Research on Intelligent Identification Model of Cable Damage of Sea Crossing Cable-Stayed Bridge Based on Deep Learning
Abstract
1. Introduction
2. Structural Dynamic Response of Cable-Stayed Bridges Under Typhoon
2.1. Project Overview
2.2. Model Building
2.3. Dynamic Response Analysis of Cable-Stayed Bridge Under Typhoon
3. Introduction to Neural Networks
3.1. CNN
3.2. BiLSTM
- (1)
- The forget gate controls the proportion of information retained from the previous memory cell state. This gate is updated by combining the output from the preceding time step with the current input through a sigmoid function.
- (2)
- The input gate controls the input to the cell state at the current time step, filtering out irrelevant and redundant information. The output from the first component of the input gate at time t determines what proportion of new information should be written into the memory cell state: the candidate and current memory cell states are represented, respectively.
- (3)
- The output gate determines how much information from the memory cell gets transmitted to the hidden state. After being filtered through the forget gate and input gate, the output signal state is selectively determined. The resulting hidden state represents the current time step, serving both as the LSTM’s output and as input for the subsequent time step.
3.3. CNN-BiLSTM
4. Train the Model Based on the Damage Sample Library
4.1. Construction of Damage Sample Library
- (1)
- Normalization is applied to the sample database to eliminate dimensional differences and enhance training convergence efficiency.
- (2)
- The normalized training set is fed into the neural network to conduct model training and cross-validation.
- (3)
- SmoothL1Loss is chosen as the loss function during training to achieve a balance between regression accuracy and stability.
- (4)
- Steps (2) and (3) are repeated until the predetermined number of training epochs is achieved, at which point the training process is concluded.
4.2. CNN Model Training Results
4.3. BiLSTM Model Training Results
4.4. The Training Results of the Hybrid CNN-BiLSTM Model
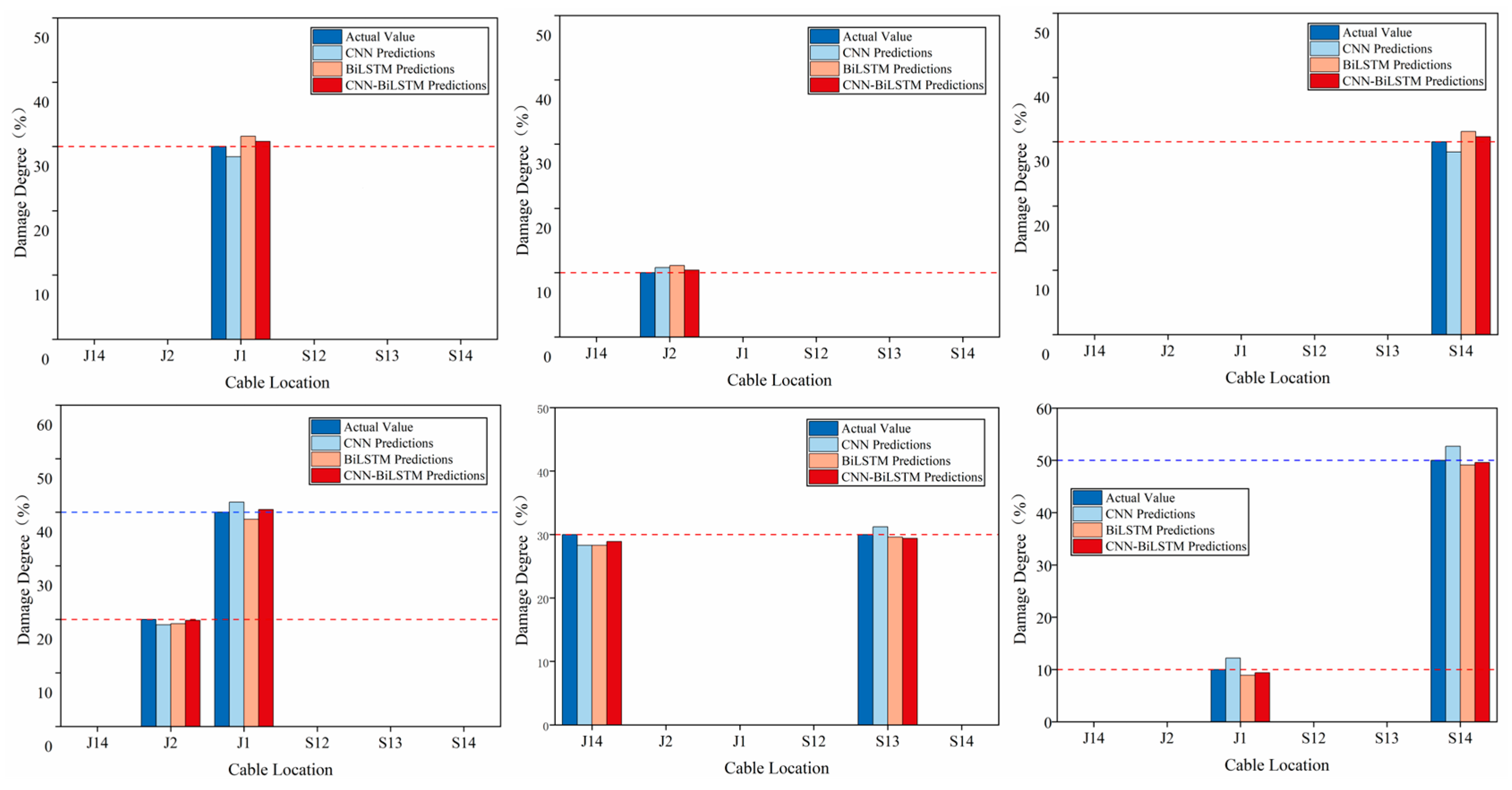
4.5. Comparison and Analysis of Results
5. Conclusions
- (1)
- Under typhoon loading, greater dynamic responses are observed in the cables located at the mid-span and side-span of the bridge, and these cables are therefore considered more prone to damage.
- (2)
- Damage-sensitive features such as instantaneous frequency and energy are effectively extracted from acceleration signals through the Hilbert transform. These parameters are found to capture the nonlinear and non-stationary characteristics of vibration responses under strong wind excitations, providing a more reliable basis for subsequent damage identification.
- (3)
- A structural damage identification approach combining CNN and BiLSTM networks is proposed. The combined neural network is shown to achieve an average accuracy of 92.01% for damage location identification across various working conditions, representing improvements of 1.6% and 2.42% compared with standalone CNN and BiLSTM networks, respectively. The average accuracy for damage degree identification under different conditions exceeds 98%. Therefore, the CNN–BiLSTM-based method is considered to significantly enhance the effectiveness of structural damage detection.
Author Contributions
Funding
Data Availability Statement
Conflicts of Interest
References
- Hua, X.G.; Ni, Y.Q.; Chen, Z.Q.; Ko, J.M. Structural Damage Detection of Cable-Stayed Bridges Using Changes in Cable Forces and Model Updating. J. Struct. Eng. 2009, 135, 1093–1106. [Google Scholar] [CrossRef]
- Song, J.; Gu, C.; Su, H.; Gu, H.; Huang, X. Observed displacement data-based identification method of structural damage in concrete dam. Eng. Fail. Anal. 2016, 66, 202–211. [Google Scholar] [CrossRef]
- Farahani, R.V.; Penumadu, D. Damage identification of a full-scale five-girder bridge using time-series analysis of vibration data. Eng. Struct. 2016, 115, 129–139. [Google Scholar] [CrossRef]
- Zhang, Y.; Zhu, J. Damage identification for bridge structures based on correlation of the bridge dynamic responses under vehicle load. Structures 2021, 33, 68–76. [Google Scholar] [CrossRef]
- Sarwar, M.Z.; Cantero, D. Deep autoencoder architecture for bridge damage assessment using responses from several vehicles. Eng. Struct. 2021, 246, 113064. [Google Scholar] [CrossRef]
- Feng, D.M.; Feng, M.Q. Computer vision for SHM of civil infrastructure: From dynamic response measurement to damage detection-A review. Eng. Struct. 2018, 156, 105–117. [Google Scholar] [CrossRef]
- Zhang, Y.; Tan, X.; Li, G.; Dong, J.; Guo, J.; Liu, F. Bridge Structure Damage Identification Based on Dynamic Characteristics. Coatings 2022, 12, 313. [Google Scholar] [CrossRef]
- Abedin, M.; Mehrabi, A.B. Bridge damage identification through frequency changes. In Proceedings of the Sensors and Smart Structures Technologies for Civil, Mechanical, and Aerospace Systems 2021, Online, 22–27 March 2021. [Google Scholar]
- Nick, H.; Aziminejad, A.; Hosseini, M.H.; Laknejadi, K. Damage identification in steel girder bridges using modal strain energy-based damage index method and artificial neural network. Eng. Fail. Anal. 2021, 119, 105010. [Google Scholar] [CrossRef]
- Zhan, P.; Qin, X.; Zhang, Q.; Sun, Y. Damage identification in beam-like structure using strain FRF-based damage index and artificial neural network. Mech. Adv. Mater. Struct. 2023, 30, 2458–2476. [Google Scholar] [CrossRef]
- He, M.; Yang, T.; Du, Y. Nondestructive identification of composite beams damage based on the curvature mode difference. Compos. Struct. 2017, 176, 178–186. [Google Scholar] [CrossRef]
- Nguyen, D.H.; Wahab, M.A. Damage detection in slab structures based on two-dimensional curvature mode shape method and Faster R-CNN. Adv. Eng. Softw. 2023, 176, 103371. [Google Scholar] [CrossRef]
- Wu, J.; Li, H.; Ye, F.; Ma, K. Damage identification of bridge structure based on frequency domain decomposition and strain mode. J. Vibroeng. 2019, 21, 2096–2105. [Google Scholar] [CrossRef]
- Shandiz, S.K. Application of variational mode decomposition in vibration-based bridge damage detection. Proc. Inst. Civ. Eng. —Bridge Eng. 2024, 178, 277–299. [Google Scholar] [CrossRef]
- Ahmadi, H.R.; Mahdavi, N.; Bayat, M. A novel damage identification method based on short time Fourier transform and a new efficient index. Structures 2021, 33, 3605–3614. [Google Scholar] [CrossRef]
- Chang, K.C.; Kim, C.W. Modal-parameter identification and vibration-based damage detection of a damaged steel truss bridge. Eng. Struct. 2016, 122, 156–173. [Google Scholar] [CrossRef]
- Mekjavi, I.; Damjanovi, D. Damage Assessment in Bridges Based on Measured Natural Frequencies. Int. J. Struct. Stab. Dyn. 2016, 17, 1750022. [Google Scholar] [CrossRef]
- Mostafa, N.; Di Maio, D.; Loendersloot, R.; Tinga, T. Railway bridge damage detection based on extraction of instantaneous frequency by Wavelet Synchrosqueezed Transform. Adv. Bridg. Eng. 2022, 3, 12. [Google Scholar] [CrossRef]
- Ahmadi, H.R.; Momeni, K.; Jasemnejad, Y. A new algorithm and damage index for detection damage in steel girders of bridge decks using time-frequency domain and matching methods. Structures 2024, 61, 106035. [Google Scholar] [CrossRef]
- He, H.-x.; Zheng, J.-c.; Liao, L.-c.; Chen, Y.-j. Damage identification based on convolutional neural network and recurrence graph for beam bridge. Struct. Health Monit. 2020, 20, 1392–1408. [Google Scholar] [CrossRef]
- Yang, S.; Huang, Y. Damage identification method of prestressed concrete beam bridge based on convolutional neural network. Neural Comput. Appl. 2021, 33, 535–545. [Google Scholar] [CrossRef]
- Wang, C.; Ansari, F.; Wu, B.; Li, S.; Morgese, M.; Zhou, J. LSTM approach for condition assessment of suspension bridges based on time-series deflection and temperature data. Adv. Struct. Eng. 2022, 25, 3450–3463. [Google Scholar] [CrossRef]
- Yin, X.; Yang, Y.; Huang, Z.; Yan, W. Bridge Damage Identification Based on LSTM Network and Contact Point Response. Int. J. Struct. Stab. Dyn. 2025, 25, 2450268. [Google Scholar] [CrossRef]
- Zhou, X.; Zhao, Y.; Khan, I.; Cao, L. Comparative Study on CNN-based Bridge Seismic Damage Identification Using Various Features. KSCE J. Civ. Eng. 2024, 28, 5618–5627. [Google Scholar] [CrossRef]
- Fu, L.; Tang, Q.; Gao, P.; Xin, J.; Zhou, J. Damage Identification of Long-Span Bridges Using the Hybrid of Convolutional Neural Network and Long Short-Term Memory Network. Algorithms 2021, 14, 180. [Google Scholar] [CrossRef]
- Shan, D.; Sun, R.; Tan, K. Damage identification for Cable-Stayed model bridges on shaking Table based on joint CNN & LSTM with Multi-Channel and Multi-Scale. Measurement 2025, 245, 116572. [Google Scholar]
- Nguyen-Ngoc, L.; Tran-Ngoc, H.; Le-Xuan, T.; Nguyen, C.-T.; De Roeck, G.; Bui-Tien, T.; Wahab, M.A. A two-step approach for damage identification in bridge structure using convolutional Long Short-Term Memory with augmented time-series data. Adv. Eng. Softw. 2024, 198, 103795. [Google Scholar] [CrossRef]
- Wu, X.Y.; Yan, Q.S. Modal Analysis of Vibration Test for Zhanjiang Bay Bridge. In Proceedings of the 5th National Civil Engineering Postgraduate Academic Forum, Guangzhou, China, 12–14 December 2008. [Google Scholar]
















| Structural Component | Material | Poisson’s Ratio | Density (kg/m3) | Elastic Modulus (Pa) |
|---|---|---|---|---|
| Steel box girder | Q345qc steel | 0.3 | 7850 | 2.0 × 1011 |
| Concrete main beam | C50 concrete | 0.1667 | 2550 | 3.5 × 1010 |
| Cable bent tower | C50 concrete | 0.1667 | 2600 | 3.55 × 1010 |
| Deck pavement | asphalt concrete | 0.25 | 2300 | 1.5 × 109 |
| Cable | Φ15.24 mm steel strand | 0.3 | 7870 | 1.95 × 1011 |
| Cable bent tower base, side piers, and auxiliary Pier Shaft | C40 concrete | 0.2 | 2550 | 3.3 × 1010 |
| Frequency/Hz | ||||
|---|---|---|---|---|
| Serial No. | Measured Value | Calculated Value | Error | Mode Description |
| 1 | 0.352 | 0.336 | 4.5% | first-order symmetrical vertical bend |
| 2 | 0.3711 | 0.364 | 1.9% | first-order symmetrical horizontal bend |
| 3 | 0.4490 | 0.452 | 0.6% | first-order antisymmetric vertical bend |
| 4 | 0.6836 | 0.654 | 4.3% | first-order antisymmetric horizontal bend |
| 5 | 1.0160 | 1.099 | 8.1% | main beam torsion |
| Layer | Parameter Description | Value |
|---|---|---|
| Input layer | Input tensor dimension | 1799 × 406 × 6 |
| Output layer | Output tensor dimension | 406 × 6 |
| Convolution layer | Kernel size/Stride/Padding | 3/3/1 |
| Activation function | ReLU | |
| Fully connected layers | FC1: Input → Output | 256 × 112 → 512 |
| FC2: Input → Output | 512 → 256 | |
| FC3: Input → Output | 256 → 6 | |
| Loss function | - | Smooth L1 Loss |
| Learning rate | - | 0.001–0.0005 |
| Layer | Parameter Description | Value |
|---|---|---|
| Input layer | Input dimension | 6 |
| Output layer | Number of BiLSTM layers | 2 |
| Hidden layers | Hidden units per layer | 256 |
| Activation function | Sigmoid/tanh | |
| Fully connected layers | Feature mapping to output | 256 → 6 |
| Loss function | - | Smooth L1 Loss |
| Learning rate | - | 0.001–0.0005 |
| Model | Accuracy (%) | Precision (%) | Recall (%) | F1 Score (%) |
|---|---|---|---|---|
| CNN | 95.77 | 92.55 | 94.30 | 93.42 |
| BiLSTM | 94.96 | 92.9 | 91.14 | 92.01 |
| CNN-BiLSTM | 97.38 | 95.57 | 96.18 | 95.87 |
Disclaimer/Publisher’s Note: The statements, opinions and data contained in all publications are solely those of the individual author(s) and contributor(s) and not of MDPI and/or the editor(s). MDPI and/or the editor(s) disclaim responsibility for any injury to people or property resulting from any ideas, methods, instructions or products referred to in the content. |
© 2025 by the authors. Licensee MDPI, Basel, Switzerland. This article is an open access article distributed under the terms and conditions of the Creative Commons Attribution (CC BY) license (https://creativecommons.org/licenses/by/4.0/).
Share and Cite
Yan, J.; Zhao, Y.; Li, C.; Lu, J. Research on Intelligent Identification Model of Cable Damage of Sea Crossing Cable-Stayed Bridge Based on Deep Learning. Buildings 2025, 15, 3849. https://doi.org/10.3390/buildings15213849
Yan J, Zhao Y, Li C, Lu J. Research on Intelligent Identification Model of Cable Damage of Sea Crossing Cable-Stayed Bridge Based on Deep Learning. Buildings. 2025; 15(21):3849. https://doi.org/10.3390/buildings15213849
Chicago/Turabian StyleYan, Jin, Yunkai Zhao, Changqing Li, and Jiancheng Lu. 2025. "Research on Intelligent Identification Model of Cable Damage of Sea Crossing Cable-Stayed Bridge Based on Deep Learning" Buildings 15, no. 21: 3849. https://doi.org/10.3390/buildings15213849
APA StyleYan, J., Zhao, Y., Li, C., & Lu, J. (2025). Research on Intelligent Identification Model of Cable Damage of Sea Crossing Cable-Stayed Bridge Based on Deep Learning. Buildings, 15(21), 3849. https://doi.org/10.3390/buildings15213849
