Sign in to use this feature.

Years

Between: -

Subjects

remove_circle_outline
remove_circle_outline
remove_circle_outline
remove_circle_outline
remove_circle_outline
remove_circle_outline
remove_circle_outline
remove_circle_outline
remove_circle_outline

Journals

remove_circle_outline
remove_circle_outline
remove_circle_outline
remove_circle_outline
remove_circle_outline
remove_circle_outline
remove_circle_outline
remove_circle_outline

Article Types

Countries / Regions

remove_circle_outline
remove_circle_outline
remove_circle_outline
remove_circle_outline
remove_circle_outline
remove_circle_outline
remove_circle_outline

Search Results (2,195)

Search Parameters:
Keywords = spatial autocorrelation

Order results
Result details
Results per page
Select all
Export citation of selected articles as:
29 pages, 5828 KB  
Article
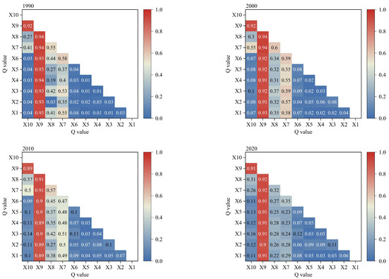
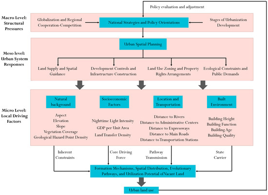
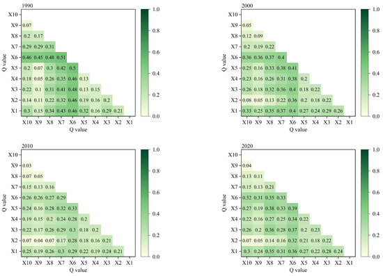
Grid-Based Analysis of the Spatial Relationships and Driving Factors of Land-Use Carbon Emissions and Landscape Ecological Risk: A Case Study of the Hexi Corridor, China
by Xiaoying Nie, Chao Wang, Kaiming Li and Wanzhuang Huang
Land 2026, 15(4), 669; https://doi.org/10.3390/land15040669 (registering DOI) - 18 Apr 2026
Abstract
Rapid urbanization and agricultural expansion in arid regions have profoundly altered carbon cycles and landscape stability. Focusing on the Hexi Corridor, China, this study integrates multi-source geospatial data (1990–2020) to analyze the spatiotemporal evolution and driving factors of land-use carbon emissions (LUCE) and [...] Read more.
Rapid urbanization and agricultural expansion in arid regions have profoundly altered carbon cycles and landscape stability. Focusing on the Hexi Corridor, China, this study integrates multi-source geospatial data (1990–2020) to analyze the spatiotemporal evolution and driving factors of land-use carbon emissions (LUCE) and landscape ecological risks (LER). By integrating carbon accounting, LER assessment, bivariate spatial autocorrelation, and the Optimal Parameter Geographic Detector (OPGD), we quantify the intricate relationship between carbon dynamics and landscape integrity. Results indicate a transformative pattern of anthropogenic expansion and natural contraction, with a 2315.49 km2 net loss of unused land. Net carbon emissions surged 4.6-fold, while forest and grassland sinks exhibited a significant “lock-in effect” due to fragile ecological foundations. Simultaneously, LER followed an “inverted U-shaped” trajectory; the refined 5 × 5 km grid scale revealed a significant drop in high-risk areas from 44.65% to 10.96% following ecological restoration. Spatial analysis reveals a significant “spatial mismatch” between LUCE and LER, with oases manifesting “high carbon–low risk” clustering. Driver detection confirms a driving asymmetry. LUCE is dominated by anthropogenic factors (nighttime light, q > 0.90), whereas LER is profoundly constrained by natural backgrounds. Future governance must shift toward a collaborative system centered on source-based emission control and precise regional management to synergize low-carbon transition with landscape security. Full article
(This article belongs to the Section Land Systems and Global Change)
Show Figures

Figure 1

28 pages, 6779 KB  
Article
Spatiotemporal Dynamics and Driving Mechanisms of Ecosystem Service Values in China’s Southern Collective Forest Region
by Mei Zhang, Li Ma, Yiru Wang, Ji Luo, Minghong Peng, Dingdi Jize, Cuicui Jiao, Ping Huang and Yuanjie Deng
Forests 2026, 17(4), 501; https://doi.org/10.3390/f17040501 (registering DOI) - 18 Apr 2026
Abstract
As a crucial national ecological barrier, China’s Southern Collective Forest Region (SCFR) plays an essential role in maintaining regional ecological security and promoting sustainable development. Understanding the mechanisms driving the evolution of its ecosystem service value (ESV) is of great significance. Based on [...] Read more.
As a crucial national ecological barrier, China’s Southern Collective Forest Region (SCFR) plays an essential role in maintaining regional ecological security and promoting sustainable development. Understanding the mechanisms driving the evolution of its ecosystem service value (ESV) is of great significance. Based on county-level data from 2000 to 2023, this study integrated the equivalent factor method, spatial autocorrelation analysis, the XGBoost-SHAP model, geographically and temporally weighted regression (GTWR), and partial least squares structural equation modeling (PLS-SEM) to examine the spatio-temporal evolution patterns and driving mechanisms of ESV in the SCFR. The results showed that ESV in the SCFR exhibited an overall downward trend, with a cumulative loss of 1973.77 × 108 CNY. This was primarily due to marked reductions in hydrological and climate regulation services. The spatial distribution of ESV exhibited a significant heterogeneity—higher in the southwestern and southeastern mountainous regions, and lower in the northern plains and coastal zones, with the center of gravity shifting first to the northeast and then to the southwest. Local spatial autocorrelation revealed relatively stable “High–High” and “Low–Low” clustering characteristics, where high-value clusters were consistently distributed in core forest zones, while low-value clusters overlapped highly with urban agglomerations. Socio-economic factors exerted a significantly stronger influence on ESV than natural factors. Population density (POP), land use intensity (LUI), and gross domestic product (GDP) were identified as the dominant drivers, exhibiting distinct non-linear threshold effects and significant spatio-temporal heterogeneity. PLS-SEM analysis further quantified LUI as the dominant direct inhibitory pathway on ESV, highlighting urbanization’s indirect negative effect mediated through intensified LUI. Meanwhile, terrain effects were confirmed to positively influence ESV indirectly by constraining LUI and modulating local climate. The analytical framework of “threshold identification–spatio-temporal heterogeneity–causal pathway analysis” proposed in this study elucidated the complex driving mechanisms of ESV evolution, providing valuable guidance for ecological restoration evaluation and differentiated environmental governance. Full article
(This article belongs to the Section Forest Ecology and Management)
Show Figures

Figure 1

31 pages, 1795 KB  
Article
An Analysis of the Impact of High-Quality Urban Development on Non-Point Source Pollution in the Chenghai Lake Drainage Basin Based on Multi-Source Big Data
by Mingbiao Chen and Xiong He
Land 2026, 15(4), 660; https://doi.org/10.3390/land15040660 - 16 Apr 2026
Abstract
With urbanization transforming from scale expansion to high-quality development and the increasing prominence of the ecological environment constraints of drainage basins, systematically identifying the mechanism of action of non-point source pollution from a high-quality development perspective is significant for coordinating urban development and [...] Read more.
With urbanization transforming from scale expansion to high-quality development and the increasing prominence of the ecological environment constraints of drainage basins, systematically identifying the mechanism of action of non-point source pollution from a high-quality development perspective is significant for coordinating urban development and environmental protection. Based on remote sensing data on atmospheric pollution and multi-source spatial big data such as nighttime light (NTL), LandScan population, point of interest (POI), and land use data from 2013 to 2025, this study applies methods including deposition flux analysis, deep learning fusion, bivariate spatial autocorrelation, and geographically weighted regression (GWR) to empirically analyze the spatiotemporal evolution characteristics, spatial correlation, and local impacts of high-quality urban development on non-point source pollution in the Chenghai drainage basin. We find that, firstly, non-point source pollution and high-quality urban development in the Chenghai drainage basin both present significant stage-specific and spatial heterogeneity. In other words, the two are not mutually independent spatial elements in space; instead, they are closely and significantly correlated, with their correlation types showing obvious spatial agglomeration characteristics. Secondly, the impact of high-quality urban development on non-point source pollution evolves in stages. It gradually shifts from a whole-region, homogeneous, strongly positive driving force to spatial differentiation. Specifically, from 2013 to 2017, the whole-region regression coefficients are generally greater than 0.5, meaning that urban development represents a strong, whole-region driving force promoting pollution. However, after 2017, this impact evolves into a stable spatial differentiation pattern. It mainly shows that the northern urban core area, where coefficients are greater than 0.5, maintains a continuous strong positive driving force. Meanwhile, the peripheral area, where coefficients are generally lower than 0, creates a negative inhibition effect. Based on the above rules, further analysis shows that the impact of high-quality urban development on non-point source pollution is absolutely not a simple linear relationship. Instead, it is a result of the coupling effect of multiple factors, including development stage, spatial location, and governance level. Therefore, to positively affect the ecological environment through high-quality development, model transformation and precise governance are essential. The findings of this study deepen our understanding of the transformation of urban development models and the response mechanism of non-point source pollution. They also provide a scientific basis and decision support for promoting the coordinated governance of high-quality urban development and non-point source pollution by region and stage in plateau lake drainage basins, as well as for improving the sustainable development of drainage basins. Full article
30 pages, 3933 KB  
Article
High-Vitality Stability Characteristics and Nonlinear Mechanisms of Urban Virtual Vitality: Evidence from Five Urban Districts in Harbin, China
by Zhu Gong and Hong Jiao
Land 2026, 15(4), 654; https://doi.org/10.3390/land15040654 - 16 Apr 2026
Abstract
Virtual vitality has become an important complementary dimension for describing urban vitality; however, the identification and formation mechanisms of its stable, high-vitality state during dynamic change remain insufficiently explored. Taking five urban districts of Harbin as the study area, this study uses TikTok [...] Read more.
Virtual vitality has become an important complementary dimension for describing urban vitality; however, the identification and formation mechanisms of its stable, high-vitality state during dynamic change remain insufficiently explored. Taking five urban districts of Harbin as the study area, this study uses TikTok short-video data from July to August 2024 (summer) and December 2024 to January 2025 (winter), together with Gaode Map POI data, as the core dataset. Kernel density differences between adjacent weeks are used to measure the dynamic changes in virtual vitality. Bivariate local spatial autocorrelation is applied to identify high-vitality stable zones, and a Random Forest model is employed to examine the nonlinear influence of physical vitality spatial structures. The results show the following: (1) Dynamic change patterns of virtual vitality differ significantly across seasons, and when online attention content points to specific physical spatial structures, a stable high-vitality state is more likely to be maintained. (2) Bivariate local spatial autocorrelation analysis indicates that high-vitality stable zones (HH zones) exhibit significant spatial clustering, with vitality-enhancing zones (LH zones) distributed around them and showing spillover effects, while vitality-declining zones (HL zones) are more scattered. (3) The Random Forest results show that the stable maintenance of high virtual vitality depends more on combinations of spatial structural characteristics with high recognizability, among which distance to activity center (tourism), functional composition dissimilarity (culture), and functional composition dissimilarity (shopping) have the strongest influence. These findings reveal a nonlinear relationship between the stable high-vitality state and the structure of physical vitality space, providing insights for guiding online attention to support physical spatial development. Full article
(This article belongs to the Section Land Use, Impact Assessment and Sustainability)
30 pages, 10187 KB  
Article
Linking Sea Surface Temperature Clusters and Daily Rainfall Extremes During Four El Niño Events in the Galápagos Islands (1991–2024)
by María Lorena Orellana-Samaniego, Nazli Turini, Rolando Célleri, Jaime Burbano, Carlos Zeas, Byron Delgado, Jörg Bendix and Daniela Ballari
Atmosphere 2026, 17(4), 395; https://doi.org/10.3390/atmos17040395 - 14 Apr 2026
Viewed by 153
Abstract
The Galápagos Islands, located in the eastern equatorial Pacific approximately 1000 km west of mainland Ecuador, are highly sensitive to the El Niño–Southern Oscillation. However, the mechanisms linking sea surface temperature (SST) variability to daily rainfall extremes remain poorly understood. Focusing on Santa [...] Read more.
The Galápagos Islands, located in the eastern equatorial Pacific approximately 1000 km west of mainland Ecuador, are highly sensitive to the El Niño–Southern Oscillation. However, the mechanisms linking sea surface temperature (SST) variability to daily rainfall extremes remain poorly understood. Focusing on Santa Cruz Island, one of the main islands of the archipelago, we analyzed the response of daily rainfall to four El Niño events (1991–1992, 1997–1998, 2015–2016 and 2023–2024) and their relationship with SST spatial patterns. Our approach followed three steps: (1) Daily rainfall observations were classified using percentile thresholds; (2) SST spatial clusters were identified using Local Indicators of Spatial Association (LISA), which explicitly incorporates spatial autocorrelation to distinguish warm and cold SST spatial clusters; and (3) SST cluster metrics (mean temperature, spatial extent, and persistence) were extracted and related to rainfall intensification. Results show that El Niño can increase daily extreme rainfall (>P95) in frequency and in totals, with the strongest and most persistent signal during 1997–1998; in contrast, the 2015–2016 event, despite being classified as very strong by the Oceanic Niño Index (ONI), exhibited a limited and short-lived >P95 rainfall response in Santa Cruz. The link between SST clusters and extreme rainfall strengthened during El Niño (r from ~0.40 to 0.70). Correspondingly, SST clusters underwent significant spatial reorganization in their extent and persistence. Contrasts were most evident in the central–southern domain, where 1997–1998 showed strong warm incursion and persistent ≥28 °C coverage, while 2015–2016 remained more spatially constrained and less coherent. The area where clusters reached mean SST ≥ 28 °C became widespread in 1997–1998 (98.55%), whereas it remained more localized in 1991–1992 (30.28%), 2015–2016 (27.02%), and 2023–2024 (26.55%) and was absent in neutral years (0%). Persistent warm-cluster coverage increased from neutral conditions (38.53%) in 1991–1992 (47.49%), 1997–1998 (53.42%), and 2023–2024 (42.97%), but was lower in 2015–2016 (34.53%). Overall, these results provide a process-oriented link between SST cluster organization and event-to-event differences in Galápagos rainfall extremes, highlighting the value of local SST metrics beyond basin-scale ENSO indices. Full article
(This article belongs to the Special Issue Research on ENSO: Types and Impacts)
27 pages, 2962 KB  
Article
Spatiotemporal Evolution and Multi-Scenario Prediction of Ecosystem Service Value in Wuhan East Lake Based on the PLUS Model
by Jingyao Xiong, Hongbing Chen and Liya Zhao
Land 2026, 15(4), 639; https://doi.org/10.3390/land15040639 - 14 Apr 2026
Viewed by 246
Abstract
Urban lake scenic areas serve as crucial ecological barriers but face acute conflicts between expansion and conservation. Existing research has often overlooked microscale landscape fragmentation and its associated ecological effects. Focusing on the Wuhan East Lake ecotourism scenic area (Wuhan East Lake), this [...] Read more.
Urban lake scenic areas serve as crucial ecological barriers but face acute conflicts between expansion and conservation. Existing research has often overlooked microscale landscape fragmentation and its associated ecological effects. Focusing on the Wuhan East Lake ecotourism scenic area (Wuhan East Lake), this study investigated the spatiotemporal impacts of micro-scale land-use transitions on ecosystem service value (ESV). To evaluate the historical evolution of ESV from 2010 to 2024, an improved equivalent factor method was coupled with a patch-generating land-use simulation (PLUS) model. Spatial autocorrelation and landscape pattern metrics were then incorporated to diagnose structural degradation and establish a foundation for simulating the four development scenarios for 2035. Results demonstrate that sporadic construction expansion led to a decline in total ESV from 2.445 to 2.216 billion CNY, driving a pronounced “core-hot vs. edge-cold” spatial disparity. Among future projections, the Sustainable Development pathway emerges as optimal, effectively balancing economic demands with the need to minimize ecological fragmentation. Ultimately, this study contributes to the literature by integrating microscale landscape fragmentation analysis with a PLUS-based multi-scenario simulation to provide a refined understanding of ecosystem service dynamics in urban lake systems, thereby offering a scientific reference for resilient spatial planning and policymaking. Full article
(This article belongs to the Section Land Use, Impact Assessment and Sustainability)
Show Figures

Figure 1

34 pages, 35610 KB  
Article
Integrating InSAR and Channel Steepness for AI-Based Coseismic Landslide Modeling in the Nepal Himalaya
by Rajesh Silwal, Guoquan Wang, Sabal KC, Rabin Rimal and Sagar Rawal
Remote Sens. 2026, 18(8), 1151; https://doi.org/10.3390/rs18081151 - 13 Apr 2026
Viewed by 304
Abstract
Earthquake-induced landslides in active orogens such as the Nepal Himalaya pose severe threats to lives, infrastructure, and post-disaster recovery. While machine learning (ML) and deep learning (DL) approaches to coseismic landslide susceptibility mapping have advanced considerably, spaceborne interferometric synthetic aperture radar (InSAR) products, [...] Read more.
Earthquake-induced landslides in active orogens such as the Nepal Himalaya pose severe threats to lives, infrastructure, and post-disaster recovery. While machine learning (ML) and deep learning (DL) approaches to coseismic landslide susceptibility mapping have advanced considerably, spaceborne interferometric synthetic aperture radar (InSAR) products, particularly line-of-sight (LOS) displacement and coherence-based damage proxy maps (DPMs), remain underutilized in event-based frameworks. This study develops and evaluates a multi-factor coseismic landslide probability model that integrates InSAR-derived deformation metrics with geomorphic and hydrologic predictors to support rapid post-earthquake hazard assessment. Using the 25 April 2015 Mw 7.8 Gorkha earthquake as a case study, LOS displacement was derived from ALOS-2 PALSAR-2 ScanSAR interferometry, and the normalized channel steepness index (Ksn) was computed from a digital elevation model. Fourteen conditioning factors were used to train five architectures: Random Forest (RF), XGBoost, CNN, U-Net, and DeepLabV3. Spatial autocorrelation was mitigated using a leave-one-basin-out three-fold spatial cross-validation strategy, with models evaluated on a patch-based domain comprising 655,360 pixels at a positive-class prevalence of 6.35%, establishing a no-skill AUC-PR baseline of 0.0635. InSAR integration consistently improved model performance under high class imbalance, increasing AUC-PR across all models by 7.8% to 17.3%. Random Forest achieved the highest AUC-PR (0.7940, nearly 12.5 times the baseline) and CSI (0.3027), providing the best balance between landslide recall (88.09%) and non-landslide specificity (88.68%) with the lowest false alarm rate (11.32%). XGBoost attained the highest AUC-ROC (0.9501) but exhibited lower recall (83.73%) and poorer calibration (Brier = 0.1397). Among DL models, DeepLabV3 produced the best-calibrated probabilities (Brier = 0.0693) and the highest CSI (0.2307), while U-Net offered the most balanced DL performance and CNN achieved the highest recall (92.40%) at the expense of elevated false alarms. Permutation feature importance identified Ksn as the dominant predictor, highlighting the strong tectono-geomorphic control on coseismic landslide occurrence. These results demonstrate that integrating InSAR-derived products substantially enhances landslide hazard assessment and supports more reliable rapid response in the Nepal Himalaya. Full article
(This article belongs to the Special Issue Artificial Intelligence and Remote Sensing for Geohazards)
Show Figures

Figure 1

27 pages, 7094 KB  
Article
The Spatial Differentiation Pattern and Driving Factors of National Modern Agricultural Industrial Parks in China
by Cuifei Liu, Sunbowen Zhang, Yuxin Yang, Yuting Lin, Youcheng Chen, Zhidan Chen and Yongqiang Ma
Agriculture 2026, 16(8), 857; https://doi.org/10.3390/agriculture16080857 - 12 Apr 2026
Viewed by 258
Abstract
National modern agricultural industrial parks are the core carriers for promoting agricultural modernization. Clarifying their spatial differentiation patterns is of great significance for revealing the efficiency of resource allocation and promoting coordinated regional development. Based on the data from 338 national modern agricultural [...] Read more.
National modern agricultural industrial parks are the core carriers for promoting agricultural modernization. Clarifying their spatial differentiation patterns is of great significance for revealing the efficiency of resource allocation and promoting coordinated regional development. Based on the data from 338 national modern agricultural industrial parks in China, this study uses methods such as the nearest neighbor index, Voronoi spatial statistics, and spatial autocorrelation to identify their spatial distribution characteristics, and adopts the XGBoost–SHAP model to explore the nonlinear effects of driving factors. The research found the following: (1) The parks exhibit a distinct “sparse west–concentrated middle–dense east” agglomeration pattern aligned with China’s Hu Huanyong Line agro–economic divide. (2) At the municipal level, four high-density cores emerged in central-eastern regions with “dual hot spots–gradient diffusion” characteristics. (3) Farmers’ professional cooperatives and transportation accessibility are the most consistent fundamental driving elements, reflecting the transition of the development momentum of contemporary agriculture from “resource dependency” to “circulation dependence.” Heterogeneity analysis shows elevation, cooperatives and rural income differentially drive agglomeration across regions, with elevation constituting a universal constraint. (4) While regional development and mechanization show adaptive synergy, excessive urbanization generates a distinct “non–agriculturalization” crowding–out effect on agricultural development. Full article
(This article belongs to the Section Agricultural Economics, Policies and Rural Management)
21 pages, 2066 KB  
Article
A Study on Land Use Efficiency of State-Owned Agricultural Land in China’s State Farms: An Empirical Analysis Based on the Super-SBM Model
by Baohua Huang, Ke Wang, Rui Zhao, Mengfan Zhang, Xinyu Shan and Zhe Feng
Land 2026, 15(4), 633; https://doi.org/10.3390/land15040633 - 12 Apr 2026
Viewed by 372
Abstract
Against the backdrop of increasing resource and environmental constraints, improving the land use efficiency of state-owned agricultural land is of great significance for promoting sustainable agricultural development. This study measures the land use efficiency of state-owned agricultural land across 29 provinces in China [...] Read more.
Against the backdrop of increasing resource and environmental constraints, improving the land use efficiency of state-owned agricultural land is of great significance for promoting sustainable agricultural development. This study measures the land use efficiency of state-owned agricultural land across 29 provinces in China based on data from the China State Farms Statistical Yearbook (2019–2023). The super-efficiency slack-based measure model (Super-SBM), incorporating both desirable and undesirable outputs, is employed, and global and local spatial autocorrelation methods are further applied to analyze the spatiotemporal evolution of land use efficiency. The results indicate the following: (1) from 2019 to 2023, the overall land use efficiency of state-owned agricultural land in China remained below or slightly above the efficiency frontier, exhibiting a fluctuating trend characterized by an initial increase followed by a decline; (2) significant regional disparities exist, with high-efficiency areas mainly concentrated in Northeast China and the eastern coastal regions, while low-efficiency areas are primarily distributed in western regions and parts of central China; (3) spatial autocorrelation analysis reveals that land use efficiency shows an increasingly pronounced spatial clustering pattern at the provincial scale. After 2022, high–high and low–low clustering became more evident, although a certain degree of spatial heterogeneity still persists overall. These findings provide empirical evidence for understanding the spatial differentiation and evolutionary patterns of the land use efficiency of state-owned agricultural land and offer useful insights for optimizing land resource allocation and management. Full article
Show Figures

Figure 1

25 pages, 6675 KB  
Article
Multidimensional Spatial–Cultural Clustering of Traditional Villages in Northwestern Yunnan Based on a Four-Dimensional Analytical Framework for Sustainable Conservation
by Juncheng Zeng, Xueguo Guan, Xiaoya Zhang, Yuanxi Li, Shiyu Wei, Yaqi Chen, Junfeng Yin and Yaoning Yang
Sustainability 2026, 18(8), 3818; https://doi.org/10.3390/su18083818 - 12 Apr 2026
Viewed by 305
Abstract
Traditional villages in ecologically fragile and multi-ethnic frontier regions are increasingly threatened by rapid urbanization and socio-economic transformation. Northwestern Yunnan, located in the longitudinal valleys of the Hengduan Mountains, represents a key cultural landscape of plateau agropastoral civilization and ethnic interaction, yet its [...] Read more.
Traditional villages in ecologically fragile and multi-ethnic frontier regions are increasingly threatened by rapid urbanization and socio-economic transformation. Northwestern Yunnan, located in the longitudinal valleys of the Hengduan Mountains, represents a key cultural landscape of plateau agropastoral civilization and ethnic interaction, yet its spatial organization and clustering mechanisms remain insufficiently understood. This study develops a four-dimensional analytical framework integrating four dimensions—spatial morphology (village distribution patterns and density), geomorphological conditions (elevation, slope, and terrain features), cultural attributes (ethnic composition and historical-cultural corridors), and architectural typologies (dominant residential structure types) to examine 246 officially recognized traditional villages. Using GIS-based spatial statistics, kernel density estimation (KDE), spatial autocorrelation, and a hierarchical overlay model, the study identifies the spatial structure (distribution patterns and density gradients), environmental adaptability (relationships with elevation, slope, and hydrological conditions), and multidimensional clustering characteristics (integrated clustering intensity across four analytical dimensions) of settlements. The results reveal a highly uneven and a statistically significant clustered spatial pattern (R = 0.606, Moran’s I = 0.251, p < 0.05) characterized by a “two corridors–six clusters–multiple nodes” structure. Settlement distribution demonstrates strong coupling with mid-elevation plateau basins, river valley systems, and trade-cultural corridors shaped by the Ancient Tea Horse Road. Multidimensional integration further classifies villages into three typologies—comprehensive, specialized, and general clusters—reflecting different levels of coordination among spatial, environmental, cultural, and architectural dimensions. These findings reveal the spatial regularities and multidimensional clustering characteristics of officially recognized traditional villages in Northwestern Yunnan, and suggest that environmental setting, historical corridors, and cultural-architectural features jointly shape the current recognized heritage landscape. The proposed framework provides a context-sensitive basis for differentiated heritage conservation and rural management in mountainous multi-ethnic regions. Full article
18 pages, 3888 KB  
Article
Remote Sensing-Based Quantitative Assessment and Spatiotemporal Analysis of Urban Heat Island Effects and Their Implications for Sustainable Urban Development in Yinchuan City
by Shanshan You, Yuxin Wang and Linbo Bai
Sustainability 2026, 18(8), 3813; https://doi.org/10.3390/su18083813 - 12 Apr 2026
Viewed by 309
Abstract
Utilizing MODIS LST data from 2003 to 2024, in conjunction with multi-source remote sensing data including DEM, land use, NDVI, and nighttime lights, this study conducts a remote sensing quantitative assessment and spatiotemporal characteristic analysis of the urban heat island (UHI) effect in [...] Read more.
Utilizing MODIS LST data from 2003 to 2024, in conjunction with multi-source remote sensing data including DEM, land use, NDVI, and nighttime lights, this study conducts a remote sensing quantitative assessment and spatiotemporal characteristic analysis of the urban heat island (UHI) effect in Yinchuan City. An improved urban-rural dichotomy approach was adopted to select rural background areas, and elevation correction of land surface temperature was performed based on the zonal ordinary least squares (OLS) regression to eliminate systematic errors caused by topographic differences. The results show that: (1) From 2003 to 2024, the overall intensity of the UHI in Yinchuan City showed a slight downward trend, while the UHI area continued to expand, presenting the characteristics of “decreasing intensity and expanding scope”; (2) The UHI exhibited concentrated and contiguous distribution in summer, and the cold island phenomenon was significant in winter, reflecting the typical seasonal contrast between summer and winter; (3) The global Moran’s I value increased from 0.39 to 0.82, indicating a significant enhancement in the spatial agglomeration of the UHI; (4) The standard deviation ellipse analysis revealed that the centroid of the UHI migrated toward the westward as a whole, which was consistent with the main axis of urban construction. The research results reveal the long-term evolution law and spatial pattern characteristics of the UHI effect in Yinchuan City, and provide a scientific reference for ecological planning and thermal environment regulation of cities in arid regions. These findings enhance the understanding of long-term urban thermal environment dynamics and provide important scientific support for sustainable urban planning, climate adaptation, and ecological management in arid regions. The study contributes to the quantitative monitoring of urban environmental sustainability and supports sustainable development goals related to climate action and sustainable cities. Full article
(This article belongs to the Section Sustainability in Geographic Science)
Show Figures

Figure 1

32 pages, 13227 KB  
Article
Multifractal Analysis of Monthly Precipitation in a Semi-Arid Region of Central Mexico: Guanajuato, 1981–2016
by Jorge Luis Morales Martínez, Victor Manuel Ortega Chávez, Guillermo Sosa-Gómez, Juana Edith Lozano Hernández, Xitlali Delgado-Galvan and Juan Manuel Navarro Céspedes
Water 2026, 18(8), 911; https://doi.org/10.3390/w18080911 - 11 Apr 2026
Viewed by 308
Abstract
This study characterizes the multifractal structure of monthly precipitation in the semi-arid state of Guanajuato, Mexico, using Multifractal Detrended Fluctuation Analysis with quadratic detrending (MFDFA-2). We analyze 65 quality-controlled meteorological stations covering the period 1981–2016. All series exhibit multifractality, with generalized Hurst exponents [...] Read more.
This study characterizes the multifractal structure of monthly precipitation in the semi-arid state of Guanajuato, Mexico, using Multifractal Detrended Fluctuation Analysis with quadratic detrending (MFDFA-2). We analyze 65 quality-controlled meteorological stations covering the period 1981–2016. All series exhibit multifractality, with generalized Hurst exponents h(2)=0.568±0.065 indicating predominantly persistent dynamics and long-term positive autocorrelation (64.6% of stations). The multifractal spectrum width (Δα) ranges from 0.15 to 0.72 (mean = 0.2423), revealing substantial spatial variability in scaling complexity. K-means clustering based on multifractal features identifies the following four hydroclimatic groups: one random cluster (29.2% of stations) and three persistence-dominated clusters (70.8%), with coherent spatial organization. These findings provide new insights into the temporal scaling properties of precipitation in semi-arid regions and have important implications for water resource management and regionalized drought-risk assessment. Full article
(This article belongs to the Special Issue "Watershed–Urban" Flooding and Waterlogging Disasters)
Show Figures

Figure 1

33 pages, 5250 KB  
Article
Quantifying Spatiotemporal Characteristics of Urban Wetland Soundscapes and Their Associative Pathways Regulating Restorative Benefits
by Zhiqing Zhao, Wenkang Li and Qingpeng He
Sustainability 2026, 18(8), 3783; https://doi.org/10.3390/su18083783 - 10 Apr 2026
Viewed by 414
Abstract
The soundscape serves as a critical determinant of the quality of urban wetland parks. This study employs a mixed-methods approach to comprehensively evaluate wetland soundscapes. First, field investigations combining sound level measurements and questionnaire surveys were conducted in Aixi Lake Wetland Park to [...] Read more.
The soundscape serves as a critical determinant of the quality of urban wetland parks. This study employs a mixed-methods approach to comprehensively evaluate wetland soundscapes. First, field investigations combining sound level measurements and questionnaire surveys were conducted in Aixi Lake Wetland Park to analyze the spatiotemporal characteristics of the soundscape. Second, laboratory-based physiological tracking (using wearable sensors) and cognitive tests (Sustained Attention to Response Task, SART) were utilized to experimentally quantify the restorative benefits of typical soundscapes. The findings reveal that: (1) sound level indicators and sound harmonious degree in urban wetland parks exhibit significant spatiotemporal characteristics and distributional variations; (2) a marked competitive effect among biological, geophysical, and human activity sounds is observed in their spatial distribution; sound harmonious degree demonstrates significant spatial autocorrelation in both global and local models; (3) different sound sources possess varying restorative potentials, with bird song showing the highest restorative effect; the SHDs of biological and geophony, along with LAeq, are key factors affecting PRSS; (4) a positive correlation exists between LAeq and the PRSS up to 56.4 dB, beyond which PRSS declines with increasing LAeq; (5) at the physiological level, short-term exposure to urban wetland park soundscapes can rapidly alleviate stress, with the most pronounced restorative effects occurring within the first 60 s; and (6) in terms of attention, soundscape stimulation reduces SART response times and improves response speed, while bird song from treetops and musical sounds further decrease response errors. Full article
Show Figures

Figure 1

13 pages, 5353 KB  
Article
Abiotic Factors Exert a Predominant Influence on the Annual Aboveground Biomass Dynamics of Chinese Abies Mill. Forests Relative to Biotic Factors
by Zichun Gao, Huayong Zhang and Yanan Wei
Forests 2026, 17(4), 466; https://doi.org/10.3390/f17040466 - 10 Apr 2026
Viewed by 214
Abstract
The mean annual change in aboveground biomass (ΔAGB) is a pivotal indicator for assessing forest carbon cycle dynamics. This study analyzed 791 independent Abies Mill. forest patches across China to elucidate their driving mechanisms by integrating abiotic, anthropogenic, and biotic factors. We employed [...] Read more.
The mean annual change in aboveground biomass (ΔAGB) is a pivotal indicator for assessing forest carbon cycle dynamics. This study analyzed 791 independent Abies Mill. forest patches across China to elucidate their driving mechanisms by integrating abiotic, anthropogenic, and biotic factors. We employed a spatially explicit framework, including spatial error regression and structural equation modeling (SEM), to account for significant spatial autocorrelation (Moran’s I = 0.375, p < 0.001). Our results show that abiotic factors predominantly dictate ΔAGB, with soil fertility (pH and Total Nitrogen), elevation (DEM), and soil physical properties (Coarse Fragments and Thickness) explaining the majority of deterministic variance. This relatively low explanatory variance (marginal R2 = 0.09) likely reflects the high environmental stochasticity inherent in alpine ecosystems. Specifically, soil fertility exerted the strongest positive influence (Std. Estimate = 0.33), while elevation and soil physical constraints were the primary limiting factors. Biotic factors (Stand Age, Height, and Tree Cover) played a subordinate role, contributing only a marginal 2% gain in explained variance (increasing marginal R2 from 0.07 to 0.09). Path analysis revealed an “environmental filtering” hierarchy where abiotic factors shape stand structure, which in turn has limited impact on growth dynamics. These findings underscore that carbon management in alpine forests should prioritize habitat quality conservation over simple biotic structural manipulation. Full article
Show Figures

Figure 1

24 pages, 4979 KB  
Article
Regional Disparities and Spatiotemporal Evolution of Data Element Development in China’s Eight Comprehensive Economic Regions
by Guohua Deng and Liyi Sun
Sustainability 2026, 18(7), 3595; https://doi.org/10.3390/su18073595 - 7 Apr 2026
Viewed by 296
Abstract
The uneven spatial distribution of data elements poses challenges to regional equity and sustainable development. To unmask spatial dynamics obscured by traditional macro-divisions, this study evaluates data element development across China’s Eight Comprehensive Economic Regions from 2013 to 2022. Using the entropy weight [...] Read more.
The uneven spatial distribution of data elements poses challenges to regional equity and sustainable development. To unmask spatial dynamics obscured by traditional macro-divisions, this study evaluates data element development across China’s Eight Comprehensive Economic Regions from 2013 to 2022. Using the entropy weight method, Dagum Gini coefficient, Kernel Density Estimation, and spatial autocorrelation models, the results indicate that while the overall development index exhibits a sustained upward trend, inter-regional differences remain the dominant source of spatial inequality. This disparity is primarily driven by the persistent gap between advanced coastal and lagging inland regions. Notably, spatial trajectories diverge significantly: the Eastern Coastal region exhibits coordinated integration, whereas severe internal polarization appears in the Middle Reaches of the Yellow River and the Southwest. Furthermore, the spatial spillover of data elements remains bounded by physical geography. By highlighting these meso-level structural fault lines, this study provides precise empirical evidence for formulating targeted, basin-specific interventions to bridge the digital divide. Full article
Show Figures

Figure 1

Back to TopTop