Scopolamine-Induced Amnesia in Zebrafish: Behavioral Characterization and Pharmacological Reversal
Simple Summary
Abstract
1. Introduction
2. Materials and Methods
2.1. Experimental Animals
2.2. Reagents
2.3. Scopolamine-Induced Memory Impairment
2.3.1. Dark Zone Training
2.3.2. Inhibitory Avoidance Task
2.3.3. Scopolamine-Induced Cognitive Deficit
2.3.4. Behavioral Assessment in a Novel Environment
2.3.5. Experimental Design
3. Results
3.1. Baseline Behavior of D. rerio in the Light/Dark Tank
3.2. Scopolamine-Induced Cognitive Impairment in D. rerio
3.3. Donepezil Prevents Scopolamine-Induced Cognitive Impairment
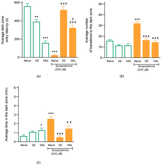
3.4. Haloperidol Modulation of Scopolamine-Induced Amnesia
3.5. Behavioral Assessment in a Novel Environment After Light/Dark Tank Training
4. Discussion
5. Conclusions
Author Contributions
Funding
Institutional Review Board Statement
Informed Consent Statement
Data Availability Statement
Acknowledgments
Conflicts of Interest
Abbreviations
| au | Area units |
| DZ | Donepezil |
| HAL | Haloperidol |
| AUC | Area under the curve |
| dB | Decibels |
References
- Sun, Y.; Ji, M.; Leng, M.; Li, X.; Zhang, X.; Wang, Z. Comparative efficacy of 11 non-pharmacological interventions on depression, anxiety, quality of life, and caregiver burden for informal caregivers of people with dementia: A systematic review and network meta-analysis. Int. J. Nurs. Stud. 2022, 129, 104204. [Google Scholar] [CrossRef]
- Chen, W.N.; Yeong, K.Y. Scopolamine, a Toxin-Induced Experimental Model, Used for Research in Alzheimer’s Disease. CNS Neurol. Disord. Drug Targets 2020, 19, 85–93. [Google Scholar] [CrossRef]
- Avdesh, A.; Martin-Iverson, M.T.; Mondal, A.; Chen, M.; Askraba, S.; Morgan, N.; Lardelli, M.; Groth, D.M.; Verdile, G.; Martins, R.N. Evaluation of color preference in zebrafish for learning and memory. J. Alzheimer’s Dis. 2012, 28, 459–469. [Google Scholar] [CrossRef]
- Howe, K.; Clark, M.D.; Torroja, C.F.; Torrance, J.; Berthelot, C.; Muffato, M.; Collins, J.E.; Humphray, S.; McLaren, K.; Matthews, L.; et al. The zebrafish reference genome sequence and its relationship to the human genome. Nature 2013, 496, 498–503. [Google Scholar] [CrossRef]
- Gerlai, R. Associative learning in zebrafish (Danio rerio). Methods Cell Biol. 2011, 101, 249–270. [Google Scholar] [CrossRef]
- Rosa, J.G.S.; Lima, C.; Lopes-Ferreira, M. Zebrafish Larvae Behavior Models as a Tool for Drug Screenings and Pre-Clinical Trials: A Review. Int. J. Mol. Sci. 2022, 23, 6647. [Google Scholar] [CrossRef]
- Benvenutti, R.; Marcon, M.; Gallas-Lopes, M.; de Mello, A.J.; Herrmann, A.P.; Piato, A. Swimming in the maze: An overview of maze apparatuses and protocols to assess zebrafish behavior. Neurosci. Biobehav. Rev. 2021, 127, 761–778. [Google Scholar] [CrossRef]
- Best, J.D.; Berghmans, S.; Hunt, J.J.; Clarke, S.C.; Fleming, A.; Goldsmith, P.; Roach, A.G. Non-associative learning in larval zebrafish. Neuropsychopharmacology 2008, 33, 1206–1215. [Google Scholar] [CrossRef]
- Aoki, R.; Tsuboi, T.; Okamoto, H. Y-maze avoidance: An automated and rapid associative learning paradigm in zebrafish. Neurosci. Res. 2015, 91, 69–72. [Google Scholar] [CrossRef]
- Yeap, J.; Crouch, B.; Riedel, G.; Platt, B. Sequential habituation to space, object and stranger is differentially modulated by glutamatergic, cholinergic and dopaminergic transmission. Behav. Pharmacol. 2020, 31, 652–670. [Google Scholar] [CrossRef]
- Torre, E.; Fassino, S.; Ancona, M. Non-associative learning in the mouse. Effect of morphine and naloxone. Funct. Neurol. 1986, 1, 279–284. [Google Scholar]
- de Angelis, L.; Furlan, C. The effects of ascorbic acid and oxiracetam on scopolamine-induced amnesia in a habituation test in aged mice. Neurobiol. Learn. Mem. 1995, 64, 119–124. [Google Scholar] [CrossRef]
- Sande, R.; Godad, A.; Doshi, G. Zebrafish Experimental Animal Models for AD: A Comprehensive Review. Curr. Rev. Clin. Exp. Pharmacol. 2024, 19, 295–311. [Google Scholar] [CrossRef]
- Hussain, H.; Ahmad, S.; Shah, S.W.A.; Ullah, A.; Rahman, S.U.; Ahmad, M.; Almehmadi, M.; Abdulaziz, O.; Allahyani, M.; Alsaiari, A.A.; et al. Synthetic Mono-Carbonyl Curcumin Analogues Attenuate Oxidative Stress in Mouse Models. Biomedicines 2022, 10, 2597. [Google Scholar] [CrossRef]
- Rico, E.P.; Rosemberg, D.B.; Seibt, K.J.; Capiotti, K.M.; Da Silva, R.S.; Bonan, C.D. Zebrafish neurotransmitter systems as potential pharmacological and toxicological targets. Neurotoxicol. Teratol. 2011, 33, 608–617. [Google Scholar] [CrossRef]
- Adhish, M.; Manjubala, I. Effectiveness of zebrafish models in understanding human diseases-A review of models. Heliyon 2023, 9, e14557. [Google Scholar] [CrossRef]
- Quiñonez-Silvero, C.; Hübner, K.; Herzog, W. Development of the brain vasculature and the blood-brain barrier in zebrafish. Dev. Biol. 2020, 457, 181–190. [Google Scholar] [CrossRef]
- Aleström, P.; D’aNgelo, L.; Midtlyng, P.J.; Schorderet, D.F.; Schulte-Merker, S.; Sohm, F.; Warner, S. Zebrafish: Housing and husbandry recommendations. Lab. Anim. 2020, 54, 213–224. [Google Scholar] [CrossRef]
- Déciga-Campos, M.; Navarrete-Vázquez, G.; López-Muñoz, F.J.; Librowski, T.; Sánchez-Recillas, A.; Yañez-Pérez, V.; Ortiz-Andrade, R. Complementary pharmacological and toxicological characterization data on the pharmacological profile of N-(2,6-dichlorophenyl)-2-(4-methyl-1-piperidinyl) acetamide. Data Brief 2016, 8, 1007–1012. [Google Scholar] [CrossRef]
- Rajesh, V.; Mridhulmohan, M.; Jayaseelan, S.; Sivakumar, P.; Ganesan, V. Mefenamic Acid Attenuates Chronic Alcohol Induced Cognitive Impairment in Zebrafish: Possible Role of Cholinergic Pathway. Neurochem. Res. 2018, 43, 1392–1404. [Google Scholar] [CrossRef]
- Maximino, C.; de Brito, T.M.; da Silva Batista, A.W.; Herculano, A.M.; Morato, S.; Gouveia, A., Jr. Measuring anxiety in zebrafish: A critical review. Behav. Brain Res. 2010, 214, 157–171. [Google Scholar] [CrossRef]
- Agetsuma, M.; Aizawa, H.; Aoki, T.; Nakayama, R.; Takahoko, M.; Goto, M.; Sassa, T.; Amo, R.; Shiraki, T.; Kawakami, K.; et al. The habenula is crucial for experience-dependent modification of fear responses in zebrafish. Nat. Neurosci. 2010, 13, 1354–1356. [Google Scholar] [CrossRef]
- Magno, L.D.; Fontes, A.; Gonçalves, B.M.; Gouveia, A., Jr. Pharmacological study of the light/dark preference test in zebrafish (Danio rerio): Waterborne administration. Pharmacol. Biochem. Behav. 2015, 135, 169–176. [Google Scholar] [CrossRef]
- Schausberger, P.; Peneder, S. Non-associative versus associative learning by foraging predatory mites. BMC Ecol. 2017, 17, 2. [Google Scholar] [CrossRef]
- Steenbergen, P.J.; Richardson, M.K.; Champagne, D.L. Patterns of avoidance behaviours in the light/dark preference test in young juvenile zebrafish: A pharmacological study. Behav. Brain Res. 2011, 222, 15–25. [Google Scholar] [CrossRef]
- Champagne, D.L.; Hoefnagels, C.C.; de Kloet, R.E.; Richardson, M.K. Translating rodent behavioral repertoire to zebrafish (Danio rerio): Relevance for stress research. Behav. Brain Res. 2010, 214, 332–342. [Google Scholar] [CrossRef]
- Blaser, R.E.; Peñalosa, Y.M. Stimuli affecting zebrafish (Danio rerio) behavior in the light/dark preference test. Physiol. Behav. 2011, 104, 831–837. [Google Scholar] [CrossRef]
- Bourin, M.; Hascoët, M. The mouse light/dark box test. Eur. J. Pharmacol. 2003, 463, 55–65. [Google Scholar] [CrossRef]
- Klinkenberg, I.; Blokland, A. The validity of scopolamine as a pharmacological model for cognitive impairment: A review of animal behavioral studies. Neurosci. Biobehav. Rev. 2010, 34, 1307–1350. [Google Scholar] [CrossRef]
- Flicker, C.; Serby, M.; Ferris, S.H. Scopolamine effects on memory, language, visuospatial praxis and psychomotor speed. Psychopharmacology 1990, 100, 243–250. [Google Scholar] [CrossRef]
- Cheon, S.Y.; Koo, B.N.; Kim, S.Y.; Kam, E.H.; Nam, J.; Kim, E.J. Scopolamine promotes neuroinflammation and delirium-like neuropsychiatric disorder in mice. Sci. Rep. 2021, 11, 8376. [Google Scholar] [CrossRef]
- Khakpai, F.; Nasehi, M.; Haeri-Rohani, A.; Eidi, A.; Zarrindast, M.R. Scopolamine induced memory impairment; possible involvement of NMDA receptor mechanisms of dorsal hippocampus and/or septum. Behav. Brain Res. 2012, 231, 1–10. [Google Scholar] [CrossRef]
- Geldenhuys, W.J.; Allen, D.D.; Bloomquist, J.R. Novel models for assessing blood-brain barrier drug permeation. Expert Opin. Drug Metab. Toxicol. 2012, 8, 647–653. [Google Scholar] [CrossRef]
- Fleming, A.; Diekmann, H.; Goldsmith, P. Functional characterisation of the maturation of the blood-brain barrier in larval zebrafish. PLoS ONE 2013, 8, e77548. [Google Scholar] [CrossRef]
- Facciol, A.; Tran, S.; Gerlai, R. A Standardized Tank Design for the Light Dark Task in Zebrafish. Bio-Protocol 2019, 9, e3306. [Google Scholar] [CrossRef]
- Bourin, M.; Petit-Demoulière, B.; Dhonnchadha, B.N.; Hascöet, M. Animal models of anxiety in mice. Fundam. Clin. Pharmacol. 2007, 21, 567–574. [Google Scholar] [CrossRef]
- Ampatzis, K.; Dermon, C.R. Sexual dimorphisms in swimming behavior, cerebral metabolic activity and adrenoceptors in adult zebrafish (Danio rerio). Behav. Brain Res. 2016, 312, 385–393. [Google Scholar] [CrossRef]
- Dos Santos, B.E.; Giacomini, A.C.V.V.; Marcon, L.; Demin, K.A.; Strekalova, T.; de Abreu, M.S.; Kalueff, A.V. Sex differences shape zebrafish performance in a battery of anxiety tests and in response to acute scopolamine treatment. Neurosci. Lett. 2021, 759, 135993. [Google Scholar] [CrossRef]
- Ogura, H.; Kosasa, T.; Araki, S.; Yamanishi, Y. Pharmacological properties of donepezil hydrochloride (Aricept), a drug for Alzheimer’s disease. Nihon Yakurigaku Zasshi 2000, 115, 45–51. [Google Scholar] [CrossRef]
- Song, J.C.; Seo, M.K.; Park, S.W.; Lee, J.G.; Kim, Y.H. Differential Effects of Olanzapine and Haloperidol on MK-801-induced Memory Impairment in Mice. Clin. Psychopharmacol. Neurosci. 2016, 14, 279–285. [Google Scholar] [CrossRef]
- Fallon, S.J.; Muhammed, K.; Drew, D.S.; Ang, Y.S.; Manohar, S.G.; Husain, M. Dopamine guides competition for cognitive control: Common effects of haloperidol on working memory and response conflict. Cortex 2019, 113, 156–168. [Google Scholar] [CrossRef]
- Audira, G.; Ngoc Anh, N.T.; Ngoc Hieu, B.T.; Malhotra, N.; Siregar, P.; Villalobos, O.; Villaflores, O.B.; Ger, T.R.; Huang, J.C.; Chen, K.H.; et al. Evaluation of the Adverse Effects of Chronic Exposure to Donepezil (An Acetylcholinesterase Inhibitor) in Adult Zebrafish by Behavioral and Biochemical Assessments. Biomolecules 2020, 10, 1340. [Google Scholar] [CrossRef]
- Mahadik, S.P.; Laev, H.; Korenovsky, A.; Karpiak, S.E. Haloperidol alters rat CNS cholinergic system: Enzymatic and morphological analyses. Biol. Psychiatry 1988, 24, 199–217. [Google Scholar] [CrossRef]
- Bertorelli, R.; Consolo, S. D1 and D2 dopaminergic regulation of acetylcholine release from striata of freely moving rats. J. Neurochem. 1990, 54, 2145–2148. [Google Scholar] [CrossRef]
- Seibt, K.J.; Oliveira Rda, L.; Rico, E.P.; Dias, R.D.; Bogo, M.R.; Bonan, C.D. Typical and atypical antipsychotics alter acetylcholinesterase activity and ACHE expression in zebrafish (Danio rerio) brain. Comp. Biochem. Physiol. Part C Toxicol. Pharmacol. 2009, 150, 10–15. [Google Scholar] [CrossRef]
- Holzschuh, J.; Ryu, S.; Aberger, F.; Driever, W. Dopamine transporter expression distinguishes dopaminergic neurons rom other catecholaminergic neurons in the developing zebrafish embryo. Mech. Dev. 2001, 101, 237–243. [Google Scholar] [CrossRef]
- Gomeza, J.; Zhang, L.; Kostenis, E.; Felder, C.; Bymaster, F.; Brodkin, J.; Shannon, H.; Xia, B.; Deng, C.; Wess, J. Enhancement of D1 dopamine receptor-mediated locomotor stimulation in M4 muscarinic acetylcholine receptor knockout mice. Proc. Natl. Acad. Sci. USA 1999, 96, 10483–10488. [Google Scholar] [CrossRef]
- Zhou, F.M.; Liang, Y.; Dani, J.A. Endogenous nicotinic cholinergic activity regulates dopamine release in the striatum. Nat. Neurosci. 2001, 4, 1224–1229. [Google Scholar] [CrossRef]
- Marcott, P.F.; Gong, S.; Donthamsetti, P.; Grinnell, S.G.; Nelson, M.N.; Newman, A.H.; Birnbaumer, L.; Martemyanov, K.A.; Javitch, J.A.; Ford, C.P. Regional Heterogeneity of D2-Receptor Signaling in the Dorsal Striatum and Nucleus Accumbens. Neuron 2018, 98, 575–587.e4. [Google Scholar] [CrossRef]
- Clos, M.; Bunzeck, N.; Sommer, T. Dopamine is a double-edged sword: Dopaminergic modulation enhances memory retrieval performance but impairs metacognition. Neuropsychopharmacology 2019, 44, 555–563. [Google Scholar] [CrossRef]





Disclaimer/Publisher’s Note: The statements, opinions and data contained in all publications are solely those of the individual author(s) and contributor(s) and not of MDPI and/or the editor(s). MDPI and/or the editor(s) disclaim responsibility for any injury to people or property resulting from any ideas, methods, instructions or products referred to in the content. |
© 2025 by the authors. Licensee MDPI, Basel, Switzerland. This article is an open access article distributed under the terms and conditions of the Creative Commons Attribution (CC BY) license (https://creativecommons.org/licenses/by/4.0/).
Share and Cite
Déciga-Campos, M.; Siles-Guevara, J.; Gil-López, S.A.; Pineda-Oliveros, J.; Ortíz-Andrade, R.R. Scopolamine-Induced Amnesia in Zebrafish: Behavioral Characterization and Pharmacological Reversal. Animals 2025, 15, 2624. https://doi.org/10.3390/ani15172624
Déciga-Campos M, Siles-Guevara J, Gil-López SA, Pineda-Oliveros J, Ortíz-Andrade RR. Scopolamine-Induced Amnesia in Zebrafish: Behavioral Characterization and Pharmacological Reversal. Animals. 2025; 15(17):2624. https://doi.org/10.3390/ani15172624
Chicago/Turabian StyleDéciga-Campos, Myrna, Janet Siles-Guevara, Susana Alejandra Gil-López, Jennifer Pineda-Oliveros, and Rolffy Rubén Ortíz-Andrade. 2025. "Scopolamine-Induced Amnesia in Zebrafish: Behavioral Characterization and Pharmacological Reversal" Animals 15, no. 17: 2624. https://doi.org/10.3390/ani15172624
APA StyleDéciga-Campos, M., Siles-Guevara, J., Gil-López, S. A., Pineda-Oliveros, J., & Ortíz-Andrade, R. R. (2025). Scopolamine-Induced Amnesia in Zebrafish: Behavioral Characterization and Pharmacological Reversal. Animals, 15(17), 2624. https://doi.org/10.3390/ani15172624

