased degree of substitution of starch malates and their resistance to the effects of amylolytic enzymes, which suggests the presence of resistant starch. Hence, the heat treatment of starch with apple juice concentrate may be considered an innovative method for resistant starch production.

Author Contributions

Conceptualization, M.K.-Ż. and T.Z.; methodology, M.K.-Ż. and T.Z.; software, A.G.; validation, A.G. and U.S.; formal analysis, W.D.; investigation, E.T.-C.; resources, U.S.; data curation, A.G.; writing—original draft preparation, W.D. and M.K.-Ż.; writing—review and editing, M.K.-Ż. and T.Z.; visualization, W.D. and E.T.-C.; supervision, A.G.; project administration, M.K.-Ż.; funding acquisition, M.K.-Ż. All authors have read and agreed to the published version of the manuscript.

Funding

This work was supported by the Wrocław University of Environmental and Life Sciences (Poland) as part of the research project no N090/0019/23. The APC/BPC is financed/co-financed by Wrocław University of Environmental and Life Sciences

Institutional Review Board Statement

Not applicable.

Informed Consent Statement

Not applicable.

Data Availability Statement

The original contributions presented in the study are included in the article, further inquiries can be directed to the corresponding author.

Conflicts of Interest

The authors declare no conflicts of interest.

References

  1. Junejo, S.A.; Flanagan, B.M.; Zhang, B.; Dhital, S. Starch structure and nutritional functionality—Past revelations and future prospects. Carbohydr. Polym. 2022, 277, 118837. [Google Scholar] [CrossRef] [PubMed]
  2. Tharanathan, R.N. Starch—Value Addition by Modification. Crit. Rev. Food Sci. Nutr. 2005, 45, 371–384. [Google Scholar] [CrossRef] [PubMed]
  3. Adewale, P.; Yancheshmeh, M.S.; Lam, E. Starch modification for non-food, industrial applications: Market intelligence and critical review. Carbohydr. Polym. 2022, 291, 119590. [Google Scholar] [CrossRef] [PubMed]
  4. Masina, N.; Choonara, Y.E.; Kumar, P.; du Toit, L.C.; Govender, M.; Indermun, S.; Pillay, V. A review of the chemical modification techniques of starch. Carbohydr. Polym. 2017, 157, 1226–1236. [Google Scholar] [CrossRef]
  5. Golachowski, A.; Zięba, T.; Kapelko-Żeberska, M.; Drożdż, W.; Gryszkin, A.; Grzechac, M. Current research addressing starch acetylation. Food Chem. 2015, 176, 350–356. [Google Scholar] [CrossRef]
  6. Ramadan, M.F.; Sitohy, M.Z. Phosphorylated Starches: Preparation, Properties, Functionality, and Techno-Applications. Starch Stärke 2020, 72, 1900302. [Google Scholar] [CrossRef]
  7. Klaushofer, H.; Berghofer, E.; Steyrer, W. Starch citrates—Production and technical application properties. Starch 1978, 30, 47–51. [Google Scholar] [CrossRef]
  8. Golachowski, A.; Drożdż, W.; Golachowska, M.; Kapelko-Żeberska, M.; Raszewski, B. Production and Properties of Starch Citrates—Current Research. Foods 2020, 9, 1311. [Google Scholar] [CrossRef]
  9. Tian, S.; Yang, Y. Molecular characteristics and digestion properties of corn starch esterified by l-malic acid. J. Food Process. Preserv. 2021, 45, e15391. [Google Scholar] [CrossRef]
  10. Tian, S.; Gao, P.; Xue, X.; Yang, Y. Effect of malate starch on cooking, texture and digestion characteristics in vitro of medium glycemic noodles. Int. J. Gastron. Food Sci. 2022, 9, 100558. [Google Scholar] [CrossRef]
  11. Eisele, T.A.; Drake, S.R. The partial compositional characteristics of apple juice from 175 apple varieties. J. Food Compos. Anal. 2005, 18, 213–221. [Google Scholar] [CrossRef]
  12. Index Mundi. Available online: https://www.indexmundi.com/agriculture/?commodity=apples&graph=production (accessed on 20 January 2025).
  13. Agro Industry. Available online: https://www.agroindustry.pl/index.php/2019/04/29/rynek-jablek-w-polsce (accessed on 20 January 2025).
  14. Giryn, H.; Szteke, B.; Szymczyk, K. Wpływ procesu technologicznego i przechowywania na zawartość kwasów organicznych w zagęszczonych sokach jabłkowych. Żywność Nauka Technologia Jakość 2004, 2, 92–107. [Google Scholar]
  15. Etienne, A.; Génard, M.; Lobit, P.; Mbeguié-A-Mbéguié, D.; Bugaud, C. What controls fleshy fruit acidity? A review of malate and citrate accumulation in fruit cells. J. Exp. Bot. 2013, 64, 1451–1469. [Google Scholar] [CrossRef] [PubMed]
  16. Famiani, F.; Baldicchi, A.; Casulli, V.; Di Vaio, C.; Cruz-Castillo, J.G.; Walker, R.P. The occurrence of phosphoenolpyruvate carboxykinase (PEPCK) and enzymes related to photosynthesis and organic acid/nitrogen metabolism in apricot flowers (Prunus armeniaca L.). Acta Physiol. Plant. 2017, 39, 12. [Google Scholar] [CrossRef]
  17. Hernández, F.; Noguera-Artiaga, L.; Burló, F.; Wojdyło, A.; Carbonell–Barrachina, Á.A.; Legua, P. Physico–chemical, nutritional, and volatile composition and sensory profile of Spanish jujube (Ziziphus jujuba Mill.) fruits. J. Sci. Food Agric. 2016, 96, 2682–2691. [Google Scholar] [CrossRef]
  18. Richter, M.; Augustat, S.; Schierbaum, F. Ausgewählte Methoden der Stärkechemie: Isolierung, Charakterisierung und Analytik von Stärkepolysacchariden; Wissenschaftliche Verlagsgesellschaft m.b.H.: Stuttgart, Germany, 1968; p. 208. [Google Scholar]
  19. Zięba, T.; Szumny, A.; Kapelko, M. Properties of retrograded and acetylated starch preparations. Part 1. Structure, susceptibility to amylase, and quality of gelatinization. LWT Food Sci. Technol. 2011, 44, 1314–1320. [Google Scholar] [CrossRef]
  20. Zięba, T.; Kapelko, M.; Gryszkin, A. Selected properties of potato starch subjected to multiple physical and chemical modifications. Pol. J. Food Nutr. Sci. 2007, 57, 639–645. [Google Scholar]
  21. Clydesdale, F.M. Colorometry–Methodology and Applications. CRC Crit. Rev. Food Sci. Nutr. 1978, 10, 243–301. [Google Scholar] [CrossRef]
  22. Na, J.H.; Kim, H.R.; Kim, Y.; Lee, J.S.; Park, H.J.; Moon, T.W.; Lee, C.J. Structural characteristics of low-digestible sweet potato starch prepared by heat-moisture treatment. Int. J. Biol. Macromol. 2020, 151, 1049–1057. [Google Scholar] [CrossRef]
  23. Zięba, T.; Solińska, D.; Kapelko-Żeberska, M.; Gryszkin, A.; Babić, J.; Ačkar, Đ.; Hernández, F.; Lončarić, A.; Šubarić, D.; Jozinović, A. Properties of Potato Starch Roasted with Apple Distillery Wastewater. Polymers 2020, 12, 1668. [Google Scholar] [CrossRef]
  24. Surendra Babu, A.; Parimalavalli, R.; Rudra, S.G. Effect of citric acid concentration and hydrolysis time on physicochemical properties of sweet potato starches. Int. J. Biol. Macromol. 2015, 80, 557–565. [Google Scholar] [CrossRef] [PubMed]
  25. Xie, X.; Liu, Q. Development and Physicochemical Characterization of New Resistant Citrate Starch from Different Corn Starches. Starch Stärke 2004, 56, 364–370. [Google Scholar] [CrossRef]
  26. Kapelko-Żeberska, M.; Zięba, T.; Pietrzak, W.; Gryszkin, A. Effect of citric acid esterification conditions on the properties of the obtained resistant starch. Int. J. Food Sci. Technol. 2016, 51, 1647–1654. [Google Scholar] [CrossRef]
  27. Falade, K.O.; Ayetigbo, E.O. Effects of tempering (annealing), acid hydrolysis, low-citric acid substitution on chemical and physicochemical properites of starches of four yam (Dioscorea spp.) cultivars. J. Food Sci. Technol. 2017, 54, 1455–1466. [Google Scholar] [CrossRef]
  28. Wani, I.A.; Sogi, D.S.; Gill, B.S. Physicochemical properties of acetylated starches from some Indian kidney bean (Phaseolus vulgaris L.) cultivars. Int. J. Food Sci. Technol. 2012, 47, 1993–1999. [Google Scholar] [CrossRef]
  29. Lee, S.Y.; Lee, K.Y.; Lee, H.G. Effect of different pH conditions on the in vitro digestibility and physicochemical properties of citric acid-treated potato starch. Int. J. Biol. Macromol. 2018, 107, 1235–1241. [Google Scholar] [CrossRef]
  30. Shaikh, F.; Ali, T.M.; Mustafa, G.; Hasnain, A. Comparative study on effects of citric and lactic acid treatment on morphological, functional, resistant starch fraction and glycemic index of corn and sorghum starches. Int. J. Biol. Macromol. 2019, 135, 314–327. [Google Scholar] [CrossRef]
  31. da Rosa Zavareze, E.; Dias, A.R.G. Impact of heat-moisture treatment and annealing in starches: A review. Carbohydr. Polym. 2011, 83, 317–328. [Google Scholar] [CrossRef]
  32. Van Hung, P.; Huong, N.T.M.; Phi, N.T.L.; Tien, N.N.T. Physicochemical characteristics and in vitro digestibility of potato and cassava starches under organic acid and heat-moisture treatments. Int. J. Biol. Macromol. 2017, 95, 299–305. [Google Scholar] [CrossRef]
  33. Ma, X.; Chang, P.R.; Yu, J.; Stumborg, M. Properties of biodegradable citric acid-modified granular starch/thermoplastic pea starch composites. Carbohydr. Polym. 2009, 75, 1–8. [Google Scholar] [CrossRef]
  34. Hoover, R.; Vasanthan, T. Effect of heat-moisture treatment on the structure and physicochemical properties of cereal, legume, and tuber starches. Carbohydr. Res. 1994, 252, 33–53. [Google Scholar] [CrossRef] [PubMed]
  35. Wang, W.; Liu, T.; Zhi, W.; Zhou, Y.; Hu, A.; Zheng, J. Study on the Preparation and Digestibility of Malic Acid Sweet Potato Starch Ester under Microwave Assistance. Starch Stärke 2022, 74, 2200011. [Google Scholar] [CrossRef]
  36. Dey, A.; Sit, N. Modification of foxtail millet starch by combining physical, chemical and enzymatic methods. Int. J. Biol. Macromol. 2017, 95, 314–320. [Google Scholar] [CrossRef] [PubMed]
  37. Adamczyk, G.; Krystyjan, M.; Dobosz, A.; Sikora, M. Thixotropic properties of starch. żywność Nauka Technol. Jakość 2013, 6, 16–31. [Google Scholar] [CrossRef]
  38. Majzoobi, M.; Beparva, P.; Farahnaky, A.; Badii, F. Effects of malic acid and citric acid on the functional properties of native and cross-linked wheat starches. Starch Stärke 2013, 66, 491–495. [Google Scholar] [CrossRef]
  39. Tian, S.; Liu, C.; Zhao, R.; Wang, Z. Physicochemical Properties and Digestion Characteristics of Corn Starch Esterfied by Malic Acid. J. Food Sci. 2019, 84, 2059–2064. [Google Scholar] [CrossRef]
  40. Sengar, G.; Sharma, H.K. Food caramels: A review. J. Food Sci. Technol. 2012, 51, 1686–1696. [Google Scholar] [CrossRef]
  41. Martins, S.I.F.S.; Jongen, W.M.F.; Boekel, M.A.J.S. A review of Maillard reaction in food and implications to kinetic modeling. Trends Food Sci. Technol. 2020, 11, 364–373. [Google Scholar] [CrossRef]
  42. Na, J.H.; Jeong, G.A.; Park, H.J.; Lee, C.J. Impact of esterification with malic acid on the structural characteristics and in vitro digestibilities of different starches. Int. J. Biol. Macromol. 2021, 174, 540–548. [Google Scholar] [CrossRef]
Figure 1. Degree of substitution of esters obtained by roasting native starch with apple juice concentrate.
Figure 1. Degree of substitution of esters obtained by roasting native starch with apple juice concentrate.
Applsci 15 03374 g001
Figure 2. Swelling power (A) and solubility in water (B) of native starch and esters obtained by roasting native starch with apple juice concentrate.
Figure 2. Swelling power (A) and solubility in water (B) of native starch and esters obtained by roasting native starch with apple juice concentrate.
Applsci 15 03374 g002
Figure 3. Initial (A) and end temperature of pasting (B) of native starch and esters obtained by roasting native starch with apple juice concentrate.
Figure 3. Initial (A) and end temperature of pasting (B) of native starch and esters obtained by roasting native starch with apple juice concentrate.
Applsci 15 03374 g003
Figure 4. Heat of phase transition of pasting of native starch and esters obtained by roasting native starch with apple juice concentrate.
Figure 4. Heat of phase transition of pasting of native starch and esters obtained by roasting native starch with apple juice concentrate.
Applsci 15 03374 g004
Figure 5. Flow curves of pastes prepared from modified starch and mathematical parameters describing them.
Figure 5. Flow curves of pastes prepared from modified starch and mathematical parameters describing them.
Applsci 15 03374 g005
Figure 6. Darkening index of esters obtained by roasting native starch with apple juice concentrate.
Figure 6. Darkening index of esters obtained by roasting native starch with apple juice concentrate.
Applsci 15 03374 g006
Figure 7. Resistance to amylolysis of native starch and esters obtained by roasting native starch with apple juice concentrate.
Figure 7. Resistance to amylolysis of native starch and esters obtained by roasting native starch with apple juice concentrate.
Applsci 15 03374 g007
Table 1. Content of organic acids in unripe apple juice concentrate determined with the liquid chromatography–mass spectrometry technique.
Table 1. Content of organic acids in unripe apple juice concentrate determined with the liquid chromatography–mass spectrometry technique.
AcidMolecular FormulaContent of Acid in Unripe Apple Juice Concentrate
[g/100 g]
malicC4H6O538.87
lacticC6H8070.28
succinicC3H6O32.75
oxalicC2H2O2<0.1
citricC3H4O4<0.1
Disclaimer/Publisher’s Note: The statements, opinions and data contained in all publications are solely those of the individual author(s) and contributor(s) and not of MDPI and/or the editor(s). MDPI and/or the editor(s) disclaim responsibility for any injury to people or property resulting from any ideas, methods, instructions or products referred to in the content.

Share and Cite

MDPI and ACS Style

Drożdż, W.; Kapelko-Żeberska, M.; Zięba, T.; Gryszkin, A.; Tomaszewska-Ciosk, E.; Sielczak, U. Production of Starch Esters by Roasting Potato Starch with Unripe Apple Juice. Appl. Sci. 2025, 15, 3374. https://doi.org/10.3390/app15063374

AMA Style

Drożdż W, Kapelko-Żeberska M, Zięba T, Gryszkin A, Tomaszewska-Ciosk E, Sielczak U. Production of Starch Esters by Roasting Potato Starch with Unripe Apple Juice. Applied Sciences. 2025; 15(6):3374. https://doi.org/10.3390/app15063374

Chicago/Turabian Style

Drożdż, Wioletta, Małgorzata Kapelko-Żeberska, Tomasz Zięba, Artur Gryszkin, Ewa Tomaszewska-Ciosk, and Urszula Sielczak. 2025. "Production of Starch Esters by Roasting Potato Starch with Unripe Apple Juice" Applied Sciences 15, no. 6: 3374. https://doi.org/10.3390/app15063374

APA Style

Drożdż, W., Kapelko-Żeberska, M., Zięba, T., Gryszkin, A., Tomaszewska-Ciosk, E., & Sielczak, U. (2025). Production of Starch Esters by Roasting Potato Starch with Unripe Apple Juice. Applied Sciences, 15(6), 3374. https://doi.org/10.3390/app15063374

Note that from the first issue of 2016, this journal uses article numbers instead of page numbers. See further details here.

Article Metrics

Back to TopTop