Comparative Study of the Bioactive Properties and Elemental Composition of Red Clover (Trifolium pratense) and Alfalfa (Medicago sativa) Sprouts during Germination
Abstract
1. Introduction
2. Results and Discussions
2.1. Total Polyphenols and Anti-Radical Activity
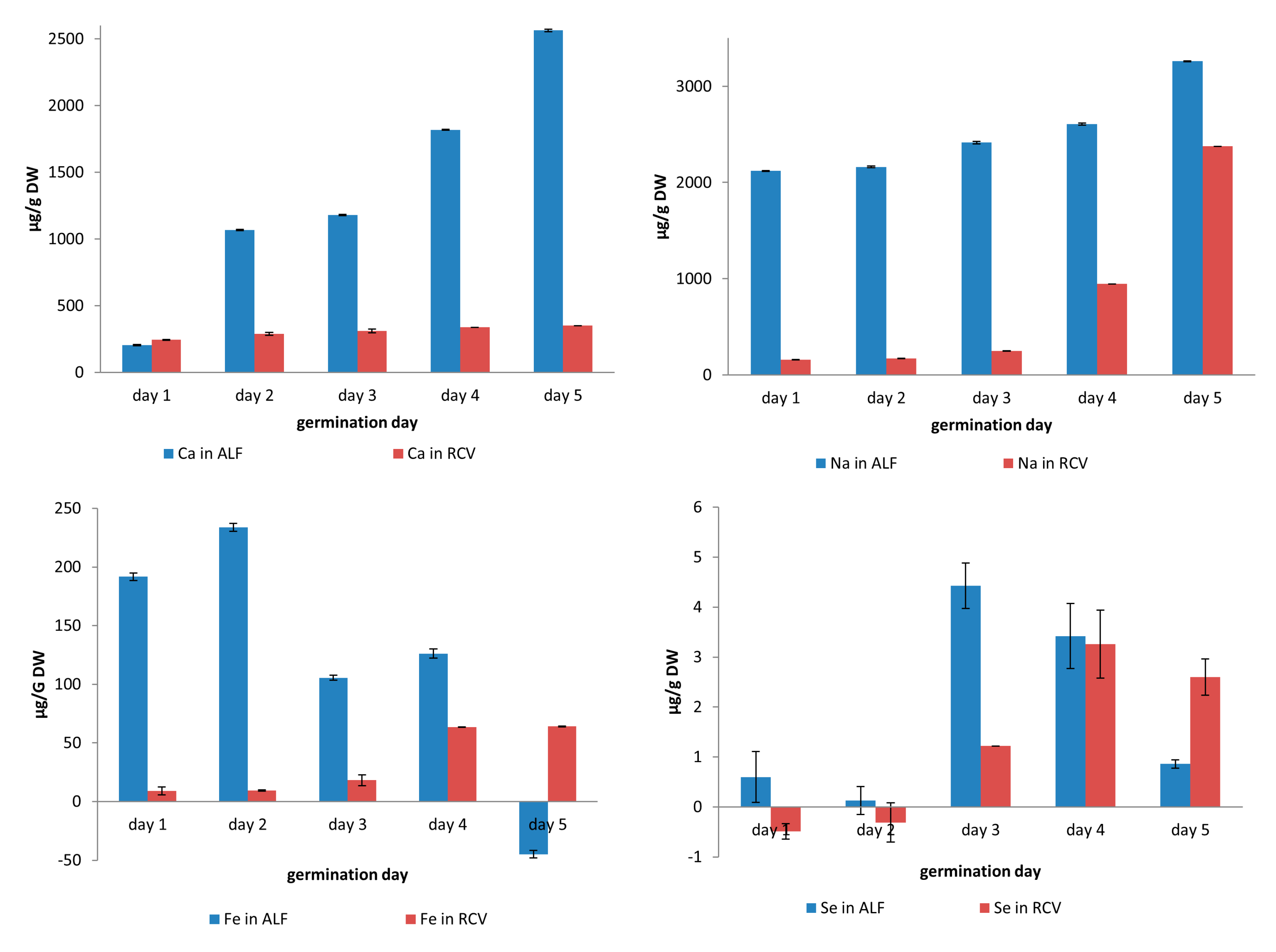
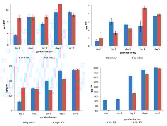
2.2. Elemental Profile Composition
2.3. Multivariate Statistical Analysis
3. Materials and Methods
3.1. Plant Samples—Germination
3.2. Total Polyphenols (TP) and Anti-Radical Activity (AA)
3.2.1. Determination of Total Polyphenols (TP)
3.2.2. Anti-Radical Activity (DPPH assay)
3.3. Elemental Content Determination
3.3.1. Microwave Acid Digestion of Plant Material
3.3.2. Analytical Determinations
3.4. Statistical Analysis
4. Conclusions
Supplementary Materials
Author Contributions
Funding
Acknowledgments
Conflicts of Interest
References
- Spanguolo, P.; Rasini, E.; Luini, A.; Legnaro, M.; Luzzani, M.; Casareto, E.; Carreri, M.; Paracchini, S.; Marino, F.; Cosentino, M. Isoflavone content and estrogenic activity of different batches of red clover (Trifolium pretense L.) extracts: An in vitro study in MCF-7 cells. Fitoterapia 2014, 94, 62–69. [Google Scholar]
- Clifton-Bligh, P.B.; Nery, M.-L.; Clifton-Bligh, R.J.; Visvalingam, S.; Fulcher, G.R.; Byth, K.; Baber, R. Red clover isoflavones enriched with formononetin lower serum LDL cholesterol—A randomized, double-blind, placebo-controlled study. Eur. J. Clin. Nutr. 2014, 69, 134–142. [Google Scholar] [CrossRef]
- Rafińska, K.; Pomastowski, P.; Wrona, O.; Górecki, R.; Buszewski, B. Medicago sativa as a source of secondary metabolites for agriculture and pharmaceutical industry. Phytochem. Lett. 2017, 20, 520–539. [Google Scholar] [CrossRef]
- Çölgeçen, H.; Koca, U.; Büyükkartal, H. Use of Red Clover (Trifolium pratense L.) Seeds in Human Therapeutics. In Nuts and Seeds in Health and Disease Prevention; Elsevier: Amsterdam, The Netherlands, 2020; pp. 421–427. [Google Scholar]
- Vlaisavljević, S.; Kaurinovic, B.; Popovic, M.; Vasiljević, S. Profile of phenolic compounds in Trifolium pratense L. extracts at different growth stages and their biological activities. Int. J. Food Prop. 2017, 20, 3090–3101. [Google Scholar] [CrossRef]
- Ferraris, C.; Ballestra, B.; Cappelletti, V.; Listorti, C.; Miodini, P.; Pulice, I.; Mariani, L.; Ferrari, E.; Gambaro, A.; Maugeri, I.; et al. Use of red clover in premenopausal breast cancer patients receiving hormonal adjuvant treatment: Biological and clinical implications from a randomized clinical trial. Ann. Oncol. 2018, 29, viii80. [Google Scholar] [CrossRef]
- Booth, N.L.; Piersen, C.E.; Banuvar, S.; Geller, S.E.; Shulman, L.P.; Farnsworth, N.R. Clinical studies of red clover (Trifolium pratense) dietary supplements in menopause: A literature review. Menopause 2006, 13, 251–264. [Google Scholar] [CrossRef] [PubMed]
- Hošek, J.; Šmejkal, K. Flavonoids as Anti-inflammatory Agents. In Encyclopedia of Inflammatory Diseases; Parnham, M., Ed.; Birkhäuser: Basel, Switzerland, 2015. [Google Scholar]
- Shi, Y.; Guo, R.; Wang, X.; Yuan, D.; Zhang, S.; Wang, J.; Yan, X.; Wang, C. The Regulation of Alfalfa Saponin Extract on Key Genes Involved in Hepatic Cholesterol Metabolism in Hyperlipidemic Rats. PLoS ONE 2014, 9, e88282. [Google Scholar] [CrossRef]
- Cornara, L.; Ulrih, N.P.; Burlando, B. Therapeutic Potential of Temperate Forage Legumes: A Review. Crit. Rev. Food Sci. Nutr. 2015, 56, S149–S161. [Google Scholar] [CrossRef]
- Silva, L.R.; Pereira, M.J.; Azevedo, J.; Gonçalves, R.F.; Valentão, P.; De Pinho, P.G.; Andrade, P.B. Glycine max (L.) Merr., Vigna radiata L. and Medicago sativa L. sprouts: A natural source of bioactive compounds. Food Res. Int. 2013, 50, 167–175. [Google Scholar] [CrossRef]
- Nelson, K.; Stojanovska, L.; Vasiljevic, T.; Mathai, M. Germinated grains: A superior whole grain functional food? Can. J. Physiol. Pharmacol. 2013, 91, 429–441. [Google Scholar] [CrossRef]
- Gan, R.-Y.; Lui, W.-Y.; Wu, K.; Chan, C.-L.; Dai, S.-H.; Sui, Z.-Q.; Corke, H. Bioactive compounds and bioactivities of germinated edible seeds and sprouts: An updated review. Trends Food Sci. Technol. 2017, 59, 1–14. [Google Scholar] [CrossRef]
- Chavan, J.K.; Kadam, S.S.; Beuchat, L.R. Nutritional improvement of cereals by sprouting. Crit. Rev. Food Sci. Nutr. 1989, 28, 401–437. [Google Scholar] [CrossRef] [PubMed]
- Plaza, L.; De Ancos, B.; Cano, P.M. Nutritional and health-related compounds in sprouts and seeds of soybean (Glycine max), wheat (Triticum aestivum L.) and alfalfa (Medicago sativa) treated by a new drying method. Eur. Food Res. Technol. 2003, 216, 138–144. [Google Scholar] [CrossRef]
- Luo, Y.-W.; Xie, W. Effect of soaking and sprouting on iron and zinc availability in green and white faba bean (Vicia faba L.). J. Food Sci. Technol. 2013, 51, 3970–3976. [Google Scholar] [CrossRef]
- Ferrari, C.; Torres, E. Biochemical pharmacology of functional foods and prevention of chronic diseases of aging. Biomed. Pharmacother. 2003, 57, 251–260. [Google Scholar] [CrossRef]
- El-Deeb, M.M.K.; El-Sheredy, H.G.; Mohammed, A.F. The Role of Serum Trace Elements and Oxidative Stress in Egyptian Breast Cancer Patients. Adv. Breast Cancer Res. 2016, 5, 37–47. [Google Scholar] [CrossRef]
- Terry, P.D.; Qin, B.; Camacho, F.; Moorman, P.G.; Alberg, A.J.; Barnholtz-Sloan, J.S.; Bondy, M.; Cote, M.L.; Funkhouser, E.; Guertin, M.J.; et al. Supplemental Selenium May Decrease Ovarian Cancer Risk in African-American Women. J. Nutr. 2017, 147, 621–627. [Google Scholar] [CrossRef]
- Lomagno, K.A.; Hu, F.; Riddell, L.J.; Booth, A.O.; Szymlek-Gay, E.A.; Nowson, C.A.; Byrne, L.K. Increasing Iron and Zinc in Pre-Menopausal Women and Its Effects on Mood and Cognition: A Systematic Review. Nutrients 2014, 6, 5117–5141. [Google Scholar] [CrossRef]
- Szkup, M.; Jurczak, A.; Brodowska, A.; Brodowska, A.; Noceń, I.; Chlubek, D.; Laszczyńska, M.; Karakiewicz, B.; Grochans, E. Analysis of Relations Between the Level of Mg, Zn, Ca, Cu, and Fe and Depressiveness in Postmenopausal Women. Biol. Trace Element Res. 2016, 176, 56–63. [Google Scholar] [CrossRef]
- Mattioli, S.; Bosco, A.D.; Martino, M.; Ruggeri, S.; Marconi, O.; Sileoni, V.; Falcinelli, B.; Castellini, C.; Benincasa, P. Alfalfa and flax sprouts supplementation enriches the content of bioactive compounds and lowers the cholesterol in hen egg. J. Funct. Foods 2016, 22, 454–462. [Google Scholar] [CrossRef]
- Chiriac, E.R.; Chiţescu, C.L.; Borda, D.; Lupoae, M.; Gird, C.E.; Geana, E.-I.; Blaga, G.-V.; Boscencu, R. Comparison of the Polyphenolic Profile of Medicago sativa L. and Trifolium pratense L. Sprouts in Different Germination Stages Using the UHPLC-Q Exactive Hybrid Quadrupole Orbitrap High-Resolution Mass Spectrometry. Molecules 2020, 25, 2321. [Google Scholar] [CrossRef]
- Butkutė, B.; Taujenis, L.; Norkevičienė, E. Small-Seeded Legumes as a Novel Food Source. Variation of Nutritional, Mineral and Phytochemical Profiles in the Chain: Raw Seeds-Sprouted Seeds-Microgreens. Molecules 2018, 24, 133. [Google Scholar] [CrossRef] [PubMed]
- Sangronis, E.; Machado, C. Influence of germination on the nutritional quality of Phaseolus vulgaris and Cajanus cajan. LWT 2007, 40, 116–120. [Google Scholar] [CrossRef]
- Narina, S.S.; Hamama, A.A.; Bhardwaj, H.L. Nutritional and Mineral Composition of Flax Sprouts. J. Agric. Sci. 2012, 4, 60. [Google Scholar] [CrossRef][Green Version]
- Oh, M.-M.; Rajashekar, C.B. Antioxidant content of edible sprouts: Effects of environmental shocks. J. Sci. Food Agric. 2009, 89, 2221–2227. [Google Scholar] [CrossRef]
- Ti, H.; Zhang, R.; Zhang, M.; Li, Q.; Wei, Z.; Zhang, Y.; Tang, X.; Deng, Y.; Liu, L.; Ma, Y. Dynamic changes in the free and bound phenolic compounds and antioxidant activity of brown rice at different germination stages. Food Chem. 2014, 161, 337–344. [Google Scholar] [CrossRef]
- Pongrac, P.; Potisek, M.; Fraś, A.; Likar, M.; Budič, B.; Myszka, K.; Boros, D.; Necemer, M.; Kelemen, M.; Vavpetič, P.; et al. Composition of mineral elements and bioactive compounds in tartary buckwheat and wheat sprouts as affected by natural mineral-rich water. J. Cereal Sci. 2016, 69, 9–16. [Google Scholar] [CrossRef]
- Tiyayon, P.; Duangmal, K. Changes in chemical composition, minerals, total phenolic compounds and antioxidant activities during germination of sunflower sprout. Acta Hortic. 2018, 527–532. [Google Scholar] [CrossRef]
- Zielinski, H.; Frias, J.; Piskuła, M.K.; Kozłowska, H.; Vidal-Valverde, C. Vitamin B1 and B2, dietary fiber and minerals content of Cruciferae sprouts. Eur. Food Res. Technol. 2005, 221, 78–83. [Google Scholar] [CrossRef]
- Özcan, M.M.; Al-Juhaimi, F. Effect of sprouting and roasting processes on some physico-chemical properties and mineral contents of soybean seed and oils. Food Chem. 2014, 154, 337–342. [Google Scholar] [CrossRef]
- Bains, K.; Uppal, V.; Kaur, H. Optimization of germination time and heat treatments for enhanced availability of minerals from leguminous sprouts. J. Food Sci. Technol. 2011, 51, 1016–1020. [Google Scholar] [CrossRef]
- Leopoldini, M.; Russo, N.; Toscano, M. The molecular basis of working mechanism of natural polyphenolic antioxidants. Food Chem. 2011, 125, 288–306. [Google Scholar] [CrossRef]
- Tiwari, U.; Servan, A.; Nigam, D. Comparative study on antioxidant activity, phytochemical analysis and mineral composition of the Mung Bean (Vigna Radiata) and its sprouts. J. Pharmacogn. Phytochem. 2017, 6, 336–340. [Google Scholar]
- Koplík, R.; Pavelková, H.; Cincibuchová, J.; Mestek, O.; Kvasnička, F.; Suchanek, M. Fractionation of phosphorus and trace elements species in soybean flour and common white bean seeds by size exclusion chromatography–inductively coupled plasma mass spectrometry. J. Chromatogr. B 2002, 770, 261–273. [Google Scholar] [CrossRef]
- Kolodziejczyk-Czepas, J. Trifolium species—The latest findings on chemical profile, ethnomedicinal use and pharmacological properties. J. Pharm. Pharmacol. 2016, 68, 845–861. [Google Scholar] [CrossRef] [PubMed]
- Brand-Williams, W.; Cuvelier, M.; Berset, C. Use of a free radical method to evaluate antioxidant activity. LWT 1995, 28, 25–30. [Google Scholar] [CrossRef]
- Popescu, R.; Ionete, R.E.; Dinca, O.R.; Costinel, D.; Bucura, F.; Geana, E.-I.; Alabedallat, Y.F.J.; Botu, M. ¹H-NMR Profiling and Carbon Isotope Discrimination as Tools for the Comparative Assessment of Walnut (Juglans regia L.) Cultivars with Various Geographical and Genetic Origins-A Preliminary Study. Molecules 2019, 24, 1378. [Google Scholar] [CrossRef]





| µg/g DW | ALF Seeds | ALF Day 1 | ALF Day 2 | ALF Day 3 | ALF Day 4 | ALF Day 5 |
|---|---|---|---|---|---|---|
| Ca | 200.74 f ± 7.4 | 407.02 e ± 2.9 | 1269.57 d ± 2.5 | 1380.49 c ± 3.1 | 2018.75 b ± 3.8 | 2765.31 a ± 1.4 |
| Mg | 2117.59 e ± 5.6 | 2299.04 d ± 5.4 | 2564.13 c ± 7.7 | 2720.73 b ± 5.3 | 2925 a ± 8.1 | 2933.72 a ± 9.7 |
| Na | 818.15 f ± 3.9 | 2936.96 e ± 7.8 | 2979.59 d ± 5.5 | 3231.73 c ± 9.5 | 3424.39 b ± 8.5 | 4080 a ± 10.6 |
| K | 7304.81 f ± 9.4 | 9428.26 e ± 4.1 | 9611.11 d ± 9.6 | 14,510.2 c ± 6.2 | 15,780.49 b ± 8.0 | 16,475 a ± 8.9 |
| Fe | 131.11 e ± 1.5 | 322.79 b ± 4.6 | 365 a ± 4.9 | 236.71 d ± 3.7 | 257.25 c ± 4.4 | 86.2 f ± 4.6 |
| Zn | 57.06 c ± 2.1 | 60.37 b c ± 2.3 | 66.76 a ± 3.4 | 64.35 a b ± 2.6 | 68.25 a ± 05 | 68.24 a ± 1.5 |
| Cu | 16.41 a ± 0.6 | 17.06 a ± 0.7 | 18.12 a ± 2.6 | 19.07 a ± 0.5 | 18.86 a ± 2.3 | 20.12 a ± 2.3 |
| Se | 6.99 b ± 1.3 | 7.59 a b ± 0.8 | 7.12 b ± 0.4 | 11.42 a ± 1.8 | 10.41 a b ± 2.0 | 7.85 a b ± 2.1 |
| Ni | 3.47 c ± 0.2 | 3.72 b c ± 0.02 | 4.12 a b c ± 0.05 | 3.45 c ± 0.5 | 4.84 a ± 0.2 | 4.37 a b ± 0.2 |
| Mn | 11.69 d ± 0.2 | 12.32 c d ± 0.7 | 13.27 b c ± 0.6 | 11.67 d ± 0.2 | 14.09 b ± 0.4 | 17.99 a ± 1.0 |
| Σ | 10,668.02 ± 5.8 | 15,495.13 ± 3.1 | 16,898.79 ± 6.5 | 22,189.82 ± 3.3 | 24,522.33 ± 10.4 | 26,458.8 ± 4.2 |
| µg/g DW | RCV Seeds | RCV Day 1 | RCV Day 2 | RCV Day 3 | RCV Day 4 | RCV Day 5 |
|---|---|---|---|---|---|---|
| Ca | 250.83 f ± 6.9 | 495.65 e ± 4.7 | 539.39 d ± 7.02 | 563.23 c ± 7.02 | 589.39 b ± 6.7 | 601.59 a ± 5.6 |
| Mg | 2512.96 e ± 5.8 | 2976.09 d ± 3.8 | 2945.92 c ± 10.3 | 2928 b.13 ± 9.4 | 3151.22 a ± 7.1 | 3347.56 a ± 2.7 |
| Na | 223.61 f ± 4.2 | 381.09 e ± 4.5 | 393.67 d ± 5.7 | 470.63 c ± 6.6 | 1166.1 b ± 8.3 | 2603.66 a ± 9.9 |
| K | 8186.36 f ± 7.2 | 8159.3 e ± 9.4 | 8202.04 d ± 3.2 | 11,760.42 c ± 2.5 | 15,743.9 b ± 6.2 | 16,963.41 a ± 7.6 |
| Fe | 50.61 e ± 3.2 | 59.61 b ± 6.6 | 60.07 a ± 2.6 | 68.82 d ± 1.4 | 114.15 c ± 3.1 | 114.68 f ± 3.0 |
| Zn | 39.94 c ± 3.3 | 48.42 b c ± 1.2 | 48.8 a ± 0.9 | 49.13 a b ± 2.1 | 53.7 a ± 2.5 | 49.5 a ± 1.2 |
| Cu | 16.04 a ± 1.1 | 17.02 a ± 1.9 | 17.64 a ± 0.9 | 18.23 a ± 1.5 | 20.74 a ± 1.7 | 19.96 a ± 3.2 |
| Se | 6.16 b ± 1.4 | 5.67 b ± 1.7 | 5.85 b ± 1.2 | 7.38 a ± 0.8 | 9.42 a b ± 2.0 | 8.76 a b ± 0.6 |
| Ni | 2.5 c ± 0.5 | 2.38 b c ± 0.3 | 2.64 a b c ± 0.5 | 2.74 c ± 0.4 | 3.47 a ± 0.4 | 3.39 a b ± 0.2 |
| Mn | 7.87 d ± 0.5 | 8.02 c d ± 0.5 | 8.09 b c ± 0.7 | 8.19 d ± 0.3 | 9.08 b ± 0.6 | 8.95 a ± 0.8 |
| Σ | 11,296.88 ± 3.9 | 12,153.25 ± 2.4 | 12,224.11 ± 2.6 | 15,876.9 ± 1.4 | 20,861.17 ± 8.9 | 23,721.46 ± 3.5 |
| Step | Power (%) | Ramp (min) | Pressure (bar) | Temperature (°C) | Time (min) |
|---|---|---|---|---|---|
| 1 | 80 | 5 | 40 | 170 | 10 |
| 2 | 90 | 1 | 40 | 200 | 15 |
Publisher’s Note: MDPI stays neutral with regard to jurisdictional claims in published maps and institutional affiliations. |
© 2020 by the authors. Licensee MDPI, Basel, Switzerland. This article is an open access article distributed under the terms and conditions of the Creative Commons Attribution (CC BY) license (http://creativecommons.org/licenses/by/4.0/).
Share and Cite
Chiriac, E.R.; Chiţescu, C.L.; Sandru, C.; Geană, E.-I.; Lupoae, M.; Dobre, M.; Borda, D.; Gird, C.E.; Boscencu, R. Comparative Study of the Bioactive Properties and Elemental Composition of Red Clover (Trifolium pratense) and Alfalfa (Medicago sativa) Sprouts during Germination. Appl. Sci. 2020, 10, 7249. https://doi.org/10.3390/app10207249
Chiriac ER, Chiţescu CL, Sandru C, Geană E-I, Lupoae M, Dobre M, Borda D, Gird CE, Boscencu R. Comparative Study of the Bioactive Properties and Elemental Composition of Red Clover (Trifolium pratense) and Alfalfa (Medicago sativa) Sprouts during Germination. Applied Sciences. 2020; 10(20):7249. https://doi.org/10.3390/app10207249
Chicago/Turabian StyleChiriac, Elena Roxana, Carmen Lidia Chiţescu, Claudia Sandru, Elisabeta-Irina Geană, Mariana Lupoae, Michaela Dobre, Daniela Borda, Cerasela Elena Gird, and Rica Boscencu. 2020. "Comparative Study of the Bioactive Properties and Elemental Composition of Red Clover (Trifolium pratense) and Alfalfa (Medicago sativa) Sprouts during Germination" Applied Sciences 10, no. 20: 7249. https://doi.org/10.3390/app10207249
APA StyleChiriac, E. R., Chiţescu, C. L., Sandru, C., Geană, E.-I., Lupoae, M., Dobre, M., Borda, D., Gird, C. E., & Boscencu, R. (2020). Comparative Study of the Bioactive Properties and Elemental Composition of Red Clover (Trifolium pratense) and Alfalfa (Medicago sativa) Sprouts during Germination. Applied Sciences, 10(20), 7249. https://doi.org/10.3390/app10207249

