Sign in to use this feature.

Years

Between: -

Subjects

remove_circle_outline
remove_circle_outline
remove_circle_outline
remove_circle_outline
remove_circle_outline
remove_circle_outline
remove_circle_outline
remove_circle_outline
remove_circle_outline

Journals

remove_circle_outline
remove_circle_outline
remove_circle_outline
remove_circle_outline
remove_circle_outline

Article Types

Countries / Regions

remove_circle_outline
remove_circle_outline
remove_circle_outline
remove_circle_outline
remove_circle_outline

Search Results (274)

Search Parameters:
Keywords = donepezil

Order results
Result details
Results per page
Select all
Export citation of selected articles as:
23 pages, 2463 KB  
Article
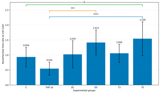
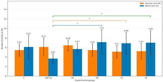
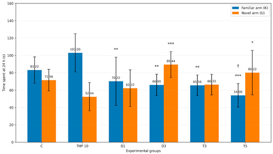
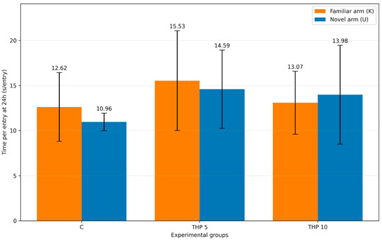
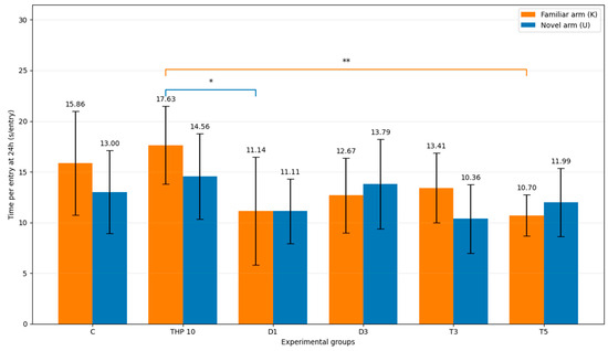
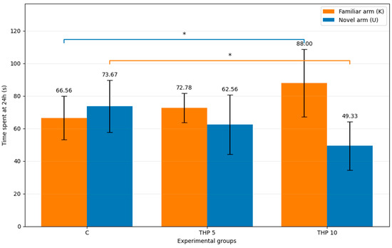
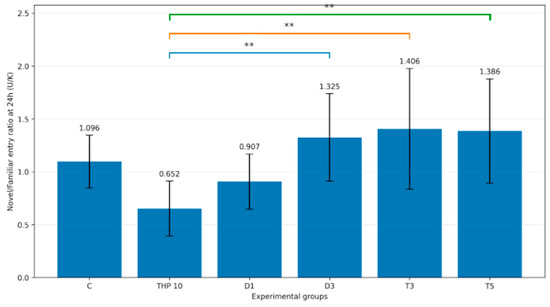
Differential Effects of Donepezil and Tacrine on Recall-Phase Exploration in a Trihexyphenidyl-Induced Cholinergic Impairment Y-Maze Model
by Adrian-Florentin Dragomir, Smaranda Stoleru, Aurelian Zugravu, Elena Poenaru, Maria Carina Dumitrescu, Aurelia Cristiana Barbu, Silvia Fratea, Clara Maria Stoleru, Oana Andreia Coman and Ion Fulga
Biomedicines 2026, 14(4), 938; https://doi.org/10.3390/biomedicines14040938 - 20 Apr 2026
Viewed by 177
Abstract
Background/Objectives: Cholinergic dysfunction plays a central role in memory impairment, yet trihexyphenidyl (THP)-based paradigms remain less explored than scopolamine-based models. This study aimed to characterize a THP-induced cholinergic challenge in a two-trial Y-maze with a 24 h interval and to compare the effects [...] Read more.
Background/Objectives: Cholinergic dysfunction plays a central role in memory impairment, yet trihexyphenidyl (THP)-based paradigms remain less explored than scopolamine-based models. This study aimed to characterize a THP-induced cholinergic challenge in a two-trial Y-maze with a 24 h interval and to compare the effects of donepezil and tacrine on recall-phase exploratory allocation. Methods: Male Wistar rats (n = 9/group) were studied in a validation phase including saline, THP 5 mg/kg, and THP 10 mg/kg groups, followed by an intervention phase including control, THP 10 mg/kg, donepezil 1 and 3 mg/kg + THP, and tacrine 3 and 5 mg/kg + THP groups. All treatments were administered intraperitoneally (i.p.). Acquisition- and recall-phase behavior was analyzed. Recall outcomes included arm times, arm entries, the novel-to-familiar arm time ratio (U/K time ratio), the novel-to-familiar arm entry ratio (U/K entry ratio), discrimination indices and time-per-entry indices. Data were analyzed by one-way ANOVA; Tukey’s post hoc test was used in the validation experiment, whereas Dunnett’s test was used in the intervention experiment for comparisons against THP 10. Results: THP at 10 mg/kg produced a robust recall-phase phenotype, with increased familiar-arm exploration, reduced novel-arm exploration and lower normalized indices. Under THP challenge, donepezil was associated with clearer effects at 3 mg/kg, whereas tacrine displayed a broader dose-dependent profile, with the strongest shift in recall-phase exploratory allocation toward the novel arm observed at 5 mg/kg. Conclusions: THP 10 mg/kg produced a robust recall-phase exploratory phenotype in a 24 h two-trial Y-maze paradigm. Under THP challenge, donepezil and tacrine were associated with shifts in recall-phase exploratory allocation. These findings support the potential utility of THP-based paradigms for studying cholinergic disruption in Y-maze settings, while direct comparison with scopolamine-based models remains to be established. Full article
(This article belongs to the Special Issue Animal Models for Neurological Disease Research)
Show Figures

Figure 1

24 pages, 4855 KB  
Article
Cholinesterase Inhibitory Activity of Alkylated Quinobenzothiazinium Salts
by Sarka Stepankova, Andrzej Bak, Malgorzata Latocha, Violetta Kozik, Agata Kawulok, Josef Jampilek and Andrzej Zieba
Molecules 2026, 31(8), 1346; https://doi.org/10.3390/molecules31081346 - 19 Apr 2026
Viewed by 252
Abstract
Ten substituted quinobenzothiazinium salts were tested for their ability to inhibit acetylcholinesterase (AChE) and butyrylcholinesterase (BChE). All the compounds inhibited AChE in the IC50 range of 0.03–0.658 µM, with 5,8,10-trimethyl-12H-quinolino[3,4-b][1,4]benzothiazin-5-ium chloride (3d) being the most potent [...] Read more.
Ten substituted quinobenzothiazinium salts were tested for their ability to inhibit acetylcholinesterase (AChE) and butyrylcholinesterase (BChE). All the compounds inhibited AChE in the IC50 range of 0.03–0.658 µM, with 5,8,10-trimethyl-12H-quinolino[3,4-b][1,4]benzothiazin-5-ium chloride (3d) being the most potent inhibitor, with an IC50 value significantly better than that of the clinically used rivastigmine and galantamine and comparable to that of tacrine and donepezil. The IC50 values for BChE inhibition ranged from 0.34 to 4.25 µM; 5,9-dimethyl-12H-quinolino[3,4-b][1,4]benzothiazin-5-ium chloride (3b) exhibited the strongest BChE inhibitory activity and in general, all the investigated compounds were more potent inhibitors than rivastigmine and galantamine. Based on the calculated selectivity index values, they are rather preferential inhibitors of AChE. Cytotoxicity tests performed on normal human dermal fibroblasts (HFF-1) did not demonstrate any significant cytotoxicity under the tested conditions. The distance-oriented structure distribution for the studied molecules was related with the activity data using principal component analysis and hierarchical clustering analysis. (SAR)-based evaluation is reported to predict activity cliffs using a similarity–activity landscape index for the AChE inhibitory response values. Moreover, direct protein-mediated in silico methods were utilized to identify factors that may be relevant for quantitative (Q)SAR modeling. In practice, target-oriented molecular docking was used to organize the spatial distribution of the ligand property space for the anti-AChE system. In general, this series of alkylated quinobenzothiazinium salts with potent inhibitory activity against cholinesterases fulfills Lipinski’s rule of five based on in silico predictions and is also expected to have high absorption in the human gastrointestinal tract. All active derivatives are also expected to penetrate the blood–brain barrier, making them promising compounds for further research and possible use in Alzheimer’s disease therapy. Full article
(This article belongs to the Special Issue Quinoline System in Design and Synthesis of New Bioactive Agents)
Show Figures

Figure 1

31 pages, 6561 KB  
Article
Distinct and Overlapping Neuroprotective Efficacy of Silk Lutein and Sericin-Derived Oligopeptides from Yellow Silk Cocoons in Rodent Models of Aβ-Induced and Age-Related Cognitive Decline
by Pornnarin Taepavarapruk, Virakboth Prum and Manote Sutheerawattananonda
Int. J. Mol. Sci. 2026, 27(7), 2986; https://doi.org/10.3390/ijms27072986 - 25 Mar 2026
Viewed by 466
Abstract
Yellow silk cocoons of Bombyx mori provide two distinct bioactive classes: the carotenoid silk lutein (SL) and sericin-derived oligopeptides (SDOs). Their comparative efficacy and mechanisms in promoting cognitive health remain uncharacterized. This study compared the neuroprotective and cognitive-enhancing effects of SL and SDOs [...] Read more.
Yellow silk cocoons of Bombyx mori provide two distinct bioactive classes: the carotenoid silk lutein (SL) and sericin-derived oligopeptides (SDOs). Their comparative efficacy and mechanisms in promoting cognitive health remain uncharacterized. This study compared the neuroprotective and cognitive-enhancing effects of SL and SDOs through chronic oral administration in two rodent models: an amyloid-beta (Aβ25–35)-induced amnesia model in mice and a natural aging model in rats. Cognitive function was assessed using the Morris Water Maze (MWM) and Novel Object Recognition (NOR) tests, and underlying mechanisms were investigated via in vivo hippocampal long-term potentiation (LTP) and immunohistochemical analysis for apoptosis markers. Both SL and SDOs significantly ameliorated -induced deficits in recognition and spatial memory. Both substances enhanced spatial memory and LTP in old male rats in the natural aging paradigm, with efficacy comparable to that of donepezil (Don). This LTP-enhancing effect was sex-specific, being prominent in males but absent in aged females, although both sexes showed improved recognition memory. Critically, cognitive impairments in the model were not associated with significant neuronal apoptosis, and the protective effects appeared independent of anti-apoptotic pathways. In conclusion, SL and SDOs are potent cognitive-enhancing agents that mitigate memory deficits in acute neurotoxicity and chronic aging models. Their primary mechanism appears to be a robust enhancement of hippocampal synaptic plasticity rather than apoptosis prevention, positioning them as powerful synaptoprotective agents. These findings validate the potential to upcycle this agro-industrial byproduct into high-value nutraceuticals for promoting healthy brain aging. Full article
(This article belongs to the Section Molecular Pharmacology)
Show Figures

Figure 1

27 pages, 4221 KB  
Review
Alzheimer’s Disease and Contemporary Therapeutic Approaches: Recent Advances in Natural Products
by Ertugrul Gunday and Fatma Sezer Senol Deniz
Drugs Drug Candidates 2026, 5(1), 21; https://doi.org/10.3390/ddc5010021 - 4 Mar 2026
Cited by 1 | Viewed by 1395
Abstract
Alzheimer’s disease is a progressive neurodegenerative disorder marked by cognitive decline, and its global prevalence is expected to increase substantially in the coming decades. This review examines current therapeutic approaches and explores the potential role of medicinal plants and natural products in the [...] Read more.
Alzheimer’s disease is a progressive neurodegenerative disorder marked by cognitive decline, and its global prevalence is expected to increase substantially in the coming decades. This review examines current therapeutic approaches and explores the potential role of medicinal plants and natural products in the treatment and prevention of Alzheimer’s disease. This review examines the pathophysiology of Alzheimer’s disease, with particular emphasis on the cholinergic, amyloid, and tau hypotheses. It evaluates currently approved therapeutic approaches, including cholinesterase inhibitors and NMDA receptor antagonists, as well as emerging immunotherapies. In addition, this review provides a comprehensive analysis of the pharmacological properties of various medicinal plants and explores innovative drug delivery systems. Research reveals that while conventional drugs like donepezil and memantine provide symptomatic relief, they do not halt disease progression. Recent immunotherapies, including lecanemab and donanemab, show potential to reduce amyloid-beta accumulation and slow cognitive decline; however, they face safety concerns, such as amyloid-related imaging abnormalities, and high costs. By comparison, several natural products—including huperzine A, curcumin, resveratrol, and epigallocatechin-3-gallate—demonstrate multi-target therapeutic potential through anti-inflammatory, antioxidant, and cholinergic-modulating mechanisms. This review offers a comprehensive contrast between natural products and traditional drugs as well as the safety and economic limitations of immunotherapies. Given the multifactorial nature of AD, therapeutic strategies that address multiple pathological pathways appear necessary. In this regard, plant-derived compounds, due to their broad pharmacological activity and generally favorable safety profiles, emerge as promising candidates for long-term management and may contribute meaningfully to the development of future therapeutic approaches for AD. Full article
(This article belongs to the Section Drug Candidates from Natural Sources)
Show Figures

Figure 1

21 pages, 4097 KB  
Article
Acetylcholinesterase Inhibition Reverses Age-Related Pulmonary Decline and Increases Bronchus-Associated Lymphoid Tissue Formation in Aged Mice
by Kyle Kenny, Ingrid R. Niesman, Kee S. Moon, Mark Sussman, Morgan K. Wright, Dylan Dawood and Joy A. Phillips
Biology 2026, 15(3), 270; https://doi.org/10.3390/biology15030270 - 3 Feb 2026
Viewed by 762
Abstract
Age-related chronic, low-grade inflammation, known as inflammaging, contributes to tissue damage and disease. In the lungs, inflammaging leads to abnormal tissue remodeling, reduced function, and decreased immunity. A key factor in inflammaging is declining acetylcholine signaling, which normally suppresses inflammation and promotes tissue [...] Read more.
Age-related chronic, low-grade inflammation, known as inflammaging, contributes to tissue damage and disease. In the lungs, inflammaging leads to abnormal tissue remodeling, reduced function, and decreased immunity. A key factor in inflammaging is declining acetylcholine signaling, which normally suppresses inflammation and promotes tissue repair. We tested whether increasing acetylcholine responsiveness could reverse age-related lung damage. Aged mice were treated with donepezil to increase acetylcholine availability. After six months, blood oxygen saturation and voluntary activity were significantly improved. Histologically, treated mice showed a reversal of alveolar enlargement (a hallmark of emphysema) and complete restoration of elastic fibers. Donepezil treatment also dramatically increased bronchus-associated lymphoid tissue (iBALT) formation. iBALT is the repository of tissue-resident memory lymphocytes, including memory cholinergic lymphocytes that produce acetylcholine to suppress inflammation during secondary infections. The age-related loss of iBALT contributes to the increased risks associated with respiratory infection in the elderly. This indicates that age-related lung function and respiratory immune deficits can be modulated by improving acetylcholine signaling. Repurposing an approved medication provides a direct pathway to clinical application for improving respiratory health and infection resistance during aging. Full article
(This article belongs to the Section Medical Biology)
Show Figures

Figure 1

15 pages, 1091 KB  
Review
Consensus Molecules Associated with Parkinson’s Disease
by Sara Eyal, Shira Alfasi, Karin Ben Zaken, Ibrahim O. Sawaid, Lior Segev, Samuel Mesfin, Pnina Frankel, Rahaf Ezzy, Trishna Saha-Detroja, Shilpa Madhavan, Naamah Bloch, Baruh Polis and Abraham O. Samson
Neurol. Int. 2026, 18(2), 23; https://doi.org/10.3390/neurolint18020023 - 27 Jan 2026
Viewed by 824
Abstract
Parkinson’s disease (PD) has been associated with some types of food and drugs. Here, we query PubMed for the association of PD with foods and drugs, using a list of 217,776 compounds derived from the Human Metabolome Database (HMDB). To calculate associations, a [...] Read more.
Parkinson’s disease (PD) has been associated with some types of food and drugs. Here, we query PubMed for the association of PD with foods and drugs, using a list of 217,776 compounds derived from the Human Metabolome Database (HMDB). To calculate associations, a Python script was developed to query PubMed for co-citations of PD with each compound, and adjust this count for compound abundance. Notably, PD is found to be associated with small-molecule drugs, adjunctive therapies, contraindicated drugs, diagnostic agents, biomarkers, conditional essential molecules, and inducers. Drugs include L-dopa (49%), carbidopa (63%), benserazide (50%), entacapone (74%), tolcapone (56%), rasagiline (76%), selegiline (46%), pargyline (4%), ropinirole (61%), pramipexole (56%), lisuride (27%), cabergoline (16%), bromocriptine (12%), and zonisamide (9%). Adjunctive therapies include droxidopa (33%), trihexyphenidyl (28%), biperiden (17%), amantadine (24%), memantine (7%), rivastigmine (13%), donepezil (6%), galantamine (4%), domperidone (6%), clonazepam (4%), tetrabenazine (16%), mazindol (13%), quetiapine (6%), and clozapine (4%). Contraindicated drugs include haloperidol (4%), sulpiride (3%), and methyldopa (6%). Diagnostic agents include FP-CIT (60%) and beta-CIT (43%). Biomarkers include 3-methoxytyrosine (48%) and homovanillic acid (12%). Endogenous cofactors include tetrahydrobiopterin (4%) and Coenzyme Q10 (4%). Chemical inducers of PD include 6-hydroxydopamine (40%), N-Methyl-4-phenyl-1,2,3,6-tetrahydropyridine (MPTP, 78%), tetrahydropyridine (77%), probenecid (4%), quinolinic acid (4%), 1,2,3,4-tetrahydroisoquinoline (TIQ, 16%), salsolinol (32%), rotenone (25%), and β-Methylamino-L-alanine (BMAA, 29%). Notably, our study highlights conditional essential endogenous cofactors associated with PD and emphasizes rational directions for investigation in PD. Full article
(This article belongs to the Special Issue Advances in Molecular Mechanisms of Neurodegenerative Diseases)
Show Figures

Graphical abstract

10 pages, 523 KB  
Case Report
Switching from Oral Cholinesterase Inhibitors to a Transdermal Donepezil Patch Attenuated Gastrointestinal Symptoms and Allowed Treatment Continuation in Three Patients with Alzheimer’s Disease in Clinical Settings
by Yumiko Motoi and Nobuo Sanjo
Brain Sci. 2026, 16(1), 98; https://doi.org/10.3390/brainsci16010098 - 17 Jan 2026
Viewed by 971
Abstract
Background: Cholinesterase inhibitors (ChEIs) are commonly prescribed for the treatment of Alzheimer’s disease (AD) and achieve long-term benefits for cognition and survival in real-world settings. However, the discontinuation rate is high due to their side effects, with gastrointestinal (GI) symptoms hampering long-term [...] Read more.
Background: Cholinesterase inhibitors (ChEIs) are commonly prescribed for the treatment of Alzheimer’s disease (AD) and achieve long-term benefits for cognition and survival in real-world settings. However, the discontinuation rate is high due to their side effects, with gastrointestinal (GI) symptoms hampering long-term prescriptions. The risk of side effects associated with rivastigmine was previously shown to be lower with transdermal delivery than with oral capsules; however, this has yet to be examined in detail for donepezil, the most widely used ChEI. The daily application of a donepezil transdermal patch was officially approved in Japan in 2023. The incidence of side effects was lower with the donepezil transdermal patch than with oral donepezil in healthy volunteers, but has not yet been assessed in clinical settings. Results: We herein report three AD patients in two different memory clinics who developed GI symptoms with oral ChEIs that were attenuated by switching to the donepezil transdermal patch. Conclusions: The donepezil transdermal patch may improve tolerability and adherence in patients who develop gastrointestinal adverse effects with oral donepezil. Full article
(This article belongs to the Section Behavioral Neuroscience)
Show Figures

Figure 1

26 pages, 3357 KB  
Article
Novel Bioinspired Quercetin-Based Polymers for the Sustained Release of Donepezil in Alzheimer’s Disease Therapy
by Elisabete P. Carreiro, Pedro Múria, Diogo Velez, Manuela R. Carrott, Anthony J. Burke and Ana R. Costa
Polymers 2026, 18(2), 234; https://doi.org/10.3390/polym18020234 - 16 Jan 2026
Viewed by 954
Abstract
This work was inspired by quercetin, a natural bioflavonoid with well-known neuroprotective properties. We synthesized a new functional monomer, 3-acryloxy-3′,4′,5,7-tetramethylquercetin 1, and used it to prepare, for the first time, a molecularly imprinted polymer (MIP) selective for donepezil, the main drug used [...] Read more.
This work was inspired by quercetin, a natural bioflavonoid with well-known neuroprotective properties. We synthesized a new functional monomer, 3-acryloxy-3′,4′,5,7-tetramethylquercetin 1, and used it to prepare, for the first time, a molecularly imprinted polymer (MIP) selective for donepezil, the main drug used in Alzheimer’s disease therapy. The polymer was designed to be fluorescent and responsive to pH changes, aiming for controlled drug release. The optimized MIP-4, produced from a 1:1 mixture of the monomer 1 and acrylic acid, was characterized by FTIR-ATR, fluorescence spectroscopy, SEM, and DLS, confirming its chemical composition, morphology, particle size distribution and zeta potential. Adsorption studies showed higher donepezil binding capacity for MIP than for NIP, highlighting the polymer’s selective recognition. In vitro release experiments at pH 3, 5.5, and 7 revealed a pH-dependent behaviour, with nearly 98% cumulative donepezil release at pH 7. The polymer was non-cytotoxic and successfully released donepezil in in vitro assays, enabling effective inhibition of eeAChE. These results provide a proof of concept supporting the potential of quercetin-derived fluorescent molecularly imprinted polymers as selective and stimuli-responsive platforms for donepezil delivery. Full article
(This article belongs to the Special Issue Polymers and Their Role in Drug Delivery, 3rd Edition)
Show Figures

Graphical abstract

16 pages, 3531 KB  
Article
DoE- and PBBM-Driven Formulation Development of an Extended-Release Donepezil Tablet
by Frederico Severino Martins, Leonardo Luiz Borges, Sivacharan Kollipara, Praveen Sivadasu and Renê Oliveira do Couto
Pharmaceuticals 2025, 18(12), 1894; https://doi.org/10.3390/ph18121894 - 16 Dec 2025
Viewed by 856
Abstract
Background/Objectives: This study explores the integration of Design of Experiments (DoE) with Physiologically Based Biopharmaceutics Modeling (PBBM) to streamline the development of extended-release (XR) formulations. Using donepezil (DPZ) as a model drug, we developed an optimized XR formulation exhibiting a dissolution profile [...] Read more.
Background/Objectives: This study explores the integration of Design of Experiments (DoE) with Physiologically Based Biopharmaceutics Modeling (PBBM) to streamline the development of extended-release (XR) formulations. Using donepezil (DPZ) as a model drug, we developed an optimized XR formulation exhibiting a dissolution profile comparable to the reference product, Aricept® (Eisai GmbH, Frankfurt, Germany). Methods: A Box–Behnken experimental design was applied to systematically evaluate how formulation variables—HPMC 100, HPMC 4000, and NaCMC—affect drug release kinetics, tablet hydration, and erosion. This strategy enabled the identification of optimal excipient concentrations with minimal experimental effort. Results: The in vitro dissolution data were then integrated into a PBBM framework to simulate drug release and pharmacokinetics, enabling virtual bioequivalence (VBE) assessments. The combined approach provided robust predictive insights into formulation performance, substantially reducing reliance on resource-intensive in vivo studies. Beyond its successful application with DPZ, this integrated methodology offers a scalable and generalizable strategy for efficiently developing bioequivalent XR formulations for various clinically relevant drugs. Conclusions: Our findings highlight the importance of leveraging advanced statistical methods and in silico modeling to overcome contemporary pharmaceutical development challenges, paving the way for innovative, cost-effective solutions that significantly accelerate time-to-market. Full article
(This article belongs to the Section Pharmaceutical Technology)
Show Figures

Graphical abstract

28 pages, 5579 KB  
Article
Antiglycative Properties of Anti-Dementia Drugs—In Vitro, In Silico Studies and a Systematic Literature Review
by Wiktor Orlof, Jerzy Robert Ladny, Daniel Michalak, Małgorzata Zendzian-Piotrowska, Anna Zalewska and Mateusz Maciejczyk
Antioxidants 2025, 14(12), 1509; https://doi.org/10.3390/antiox14121509 - 16 Dec 2025
Cited by 1 | Viewed by 919
Abstract
Protein glycation and oxidation contribute to the pathogenesis of neurodegenerative diseases. This study evaluated the antiglycative and antioxidative effects of donepezil, rivastigmine, galantamine, memantine, lamotrigine, sodium valproate, and carbamazepine using bovine serum albumin (BSA) as a model protein. Glycation was induced with fructose, [...] Read more.
Protein glycation and oxidation contribute to the pathogenesis of neurodegenerative diseases. This study evaluated the antiglycative and antioxidative effects of donepezil, rivastigmine, galantamine, memantine, lamotrigine, sodium valproate, and carbamazepine using bovine serum albumin (BSA) as a model protein. Glycation was induced with fructose, ribose, or methylglyoxal (MGO), and oxidation with chloramine T (ChT). Concentrations of glycation products—Amadori products (APs), amyloid cross-β structure (βA), argpyrimidine (ARG), crossline (CRO), vesperlysine (VES), pentosidine (PEN), total AGEs and glycoxidation products—dityrosine (DT), kynurenine (KN), N-formylkynurenine (NFK) as well as oxidation biomarkers, total thiols (TTs), protein carbonyls (PCs), and advanced oxidation protein products (AOPPs), were determined via spectrophotometric and spectrofluorimetric methods. Molecular docking and a systematic literature review (PRISMA) complemented the experimental data. Lamotrigine showed the strongest antiglycative and antioxidative effects, surpassing aminoguanidine in reducing ARG, PEN, DT, and NFK levels. In contrast, donepezil markedly increased APs, βA, ARG, VES, DT, and PEN, suggesting proglycative and pro-oxidative activity. Docking revealed a high affinity of donepezil for RAGE (–7.2 kcal/mol), possibly explaining its impact on carbonyl stress. Overall, anti-dementia drugs showed weak to moderate antiglycative potential, with lamotrigine being the most effective. Full article
Show Figures

Figure 1

22 pages, 4657 KB  
Article
Multi-Transcriptome-Informed Network Pharmacology Reveals Novel Biomarkers and Therapeutic Candidates for Parkinson’s Disease
by Md. Al Amin Pappu, Md. Alamin, Md Al Noman, Most. Humaira Sultana, Md. Foysal Ahmed, Md. Sanoar Hossain, Md. Abdul Latif, Md. Fahim Faysal, AKM Azad, Salem A. Alyami, Naif Alotaibi and Md. Nurul Haque Mollah
Genes 2025, 16(12), 1459; https://doi.org/10.3390/genes16121459 - 7 Dec 2025
Viewed by 1515
Abstract
Background: Parkinson’s disease (PD) is a complex neurodegenerative disorder in aged people with multifaceted molecular underpinnings. It poses a severe threat to millions of older adults worldwide. The understanding of the molecular mechanisms of PD development and the performance of its therapeutic strategies [...] Read more.
Background: Parkinson’s disease (PD) is a complex neurodegenerative disorder in aged people with multifaceted molecular underpinnings. It poses a severe threat to millions of older adults worldwide. The understanding of the molecular mechanisms of PD development and the performance of its therapeutic strategies has not yet reached a satisfactory level. Methods: This study integrated six transcriptomic datasets to uncover key genes (KGs) and their underlying pathogenic mechanisms, providing insights into potential therapeutic strategies for PD. We designed a comprehensive computational pipeline using various bioinformatics tools and databases to investigate PD-causing KGs, focusing on their functions, pathways, regulatory mechanisms, and potential therapeutic drug molecules. Results: In order to explore PD-causing KGs, we initially identified 303 differentially expressed genes (DEGs) between PD and control samples with 204 upregulated and 99 downregulated DEGs using the LIMMA approach with threshold values at Adj. p-value < 0.05 and abs (log2FC) ≥ 1.0. Then, protein–protein interaction (PPI) network analysis pinpointed seven top-ranked DEGs (GAPDH, PTEN, CCND1, APOE, ESR1, MAPK3/ERK1, and SNCA) as KGs or central modulators of PD pathogenesis. Regulatory network analysis of KGs identified 3 top-ranked transcription factors (FOXC1, NFKB1, and TFAP2A) and 6 microRNAs (hsa-let-7b-5p, hsa-mir-16-5p, and others) as the pivotal regulators of KGs. Gene Ontology (GO) terms and KEGG pathway enrichment analyses with KGs revealed several crucial biological processes, molecular functions, cellular components, and neurodegenerative pathways associated with the development of PD. Finally, the top five molecules guided by KGs (Nilotinib, Bromocriptine, Withaferin-A, Celastrol, and Donepezil) were identified as promising drug candidates against PD and validated computationally through ADME/T analysis and molecular dynamics simulation studies. Conclusions: The findings of this study may serve as valuable resources for developing effective treatment strategies for PD patients. Full article
(This article belongs to the Special Issue Novel Biomarkers of Neurodegenerative Diseases)
Show Figures

Figure 1

16 pages, 3723 KB  
Article
Lactobacillus delbrueckii subsp. lactis CKDB001 Ameliorates Scopolamine-Induced Cognitive Impairment Through Metabolic Modulation
by Hyerim Kim, Hyun Kim, Yeonmi Lee, Changho Park, Beomki Cho, Suyoung Son, Hyeyoung Kim, Gihyeon Kim, Jaeseong Park and Hansoo Park
Int. J. Mol. Sci. 2025, 26(24), 11804; https://doi.org/10.3390/ijms262411804 - 6 Dec 2025
Viewed by 767
Abstract
Microbiome-derived metabolites have emerged as key mediators of the gut–brain axis, influencing cognitive function and neuroprotection. This study investigated whether Lactobacillus delbrueckii subsp. lactis CKDB001 alleviates scopolamine-induced memory impairment through metabolic modulation, and how its effects compare with those of donepezil. ICR mice [...] Read more.
Microbiome-derived metabolites have emerged as key mediators of the gut–brain axis, influencing cognitive function and neuroprotection. This study investigated whether Lactobacillus delbrueckii subsp. lactis CKDB001 alleviates scopolamine-induced memory impairment through metabolic modulation, and how its effects compare with those of donepezil. ICR mice were administered CKDB001 or donepezil for 4–5 weeks and evaluated through behavioral, microbiome, metabolomic, and molecular analyses. CKDB001 significantly improved spatial working memory in a dose-dependent manner, with the high-dose group showing improvements comparable to those of the donepezil-treated group, while passive avoidance showed a non-significant but positive trend. Both CKDB001 and donepezil modulated gut microbial composition, leading to a partial divergence from the scopolamine-disrupted community structure, with CKDB001 inducing dose-dependent intestinal colonization. Metabolomic profiling revealed that both treatments increased tryptophan-derived indole metabolites and altered lipid and short-chain fatty acid metabolite profiles, although these effects were more pronounced in CKDB001-treated mice. At the molecular level, both CKDB001 and donepezil reduced hippocampal tau phosphorylation, downregulated glycogen synthase kinase-3 (GSK-3) signaling, enhanced intestinal tight-junction proteins, and partially normalized acetylcholinesterase activity, with CKDB001 restoring AChE levels more closely toward the normal control. Together, these findings suggest that CKDB001 mitigates cognitive deficits through coordinated modulation of microbial, metabolic, and neuronal pathways, offering a microbiome-based therapeutic approach that may provide benefits comparable to donepezil with potentially fewer limitations. Full article
(This article belongs to the Section Molecular Microbiology)
Show Figures

Figure 1

18 pages, 2478 KB  
Article
Drug-Dependent Enhancement of Blood–Brain Barrier Permeation by Polysorbate 80 Minor Components
by Xiaofeng Wang, Jue Wang, Xia Zhao, Langui Xie, Rui Yang, Chunmeng Sun, Jiasheng Tu and Huimin Sun
Pharmaceutics 2025, 17(12), 1572; https://doi.org/10.3390/pharmaceutics17121572 - 5 Dec 2025
Viewed by 1191
Abstract
Background/Objectives: Polysorbate 80 (PS80), a complex surfactant mixture, is widely recognized for its ability to enhance drug permeation across the blood–brain barrier (BBB). While this effect is generally attributed to the combined actions of its components, the specific contribution and potential selectivity [...] Read more.
Background/Objectives: Polysorbate 80 (PS80), a complex surfactant mixture, is widely recognized for its ability to enhance drug permeation across the blood–brain barrier (BBB). While this effect is generally attributed to the combined actions of its components, the specific contribution and potential selectivity of individual minor components remain poorly understood. This study therefore aimed to isolate and compare the primary minor components of PS80 to determine whether they uniformly enhance BBB permeation or exhibit drug-specific functions. Methods: In this research, four primary minor components of PS80—polyoxyethylene sorbitan monooleate (PSM), polyoxyethylene isosorbide monooleate (PIM), polyoxyethylene sorbitan dioleate (PSD), and a polyethylene glycol/polyoxyethylene sorbitan/polyoxyethylene isosorbide mixture (PEG/PS/PI mixture)—were isolated using preparative liquid-phase chromatography. Drug-loaded formulations were then prepared using the solvent evaporation method incorporating five model drugs: 1,1′-dioctadecyl-3,3,3′,3′-tetramethylindotricarbocyanine iodide (DiR, MW = 1013.39 Da), donepezil (MW = 379.49 Da), nimodipine (MW = 418.44 Da), chlorogenic acid (MW = 354.31 Da), and paclitaxel (MW = 853.92 Da). The permeability of these formulations across the BBB was evaluated in BALB/c mice after intravenous administration. Brain distribution of the lipophilic dye DiR was assessed using fluorescence imaging, whereas brain homogenate concentrations of therapeutic drugs were quantified by UPLC-MS/MS. Results: Results revealed that the enhancement of brain delivery was dependent on both the specific minor component and the drug. The PEG/PS/PI mixture specially enhanced the brain homogenate concentration of donepezil to 11.8 ± 1.2 ng/mL, representing a 6.9-fold enhancement, while PIM micelles increased the delivery of DiR, donepezil, and nimodipine. In contrast, PSM and PSD micelles improved transport of only DiR and donepezil. The broad performance of PIM suggests a more flexible formulation—a hypothesis that warrants further validation. Conversely, none of the different minor components enhanced the delivery of chlorogenic acid or paclitaxel, underscoring the critical role of specific drug–component interactions. Conclusions: This component-resolved insight challenges the conventional perception of PS80 and provides a rational framework for engineering precision brain-targeted delivery systems by selecting functional minor components. Full article
(This article belongs to the Section Drug Targeting and Design)
Show Figures

Graphical abstract

19 pages, 1157 KB  
Article
Prescribed Drugs and Interpersonal Violence: A Case–Non-Case Study in the Spanish Pharmacovigilance Database
by Ana Avedillo-Salas, Ana Fanlo-Villacampa, Francisco Javier Lanuza-Giménez and Jorge Vicente-Romero
Pharmaceuticals 2025, 18(12), 1845; https://doi.org/10.3390/ph18121845 - 3 Dec 2025
Viewed by 1050
Abstract
Background/Objectives: Interpersonal violence is an increasing public health concern, and its prediction and prevention remain global challenges. This study aimed to identify prescribed medications associated with interpersonal violence in Spain. Methods: A descriptive, longitudinal and retrospective study and case-non case study of [...] Read more.
Background/Objectives: Interpersonal violence is an increasing public health concern, and its prediction and prevention remain global challenges. This study aimed to identify prescribed medications associated with interpersonal violence in Spain. Methods: A descriptive, longitudinal and retrospective study and case-non case study of spontaneous reports of adverse drug reactions corresponding to interpersonal violence recorded in the Spanish Pharmacovigilance Database (FEDRA®) from 1984 to 31 March 2021. Results: 533 cases were reported in the study period. The mean age was 46.70 years with ages ranging from 1 to 99 years. There were no sex differences except in child and adolescent age group where most reports were from male. Main therapeutic groups involved were nervous system (62.3%), anti-infectives for systemic use (10%) and respiratory system (8.6%). Mostly drugs reported were montelukast, levetiracetam, bupropion, donepezil, perampanel, quetiapine, fluoxetine, and lorazepam. A statistically significant association/disproportion in the notification has been found in the reporting of interpersonal violence and different drugs according to the literature, notably atomoxetine, perampanel, memantine, donepezil, montelukast and methylphenidate. Conclusions: The results highlight that interpersonal violence, while rare, could occur as a clinically relevant adverse reaction to a small subset of medications. They underscore the importance of careful prescribing, especially in vulnerable populations and in individuals with a history of psychiatric disorders. Full article
Show Figures

Figure 1

21 pages, 357 KB  
Review
Research on Alzheimer Disease in Italy: A Narrative Review of Pharmacological and Non-Pharmacological Interventions
by Miriana Caporlingua, Jole Castellano, Angelo Quartarone and Rosella Ciurleo
Neurol. Int. 2025, 17(12), 196; https://doi.org/10.3390/neurolint17120196 - 2 Dec 2025
Cited by 1 | Viewed by 1274
Abstract
Background: Alzheimer’s Disease (AD) is the most common form of dementia and is characterized by progressive cognitive decline and neurodegeneration. In Italy, AD represents a major public health and socio-economic challenge. This review aims to summarize current Italian research on pharmacological and non-pharmacological [...] Read more.
Background: Alzheimer’s Disease (AD) is the most common form of dementia and is characterized by progressive cognitive decline and neurodegeneration. In Italy, AD represents a major public health and socio-economic challenge. This review aims to summarize current Italian research on pharmacological and non-pharmacological interventions, including preclinical studies, clinical trials, rehabilitative approaches, and emerging neuromodulation techniques, highlighting contributions and future directions. Methods: A narrative review of the literature was conducted, focusing on Italian preclinical and clinical studies, observational and real-world evidence, cognitive and physical interventions, music therapy, non-invasive brain stimulation (rTMS, tDCS, tACS), and digital or home-based rehabilitation programs. Results: Italian research has explored different pharmacological strategies, including multitarget compounds, eptastigmine, rotigotine, and combinatorial therapies (donepezil-memantine, citicoline addition). Non-pharmacological interventions, such as cognitive stimulation, motor rehabilitation, music therapy, and multidimensional programs, demonstrated benefits on cognition, behavior, daily functioning, and caregiver well-being. Non-invasive neuromodulation techniques, targeting the dorsolateral prefrontal cortex and precuneus, showed promising effects on memory, attention, and executive functions, especially when combined with cognitive training. Digital health technologies, including telerehabilitation and home-based brain stimulation programs, further enhanced accessibility and adherence. Challenges remain due to fragmented research, small sample sizes, and limited standardization. Conclusions: Italian research on AD reflects a growing emphasis on integrated, multidimensional, and technologically advanced approaches. Strengthening preclinical studies, promoting multicenter collaborations, and combining pharmacological, cognitive, and neuromodulatory strategies may enhance therapeutic efficacy and patient quality of life. Continued investment in innovation and multidisciplinary research positions Italy to contribute meaningfully to global AD management and prevention. Full article
(This article belongs to the Section Movement Disorders and Neurodegenerative Diseases)
Show Figures

Graphical abstract

Back to TopTop