Research on the Diffusion and Deposition Characteristics of Refrigerant Under Vertical Upward Leakage in a Confined Space
Abstract
1. Introduction
2. Development of the Numerical Model
2.1. Governing Equations
- (1)
- Continuity equation
- (2)
- Momentum conservation equation
- (3)
- Energy conservation equation
- (4)
- Component transport equation
- (5)
- Turbulence models
2.2. Geometric Models
- (1)
- The refrigerant leakage process is regarded as the leakage of gaseous refrigerant, and the physical properties of the leaking refrigerant are calculated using the physical properties at room temperature (25 °C) and atmospheric pressure (0.1 MPa);
- (2)
- The leakage process is regarded as uniform leakage, and the leakage rate is the average rate of the working medium in the leakage process.

2.3. Numerical Methods
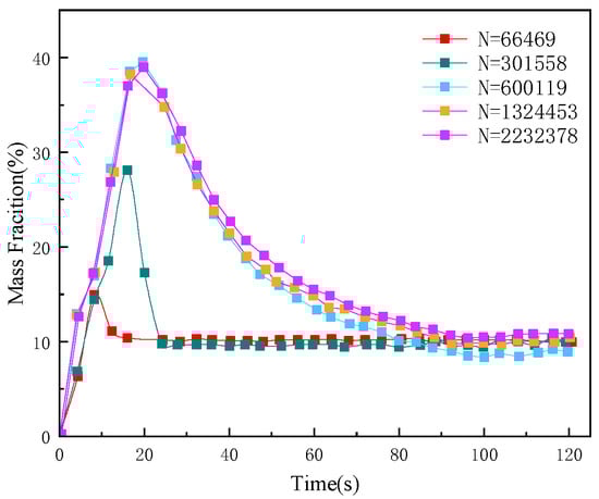
2.4. Grid Independence and Experimental Verification
3. Results and Discussion
3.1. Diffusion Characteristics of the Refrigerant During Vertical Upward Leakage
3.2. Deposition Characteristics of Refrigeration in a Confined Space After the Leak Ends
3.3. Research on the Explosion Area When Refrigerant Leaks Vertically Upwards
4. Conclusions
- (1)
- Upon vertical upward leakage within a confined space, the refrigerant initially contacts the top. It subsequently diffuses laterally along the top surface away from the leakage point. Refrigerants with higher densities tend to migrate downwards towards the floor, while those with lower densities exhibit a greater tendency to diffuse along the top and side walls of the combined space.
- (2)
- After the leakage stops, refrigerants with higher density such as R1234yf mainly diffuse laterally along the top surface, away from the leakage source. Denser refrigerants exhibit a greater tendency to settle towards the floor, whereas less dense refrigerants primarily diffuse along the top and side walls. R744, with its higher density and viscosity, demonstrates a higher concentration near the floor compared to R290. For refrigerants with lower densities, the concentration near the floor diminishes, while the concentration at the top increases, resulting in a less pronounced deposition effect.
- (3)
- The leakage amount and leakage duration have a significant impact on the formation and expansion of the flammability area. Considering the vertical upward leakage of R290 within a confined space as an example, increasing the leakage amount or prolonging the leakage duration results in a gradual expansion of the flammability area. This expansion encompasses a wider area, extending towards the top, walls, and floor of the combined space. Actually, at 300 s, the explosion region is at Y = 0.6 m. By 450 s, it reaches the ceiling. At 600 s, the area extends to Y = 0.9 m and spreads across the ceiling. By 750 s, the ceiling area spreads to Z = 0.7 m. At 900 s, it reaches Z = 1.05 m, with accumulation at the top and deposition near the wall. At 1050 s, the explosion area covers the entire ceiling and spreads down the wall, forming a new area near the wall due to refrigerant deposition.
Author Contributions
Funding
Institutional Review Board Statement
Informed Consent Statement
Data Availability Statement
Acknowledgments
Conflicts of Interest
Nomenclature
| t | leakage time, s |
| p | pressure, Pa |
| T | temperature, K |
| cp | constant pressure heat capacity, J/(kg·K) |
| kt | turbulent thermal conductivity, W/(m·K) |
| Dt | turbulent mass diffusion coefficient, m2/s |
| g | acceleration of gravity, m/s2 |
| u | velocity of refrigerant, m/s |
| f | friction coefficient of the pipeline wall |
| Greek symbols | |
| ρ | density, kg/m3 |
| μ | viscosity, kg/(m·s) |
| ω | mass fraction |
| Subscripts | |
| a | air |
| r | refrigerant |
| m | mixture |
| i, j | unit vector direction |
| t | turbulent |
| p | pressure |
| Acronyms | |
| GWP | global warming potential |
| HFCs | hydrofluorocarbons |
References
- Air Conditioners Market Global Forecast Report by Countries Covered in Commercial Air Conditioners Market (PAC, VRF) Room Air Conditioners Market (Window-Type, Split-Type) Types (Split Type (Single), Split Type (Multi), PAC, VRF, Others) Countries and Company Analysis, 2024–2032. Available online: https://www.renub.com/global-air-conditioner-market-p.php (accessed on 18 January 2025).
- Li, Y.; Yang, J.; Wu, X.; Liu, Y.; Zhuang, Y.; Zhou, P.; Han, X.; Chen, G. Leakage, Diffusion and Distribution Characteristics of Refrigerant in a Limited Space:A Comprehensive Review. Therm. Sci. Eng. Prog. 2023, 40, 101731. [Google Scholar] [CrossRef]
- Francis, C.; Maidment, G.; Davies, G. An Investigation of Refrigerant Leakage in Commercial Refrigeration. Int. J. Refrig. 2017, 74, 12–21. [Google Scholar] [CrossRef]
- Beshr, M.; Aute, V.; Sharma, V.; Abdelaziz, O.; Fricke, B.; Radermacher, R. A Comparative Study on the Environmental Impact of Supermarket Refrigeration Systems Using Low GWP Refrigerants. Int. J. Refrig. 2015, 56, 154–164. [Google Scholar] [CrossRef]
- U.N. Environment Programme. The Kigali Amendment to the Montreal Protocol: HFC Phase-Down|Ozonaction. Available online: https://www.unep.org/ozonaction/resources/factsheet/kigali-amendment-montreal-protocol-hfc-phase-down (accessed on 27 January 2025).
- The Kigali Amendment to the Montreal Protocol on Substances that Deplete the Ozone Layer_Ministry of Ecology and Environment of the People’s Republic of China. Available online: https://www.mee.gov.cn/ywgz/dqhjbh/xhcycwzhjgl/202106/t20210621_841063.shtml (accessed on 22 December 2024).
- F-Gases: New Rules on Labelling, Reporting, Certification and the F-Gas Portal—European Commission. Available online: https://climate.ec.europa.eu/news-your-voice/news/f-gases-new-rules-labelling-reporting-certification-and-f-gas-portal-2024-09-20_en (accessed on 22 December 2024).
- Yadav, S.; Liu, J.; Kim, S.C. A Comprehensive Study on 21st-Century Refrigerants—R290 and R1234yf: A Review. Int. J. Heat Mass Transf. 2022, 182, 121947. [Google Scholar] [CrossRef]
- Ibrahim, O.A.A.-M.; Kadhim, S.A.; Hammoodi, K.A.; Rashid, F.L.; Askar, A.H. Review of Hydrocarbon Refrigerants as Drop-in Alternatives to High-GWP Refrigerants in VCR Systems: The Case of R290. Clean. Eng. Technol. 2024, 23, 100825. [Google Scholar] [CrossRef]
- Zhao, S.; Li, X.; Wang, L.; Chang, M. State-space model development and dynamic performance simulation of solar-powered single-effect Libr-H2O absorption chiller. Renew. Energy 2025, 241, 122327. [Google Scholar] [CrossRef]
- Deng, N.; Sun, H.; Wang, H. Application of Hydrocarbon Refrigerant R600a/R290 in Refrigerator. Refrig. Air-Cond. 2022, 22, 37–41. [Google Scholar] [CrossRef]
- Niu, H.; Liu, X.; Wang, B.; Shi, W. Development, Research and Policy Status of Logistics Cold Storage in the Context of Carbon Neutrality: An Overview. Energy Build. 2024, 320, 114606. [Google Scholar] [CrossRef]
- Wang, L.; He, Y.; Ren, J.; Wang, D.; Dai, B.; Zhang, Z. Simulation of Diffusion of Combustible Refrigerants R1234yf and R290 Leakage in Automotive Air Conditioning. Int. J. Refrig. 2024, 168, 326–333. [Google Scholar] [CrossRef]
- Zhang, S.; Liu, R. Research on performance of R290 household air conditioner. Home Appl. Technol. 2024, 22–27. [Google Scholar] [CrossRef]
- Fang, Y.; Wu, M.; Guo, Z.; Ni, H.; Han, X.; Chen, G. Evaluation on Cycle Performance of R161 as a Drop-in Replacement for R407C in Small-Scale Air Conditioning Systems. J. Therm. Sci. 2022, 31, 2068–2076. [Google Scholar] [CrossRef]
- Zhang, S.; Yang, Z.; He, H.; Zhao, Y.; Hao, S.; Hou, Z.; Shu, Y. The Impact of Refrigerant Leakage on the Dynamic Operating Performance of R600a Refrigerator Systems. Appl. Therm. Eng. 2024, 257, 124228. [Google Scholar] [CrossRef]
- Ning, Q.; He, G.; Fan, M.; Xiong, J.; Li, X. Flammable Refrigerant Leakage Hazards Control for Split-Type Household Air Conditioners. Int. J. Refrig. 2022, 144, 188–201. [Google Scholar] [CrossRef]
- Zhang, W.; Yang, Z.; Li, J.; Ren, C.; Lv, D.; Wang, J.; Zhang, X.; Wu, W. Research on the Flammability Hazards of an Air Conditioner Using Refrigerant R-290. Int. J. Refrig. 2013, 36, 1483–1494. [Google Scholar] [CrossRef]
- Li, Y.; Zhou, P.; Zhuang, Y.; Wu, X.; Liu, Y.; Han, X.; Chen, G. An Improved Gas Leakage Model and Research on the Leakage Field Strength Characteristics of R290 in Limited Space. Appl. Sci. 2022, 12, 5657. [Google Scholar] [CrossRef]
- Li, Y.; Zhou, P.; Ye, G.; Yan, Y.; Ouyang, H.; Han, X. Diffusion and Distribution Characteristics of Refrigerants under Horizontal Leakage in a Confined Space. Refrig. Air-Cond. 2025, 64, 1–11. [Google Scholar]
- Li, Y.; Yang, J.; Wu, X.; Liu, Y.; Zhou, P.; Yan, Y.; Han, X. Research on the Field Strength Characteristics and the Flammable Area of Refrigerants Leakage into a Confined Space. Int. J. Refrig. 2023, 153, 308–322. [Google Scholar] [CrossRef]
- Maojuan, H.; Jinbo, L.; Zhe, L.; Tingxun, L. Experimental and Numerical Simulation Analysis of R-290 Air Conditioner Leak. Int. J. Refrig. 2018, 90, 163–173. [Google Scholar] [CrossRef]
- Elatar, A.; Abu-Heiba, A.; Patel, V.; Edwards, K.D.; Baxter, V.; Abdelaziz, O.; Zhang, M. Evaluation of Flammable Volume in the Case of a Catastrophic Leak of R-32 from a Rooftop Unit. Int. J. Refrig. 2018, 91, 39–45. [Google Scholar] [CrossRef]
- Colbourne, D.; Šuen, K. R290 Concentrations Arising from Leaks in Commercial Refrigeration Cabinets. In Proceedings of the 12th IIR Gustav Lorentzen Conference on Natural Refrigerants (GL2016), Édimbourg, UK, 21–24 August 2016. [Google Scholar] [CrossRef]
- Liu, Q.; Zhang, H.; Liu, Y.; Huang, H.; Zhang, X.; Li, Z.; Yao, W. Influencing Factors of Flammable Refrigerants Leaking in Building Air- Conditioning System. Procedia Eng. 2013, 62, 648–654. [Google Scholar] [CrossRef]
- Ram Prakash, C.; Gautham, M.; Mohan Lal, D.; Devotta, S.; Colbourne, D. CFD Simulation of HC-290 Leakage from a Split Type Room Air Conditioner. Proc. Inst. Mech. Eng. Part E J. Process Mech. Eng. 2021, 235, 1847–1857. [Google Scholar] [CrossRef]
- Papas, P.; Zhang, S.; Jiang, H.; Verma, P.; Rydkin, I.; Lord, R.; Burns, L. Computational Fluid Dynamics Modeling of Flammable Refrigerant Leaks inside Machine Rooms: Evaluation of Ventilation Mitigation Requirements. Sci. Technol. Built Environ. 2016, 22, 463–471. [Google Scholar] [CrossRef]
- Tang, W.; He, G.; Zhou, S.; Sun, W.; Cai, D.; Liu, F. The Experimental Study of R290 Mass Distribution and Indoor Leakage of 2 HP and 3 HP Split Type Household Air Conditioner. Int. J. Refrig. 2019, 100, 246–254. [Google Scholar] [CrossRef]
- Ning, Q.; He, G.; Sun, W.; Fan, M.; Li, X.; Hong, Z. R290 Leakage Hazards Assessment of a 1 HP Split-Type Household Air Conditioner by Concentration Detection and Ignition Experiment. Int. J. Refrig. 2022, 139, 70–83. [Google Scholar] [CrossRef]
- Zhang, W.; Yang, Z.; Wang, J.; Lv, D.; Zhong, Z. Leakage Research of Split-type Air-conditioner using R290 as Refrigerant. J. Refrig. 2013, 34, 42–47. [Google Scholar] [CrossRef]
- Patel, V.K.; Abuheiba, A.; Chambers, J.; Elatar, A.; Jajja, S.; Baxter, V.; Reshniak, V. Experimental Evaluation of Refrigerant Leak Characteristics for Different HVAC&R Equipment Types–Phase 2; Oak Ridge National Laboratory (ORNL): Oak Ridge, TN, USA, 2019. Available online: https://info.ornl.gov/sites/publications/Files/Pub119328.pdf (accessed on 27 January 2025).
- Oreilly, H.; Kohoutek, T.; Crombie, D. An Experimental and Numerical Study of Refrigerant Leaks in Refrigerated Transport Containers. Available online: https://iifiir.org/en/fridoc/an-experimental-and-numerical-study-of-refrigerant-leaks-in-34288 (accessed on 27 January 2025).
- Jin, W.; Jia, L.; Zhang, Y. Effect of Air Supply Velocity and Angle on R32 Leakage and Diffusion. Huagong Xuebao/CIESC J. 2015, 66, 2351–2358. [Google Scholar] [CrossRef]
- Zhang, Y.; Liu, C.; Wang, T.; Pan, L.; Li, W.; Shi, J.; Chen, J. Leakage Analysis and Concentration Distribution of Flammable Refrigerant R290 in the Automobile Air Conditioner System. Int. J. Refrig. 2020, 110, 286–294. [Google Scholar] [CrossRef]










| Refrigerant | Temperature (K) | Pressure (MPa) | Density (kg/m3) | Specific Heat kJ/(kg·K) | Heat Conductivity mW/(m·K) | Viscosity μPa·s |
|---|---|---|---|---|---|---|
| R717 | 298.15 | 0.1013 | 0.69 | 2.16 | 25.16 | 10.08 |
| R290 | 298.15 | 0.1013 | 1.81 | 1.68 | 18.29 | 8.12 |
| R32 | 298.15 | 0.1013 | 2.13 | 0.85 | 12.51 | 12.61 |
| R1234yf | 298.15 | 0.1013 | 4.71 | 0.90 | 13.83 | 11.46 |
| R22 | 298.15 | 0.1013 | 3.54 | 0.66 | 10.57 | 12.62 |
| R744 | 298.15 | 0.1013 | 1.79 | 0.85 | 16.62 | 14.91 |
| Refrigerant | R717 | R290 | R1234yf | R22 | R32 | R744 |
| Leakage rate/(g/s) | 1.308 | 2.018 | 3.191 | 2.902 | 2.394 | 2.001 |
Disclaimer/Publisher’s Note: The statements, opinions and data contained in all publications are solely those of the individual author(s) and contributor(s) and not of MDPI and/or the editor(s). MDPI and/or the editor(s) disclaim responsibility for any injury to people or property resulting from any ideas, methods, instructions or products referred to in the content. |
© 2025 by the authors. Licensee MDPI, Basel, Switzerland. This article is an open access article distributed under the terms and conditions of the Creative Commons Attribution (CC BY) license (https://creativecommons.org/licenses/by/4.0/).
Share and Cite
Ling, Y.; Jiang, N.; Zhou, X.; Li, Y.; Zhou, P.; Lu, Y.; Han, X. Research on the Diffusion and Deposition Characteristics of Refrigerant Under Vertical Upward Leakage in a Confined Space. Appl. Sci. 2025, 15, 1918. https://doi.org/10.3390/app15041918
Ling Y, Jiang N, Zhou X, Li Y, Zhou P, Lu Y, Han X. Research on the Diffusion and Deposition Characteristics of Refrigerant Under Vertical Upward Leakage in a Confined Space. Applied Sciences. 2025; 15(4):1918. https://doi.org/10.3390/app15041918
Chicago/Turabian StyleLing, Yongjun, Ning Jiang, Xuan Zhou, Yalun Li, Peixu Zhou, Yongjie Lu, and Xiaohong Han. 2025. "Research on the Diffusion and Deposition Characteristics of Refrigerant Under Vertical Upward Leakage in a Confined Space" Applied Sciences 15, no. 4: 1918. https://doi.org/10.3390/app15041918
APA StyleLing, Y., Jiang, N., Zhou, X., Li, Y., Zhou, P., Lu, Y., & Han, X. (2025). Research on the Diffusion and Deposition Characteristics of Refrigerant Under Vertical Upward Leakage in a Confined Space. Applied Sciences, 15(4), 1918. https://doi.org/10.3390/app15041918
