Sign in to use this feature.

Years

Between: -

Subjects

remove_circle_outline
remove_circle_outline
remove_circle_outline
remove_circle_outline
remove_circle_outline
remove_circle_outline
remove_circle_outline
remove_circle_outline
remove_circle_outline

Journals

remove_circle_outline
remove_circle_outline
remove_circle_outline
remove_circle_outline
remove_circle_outline
remove_circle_outline
remove_circle_outline
remove_circle_outline
remove_circle_outline
remove_circle_outline
remove_circle_outline
remove_circle_outline

Article Types

Countries / Regions

remove_circle_outline
remove_circle_outline
remove_circle_outline
remove_circle_outline
remove_circle_outline
remove_circle_outline
remove_circle_outline

Search Results (1,823)

Search Parameters:
Keywords = dopant

Order results
Result details
Results per page
Select all
Export citation of selected articles as:
23 pages, 5468 KB  
Article
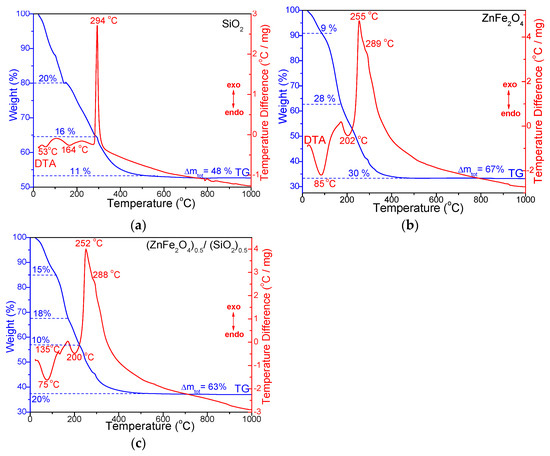
Thermal, Structural, and Morphological Analysis of ZnFe2O4 Embedded and Non-Embedded in a SiO2 Matrix for Magnetic and Photocatalytic Applications
by Thomas Dippong, Anamaria-Magdalena Savolszki-Madaras, Raul Marius Reiz, Ioan Petean and Oana Cadar
Nanomaterials 2025, 15(21), 1644; https://doi.org/10.3390/nano15211644 - 28 Oct 2025
Abstract
This study compares the structural, morphological, magnetic, and photocatalytic properties of a pure SiO2 matrix, a ZnFe2O4-doped SiO2 nanocomposite (both synthesized via the sol-gel method), and bulk ZnFe2O4 produced by thermal decomposition. Thermogravimetric analysis [...] Read more.
This study compares the structural, morphological, magnetic, and photocatalytic properties of a pure SiO2 matrix, a ZnFe2O4-doped SiO2 nanocomposite (both synthesized via the sol-gel method), and bulk ZnFe2O4 produced by thermal decomposition. Thermogravimetric analysis (TGA) reveals that metal oxalates form below 200 °C and decompose into metal oxides, which subsequently form ferrite. Fourier-transform infrared (FTIR) spectroscopy confirms the embedding of both undoped and ZnFe2O4-doped nanoparticles into the SiO2 matrix at all investigated annealing temperatures. X-ray diffraction (XRD) consistently reveals the formation of crystalline ZnFe2O4, with the crystallite size increasing from 48 to 93 nm upon annealing. Atomic force microscopy (AFM) shows spherical ferrite nanoparticles surrounded by an amorphous layer, with particle growth observed at higher temperatures. Structural parameters derived from XRD (e.g., crystallite size, density, porosity, lattice constant, unit cell volume) and AFM (e.g., particle size, coating thickness) as well as magnetic parameters (saturation magnetization, remanence, anisotropy, coercivity) demonstrate clear dependence on both dopant presence and annealing temperature. Magnetic measurements reveal enhanced properties with increasing ferrite content and heat treatment, with a transition from superparamagnetic behavior at 700 °C to ferrimagnetic behavior above 1000 °C. Scavenger experiments confirmed the involvement of holes, hydroxyl radicals, and superoxide radicals in the photocatalytic process. The photocatalytic efficiency, as evaluated by the Rhodamine B degradation under visible light, highlights the promising potential of the obtained nanocomposite for advanced environmental and technological applications. Full article
Show Figures

Figure 1

19 pages, 6370 KB  
Article
Enhanced Dielectric Properties of In + Ta Co-Doped TiO2 Ceramics Synthesized via a Green Egg White Route: Low-Temperature Sintering and Microstructural Insights
by Unchista Wongpratat, Nutthakritta Phromviyo, Jurimart Wongsricha, Sirion Srilarueang, Narong Chanlek, Atchara Khamkongkaeo and Prasit Thongbai
Sci 2025, 7(4), 150; https://doi.org/10.3390/sci7040150 - 27 Oct 2025
Abstract
Giant dielectric oxides are attractive for next-generation capacitors and related applications, but their practical use is limited by high loss tangent (tanδ), strong temperature dependence of dielectric permittivity (ε′), and the need for energy-intensive high-temperature sintering. To address these challenges, this study focuses [...] Read more.
Giant dielectric oxides are attractive for next-generation capacitors and related applications, but their practical use is limited by high loss tangent (tanδ), strong temperature dependence of dielectric permittivity (ε′), and the need for energy-intensive high-temperature sintering. To address these challenges, this study focuses on the development of (In0.5Ta0.5)xTi1−xO2 (ITTO, x = 0.02–0.06) ceramics via a green egg-white solution route, targeting high dielectric performance at reduced processing temperatures. The as-calcined powders exhibited the anatase TiO2 phase with particle sizes of ~20–50 nm. These powders promoted densification at a sintering temperature of 1300 °C, significantly lower than those of conventional co-doped TiO2 systems. The resulting ceramics exhibited refined grains, high relative density, and homogeneous dopant incorporation, as confirmed by XRD, SEM/TEM, EDS mapping, and XPS. Complementary density functional theory calculations were performed to examine the stability of In3+/Ta5+ defect clusters and their role in electron-pinned defect dipoles (EPDDs). The optimized ceramic (x = 0.06, 1300 °C) achieved a high ε′ of 6.78 × 103, a low tanδ of 0.038, and excellent thermal stability with Δε′ < 3.9% from 30 to 200 °C. These results demonstrate that the giant dielectric response originates primarily from EPDDs associated with Ti3+ species and oxygen vacancies, in agreement with both experimental and theoretical evidence. These findings emphasize the potential of eco-friendly synthesis routes combined with rational defect engineering to deliver high-performance dielectric ceramics with reliable thermal stability at reduced sintering temperatures. Full article
Show Figures

Figure 1

15 pages, 2809 KB  
Article
La3+/Bi3+ Co-Doping in BaTiO3 Ceramics: Structural Evolution and Enhanced Dielectric Properties
by María Inés Valenzuela-Carrillo, Miguel Pérez-Labra, Francisco Raúl. Barrientos-Hernandez, Antonio Romero-Serrano, Irma Mendoza-Sanchez, Alejandro Cruz-Ramírez, Mizraim U. Flores, Martín Reyes-Pérez and Julio C. Juárez-Tapia
Processes 2025, 13(11), 3426; https://doi.org/10.3390/pr13113426 - 25 Oct 2025
Viewed by 184
Abstract
La3+/Bi3+ co-doped BaTiO3 ceramics were synthesized via ball milling followed by heat treatment at 1200 °C according to the Ba1−3xLa2xTi1−3xBi4xO3 formula, with dopant levels ranging from x = 0.0 to [...] Read more.
La3+/Bi3+ co-doped BaTiO3 ceramics were synthesized via ball milling followed by heat treatment at 1200 °C according to the Ba1−3xLa2xTi1−3xBi4xO3 formula, with dopant levels ranging from x = 0.0 to 0.006. X-ray diffraction and Rietveld refinement confirmed a ferroelectric tetragonal phase for all compositions, with the highest tetragonality (c/a = 1.009) observed for x = 0.001 exceeding that of pure BaTiO3 (1.0083). High-resolution electron microscopy analysis revealed faceted particles with mean sizes between 362.5 nm and 488.3 nm. Low-doped samples (x = 0.001 and 0.002) exhibited higher permittivity than undoped BaTiO3, with the maximum dielectric constant (εr = 2469.0 at room temperature and 7499.7 at the Curie temperature) recorded for x = 0.001 at 1 kHz. At x = 0.006, minimal permittivity variation indicated a stable dielectric response. A decrease in the Curie temperature was observed with increasing doping levels, indicating a progressive tendency toward the cubic phase. Critical exponent γ values (0.94–1.56) indicated a sharp phase transition for low-doped samples and a diffuse transition for highly doped BaTiO3. These results showed that La3+/Bi3+ co-doping effectively tunes the structural and dielectric properties of BaTiO3 ceramics. Full article
(This article belongs to the Special Issue Microstructure Properties and Characterization of Metallic Material)
Show Figures

Figure 1

18 pages, 4497 KB  
Article
Theoretical Comparison Between Noble Metal (Pd or Ru)-Doped GeS2 Monolayers as Sensitive Materials upon C4F7N Decomposed Gases
by Xinyu Guo, Shouxiao Ma, Yun Liu and Hao Cui
Inorganics 2025, 13(11), 348; https://doi.org/10.3390/inorganics13110348 - 24 Oct 2025
Viewed by 120
Abstract
This work comparably investigates the gas sensing potential of noble metal (Pd and Ru)-doped GeS2 monolayers upon three C4F7N decomposed species (FCN, CF3CN, and C2F4) using the first-principles theory, for operation status [...] Read more.
This work comparably investigates the gas sensing potential of noble metal (Pd and Ru)-doped GeS2 monolayers upon three C4F7N decomposed species (FCN, CF3CN, and C2F4) using the first-principles theory, for operation status evaluation in C4F7N-insulated devices. The Pd- and Ru-doping effects on the pristine GeS2 monolayer are analyzed, followed by the adsorption mechanism and sensing performance of two doped monolayers. Our results demonstrate that while Ru doping induces stronger surface interactions with the GeS2 substrate and consequently exhibits superior adsorption strengths upon the three gases, the Pd-doped monolayer shows remarkable advantages in charge transfer capability that leads to exceptional room-temperature sensitivity responses of −99.6% (FCN), −95.0% (CF3CN), and −88.0% (C2F4), thus significantly outperforming the Ru-doped system. Combined with the instantaneous recovery for gas desorption, the Pd-GeS2 monolayer holds significance as an ideal room-temperature sensor to monitor the operation status of C4F7N-insulated devices in power systems. This research provides promising insights into the application of GeS2-based materials for gas sensing in power systems and emphasizes the importance of dopant selection in designing high-performance gas sensing materials, especially for developing advanced electrical equipment monitoring technologies. Full article
Show Figures

Figure 1

31 pages, 5318 KB  
Review
Recent Advances in Doping and Polymer Hybridization Strategies for Enhancing ZnO-Based Gas Sensors
by Nazir Mustapha, Boutheina Ben Abdelaziz, Majdi Benamara and Mokhtar Hjiri
Nanomaterials 2025, 15(21), 1609; https://doi.org/10.3390/nano15211609 - 22 Oct 2025
Viewed by 258
Abstract
Zinc oxide (ZnO) nanomaterials have emerged as promising candidates for gas sensing applications due to their high sensitivity, fast response–recovery cycles, thermal and chemical stability, and low fabrication cost. However, the performance of pristine ZnO remains limited by high operating temperatures, poor selectivity, [...] Read more.
Zinc oxide (ZnO) nanomaterials have emerged as promising candidates for gas sensing applications due to their high sensitivity, fast response–recovery cycles, thermal and chemical stability, and low fabrication cost. However, the performance of pristine ZnO remains limited by high operating temperatures, poor selectivity, and suboptimal detection at low gas concentrations. To address these limitations, significant research efforts have focused on dopant incorporation and polymer hybridization. This review summarizes recent advances in dopant engineering using elements such as Al, Ga, Mg, In, Sn, and transition metals (Co, Ni, Cu), which modulate ZnO’s crystal structure, defect density, carrier concentration, and surface activity—resulting in enhanced gas adsorption and electron transport. Furthermore, ZnO–polymer nanocomposites (e.g., with polyaniline, polypyrrole, PEG, and chitosan) exhibit improved flexibility, surface functionality, and room-temperature responsiveness due to the presence of active functional groups and tunable porosity. The synergistic combination of dopants and polymers facilitates enhanced charge transfer, increased surface area, and stronger gas–molecule interactions. Where applicable, sol–gel-based studies are explicitly highlighted and contrasted with non-sol–gel routes to show how synthesis controls defect chemistry, morphology, and sensing metrics. This review provides a comprehensive understanding of the structure–function relationships in doped ZnO and ZnO–polymer hybrids and offers guidelines for the rational design of next-generation, low-power, and selective gas sensors for environmental and industrial applications. Full article
(This article belongs to the Section Nanoelectronics, Nanosensors and Devices)
Show Figures

Figure 1

30 pages, 7417 KB  
Review
Towards Advanced Materials: Functional Perspectives of Co-Doped ZnO Thin Films
by Mariuca Gartner, Mariana Chelu, Anna Szekeres and Peter Petrik
Micromachines 2025, 16(10), 1179; https://doi.org/10.3390/mi16101179 - 18 Oct 2025
Viewed by 348
Abstract
Zinc oxide (ZnO) thin films have attracted increasing attention as promising materials for sensing applications due to their wide band gap, high exciton binding energy, and remarkable chemical stability. However, the inherent limitations of pure ZnO, such as moderate sensitivity, selectivity, and relatively [...] Read more.
Zinc oxide (ZnO) thin films have attracted increasing attention as promising materials for sensing applications due to their wide band gap, high exciton binding energy, and remarkable chemical stability. However, the inherent limitations of pure ZnO, such as moderate sensitivity, selectivity, and relatively high operating temperatures, limit its widespread use in advanced sensing technologies. Co-doping, or dual doping with two distinct elements, has emerged as an effective strategy to overcome these challenges by synergistically tailoring the structural, electronic, and surface properties of ZnO thin films. This review provides a comprehensive overview of recent advances in the development of co-doped ZnO thin films for sensing applications. The focus is on the role of different combinations of dopants, including transition metals, rare earth elements, and non-metals, in modulating the charge carrier concentration, oxygen vacancy density, and adsorption dynamics. These effects collectively enhance the sensing properties and long-term stability and reduce detection limits. The analysis highlights the correlations between synthesis methods, dopant incorporation mechanisms, and resulting sensor performance. Key challenges such as dopant clustering, reproducibility, and scalability are discussed, along with emerging opportunities in flexible room-temperature sensor platforms. Overall, it has been demonstrated that co-doped ZnO thin films represent a versatile and tunable class of sensing materials with strong potential for next-generation environmental and biomedical monitoring. Full article
Show Figures

Figure 1

14 pages, 4778 KB  
Article
Synthesis of Multidoped Zirconia by Hydrothermal Method with Sequential Annealing
by Yuriy Alexsandrovich Garanin, Rafael Iosifivich Shakirzyanov, Dmitriy Igorevich Shlimas, Milana Abasovna Saidullayeva, Daryn Boranbaevich Borgekov and Malik Erlanovich Kaliyekperov
Crystals 2025, 15(10), 904; https://doi.org/10.3390/cryst15100904 - 17 Oct 2025
Viewed by 263
Abstract
Over more than half a century of using zirconia in technology and industry, researchers have faced several challenges related to the performance of this material. It is believed that some issues regarding the low performance of the zirconia ceramics can be solved by [...] Read more.
Over more than half a century of using zirconia in technology and industry, researchers have faced several challenges related to the performance of this material. It is believed that some issues regarding the low performance of the zirconia ceramics can be solved by using a multidoping strategy. In this study, nanoparticles with the composition (1 − x)⸱ZrO2 − x⸱MD (where MD—multi-dopant Y:Ce:Mg:Ca with cation relationship 1:1:1:1 and x = 0.05–0.25 mol. %) were synthesized using a hydrothermal method followed by annealing. XRD and Raman spectroscopy analyses demonstrated that in the concentration range of x = 0.10–0.25 mol.%, the only detectable phase in the synthesized samples was the tetragonal phase of zirconia. SEM analysis revealed that the size of the final particles ranged from 20 to 50 nm. It was demonstrated that using obtained nanoparticles as precursors for sintering leads to the formation of multiphase ceramics. The microhardness and biaxial flexural strength of the ceramic samples vary depending on the dopant concentration in the range of 600–1400 HV and 25–200 MPa respectively. Mechanical properties mostly depend on porosity and grain size in the sintered material. The study shows that the multidoping strategy has high potential to obtain new constructional ceramics and components for solid oxide fuel cells. Full article
(This article belongs to the Special Issue Ceramic Materials: Structural, Mechanical and Dielectric Properties)
Show Figures

Graphical abstract

19 pages, 4980 KB  
Article
Combustion-Synthesized BaAl2O4: Eu2+, Nd3+, Pr3+ Triple-Co-Doped Long-Afterglow Phosphors: Luminescence and Anti-Counterfeiting Applications
by Chuanming Wang, Jigang Wang, Yuansheng Qi, Jindi Hu, Haiming Li, Jianhui Lv, Xiaohan Cheng, Deyu Pan, Zhenjun Li and Junming Li
Nanomaterials 2025, 15(20), 1578; https://doi.org/10.3390/nano15201578 - 16 Oct 2025
Viewed by 282
Abstract
Solution combustion-synthesized BaAl2O4: Eu2+, Nd3+, and Pr3+ blue–green long-afterglow phosphors are prepared and systematically investigated. First, XRD confirms the BaAl2O4 host and screens for trace residual features. SEM reveals the agglomerated [...] Read more.
Solution combustion-synthesized BaAl2O4: Eu2+, Nd3+, and Pr3+ blue–green long-afterglow phosphors are prepared and systematically investigated. First, XRD confirms the BaAl2O4 host and screens for trace residual features. SEM reveals the agglomerated granular morphology typical of combustion products. XPS verifies the valence states (Eu2+, Nd3+, Pr3+) and the chemical environment of the host lattice. UV-Vis diffuse reflectance spectra, transformed via the Kubelka–Munk function and analyzed using Tauc plots (indirect-allowed), indicate a wide band gap of the BaAl2O4 host with small, systematic shifts upon Nd3+/Pr3+ co-doping. PL measurements show Eu2+ 4f–5d emission and co-dopant-assisted excitation/defect pathways without altering the Eu2+ emission band shape. Afterglow lifetime and decay analyses correlate trap depth/distribution with the extended persistence. Finally, we demonstrate anti-counterfeiting by (i) snowflake printing and (ii) a binary 3 × 3 grid printed with two afterglow inks of different lifetimes to realize multi-level authentication. The sequential evidence links structure, chemistry, optical absorption, carrier trapping, and practical readout, providing a coherent basis for performance enhancement and application. Full article
(This article belongs to the Section Nanofabrication and Nanomanufacturing)
Show Figures

Figure 1

45 pages, 4749 KB  
Review
Molecular Diversity of Lupane Hybrids in Drug Design and Materials Science
by Victoria V. Lipson, Maria G. Shirobokova, Mustafa Kemal Gümüş, Arda Ozturkcan and Valentyn A. Chebanov
Molecules 2025, 30(20), 4108; https://doi.org/10.3390/molecules30204108 - 16 Oct 2025
Viewed by 406
Abstract
The need for new, more effective drugs to treat cancer, infectious diseases, various parasitic infestations, and metabolic disorders requires innovative approaches to the design of promising molecules. One of these areas is the creation of hybrid structures. Lupane triterpenoids are of significant interest [...] Read more.
The need for new, more effective drugs to treat cancer, infectious diseases, various parasitic infestations, and metabolic disorders requires innovative approaches to the design of promising molecules. One of these areas is the creation of hybrid structures. Lupane triterpenoids are of significant interest for such research due to their high abundance in natural sources and their renewable nature, their molecular architecture, presence of several easily modifiable functional groups, enantiomeric purity, broad spectrum of biological activity, and low toxicity. Active research into the biological properties of new pentacyclic triterpenoid derivatives, not only of the lupane series but also of the oleonane and ursane series, is evidenced by the large number of reviews and experimental studies devoted to this topic. Our interest in the modification of lupanoids stems not only from the search for biologically active compounds but also from the development of functional materials. However, the materials science aspects of lupanoid applications are virtually unknown in literature. We have tried to fill this gap and examined the possibility of using betulin derivatives to create advanced materials. The high lipophilicity and nanoscale molecular structure of these compounds make them highly promising as chiral dopants in liquid crystal compositions and organogel components. Full article
(This article belongs to the Special Issue Terpenes and Their Derivatives: From Nature to Medical Applications)
Show Figures

Figure 1

29 pages, 6227 KB  
Article
In Situ Synthesis of Non-Cytotoxic Tellurium Nanoparticle and Methacrylate Photopolymer Resin Composite with Antibacterial Activity
by Dmitriy A. Serov, Aleksandr V. Simakin, Dmitriy E. Burmistrov, Ilya V. Baimler, Pavel P. Chapala, Maxim E. Astashev, Fatikh M. Yanbaev, Valeriy A. Kozlov and Sergey V. Gudkov
Polymers 2025, 17(20), 2735; https://doi.org/10.3390/polym17202735 - 12 Oct 2025
Viewed by 550
Abstract
Methacrylate photopolymer resin (MPR) is widely used in various fields, including the biomedical field. There are several problems associated with their use: the potential toxicity of monomer residues during incomplete polymerization and the possibility of bacterial expansion. Doping polymers with nanoparticles is one [...] Read more.
Methacrylate photopolymer resin (MPR) is widely used in various fields, including the biomedical field. There are several problems associated with their use: the potential toxicity of monomer residues during incomplete polymerization and the possibility of bacterial expansion. Doping polymers with nanoparticles is one of the ways to increase the degree of polymerization (protection from toxicity), improve the performance characteristics of the polymer, and add antibacterial properties. We used an in situ polymerization method to obtain the composites of MPR with tellurium nanoparticles (TeNPs) with a dopant concentration of 0.001, 0.01, or 0.1% (v/v). The composite of MPR+TeNPs had a higher degree of polymerization compared to MPR without NPs, improved mechanical properties, and pronounced antibacterial activity. The effects depended on the concentration of TeNPs. All of the studied composites had no cytotoxic effect on human cells. MPR+TeNPs 0.1% had the maximum antibacterial effect, which is probably realized through Te-dependent induction of oxidative stress (increase in the generation of 9-oxoguanine and long-lived reactive forms of proteins). The results obtained deepen the knowledge about the influence of NPs of leading metals on photopolymerization and the final properties of the methacrylate matrix, and the synthesized MPR+TeNP composites may find potential biomedical applications in the future. Full article
Show Figures

Figure 1

18 pages, 2036 KB  
Article
Broccoli to the Lab: Green-Synthesized N-CQDs for Ultrasensitive “Turn-On” Detection of Norfloxacin in Food
by Zubair Akram, Anam Arshad, Sajida Noureen, Muhammad Mehdi, Ali Raza, Nan Wang and Feng Yu
Sensors 2025, 25(20), 6284; https://doi.org/10.3390/s25206284 - 10 Oct 2025
Viewed by 356
Abstract
The widespread presence of antibiotic residues, particularly norfloxacin (NFX), in food products and the environment has raised concern, underscoring the need for sensitive and selective detection methods. In this study, a novel broccoli-derived nitrogen-doped carbon quantum dots (N-CQDs) was synthesized via a green [...] Read more.
The widespread presence of antibiotic residues, particularly norfloxacin (NFX), in food products and the environment has raised concern, underscoring the need for sensitive and selective detection methods. In this study, a novel broccoli-derived nitrogen-doped carbon quantum dots (N-CQDs) was synthesized via a green hydrothermal approach, 4-dimethylaminopyridine (DMAP) as both a nitrogen dopant and a functionalizing agent. The synthesized N-CQDs exhibit an average diameter of approximately ~4.2 nm and emit bright blue fluorescence, with a maximum emission at 445 nm upon excitation at 360 nm. A “Turn-ON” response toward NFX was achieved with a detection limit of 0.30 nM, attributed to hydrogen bonding and π–π stacking interactions that suppressed non-radiative decay. Moreover, the sensor demonstrates high selectivity for NFX, effectively distinguishing it from common interfering substances, including other antibiotics, organic acids, and biomolecules. The N-CQDs also exhibit excellent stability under diverse conditions, such as varying pH levels, high ionic strength, and prolonged irradiation. Finally, the practical applicability of the developed sensor was validated by detecting NFX in spiked broccoli extract and milk samples, with recovery rates ranging from 98.2% to 100.1% and relative standard deviations of less than 2.0%. This work presents a sustainable and efficient N-CQD-based fluorescent sensing platform, offering significant potential for rapid and reliable detection of NFX in food safety and environmental monitoring. Full article
Show Figures

Figure 1

12 pages, 4803 KB  
Article
Facile Green Synthesis of N-Type InP Thin-Film Photoanodes with Enhanced Photoelectrochemical Performance for Solar Hydrogen Generation
by Ying-Chu Chen, Heng-Yi Lin and Yu-Kuei Hsu
Nanomaterials 2025, 15(20), 1544; https://doi.org/10.3390/nano15201544 - 10 Oct 2025
Viewed by 310
Abstract
Indium phosphide (InP) is a promising photoactive material for solar-driven hydrogen production owing to its optimal bandgap, high carrier mobility, and broad solar absorption. However, conventional InP fabrication relies on costly wafers and toxic precursors, limiting its scalability and sustainability. Here, we demonstrate [...] Read more.
Indium phosphide (InP) is a promising photoactive material for solar-driven hydrogen production owing to its optimal bandgap, high carrier mobility, and broad solar absorption. However, conventional InP fabrication relies on costly wafers and toxic precursors, limiting its scalability and sustainability. Here, we demonstrate a simple and environmentally friendly route to synthesize n-type InP thin-film photoanodes by phosphidating indium films prepared via doctor blade coating on ITO substrates, using NaH2PO2 as a phosphorus source. Structural and spectroscopic analyses (XRD, Raman, XPS, PL) confirmed the successful formation of crystalline InP with optimum quality at 425 °C. Photoelectrochemical measurements revealed a significant photocurrent density of 1.8 mA·cm−2 under AM 1.5 illumination, with extended photoresponse into the near-infrared region. Mott–Schottky and EIS analyses indicated efficient charge separation, low transfer resistance, and unintentional n-type doping due to Sn diffusion from the ITO substrate. This facile and green synthesis route not only provides a scalable approach to III–V semiconductors but also highlights InP thin films as cost-effective and efficient photoanodes for sustainable solar hydrogen generation. Full article
(This article belongs to the Section Energy and Catalysis)
Show Figures

Figure 1

28 pages, 4553 KB  
Article
Insights of Nanostructured Ferberite as Photocatalyst, Growth Mechanism and Photodegradation Under H2O2-Assisted Sunlight
by Andarair Gomes dos Santos, Yassine Elaadssi, Virginie Chevallier, Christine Leroux, Andre Luis Lopes-Moriyama and Madjid Arab
Molecules 2025, 30(19), 4026; https://doi.org/10.3390/molecules30194026 - 9 Oct 2025
Viewed by 338
Abstract
In this study, nanostructured ferberites (FeWO4) were synthesized via hydrothermal routes in an acidic medium. It was then investigated as an efficient photocatalyst for degrading organic dye molecules, with methylene blue (MB) as a model pollutant. The formation mechanism of ferberite [...] Read more.
In this study, nanostructured ferberites (FeWO4) were synthesized via hydrothermal routes in an acidic medium. It was then investigated as an efficient photocatalyst for degrading organic dye molecules, with methylene blue (MB) as a model pollutant. The formation mechanism of ferberite revealed that the physical form of the precursor, FeSO4·7H2O, acts as a decisive factor in morphological evolution. Depending on whether it is in a solid or dilute solution form, two distinct nanostructures are produced: nanoplatelets and self-organized microspheres. Both structures are composed of stoichiometric FeWO4 (Fe: 49%, W: 51%) in a single monoclinic phase (space group P2/c:1) with high purity and crystallinity. The p-type semiconductor behavior was confirmed using Mott–Schottky model and the optical analysis, resulting in small band gap energies (≈1.7 eV) favoring visible absorption light. Photocatalytic tests under simulated solar irradiation revealed rapid and efficient degradation in less than 10 min under near-industrial conditions (pH 5). This was achieved using only a ferberite catalyst and a low concentration of H2O2 (4 mM) without additives, dopants, or artificial light sources. Advanced studies based on photocurrent measurements, trapping and stability tests were carried out to identify the main reactive species involved in the photocatalytic process and better understanding of photodegradation mechanisms. These results demonstrate the potential of nanostructured FeWO4 as a sustainable and effective photocatalyst for water purification applications. Full article
(This article belongs to the Special Issue Research on Heterogeneous Catalysis—2nd Edition)
Show Figures

Figure 1

17 pages, 3767 KB  
Article
Structural and Chemical Stability of TiO2-Doped Basalt Fibers in Alkaline and Seawater Conditions
by Sergey I. Gutnikov, Sergey S. Popov, Timur A. Terentev and Bogdan I. Lazoryak
Buildings 2025, 15(19), 3605; https://doi.org/10.3390/buildings15193605 - 8 Oct 2025
Viewed by 309
Abstract
Alkali resistance is a critical factor for the long-term performance of glass fibers in cementitious composites. While zirconium oxide doping has proven effective in enhancing the durability of basalt fibers, its high cost and limited solubility motivate the search for viable alternatives. This [...] Read more.
Alkali resistance is a critical factor for the long-term performance of glass fibers in cementitious composites. While zirconium oxide doping has proven effective in enhancing the durability of basalt fibers, its high cost and limited solubility motivate the search for viable alternatives. This study presents the first systematic investigation of titanium dioxide (TiO2) doping in basalt-based glasses across a wide compositional range (0–8 mol%). X-ray fluorescence and diffraction analyses confirm complete dissolution of TiO2 within the amorphous silicate network, with no phase segregation. At low concentrations (≤3 mol%), Ti4+ acts as a network modifier in octahedral coordination ([TiO6]), reducing melt viscosity and lowering processing temperatures. As TiO2 content increases, titanium in-corporates into tetrahedral sites ([TiO4]), competing with Fe3+ for network-forming positions and displacing it into octahedral coordination, as revealed by Mössbauer spectroscopy. This structural redistribution promotes phase separation and triggers the crystallization of pseudobrukite (Fe2TiO5) at elevated temperatures. The formation of a protective Ti(OH)4 surface layer upon alkali exposure enhances chemical resistance, with optimal performance observed at 4.6 mol% TiO2—reducing mass loss in NaOH and seawater by 13.3% and 25%, respectively, and improving residual tensile strength. However, higher TiO2 concentrations (≥5 mol%) lead to pseudobrukite crystallization and a narrowed fiber-forming temperature window, rendering continuous fiber drawing unfeasible. The results demonstrate that TiO2 is a promising, cost-effective dopant for basalt fibers, but its benefits are constrained by a critical solubility threshold and structural trade-offs between durability and processability. Full article
Show Figures

Figure 1

13 pages, 3651 KB  
Article
Optical Absorption Properties of Sn- and Pd-doped ZnO: Comparative Analysis of Substitutional Metallic Impurities
by Vicente Cisternas, Pablo Díaz, Ulises Guevara, David Laroze and Eduardo Cisternas
Materials 2025, 18(19), 4613; https://doi.org/10.3390/ma18194613 - 5 Oct 2025
Viewed by 422
Abstract
In this article, we present density functional theory (DFT) calculations for Zn(1x)MxO, where M represents one of the following substitutional metallic impurities: Ga, Cd, Cu, Pd, Ag, In, or Sn. Our study is [...] Read more.
In this article, we present density functional theory (DFT) calculations for Zn(1x)MxO, where M represents one of the following substitutional metallic impurities: Ga, Cd, Cu, Pd, Ag, In, or Sn. Our study is based on the wurtzite structure of pristine ZnO. We employ the Quantum Espresso package, using a fully unconstrained implementation of the generalized gradient approximation (GGA) with an additional U correction for exchange and correlation effects. We analyze the density of states, energy gaps, and absorption spectra for these doped systems, considering the limitations of a finite-size cell approximation. Rather than focusing on precise numerical values, we highlight the following two key aspects: the location of impurity-induced electronic states and the overall trends in optical properties across the eight systems, including pristine ZnO. Our results indicate that certain dopants introduce electronic levels within the band gap, which enhance optical absorption in the visible, near-infrared, and near-ultraviolet regions. For instance, Sn-doped ZnO shows a pronounced absorption peak at ∼2.5 eV, which is in the middle of the visible spectrum. In the case of Ag and Pd impurities, they lead to increased electromagnetic radiation absorption at the near ultra-violet spectrum. This represents a promising performance for efficient solar radiation absorption, both at the Earth’s surface and in outer space. Furthermore, Ga- and In-doped ZnO present bandgaps of ∼0.9 eV, promising an interesting performance in the near infrared region. These findings suggest potential applications in solar energy harvesting and selective sensors. Full article
(This article belongs to the Topic Wide Bandgap Semiconductor Electronics and Devices)
Show Figures

Figure 1

Back to TopTop