The Coupling Coordination Degree and Spatio-Temporal Divergence Between Land Urbanization and Energy Consumption Carbon Emissions of China’s Yangtze River Delta Urban Agglomeration
Abstract
1. Introduction
2. Study Area and Data Sources
2.1. Study Area
2.2. Data Sources
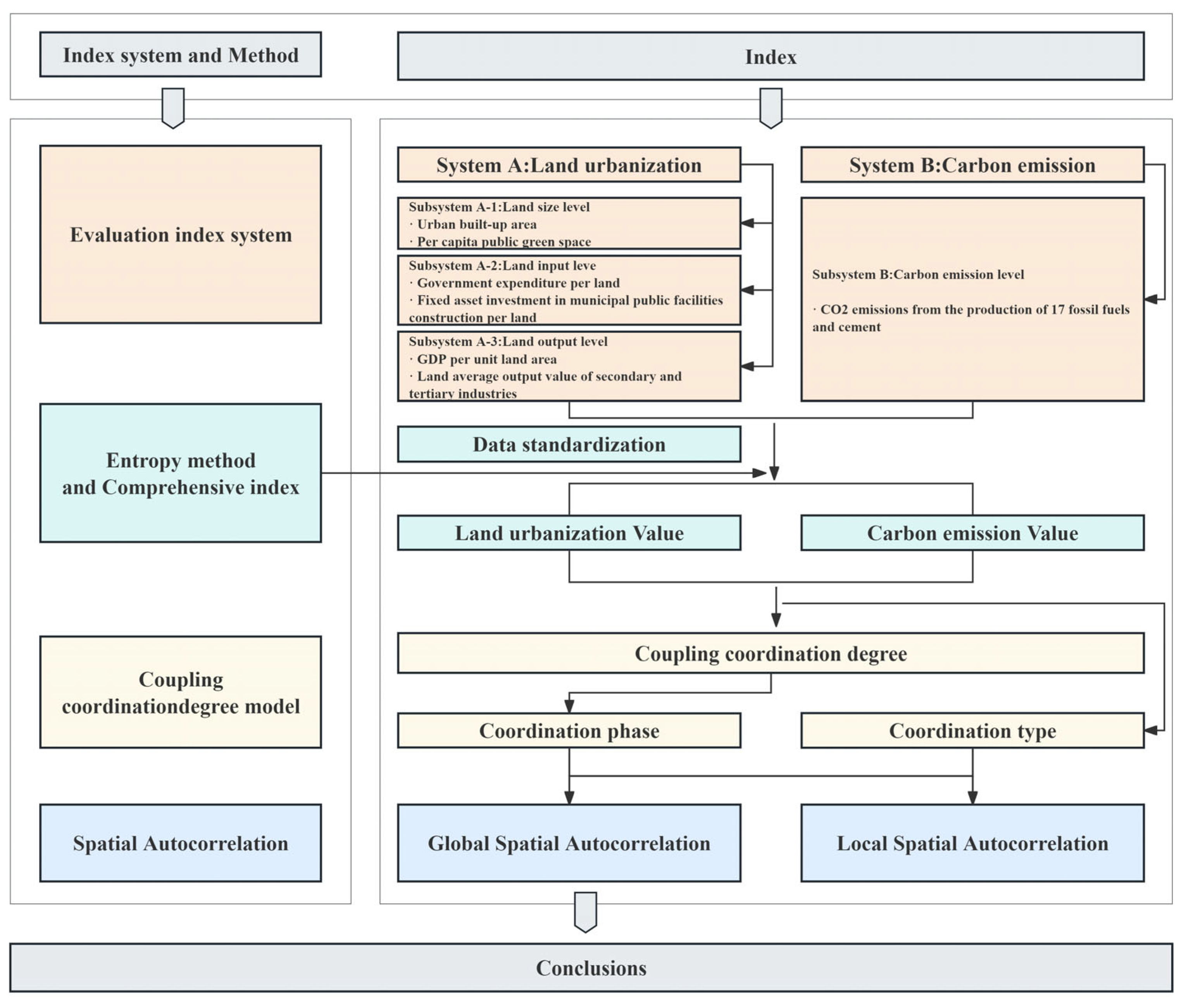
3. Methods
3.1. Evaluation Indicator System Construction
3.2. Framework of Coupling Coordination Analysis
3.2.1. Entropy Method
3.2.2. Comprehensive Index
3.2.3. Coupling Coordination Degree Model
- (1)
- Coordination Degree
- (2)
- Coupling Degree
- (3)
- Coupling Coordination Degree
- (4)
- Classification Standards
3.2.4. Spatial Autocorrelation
4. Results
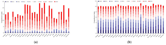
4.1. Analysis of the Land Urbanization and Carbon Emissions Comprehensive Index
4.2. Time Variation Characteristics of the Coupled Coordination Between the Land Urbanization and Carbon Emissions
4.3. Spatial Variation in CCD Between Land Urbanization and Carbon Emissions
4.4. Spatial Autocorrelation Analysis of Land Urbanization and Carbon Emissions
4.4.1. Global Spatial Autocorrelation
4.4.2. Local Spatial Autocorrelation
5. Discussion
5.1. Composite Index Characteristics of Land Urbanization and Carbon Emissions from Energy Consumption
5.2. Characteristics of the Horizontal Time Dynamics of the CCD
5.3. Characteristics of the Horizontal Spatial Dynamics of the CCD
6. Conclusions
- (1)
- The comprehensive level of the land urbanization and energy consumption carbon emission system in the Yangtze River Delta urban agglomeration exhibited a relatively stable upward trend (5.772%), with higher comprehensive indices in the southern region (85.635) and lower values in the northern region (61.912). The comprehensive level of the land urbanization subsystem continued to rise (4.762%), with higher indices in the southern and northern regions (67.396 and 54.672, respectively) and lower indices in the central region (37.126). The energy consumption carbon emission subsystem showed a continuous and stable decline (1.903%). The number of cities with low carbon emission levels increased significantly, rising from one city in 2010 to twenty cities in 2019. Conversely, cities with high carbon emission levels decreased substantially, dropping from twenty-six cities in 2010 to seven cities in 2019.
- (2)
- The CCD between land urbanization and energy consumption carbon emissions in the Yangtze River Delta urban agglomeration exhibited an overall upward trend, reaching the marginal coordination stage (0.541) after a decade of development. Significant regional disparities in CCD were observed: the southeastern region outperformed the northwestern region, with the eastern coastal areas maintaining consistently high CCD levels over time. By 2019, all 27 cities had exited imbalance stages (CCD ≥ 0.528), indicating improved intercity connectivity and coordination. However, most cities had not yet achieved good coordination or high-quality coordination stages. Only four cities—Shanghai, Huzhou, Taizhou, and Wenzhou—reached the high-quality coordination stage (CCD ≥ 0.907). Additionally, the CCD gap between cities has narrowed over time, with higher CCD values gradually expanding from peripheral areas toward central regions.
- (3)
- The horizontal spatial correlation relationship of the CCD between land urbanization and energy consumption carbon emissions in the Yangtze River Delta urban agglomeration remained unstable. In 2013, the Global Moran’s I value was −1.02, while in other years, it fluctuated around 0.109, reflecting regional disparities in CCD levels. Most areas exhibited no significant clustering characteristics, and local spatial clustering patterns exhibited variations over time.
- (1)
- Establish a regional collaborative mechanism for the development of land urbanization and energy consumption carbon emissions, fully leveraging the driving role of key cities. Support the four cities in the high-quality coordination stage—Shanghai, Huzhou, Taizhou, and Wenzhou—to break administrative barriers restricting urban agglomeration development and strengthen their leading role.
- (2)
- Enhance macro-control to promote coordinated development of regional land urbanization and energy consumption carbon emissions, improve their own development levels, and amplify their driving and coordinating effects, thereby guiding the integrated development of the Yangtze River Delta. Key cities should strengthen cooperation with other cities and share resources. Emphasize the interconnectivity between cities.
- (3)
- Enhancing the high-quality development of central cities will contribute to the overall high-quality development of the Yangtze River Delta urban agglomeration and advance low-carbon urbanization.
- (4)
- Optimize industrial structures and promote a green, low-carbon circular economy system. Cities should facilitate dynamic transformation and green industrial restructuring, accelerating the shift from secondary industries to tertiary industries.
- (5)
- Given the significant spatial disparities in the Yangtze River Delta, policymakers must fully consider regional differences and avoid “one-size-fits-all” approaches in policy formulation.
- (6)
- Land urbanization is heavily influenced by national macro-control, policy and institutional reforms, and local government actions. Policymakers should formulate territorial spatial planning policies under the “carbon peaking and carbon neutrality” goals, considering the relationship between urbanization stages and the scale, structure, and layout of territorial spaces with carbon sinks and emissions, thereby ensuring low-carbon urban development and the achievement of green and low-carbon transitions.
Author Contributions
Funding
Data Availability Statement
Conflicts of Interest
References
- IPCC. Summary for Policymakers. In Global Warming of 1.5 °C. An IPCC Special Report on the Impacts of Global Warming of 1.5 °C Above Pre-Industrial Levels and Related Global Greenhouse Gas Emission Pathways, in the Context of Strengthening the Global Response to the Threat of Climate Change, Sustainable Development, and Efforts to Eradicate Poverty; Masson-Delmotte, V., Zhai, P., Pörtner, H.-O., Roberts, D., Skea, J., Shukla, P.R., Pirani, A., Moufouma-Okia, W., Péan, C., Pidcock, R., et al., Eds.; Cambridge University Press: Cambridge, UK; New York, NY, USA, 2022; pp. 3–24. [Google Scholar] [CrossRef]
- Yin, H.; Xiao, R.; Fei, X.; Zhang, Z.; Gao, Z.; Wan, Y.; Tan, W.; Jiang, X.; Cao, W.; Guo, Y. Analyzing “Economy-Society-Environment” Sustainability from the Perspective of Urban Spatial Structure: A Case Study of the Yangtze River Delta Urban Agglomeration. Sustain. Cities Soc. 2023, 96, 104691. [Google Scholar] [CrossRef]
- Ahrend, R.; Farchy, E.; Kaplanis, I.; Lembcke, A.C. What Makes Cities More Productive? Evidence on the Role of Urban Governance from Five OECD Countries; OECD Publishing: Paris, France, 2014. [Google Scholar] [CrossRef]
- UN-Habitat. World Cities Report 2022: Envisaging the Future of Cities; United Nations Human Settlements Programme: Nairobi, Kenya, 2022. [Google Scholar]
- IPCC. Summary for Policymakers. In Climate Change 2022: Mitigation of Climate Change. Contribution of Working Group III to the Sixth Assessment Report of the Intergovernmental Panel on Climate Change; Skea, J., Shukla, P.R., Reisinger, A., Slade, R.B., Pathak, M., Al Khourdajie, A., van Diemen, R., Abdulla, A., Akimoto, K., Babiker, M., et al., Eds.; Cambridge University Press: Cambridge, UK; New York, NY, USA, 2022. [Google Scholar] [CrossRef]
- Zhang, S.; Miao, X.; Zheng, H.; Chen, W.; Wang, H. Spatial Functional Division in Urban Agglomerations and Carbon Emission Intensity: New Evidence from 19 Urban Agglomerations in China. Energy 2024, 300, 131541. [Google Scholar] [CrossRef]
- Dogan, E.; Turkekul, B. CO2 Emissions, Real Output, Energy Consumption, Trade, Urbanization and Financial Development: Testing the EKC Hypothesis for the USA. Environ. Sci. Pollut. Res. 2016, 23, 1203–1213. [Google Scholar] [CrossRef]
- Azam, M.; Uddin, I.; Khan, S.; Tariq, M. Are Globalization, Urbanization, and Energy Consumption Cause Carbon Emissions in SAARC Region? New Evidence from CS-ARDL Approach. Environ. Sci. Pollut. Res. 2022, 29, 87746–87763. [Google Scholar] [CrossRef]
- Carpio, A.; Ponce-Lopez, R.; Lozano-García, D.F. Urban Form, Land Use, and Cover Change and Their Impact on Carbon Emissions in the Monterrey Metropolitan Area, Mexico. Urban Clim. 2021, 39, 100947. [Google Scholar] [CrossRef]
- Alsaggaf, M.I. Exploring the Role of Land Utilization, Renewable Energy, and ICT to Counter the Environmental Emission: A Panel Study of Selected G20 and OECD Countries. Land Degrad. Dev. 2025, 36, 1707–1723. [Google Scholar] [CrossRef]
- Jo, H.; Kim, H. The Influence of Urban Spatial Structure on Building Carbon Emissions at the Neighborhood Scale Considering Spatial Effect. Build. Environ. 2025, 276, 112888. [Google Scholar] [CrossRef]
- Chandra Voumik, L.; Sultana, T. Impact of Urbanization, Industrialization, Electrification and Renewable Energy on the Environment in BRICS: Fresh Evidence from Novel CS-ARDL Model. Heliyon 2022, 8, e11457. [Google Scholar] [CrossRef]
- Tanveer, A.; Song, H.; Faheem, M.; Daud, A. Caring for the Environment. How Do Deforestation, Agricultural Land, and Urbanization Degrade the Environment? Fresh Insight through the ARDL Approach. Environ. Dev. Sustain. 2024, 27, 11527–11562. [Google Scholar] [CrossRef]
- Zhu, P.; Ahmed, Z.; Pata, U.K.; Khan, S.; Abbas, S. Analyzing Economic Growth, Eco-Innovation, and Ecological Quality Nexus in E-7 Countries: Accounting for Non-Linear Impacts of Urbanization by Using a New Measure of Ecological Quality. Environ. Sci. Pollut. Res. 2023, 30, 94242–94254. [Google Scholar] [CrossRef]
- Xu, H.; Zhang, W. The Causal Relationship between Carbon Emissions and Land Urbanization Quality: A Panel Data Analysis for Chinese Provinces. J. Clean. Prod. 2016, 137, 241–248. [Google Scholar] [CrossRef]
- Tang, M.; Hu, F. Land Urbanization and Urban CO2 Emissions: Empirical Evidence from Chinese Prefecture-Level Cities. Heliyon 2023, 9, e19834. [Google Scholar] [CrossRef] [PubMed]
- Li, X. Local Government Decision-Making Competition and Regional Carbon Emissions: Experience Evidence and Emission Reduction Measures. Sustain. Energy Technol. Assess. 2022, 50, 101800. [Google Scholar] [CrossRef]
- Tang, M.; Hu, F. How Does Land Urbanization Promote CO2 Emissions Reduction? Evidence From Chinese Prefectural-Level Cities. Front. Environ. Sci. 2021, 9, e19834. [Google Scholar] [CrossRef]
- Lin, X.; Lu, C.; Song, K.; Su, Y.; Lei, Y.; Zhong, L.; Gao, Y. Analysis of Coupling Coordination Variance between Urbanization Quality and Eco-Environment Pressure: A Case Study of the West Taiwan Strait Urban Agglomeration, China. Sustainability 2020, 12, 2643. [Google Scholar] [CrossRef]
- Huang, W.; Li, J. The Coupling Relationship Between Urbanization and Carbon Emissions from Land Use in Ningxia. Front. Environ. Sci. 2022, 10, 927798. [Google Scholar] [CrossRef]
- Jiang, J.; Zhu, S.; Wang, W.; Li, Y.; Li, N. Coupling Coordination between New Urbanisation and Carbon Emissions in China. Sci. Total Environ. 2022, 850, 158076. [Google Scholar] [CrossRef]
- Zhang, D.; Wang, Z.; Li, S.; Zhang, H. Impact of Land Urbanization on Carbon Emissions in Urban Agglomerations of the Middle Reaches of the Yangtze River. Int. J. Environ. Res. Public Health 2021, 18, 1403. [Google Scholar] [CrossRef]
- Bai, Y.; Deng, X.; Jiang, S.; Zhang, Q.; Wang, Z. Exploring the Relationship between Urbanization and Urban Eco-Efficiency: Evidence from Prefecture-Level Cities in China. J. Clean. Prod. 2018, 195, 1487–1496. [Google Scholar] [CrossRef]
- Ahmad, M.; Akram, W.; Ikram, M.; Shah, A.A.; Rehman, A.; Chandio, A.A.; Jabeen, G. Estimating Dynamic Interactive Linkages among Urban Agglomeration, Economic Performance, Carbon Emissions, and Health Expenditures across Developmental Disparities. Sustain. Prod. Consum. 2021, 26, 239–255. [Google Scholar] [CrossRef]
- Rehman, A.; Ma, H.; Radulescu, M.; Sinisi, C.I.; Paunescu, L.M.; Alam, M.S.; Alvarado, R. The Energy Mix Dilemma and Environmental Sustainability: Interaction among Greenhouse Gas Emissions, Nuclear Energy, Urban Agglomeration, and Economic Growth. Energies 2021, 14, 7703. [Google Scholar] [CrossRef]
- Navamuel, E.L.; Rubiera Morollón, F.; Moreno Cuartas, B. Energy Consumption and Urban Sprawl: Evidence for the Spanish Case. J. Clean. Prod. 2018, 172, 3479–3486. [Google Scholar] [CrossRef]
- Loredana, C.; Rehman, A.; Maria Mirabela, F.I.; Pinzon, S.; Cismaș, L.M. What Implications Do Primary Energy Use, Urban Population Agglomeration, and Economic Development Rendered to Romania’s Environmental Sustainability? Energy Strategy Rev. 2024, 53, 101399. [Google Scholar] [CrossRef]
- Jarboui, S.; Bouzouina, L.; Alofaysan, H. Historical Insights into CO2 Emission Dynamics in Urban Daily Mobility: A Case Study of Lyon’s Agglomeration. Sustainability 2024, 16, 9789. [Google Scholar] [CrossRef]
- Frolking, S.; Milliman, T.; Seto, K.C.; Friedl, M.A. A Global Fingerprint of Macro-Scale Changes in Urban Structure from 1999 to 2009. Environ. Res. Lett. 2013, 8, 24004. [Google Scholar] [CrossRef]
- Paravantis, J.A.; Tasios, P.D.; Dourmas, V.; Andreakos, G.; Velaoras, K.; Kontoulis, N.; Mihalakakou, P. A Regression Analysis of the Carbon Footprint of Megacities. Sustainability 2021, 13, 1379. [Google Scholar] [CrossRef]
- Rehman, A.; Ma, H.; Ozturk, I.; Alvarado, R.; Oláh, J.; Liu, R.; Qiang, W. The Enigma of Environmental Sustainability and Carbonization: Assessing the Connection between Coal and Oil Rents, Natural Resources, and Environmental Quality. Gondwana Res. 2024, 128, 1–13. [Google Scholar] [CrossRef]
- Talib, M.N.A.; Hashmi, S.H.; Aamir, M.; Khan, M.A. Testing Non-Linear Effect of Urbanization on Environmental Degradation: Cross-Country Evidence. Front. Environ. Sci. 2022, 10, 971394. [Google Scholar] [CrossRef]
- Darwish, A.M.; Zagow, M.; Elkafoury, A. Impact of Land Use, Travel Behavior, and Socio-Economic Characteristics on Carbon Emissions in Cool-Climate Cities, USA. Environ. Sci. Pollut. Res. 2023, 30, 91108–91124. [Google Scholar] [CrossRef]
- Liu, K.; Xue, M.; Peng, M.; Wang, C. Impact of Spatial Structure of Urban Agglomeration on Carbon Emissions: An Analysis of the Shandong Peninsula, China. Technol. Forecast. Soc. Chang. 2020, 161, 120313. [Google Scholar] [CrossRef]
- Dong, Y.; Jin, G.; Deng, X. Dynamic Interactive Effects of Urban Land-Use Efficiency, Industrial Transformation, and Carbon Emissions. J. Clean. Prod. 2020, 270, 122547. [Google Scholar] [CrossRef]
- Zhou, Y.; Chen, M.; Tang, Z.; Mei, Z. Urbanization, Land Use Change, and Carbon Emissions: Quantitative Assessments for City-Level Carbon Emissions in Beijing-Tianjin-Hebei Region. Sustain. Cities Soc. 2021, 66, 102701. [Google Scholar] [CrossRef]
- Yu, Q.; Li, M.; Li, Q.; Wang, Y.; Chen, W. Economic Agglomeration and Emissions Reduction: Does High Agglomeration in China’s Urban Clusters Lead to Higher Carbon Intensity? Urban Clim. 2022, 43, 101174. [Google Scholar] [CrossRef]
- Yang, L.; Meng, H.; Wang, J.; Wu, Y.; Zhao, Z. The Vulnerability Assessment and Obstacle Factor Analysis of Urban Agglomeration along the Yellow River in China from the Perspective of Production-Living-Ecological Space. PLoS ONE 2024, 19, e0299729. [Google Scholar] [CrossRef]
- Xu, Q.; Dong, Y.; Yang, R. Urbanization Impact on Carbon Emissions in the Pearl River Delta Region: Kuznets Curve Relationships. J. Clean. Prod. 2018, 180, 514–523. [Google Scholar] [CrossRef]
- Chen, J.; Wang, L.; Li, Y. Research on the Impact of Multi-Dimensional Urbanization on China’s Carbon Emissions under the Background of COP21. J. Environ. Manag. 2020, 273, 111123. [Google Scholar] [CrossRef]
- Zhu, E.; Qi, Q.; Chen, L.; Wu, X. The Spatial-Temporal Patterns and Multiple Driving Mechanisms of Carbon Emissions in the Process of Urbanization: A Case Study in Zhejiang, China. J. Clean. Prod. 2022, 358, 131954. [Google Scholar] [CrossRef]
- Fan, J.; Zhou, L. Impact of Urbanization and Real Estate Investment on Carbon Emissions: Evidence from China’s Provincial Regions. J. Clean. Prod. 2019, 209, 309–323. [Google Scholar] [CrossRef]
- Liu, Y.; Yan, B.; Zhou, Y. Urbanization, Economic Growth, and Carbon Dioxide Emissions in China: A Panel Cointegration and Causality Analysis. J. Geogr. Sci. 2016, 26, 131–152. [Google Scholar] [CrossRef]
- Dong, L.; Longwu, L.; Zhenbo, W.; Liangkan, C.; Faming, Z. Exploration of Coupling Effects in the Economy–Society–Environment System in Urban Areas: Case Study of the Yangtze River Delta Urban Agglomeration. Ecol. Indic. 2021, 128, 107858. [Google Scholar] [CrossRef]
- Wang, Y.; Niu, Y.; Li, M.; Yu, Q.; Chen, W. Spatial Structure and Carbon Emission of Urban Agglomerations: Spatiotemporal Characteristics and Driving Forces. Sustain. Cities Soc. 2022, 78, 103600. [Google Scholar] [CrossRef]
- Xing, L.; Xue, M.; Hu, M. Dynamic Simulation and Assessment of the Coupling Coordination Degree of the Economy–Resource–Environment System: Case of Wuhan City in China. J. Environ. Manag. 2019, 230, 474–487. [Google Scholar] [CrossRef]
- Chen, H.; Hua, Y.; Xu, Y. Spatial-Temporal Evolution Patterns and Obstacle Factors of Urban–Rural “Economy–Society–Ecology” Coordination in the Yangtze River Delta. Sustainability 2023, 15, 13839. [Google Scholar] [CrossRef]
- Shan, Y.; Liu, J.; Liu, Z.; Shao, S.; Guan, D. An Emissions-Socioeconomic Inventory of Chinese Cities. Sci. Data 2019, 6, 190027. [Google Scholar] [CrossRef]
- Shan, Y.; Guan, D.; Liu, J.; Mi, Z.; Liu, Z.; Liu, J.; Schroeder, H.; Cai, B.; Chen, Y.; Shao, S.; et al. Methodology and Applications of City Level CO2 Emission Accounts in China. J. Clean. Prod. 2017, 161, 1215–1225. [Google Scholar] [CrossRef]
- Shan, Y.; Guan, D.; Hubacek, K.; Zheng, B.; Davis, S.J.; Jia, L.; Liu, J.; Liu, Z.; Fromer, N.; Mi, Z.; et al. City-Level Climate Change Mitigation in China. Sci. Adv. 2018, 4, eaaq0390. [Google Scholar] [CrossRef]
- Shan, Y.; Guan, Y.; Hang, Y.; Zheng, H.; Li, Y.; Guan, D.; Li, J.; Zhou, Y.; Li, L.; Hubacek, K. City-Level Emission Peak and Drivers in China. Sci. Bull. 2022, 67, 1910–1920. [Google Scholar] [CrossRef]
- Lin, X.; Wang, Y.; Wang, S.; Wang, D. Spatial Differences and Driving Forces of Land Urbanization in China. J. Geogr. Sci. 2015, 25, 545–558. [Google Scholar] [CrossRef]
- Li, Y.; Li, Y.; Zhou, Y.; Shi, Y.; Zhu, X. Investigation of a Coupling Model of Coordination between Urbanization and the Environment. J. Environ. Manag. 2012, 98, 127–133. [Google Scholar] [CrossRef]
- Zhang, G.; Zhang, N.; Liao, W. How Do Population and Land Urbanization Affect CO2 Emissions under Gravity Center Change? A Spatial Econometric Analysis. J. Clean. Prod. 2018, 202, 510–523. [Google Scholar] [CrossRef]
- Pu, Y.; Wang, Y.; Wang, P. Driving Effects of Urbanization on City-Level Carbon Dioxide Emissions: From Multiple Perspectives of Urbanization. Int. J. Urban Sci. 2022, 26, 108–128. [Google Scholar] [CrossRef]
- Ma, L.; Xiang, L.; Wang, C.; Chen, N.; Wang, W. Spatiotemporal Evolution of Urban Carbon Balance and Its Response to New-Type Urbanization: A Case of the Middle Reaches of the Yangtze River Urban Agglomerations, China. J. Clean. Prod. 2022, 380, 135122. [Google Scholar] [CrossRef]
- Zhang, W.; Xu, H. Effects of Land Urbanization and Land Finance on Carbon Emissions: A Panel Data Analysis for Chinese Provinces. Land Use Policy 2017, 63, 493–500. [Google Scholar] [CrossRef]
- Shannon, C.E. A Mathematical Theory of Communication. Bell Syst. Tech. J. 1948, 27, 379–423. [Google Scholar] [CrossRef]
- Shemshadi, A.; Shirazi, H.; Toreihi, M.; Tarokh, M.J. A Fuzzy VIKOR Method for Supplier Selection Based on Entropy Measure for Objective Weighting. Expert Syst. Appl. 2011, 38, 12160–12167. [Google Scholar] [CrossRef]
- Li, D.; Cao, L.; Zhou, Z.; Zhao, K.; Du, Z.; Han, K. Coupling Coordination Degree and Driving Factors of New-Type Urbanization and Low-Carbon Development in the Yangtze River Delta: Based on Nighttime Light Data. Environ. Sci. Pollut. Res. 2022, 29, 81636–81657. [Google Scholar] [CrossRef]
- Mazziotta, M.; Pareto, A. Synthesis of Indicators: The Composite Indicators Approach. In Complexity in Society: From Indicators Construction to Their Synthesis; Maggino, F., Ed.; Springer: Cham, Switzerland, 2017; Volume 70, pp. 159–191. [Google Scholar]
- Liu, C.; Sun, W.; Li, P. Characteristics of Spatiotemporal Variations in Coupling Coordination between Integrated Carbon Emission and Sequestration Index: A Case Study of the Yangtze River Delta, China. Ecol. Indic. 2022, 135, 108520. [Google Scholar] [CrossRef]
- Fu, S.; Zhuo, H.; Song, H.; Wang, J.; Ren, L. Examination of a Coupling Coordination Relationship between Urbanization and the Eco-Environment: A Case Study in Qingdao, China. Environ. Sci. Pollut. Res. 2020, 27, 23981–23993. [Google Scholar] [CrossRef] [PubMed]
- Schandl, H.; Hatfield-Dodds, S.; Wiedmann, T.; Geschke, A.; Cai, Y.; West, J.; Newth, D.; Baynes, T.; Lenzen, M.; Owen, A. Decoupling Global Environmental Pressure and Economic Growth: Scenarios for Energy Use, Materials Use and Carbon Emissions. J. Clean. Prod. 2016, 132, 45–56. [Google Scholar] [CrossRef]
- Wrigley, N.; Cliff, A.D.; Ord, J.K. Spatial Processes: Models and Applications. Geogr. J. 1982, 148, 383. [Google Scholar] [CrossRef]
- Xu, H.; Jiao, M. City Size, Industrial Structure and Urbanization Quality—A Case Study of the Yangtze River Delta Urban Agglomeration in China. Land Use Policy 2021, 111, 105735. [Google Scholar] [CrossRef]
- Yang, S.; Wang, M.Y.; Wang, C. Revisiting and Rethinking Regional Urbanization in Changjiang River Delta, China. Chin. Geogr. Sci. 2012, 22, 617–625. [Google Scholar] [CrossRef]
- Yang, Q.; Ding, L.; Wang, L.; Liu, C.; Fan, Y.; Li, Y.; Wang, Y. Influence Mechanism of New-Type Urbanization on Urban Land Use Efficiency in the Yangtze River Delta, China. Chin. Geogr. Sci. 2023, 33, 474–488. [Google Scholar] [CrossRef]
- Hu, C.; Liu, S.; Wang, Y.; Zhang, M.; Xiao, W.; Wang, W.; Xu, J. Anthropogenic CO2 Emissions from a Megacity in the Yangtze River Delta of China. Environ. Sci. Pollut. Res. 2018, 25, 23157–23169. [Google Scholar] [CrossRef] [PubMed]
- Lv, T.; Hu, H.; Zhang, X.; Xie, H.; Wang, L.; Fu, S. Spatial Spillover Effects of Urbanization on Carbon Emissions in the Yangtze River Delta Urban Agglomeration, China. Environ. Sci. Pollut. Res. 2022, 29, 33920–33934. [Google Scholar] [CrossRef]
- Zhao, Y.; Wang, S.; Zhou, C. Understanding the Relation between Urbanization and the Eco-Environment in China’s Yangtze River Delta Using an Improved EKC Model and Coupling Analysis. Sci. Total Environ. 2016, 571, 862–875. [Google Scholar] [CrossRef]








| Database | Repository Name | Access Link | Key Citations |
|---|---|---|---|
| 1 | China National Bureau of Statistics | https://data.stats.gov.cn/index.htm (accessed on 25 May 2025). | - |
| 2 | China Urban Construction Statistics Yearbook | https://www.mohurd.gov.cn/gongkai/fdzdgknr/sjfb/tjxx/jstjnj/index.html (accessed on 25 May 2025). | - |
| 3 | Carbon Emission Accounts and Datasets (CEADs) | https://www.ceads.net/user/index.php?id=1281&lang=cn (accessed on 25 May 2025). | [48,49,50,51] |
| System | Subsystem | Indicators | The Measuring Unit | Index Effect |
|---|---|---|---|---|
| land urbanization | Land size level [15,16,43,53,54,55,56] | Urban built-up area | km2 | Positive |
| Per capita public green space | Persons/m2 | Positive | ||
| Land input level [15,42,57] | Government expenditure per land | Ten thousand yuan/km2 | Positive | |
| Fixed asset investment in municipal public facilities construction per land | Ten thousand yuan/km2 | Positive | ||
| Land output level [15,22] | GDP per unit land area | Ten thousand yuan/km2 | Positive | |
| Land average output value of secondary and tertiary industries | Ten thousand yuan/km2 | Positive | ||
| carbon emission | Carbon emission level [49,50,51,55] | CO2 emissions from the production of 17 fossil fuels and cement | Ten thousand tons standard coal | Negative |
| The Serial Number | Degree of Coupling Coordination | Coordinated Coupling Degree Stage |
|---|---|---|
| 1 | 0.0 < CCD ≤ 0.1 | Stage of extreme disorder |
| 2 | 0.1 < CCD ≤ 0.2 | Stage of severe disorder |
| 3 | 0.2 < CCD ≤ 0.3 | Stage of moderate disorder |
| 4 | 0.3 < CCD ≤ 0.4 | Stage of mild disorder |
| 5 | 0.4 < CCD ≤ 0.5 | Stage of near disorders |
| 6 | 0.5 < CCD ≤ 0.6 | Stage of grudging coordination |
| 7 | 0.6 < CCD ≤ 0.7 | Stage of primary coordination |
| 8 | 0.7 < CCD ≤ 0.8 | Stage of intermediate coordination |
| 9 | 0.8 < CCD ≤ 0.9 | Stage of good coordination |
| 10 | 0.9 < CCD ≤ 1.0 | Stage of quality coordination |
Disclaimer/Publisher’s Note: The statements, opinions and data contained in all publications are solely those of the individual author(s) and contributor(s) and not of MDPI and/or the editor(s). MDPI and/or the editor(s) disclaim responsibility for any injury to people or property resulting from any ideas, methods, instructions or products referred to in the content. |
© 2025 by the authors. Licensee MDPI, Basel, Switzerland. This article is an open access article distributed under the terms and conditions of the Creative Commons Attribution (CC BY) license (https://creativecommons.org/licenses/by/4.0/).
Share and Cite
Li, Z.; Yu, Y.; Liu, B.; Zhang, X.; Li, T.; Shi, N.; Ren, Y. The Coupling Coordination Degree and Spatio-Temporal Divergence Between Land Urbanization and Energy Consumption Carbon Emissions of China’s Yangtze River Delta Urban Agglomeration. Buildings 2025, 15, 1880. https://doi.org/10.3390/buildings15111880
Li Z, Yu Y, Liu B, Zhang X, Li T, Shi N, Ren Y. The Coupling Coordination Degree and Spatio-Temporal Divergence Between Land Urbanization and Energy Consumption Carbon Emissions of China’s Yangtze River Delta Urban Agglomeration. Buildings. 2025; 15(11):1880. https://doi.org/10.3390/buildings15111880
Chicago/Turabian StyleLi, Zhengru, Yang Yu, Bo Liu, Xiaoyu Zhang, Tianyin Li, Nuo Shi, and Yichen Ren. 2025. "The Coupling Coordination Degree and Spatio-Temporal Divergence Between Land Urbanization and Energy Consumption Carbon Emissions of China’s Yangtze River Delta Urban Agglomeration" Buildings 15, no. 11: 1880. https://doi.org/10.3390/buildings15111880
APA StyleLi, Z., Yu, Y., Liu, B., Zhang, X., Li, T., Shi, N., & Ren, Y. (2025). The Coupling Coordination Degree and Spatio-Temporal Divergence Between Land Urbanization and Energy Consumption Carbon Emissions of China’s Yangtze River Delta Urban Agglomeration. Buildings, 15(11), 1880. https://doi.org/10.3390/buildings15111880
