Zinc-Doped Magnesium Borate Glass: A Potential Thermoluminescence Dosimeter for Extended Range of Dosimetric Applications
Abstract
:Featured Application
Abstract
1. Introduction
2. Materials and Methods
2.1. Sample Preparation and Characterization
2.2. Dosimetric Characterization
2.2.1. Heating Rate Optimization
2.2.2. Composition Optimization
2.2.3. Annealing Process
2.2.4. Dose Response
2.2.5. Reproducibility
2.2.6. Signal Stability
2.2.7. TL Sensitivity
2.2.8. Minimum Detectable Dose
3. Results and Discussion
3.1. Sample Characterization
3.1.1. Phase Analysis
3.1.2. Surface Morphology
3.1.3. Thermal Analysis
3.2. Dosimetric Characterization
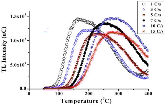
3.2.1. Heating Rate Optimization
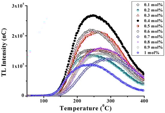
3.2.2. Composition Optimization
3.2.3. Annealing Process
3.2.4. Dose Response
3.2.5. Reproducibility
3.2.6. Signal Stability
3.2.7. TL Sensitivity
3.2.8. Minimum Detectable Dose
4. Conclusions
Author Contributions
Funding
Acknowledgments
Conflicts of Interest
References
- Kazanskaya, V.; Kuzmin, V.; Minaeva, E.; Sokolov, A. Magnesium borate radiothermoluminescent detectors. In Proceedings of the Fourth International Conference on Luminescence Dosimetry, Krakow, Poland, 27–31 August 1974. [Google Scholar]
- Prokić, M. Development of highly sensitive CaSO4: Dy/Tm and MgB4O7: Dy/Tm sintered thermoluminescent dosimeters. Nucl. Instrum. Methods 1980, 175, 83–86. [Google Scholar] [CrossRef]
- Okuno, J.; Harris, S.; Stewart, J. Magnesium borate: Some advantages and disadvantages for practical dosimetry. Radiat. Prot. Dosim. 1984, 8, 257–260. [Google Scholar] [CrossRef]
- Fukuda, F.; Takeuchi, N. Thermoluminescence in magnesium tetraborate doped with activators. J. Mater. Sci. Lett. 1989, 8, 1001–1002. [Google Scholar] [CrossRef]
- Prokic, M. MgB4O7:Mn as a new TL dosemeter. Radiat. Prot. Dosim. 1993, 47, 191–193. [Google Scholar] [CrossRef]
- Furetta, C.; Prokic, M.; Salamon, R.; Kitis, G. Dosimetric characterisation of a new production of MgB4O7: Dy, Na thermoluminescent material. Appl. Radiat. Isot. 2000, 52, 243–250. [Google Scholar] [CrossRef]
- Annalakshmi, O.; Jose, M.T.; Madhusoodanan, U.; Venkatraman, B.; Amarendra, G. Synthesis and thermoluminescence characterization of MgB4O7: Gd, Li. Radiat. Meas. 2013, 59, 15–22. [Google Scholar] [CrossRef]
- Yukihara, E.G.; Milliken, E.D.; Doull, B.A. Thermally stimulated and recombination processes in MgB4O7 investigated by systematic lanthanide doping. J. Lumin. 2014, 154, 251–259. [Google Scholar] [CrossRef]
- Sahare, P.D.; Singh, M.; Kumar, P. Synthesis and TL characteristics of MgB4O7: Mn, Tb phosphor. J. Lumin. 2015, 160, 158–164. [Google Scholar] [CrossRef]
- Evis, D.; Yucel, A.; Kizilkaya, N.; Depci, T.; Kafadar, V.E.; Öztürk, E.; Yildirim, R.G. A new activator strontium for magnesium tetraborate: PL and TL studies. Appl. Radiat. Isot. 2016, 116, 138–142. [Google Scholar] [CrossRef]
- Kawashima, Y.S.; Gugliotti, C.F.; Yee, M.; Tatumi, S.H.; Mittani, J.C.R. Thermoluminescence features of MgB4O7:Tb phosphor. Radiat. Phys. Chem. 2014, 95, 91–93. [Google Scholar] [CrossRef]
- Salah, N.; Habib, S.; Babkair, S.S.; Lochab, S.P.; Chopra, V. TL response of nanocrystalline MgB4O7: Dy irradiated by 3 MeV proton beam, 50 MeV Li3+ and 120 MeV Ag9+ ion beams. Radiat. Phys. Chem. 2013, 86, 52–58. [Google Scholar] [CrossRef]
- Bahl, S.; Pandey, A.; Lochab, S.P.; Aleynikov, V.E.; Molokanov, A.G.; Kumar, P. Synthesis and thermoluminescence characteristics of gamma and proton irradiated nanocrystalline MgB4O7: Dy, Na. J. Lumin. 2013, 134, 691–698. [Google Scholar] [CrossRef]
- Dogan, M.; Yazici, A.N. Thermoluminescence properties of Ce-doped MgB4O7 phosphor. J. Optoelectron. Adv. Mater. 2009, 11, 1783–1787. [Google Scholar]
- Cano, A.; GonzÁLez, P.R.; Furetta, C. Further studies of some TL characteristics of MgB4O7: Dy, Na phosphor. Mod. Phys. Lett. B 2008, 22, 1997–2006. [Google Scholar] [CrossRef]
- Lochab, S.P.; Pandey, A.; Sahare, P.D.; Ranjan, R.; Chauhan, R.S.; Salah, N. Nanocrystalline MgB4O7: Dy for high dose measurement of gamma radiation. Phys. Status Solidi A Appl. Mater. Sci. 2007, 204, 2416–2425. [Google Scholar] [CrossRef]
- Prokić, M. Effect of lithium co-dopant on the thermoluminescence response of some phosphors. Appl. Radiat. Isot. 2000, 52, 97–103. [Google Scholar] [CrossRef]
- Furetta, C. Handbook of Thermoluminescence; World Scientific: Singapore, 2003. [Google Scholar]
- Price, J.L.; Guardala, N.A.; Riel, G.K.; Mathur, V.K. Neutron response of a laser-heated thermoluminescence dosimetry system. Radiat. Meas. 1998, 29, 379–382. [Google Scholar] [CrossRef]
- Karali, T.; Rowlands, A.P.; Prokic, M.; Townsend, P.D.; Halmagean, E. Thermoluminescent Spectra of Rare Earth Doped MgB4O7 Dosemeters. Radiat. Prot. Dosim. 2002, 100, 333–336. [Google Scholar] [CrossRef]
- Mizuno, H.; Kanai, T.; Kusano, Y.; Ko, S.; Ono, M.; Fukumura, A.; Abe, K.; Nishizawa, K.; Shimbo, M.; Sakata, S.; et al. Postal dosimetry: Feasibility study of glass dosimeter postal dosimetry audit of high-energy radiotherapy photon beams. Radiother. Oncol. 2008, 86, 258–263. [Google Scholar] [CrossRef]
- Wahib, N.b.; Khandaker, M.U.; Sani, S.F.A.; Al-mugren, K.S.; Bradley, D.A.; Sulieman, A.; Faruque, M.R.I.; Sayyed, M.I. The Potential Use of Car Windscreens for Post-Accident Dose Reconstruction in the Periphery of Nuclear Installations. Appl. Sci. 2020, 10, 7127. [Google Scholar] [CrossRef]
- Mohammed, B.; Jaafar, M.; Wagiran, H. Thermoluminescence dosimetry properties and kinetic parameters of zinc borate silica glass doped with Cu2O and co-doped with SnO2. J. Lumin. 2018, 204, 375–381. [Google Scholar] [CrossRef]
- Mohammed, B.; Jaafar, M.; Wagiran, H. Effect of Cu2O on the thermoluminescence properties of ZnO-B2O3–SiO2 glass sample. J. Lumin. 2017, 190, 228–233. [Google Scholar] [CrossRef]
- Obayes, H.K.; Wagiran, H.; Hussin, R.; Saeed, M. A new strontium/copper co-doped lithium borate glass composition with improved dosimetric features. J. Lumin. 2016, 176, 202–211. [Google Scholar] [CrossRef]
- Bakhsh, M.; Wan Abdullah, W.S.; Mustafa, I.S.; Al Musawi, M.S.A.; Razali, N.A.N. Synthesis, characterisation and dosimetric evaluation of MgB4O7 glass as thermoluminescent dosimeter. Radiat. Eff. Defects Solids 2018, 173, 446–460. [Google Scholar] [CrossRef]
- Sensys EVO TG-DSC (Simultaneous Thermal Analysis). Available online: https://www.setaram.com/setaram-products/thermal-analysis/simultaneous-thermogravimetry-differential-scanning-calorimetry-differential-thermal-analysis/sensys-evo-tg-dsc/ (accessed on 4 April 2019).
- McKeever, S.W.S.; Moscovitch, M.; Townsend, P.D. Thermoluminescence Dosimetry Materials: Properties and Uses; Nuclear Technology Pub.: London, UK, 1995. [Google Scholar]
- Pagonis, V.; Kitis, G.; Furetta, C. Numerical and Practical Exercises in Thermoluminescence; Springer Science & Business Media: New York, NY, USA, 2006. [Google Scholar]
- Pecharsky, V.; Zavalij, P. Fundamentals of Powder Diffraction and Structural Characterization of Materials; Springer Science & Business Media: New York, NY, USA, 2008. [Google Scholar]
- Brittain, H.G.; Bruce, R.D. Chapter 4: Thermal analysis. In Comprehensive Analytical Chemistry; Ahuja, S., Jespersen, N., Eds.; Elsevier: Amsterdam, The Netherlands, 2006; Volume 47, pp. 63–109. [Google Scholar]
- Kauzmann, W. The nature of the glassy state and the behavior of liquids at low temperatures. Chem. Rev. 1948, 43, 219–256. [Google Scholar] [CrossRef]
- Hrubý, A. Evaluation of glass-forming tendency by means of DTA. Czechoslov. J. Phys. 1972, 22, 1187–1193. [Google Scholar] [CrossRef]
- Clavaguera-Mora, M.T. Glassy materials: Thermodynamic and kinetic quantities. J. Alloy. Compd. 1995, 220, 197–205. [Google Scholar] [CrossRef]
- Bos, A.J.J. Theory of thermoluminescence. Radiat. Meas. 2006, 41 (Suppl. S1), S45–S56. [Google Scholar] [CrossRef]
- Shachar, B.B.; Horowitz, Y. Thermoluminescence in annealed and unannealed LiF: Mg, Ti (TLD-100 Harshaw) as a function of glow curve heating rate and using computerised glow curve deconvolution. J. Phys. D Appl. Phys. 1992, 25, 694. [Google Scholar] [CrossRef]
- Porwal, N.K.; Kadam, R.M.; Seshagiri, T.K.; Natarajan, V.; Dhobale, A.R.; Page, A.G. EPR and TSL studies on MgB4O7 doped with Tm: Role of BO32− in TSL glow peak at 470 K. Radiat. Meas. 2005, 40, 69–75. [Google Scholar] [CrossRef]
- McKeever, S.W.S. Thermoluminescence of Solids; Cambridge University Press: Cambridge, UK, 1985. [Google Scholar]
- Bos, A. High sensitivity thermoluminescence dosimetry. Nucl. Instrum. Methods Phys. Res. Sect. B Beam Interact. Mater. At. 2001, 184, 3–28. [Google Scholar] [CrossRef]













| Sample ID | Composition (mol%) | ||
|---|---|---|---|
| B2O3 | MgO | ZnO | |
| Host | Modifier | Dopant | |
| S35651 | 65.00 | 34.90 | 0.10 |
| S35652 | 65.00 | 34.80 | 0.20 |
| S35653 | 65.00 | 34.70 | 0.30 |
| S35654 | 65.00 | 34.60 | 0.40 |
| S35655 | 65.00 | 34.50 | 0.50 |
| S35656 | 65.00 | 34.40 | 0.60 |
| S35657 | 65.00 | 34.30 | 0.70 |
| S35658 | 65.00 | 34.20 | 0.80 |
| S35659 | 65.00 | 34.10 | 0.90 |
| S356510 | 65.00 | 34.00 | 1.00 |
Publisher’s Note: MDPI stays neutral with regard to jurisdictional claims in published maps and institutional affiliations. |
© 2022 by the authors. Licensee MDPI, Basel, Switzerland. This article is an open access article distributed under the terms and conditions of the Creative Commons Attribution (CC BY) license (https://creativecommons.org/licenses/by/4.0/).
Share and Cite
Bakhsh, M.; Yasuda, H.; Ahmad, N.; Ding Wong, J.H.; Shahrim Mustafa, I. Zinc-Doped Magnesium Borate Glass: A Potential Thermoluminescence Dosimeter for Extended Range of Dosimetric Applications. Appl. Sci. 2022, 12, 7491. https://doi.org/10.3390/app12157491
Bakhsh M, Yasuda H, Ahmad N, Ding Wong JH, Shahrim Mustafa I. Zinc-Doped Magnesium Borate Glass: A Potential Thermoluminescence Dosimeter for Extended Range of Dosimetric Applications. Applied Sciences. 2022; 12(15):7491. https://doi.org/10.3390/app12157491
Chicago/Turabian StyleBakhsh, Muhammad, Hiroshi Yasuda, Nisar Ahmad, Jeannie Hsiu Ding Wong, and Iskandar Shahrim Mustafa. 2022. "Zinc-Doped Magnesium Borate Glass: A Potential Thermoluminescence Dosimeter for Extended Range of Dosimetric Applications" Applied Sciences 12, no. 15: 7491. https://doi.org/10.3390/app12157491
APA StyleBakhsh, M., Yasuda, H., Ahmad, N., Ding Wong, J. H., & Shahrim Mustafa, I. (2022). Zinc-Doped Magnesium Borate Glass: A Potential Thermoluminescence Dosimeter for Extended Range of Dosimetric Applications. Applied Sciences, 12(15), 7491. https://doi.org/10.3390/app12157491

