Can Recreational Soccer Improve Physical Literacy Dimensions Among Adolescents with High Cardiometabolic Risk?
Abstract
1. Introduction
2. Materials and Methods
2.1. Participants
2.2. Materials and Tests
2.2.1. Physical Literacy Measures
2.2.2. Cardiorespiratory Endurance
2.2.3. Moderate-to-Vigorous Physical Activity (MVPA)
2.2.4. Strength Variables
2.3. Psychological Dimension
2.3.1. Motivation and Confidence
2.3.2. Enjoyment
2.3.3. Cognitive Dimension
2.3.4. Cardiometabolic Risk Measures
2.4. Co-Variable
Somatic Maturation
2.5. Intervention
2.5.1. Small-Sided Soccer Games (SSG)
2.5.2. Traditional Soccer Group (TSG)
2.5.3. Control Group (CG)
2.6. Procedures
2.7. Statistical Analysis
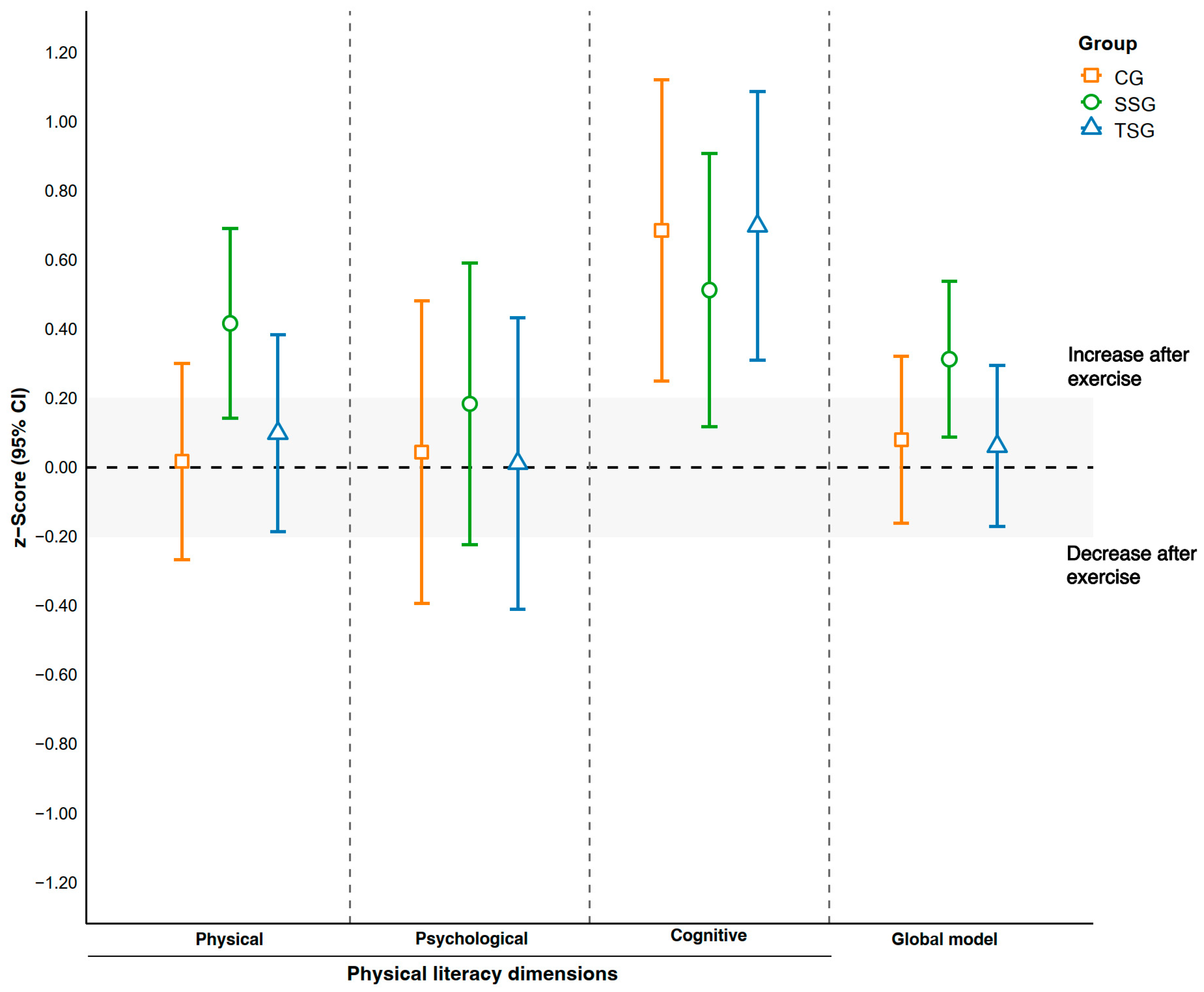
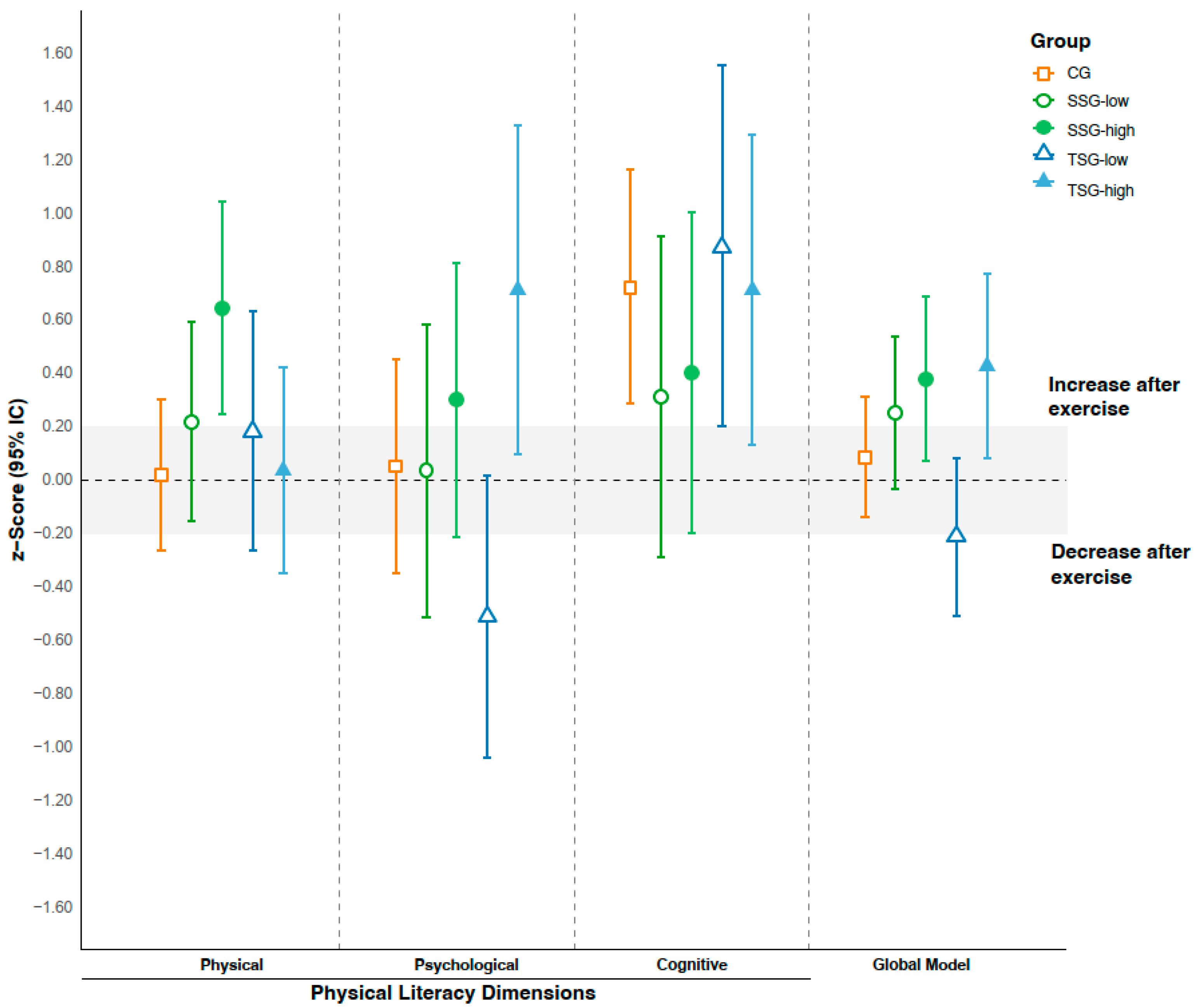
3. Results
3.1. Intention-to-Treat Analysis
3.2. Per-Protocol Analysis
4. Discussion
4.1. Physical Dimension
4.2. Psychological and Cognitive Dimensions
4.3. Practical Considerations
4.4. Limitations and Recommendations
5. Conclusions
Supplementary Materials
Author Contributions
Funding
Institutional Review Board Statement
Informed Consent Statement
Data Availability Statement
Conflicts of Interest
References
- Di Cesare, M.; Sorić, M.; Bovet, P.; Miranda, J.J.; Bhutta, Z.; Stevens, G.A.; Laxmaiah, A.; Kengne, A.P.; Bentham, J. The Epidemiological Burden of Obesity in Childhood: A Worldwide Epidemic Requiring Urgent Action. BMC Med. 2019, 17, 212. [Google Scholar] [CrossRef]
- Lobstein, T.; Brinsden, O.; Neveux, M.; Barata, O.; Barquera, S.; Baur, L.; Busch, V.; Buse, K.; Dietz, B.; French, A.; et al. World Obesity Atlas 2022; World Obesity Federation: London, UK, 2022. [Google Scholar]
- Twig, G.; Yaniv, G.; Levine, H.; Leiba, A.; Goldberger, N.; Derazne, E.; Shor, D.B.-A.; Tzur, D.; Afek, A.; Shamiss, A.; et al. Body-Mass Index in 2.3 Million Adolescents and Cardiovascular Death in Adulthood. N. Engl. J. Med. 2016, 374, 2430–2440. [Google Scholar] [CrossRef]
- OECD. OECD Measured Overweight (Including Obesity) Rates among Adults, by Sex, 2019 (or Nearest Year). In Health at a Glace 2021: OECD Indicators; OECD Publishing: Paris, France, 2021. [Google Scholar]
- Phelps, N.H.; Singleton, R.K.; Zhou, B.; Heap, R.A.; Mishra, A.; Bennett, J.E.; Paciorek, C.J.; Lhoste, V.P.; Carrillo-Larco, R.M.; Stevens, G.A.; et al. Worldwide Trends in Underweight and Obesity from 1990 to 2022: A Pooled Analysis of 3663 Population-Representative Studies with 222 Million Children, Adolescents, and Adults. Lancet 2024, 403, 1027–1050. [Google Scholar] [CrossRef]
- Subdepartamento de Estudios y Análisis de Datos JUNAEB. Informe Ejecutivo Resultados Mapa Nutricional 2024; Ministerio de Educación: Santiago, Chile, April 2025; Available online: https://www.junaeb.cl/wp-content/uploads/2025/04/INFORME-MN_2024-1.pdf (accessed on 16 October 2025).
- Zhang, X.; Liu, J.; Ni, Y.; Yi, C.; Fang, Y.; Ning, Q.; Shen, B.; Zhang, K.; Liu, Y.; Yang, L.; et al. Global Prevalence of Overweight and Obesity in Children and Adolescents: A Systematic Review and Meta-Analysis. JAMA Pediatr. 2024, 178, 800–813. [Google Scholar] [CrossRef]
- García-Hermoso, A.; López-Gil, J.F.; Izquierdo, M.; Ramírez-Vélez, R.; Ezzatvar, Y. Exercise and Insulin Resistance Markers in Children and Adolescents With Excess Weight: A Systematic Review and Network Meta-Analysis. JAMA Pediatr. 2023, 177, 1276–1284. [Google Scholar] [CrossRef]
- Beedie, C.; Mann, S.; Jimenez, A.; Kennedy, L.; Lane, A.M.; Domone, S.; Wilson, S.; Whyte, G. Death by Effectiveness: Exercise as Medicine Caught in the Efficacy Trap! Br. J. Sports Med. 2016, 50, 323–324. [Google Scholar] [CrossRef]
- IPLA International Physical Literacy Association. Available online: https://www.physical-literacy.org.uk/ (accessed on 8 August 2025).
- Cornish, K.; Fox, G.; Fyfe, T.; Koopmans, E.; Pousette, A.; Pelletier, C.A. Understanding Physical Literacy in the Context of Health: A Rapid Scoping Review. BMC Public Health 2020, 20, 1569. [Google Scholar] [CrossRef]
- Whitehead, M. Physical Literacy Across the World, 1st ed.; Routledge: London, UK, 2019; Volume 1, ISBN 9781138571556. [Google Scholar]
- Young, L.; O’Connor, J.; Alfrey, L. Physical Literacy: A Concept Analysis. Sport Educ. Soc. 2019, 25, 946–959. [Google Scholar] [CrossRef]
- Cairney, J.; Dudley, D.; Kwan, M.; Bulten, R.; Kriellaars, D. Physical Literacy, Physical Activity and Health: Toward an Evidence-Informed Conceptual Model. Sport Med. 2019, 49, 371–383. [Google Scholar] [CrossRef] [PubMed]
- van Sluijs, E.M.F.; Ekelund, U.; Crochemore-Silva, I.; Guthold, R.; Ha, A.; Lubans, D.; Oyeyemi, A.L.; Ding, D.; Katzmarzyk, P.T. Physical Activity Behaviours in Adolescence: Current Evidence and Opportunities for Intervention. Lancet 2021, 398, 429–442. [Google Scholar] [CrossRef] [PubMed]
- Krustrup, P.; Dvorak, J.; Bangsbo, J. Small-Sided Football in Schools and Leisure-Time Sport Clubs Improves Physical Fitness, Health Profile, Well-Being and Learning in Children. Br. J. Sports Med. 2016, 50, 1166–1167. [Google Scholar] [CrossRef]
- Zouhal, H.; Hammami, A.; Tijani, J.M.; Jayavel, A.; de Sousa, M.; Krustrup, P.; Sghaeir, Z.; Granacher, U.; Ben Abderrahman, A. Effects of Small-Sided Soccer Games on Physical Fitness, Physiological Responses, and Health Indices in Untrained Individuals and Clinical Populations: A Systematic Review. Sport Med. 2020, 50, 987–1007. [Google Scholar] [CrossRef]
- Krustrup, P.; Krustrup, B.R. Football Is Medicine: It Is Time for Patients to Play! Br. J. Sports Med. 2018, 52, 1412–1414. [Google Scholar] [CrossRef]
- Clemente, F.; Afonso, J.; Sarmento, H. Small-Sided Games: An Umbrella Review of Systematic Reviews and Meta-Analyses. PLoS ONE 2021, 16, e0247067. [Google Scholar] [CrossRef]
- Fernández-Espínola, C.; Robles, M.T.A.; Fuentes-Guerra, F.J.G. Small-Sided Games as a Methodological Resource for Team Sports Teaching: A Systematic Review. Int. J. Environ. Res. Public Health 2020, 17, 1884. [Google Scholar] [CrossRef]
- Vasconcellos, F.; Seabra, A.; Cunha, F.; Montenegro, R.; Penha, J.; Bouskela, E.; Nogueira Neto, J.; Collett-Solberg, P.; Farinatti, P. Health Markers in Obese Adolescents Improved by a 12-Week Recreational Soccer Program: A Randomised Controlled Trial. J. Sports Sci. 2016, 34, 564–575. [Google Scholar] [CrossRef]
- Cvetković, N.; Stojanović, E.; Stojiljković, N.; Nikolić, D.; Scanlan, A.T.; Milanović, Z. Exercise Training in Overweight and Obese Children: Recreational Football and High-Intensity Interval Training Provide Similar Benefits to Physical Fitness. Scand. J. Med. Sci. Sports 2018, 28, 18–32. [Google Scholar] [CrossRef]
- Gómez-Álvarez, N.; Boppre, G.; Hermosilla-Palma, F.; Reyes-Amigo, T.; Oliveira, J.; Fonseca, H. Effects of Small-Sided Soccer Games on Physical Fitness and Cardiometabolic Health Biomarkers in Untrained Children and Adolescents: A Systematic Review and Meta-Analysis. J. Clin. Med. 2024, 13, 5221. [Google Scholar] [CrossRef] [PubMed]
- Seabra, A.; Katzmarzyk, P.; Carvalho, M.J.; Seabra, A.; Coelho-E-Silva, M.; Abreu, S.; Vale, S.; Póvoas, S.; Nascimento, H.; Belo, L.; et al. Effects of 6-Month Soccer and Traditional Physical Activity Programmes on Body Composition, Cardiometabolic Risk Factors, Inflammatory, Oxidative Stress Markers and Cardiorespiratory Fitness in Obese Boys. J. Sports Sci. 2016, 34, 1822–1829. [Google Scholar] [CrossRef]
- Vasconcellos, F.; Cunha, F.; Gonet, D.; Farinatti, P. Does Recreational Soccer Change Metabolic Syndrome Status in Obese Adolescents? A Pilot Study. Res. Q. Exerc. Sport 2020, 92, 91–99. [Google Scholar] [CrossRef] [PubMed]
- Paul, D.J.; Gabbett, T.J.; Nassis, G.P. Agility in Team Sports: Testing, Training and Factors Affecting Performance. Sport Med. 2016, 46, 421–442. [Google Scholar] [CrossRef]
- Bujalance-Moreno, P.; Latorre-Román, P.Á.; García-Pinillos, F. A Systematic Review on Small-Sided Games in Football Players: Acute and Chronic Adaptations. J. Sports Sci. 2019, 37, 921–949. [Google Scholar] [CrossRef]
- Skala, F.; Zemková, E. Neuromuscular and Perceptual-Cognitive Response to 4v4 Small-Sided Game in Youth Soccer Players. Front. Physiol. 2023, 14, 1260096. [Google Scholar] [CrossRef]
- Gómez-Álvarez, N.; Igaimán-Saavedra, M.; Quintana-Herrera, S.; Zúñiga-Providel, J.; Hermosilla-Palma, F.; Oliveira, J.; Fonseca, H. Intensity Profile and Enjoyment of Small-Sided Soccer Games with Continuous and Fractionated Regimens in Untrained Adolescents. Sport Sci. Health 2025, 21, 777–786. [Google Scholar] [CrossRef]
- Toh, S.H.; Guelfi, K.J.; Wong, P.; Fournier, P.A. Energy Expenditure and Enjoyment of Small-Sided Soccer Games in Overweight Boys. Hum. Mov. Sci. 2011, 30, 636–647. [Google Scholar] [CrossRef] [PubMed]
- Fuller, C.W.; Orntoft, C.; Larsen, M.N.; Elbe, A.M.; Ottesen, L.; Junge, A.; Dvorak, J.; Krustrup, P. “FIFA 11 for Health” for Europe. 1: Effect on Health Knowledge and Well-Being of 10-to 12-Year-Old Danish School Children. Br. J. Sports Med. 2017, 51, 1483–1488. [Google Scholar] [CrossRef] [PubMed]
- Lubans, D.R.; Eather, N.; Smith, J.J.; Beets, M.W.; Harris, N.K. Scaling-Up Adolescent High-Intensity Interval Training Programs for Population Health. Exerc. Sport Sci. Rev. 2022, 50, 128–136. [Google Scholar] [CrossRef]
- Carl, J.; Barratt, J.; Wanner, P.; Töpfer, C.; Cairney, J.; Pfeifer, K. The Effectiveness of Physical Literacy Interventions: A Systematic Review with Meta-Analysis. Sport Med. 2022, 52, 2965–2999. [Google Scholar] [CrossRef]
- Fortnum, K.; Weber, M.D.; Dudley, D.; Tudella, E.; Kwan, M.; Richard, V.; Cairney, J. Physical Literacy, Physical Activity, and Health: A Citation Content Analysis and Narrative Review. Sport Med. Open 2025, 11, 44. [Google Scholar] [CrossRef] [PubMed]
- Whitehead, M. (Ed.) Physical Literacy Throughout the Lifecourse, 1st ed.; Routledge: London, UK, 2010; ISBN 9781134010684. [Google Scholar]
- Fernández, J.R.; Redden, D.T.; Pietrobelli, A.; Allison, D.B. Waist Circumference Percentiles in Nationally Representative Samples of African-American, European-American, and Mexican-American Children and Adolescents. J. Pediatr. 2004, 145, 439–444. [Google Scholar] [CrossRef]
- Browning, L.M.; Hsieh, S.D.; Ashwell, M. A Systematic Review of Waist-to-Height Ratio as a Screening Tool for the Prediction of Cardiovascular Disease and Diabetes: 05 Could Be a Suitable Global Boundary Value. Nutr. Res. Rev. 2010, 23, 247–269. [Google Scholar] [CrossRef]
- World Medical Association. World Medical Association Declaration of Helsinki: Ethical Principles for Medical Research Involving Human Participants. JAMA 2025, 333, 30–31. [Google Scholar]
- Sport for Life Society Canada’s Physical Literacy Consensus Statement—Physical Literacy. Available online: https://physicalliteracy.ca/portfolio/canadas-physical-literacy-consensus-statement/ (accessed on 25 August 2025).
- Longmuir, P.E.; Gunnell, K.E.; Barnes, J.D.; Belanger, K.; Leduc, G.; Woodruff, S.J.; Tremblay, M.S. Canadian Assessment of Physical Literacy Second Edition: A Streamlined Assessment of the Capacity for Physical Activity among Children 8 to 12 Years of Age. BMC Public Health 2018, 18, 1047. [Google Scholar] [CrossRef] [PubMed]
- Shearer, C.; Goss, H.R.; Boddy, L.M.; Knowles, Z.R.; Durden-Myers, E.J.; Foweather, L. Assessments Related to the Physical, Affective and Cognitive Domains of Physical Literacy Amongst Children Aged 7–11.9 Years: A Systematic Review. Sport Med. Open 2021, 7, 37. [Google Scholar] [CrossRef]
- ATS Committee on Proficiency Standards for Clinical Pulmonary Function Laboratories. ATS Statement: Guidelines for the Six-Minute Walk Test. Am. J. Respir. Crit. Care Med. 2002, 166, 111–117. [Google Scholar] [CrossRef]
- Lobos-Fernández, L.; Leyton-Dinamarca, B.; Kain-Bercovich, J.; Vio, F. Evaluación de Una Intervención Educativa Para La Prevención de La Obesidad Infantil En Escuelas Básicas de Chile. Nutr. Hosp. 2013, 28, 1156–1164. [Google Scholar] [CrossRef] [PubMed]
- Jalili, M.; Nazem, F.; Sazvar, A.; Ranjbar, K. Prediction of Maximal Oxygen Uptake by Six-Minute Walk Test and Body Mass Index in Healthy Boys. J. Pediatr. 2018, 200, 155–159. [Google Scholar] [CrossRef]
- Chandler, J.L.; Brazendale, K.; Beets, M.W.; Mealing, B.A. Classification of Physical Activity Intensities Using a Wrist-worn Accelerometer in 8–12-year-old Children. Pediatr. Obes. 2016, 11, 120–127. [Google Scholar] [CrossRef]
- Nystrom, C.D.; Pomeroy, J.; Henriksson, P.; Forsum, E.; Ortega, F.B.; Maddison, R.; Migueles, J.H.; Lof, M. Evaluation of the Wrist-Worn ActiGraph WGT3x-BT for Estimating Activity Energy Expenditure in Preschool Children. Eur. J. Clin. Nutr. 2017, 71, 1212–1217. [Google Scholar] [CrossRef] [PubMed]
- Migueles, J.H.; Cadenas-Sanchez, C.; Ekelund, U.; Delisle Nyström, C.; Mora-Gonzalez, J.; Löf, M.; Labayen, I.; Ruiz, J.R.; Ortega, F.B. Accelerometer Data Collection and Processing Criteria to Assess Physical Activity and Other Outcomes: A Systematic Review and Practical Considerations. Sport Med. 2017, 47, 1821–1845. [Google Scholar] [CrossRef]
- Ngueleu, A.-M.; Barthod, C.; Best, K.L.; Routhier, F.; Otis, M.; Batcho, C.S. Criterion Validity of ActiGraph Monitoring Devices for Step Counting and Distance Measurement in Adults and Older Adults: A Systematic Review. J. Neuroeng. Rehabil. 2022, 19, 112. [Google Scholar] [CrossRef]
- Trost, S.; McIver, K.; Pate, R. Conducting Accelerometer-Based Activity Assessments in Field-Based Research. Med. Sci. Sport Exerc. 2005, 37, S531–S543. [Google Scholar] [CrossRef]
- Ruiz, J.R.; Castro-Piñero, J.; España-Romero, V.; Artero, E.G.; Ortega, F.B.; Cuenca, M.M.; Jimenez-Pavón, D.; Chillón, P.; Girela-Rejón, M.J.; Mora, J.; et al. Field-Based Fitness Assessment in Young People: The ALPHA Health-Related Fitness Test Battery for Children and Adolescents. Br. J. Sports Med. 2011, 45, 518–524. [Google Scholar] [CrossRef]
- Straight, C.; Brady, A.; Schmidt, M.; Evans, E. Comparison of Laboratory-and Field-Based Estimates of Muscle Quality for Predicting Physical Function in Older Women. J. Aging Res. Clin. Pr. 2013, 2, 276–279. [Google Scholar]
- Barbat-Artigas, S.; Rolland, Y.; Zamboni, M.; Aubertin-Leheudre, M. How to Assess Functional Status: A New Muscle Quality Index. J. Nutr. Health Aging 2012, 16, 67–77. [Google Scholar] [CrossRef]
- Pacheco-Herrera, J.D. Índice General de Fuerza y Adiposidad Como Medida de La Condición Física Relacionada Con La Salud En Niños y Adolescentes de Bogotá, Colombia: Estudio FUPRECOL. Nutr. Hosp. 2016, 33, 556–564. [Google Scholar] [CrossRef]
- Pastor-Cisneros, R.; Carlos-Vivas, J.; Adsuar, J.C.; Barrios-Fernández, S.; Rojo-Ramos, J.; Vega-Muñoz, A.; Contreras-Barraza, N.; Mendoza-Muñoz, M. Spanish Translation and Cultural Adaptation of the Canadian Assessment of Physical Literacy-2 (CAPL-2) Questionnaires. Int. J. Environ. Res. Public Health 2022, 19, 8850. [Google Scholar] [CrossRef]
- Motl, R.W.; Dishman, R.K.; Saunders, R.; Dowda, M.; Felton, G.; Pate, R.R. Measuring Enjoyment of Physical Activity in Adolescent Girls. Am. J. Prev. Med. 2001, 21, 110–117. [Google Scholar] [CrossRef] [PubMed]
- Moreno, J.; González-Cutre, D.; Martínez, C.; Alonso, N.; López, M. Propiedades Psicométricas de La Physical Activity Enjoyment Scale (PACES) En El Contexto Español. Stud. Psychol. Estud. Psicol. 2008, 29, 173–180. [Google Scholar] [CrossRef]
- Pavez-Adasme, G.; Chambilla, R.; Grez, C.; Cárcamo-Oyarzún, J.; Poblete-Valderrama, F.; Párraga-Montilla, J.; Gómez-Álvarez, N. Physical Domain of Physical Literacy and Its Relationship with Enjoyment in Physical Education Classes of 5th and 6th Grade Students. Retos 2024, 51, 1478–1485. [Google Scholar] [CrossRef]
- Gómez-Álvarez, N.; Costa Luengo, H.; Alarcón Lamilla, L.; Barraza Álvarez, K.; Salinas, V.E.; Olate-Pasten, Y.; Godoy-Tapia, C.; Pavez-Adasme, G.; Hermosilla-Palma, F. Influence of Physical Fitness, Anthropometric Profile, and Biological Maturation on Technical Performance and Enjoyment of Untrained Children Who Participate in Continuous and Fractional Small-Sided Games. Children 2022, 9, 1730. [Google Scholar] [CrossRef]
- MINEDUC. Bases Curriculares Primero a Sexto Básico; Unidad de Currículum y Evaluación, Ministerio de Educa-ción: Santiago, Chile, 2018; ISBN 978-956-292-743-7. Available online: https://www.curriculumnacional.cl/recursos/bases-curriculares-1-6-basico (accessed on 18 August 2025).
- De Onis, M.; Onyango, A.; Borghi, E.; Siyam, A.; Nishida, C.; Siekmann, J. Development of a WHO Growth Reference for School-Aged Children and Adolescents. Bull. World Health Organ. 2007, 85, 660. [Google Scholar] [CrossRef] [PubMed]
- Khanna, D.; Peltzer, C.; Kahar, P.; Parmar, M.S. Body Mass Index (BMI): A Screening Tool Analysis. Cureus 2022, 14, e22119. [Google Scholar] [CrossRef]
- Gurka, M.J.; Ice, C.L.; Sun, S.S.; DeBoer, M.D. A Confirmatory Factor Analysis of the Metabolic Syndrome in Adolescents: An Examination of Sex and Racial/Ethnic Differences. Cardiovasc. Diabetol. 2012, 11, 128. [Google Scholar] [CrossRef]
- Burrows, R.; Correa-Burrows, P.; Rogan, J.; Cheng, E.; Blanco, E.; Gahagan, S. Long-Term vs. Recent-Onset Obesity: Their Contribution to Cardiometabolic Risk in Adolescence. Pediatr. Res. 2019, 86, 776–782. [Google Scholar] [CrossRef]
- Correa-Burrows, P.; Matamoros, M.; de Toro, V.; Zepeda, D.; Arriaza, M.; Burrows, R. A Single-Point Insulin Sensitivity Estimator (SPISE) of 5.4 Is a Good Predictor of Both Metabolic Syndrome and Insulin Resistance in Adolescents with Obesity. Front. Endocrinol. 2023, 14, 1078949. [Google Scholar] [CrossRef]
- Paulmichl, K.; Hatunic, M.; Højlund, K.; Jotic, A.; Krebs, M.; Mitrakou, A.; Porcellati, F.; Tura, A.; Bergsten, P.; Forslund, A.; et al. Modification and Validation of the Triglyceride-to–HDL Cholesterol Ratio as a Surrogate of Insulin Sensitivity in White Juveniles and Adults without Diabetes Mellitus: The Single Point Insulin Sensitivity Estimator (SPISE). Clin. Chem. 2016, 62, 1211–1219. [Google Scholar] [CrossRef]
- Mirwald, R.; Baxter-Jones, A.; Bailey, D.; Beunen, G. An Assessment of Maturity from Anthropometric Measurements. Med. Sci. Sport Exerc. 2002, 34, 689–694. [Google Scholar]
- Coates, A.M.; Joyner, M.J.; Little, J.P.; Jones, A.M.; Gibala, M.J. A Perspective on High-Intensity Interval Training for Performance and Health. Sports Med. 2023, 53, 85–96. [Google Scholar] [CrossRef]
- Raghuveer, G.; Hartz, J.; Lubans, D.R.; Takken, T.; Wiltz, J.L.; Mietus-Snyder, M.; Perak, A.M.; Baker-Smith, C.; Pietris, N.; Edwards, N.M. Cardiorespiratory Fitness in Youth: An Important Marker of Health: A Scientific Statement from the American Heart Association. Circulation 2020, 142, E101–E118. [Google Scholar] [CrossRef]
- Póvoas, S.; Randers, M.B.; Krustrup, P.; Larsen, M.N.; Pereira, R.; Castagna, C. Heart Rate and Perceived Experience Differ Markedly for Children in Same- versus Mixed-Gender Soccer Played as Small—and Large-Sided Games. Biomed. Res. Int. 2018, 2018, 7804642. [Google Scholar] [CrossRef]
- Ngo, J.K.; Tsui, M.-C.; Smith, A.W.; Carling, C.; Chan, G.-S.; Wong, D. The Effects of Man-Marking on Work Intensity in Small-Sided Soccer Games. J. Sport Science Med. 2012, 11, 109–114. [Google Scholar]
- Sahli, H.; Selmi, O.; Zghibi, M.; Hill, L.; Rosemann, T.; Knechtle, B.; Clemente, F. Effect of the Verbal Encouragement on Psychophysiological and Affective Responses during Small-Sided Games. Int. J. Environ. Res. Public Health 2020, 17, 8884. [Google Scholar] [CrossRef]
- Wang, J.; Cao, L.; Xie, P.; Wang, J. Recreational Football Training Improved Health-Related Physical Fitness in 9- to 10-Year-Old Boys. J. Sports Med. Phys. Fitness 2018, 58, 326–331. [Google Scholar] [CrossRef] [PubMed]
- Sink, K.M.; Espeland, M.A.; Castro, C.M.; Church, T.; Cohen, R.; Dodson, J.A.; Guralnik, J.; Hendrie, H.C.; Jennings, J.; Katula, J.; et al. Effect of a 24-Month Physical Activity Intervention vs Health Education on Cognitive Outcomes in Sedentary Older Adults. JAMA 2015, 314, 781. [Google Scholar] [CrossRef]
- Migueles, J.H.; Cadenas-Sanchez, C.; Lubans, D.R.; Henriksson, P.; Torres-Lopez, L.V.; Rodriguez-Ayllon, M.; Plaza-Florido, A.; Gil-Cosano, J.J.; Henriksson, H.; Escolano-Margarit, M.V.; et al. Effects of an Exercise Program on Cardiometabolic and Mental Health in Children With Overweight or Obesity: A Secondary Analysis of a Randomized Clinical Trial. JAMA Netw. Open 2023, 6, e2324839. [Google Scholar] [CrossRef]
- Hopkins, W.; Marshall, S.; Batterham, A.; Hanin, J. Progressive Statistics for Studies in Sports Medicine and Exercise Science. Med. Sci. Sport Exerc. 2009, 41, 3–13. [Google Scholar] [CrossRef]
- Nezondet, C.; Gandrieau, J.; Bourrelier, J.; Nguyen, P.; Zunquin, G. The Effectiveness of a Physical Literacy-Based Intervention for Increasing Physical Activity Levels and Improving Health Indicators in Overweight and Obese Adolescents (CAPACITES 64). Children 2023, 10, 956. [Google Scholar] [CrossRef]
- Romero-Martínez, J.; Menescardi, C.; Ortega-Benavent, N.; Montalt-García, S.; Barnett, L.M.; García-Massó, X.; Estevan, I. Effects of a Classroom-Based Intervention to Promote Physical Literacy in Children: The Randomized and Controlled ALPHYL Study. J. Sci. Med. Sport 2025, 28, 833–839. [Google Scholar] [CrossRef] [PubMed]
- Guijo, J.A.; do Prado, W.L.; de Araújo, R.C.; dos Santos, E.E.P.; Malik, N.; Lofrano-Prado, M.C.; Botero, J.P. Adherence and Dropout in Exercise-Based Interventions in Childhood Obesity: A Systematic Review of Randomized Trials. Obes. Rev. 2024, 25, e13721. [Google Scholar] [CrossRef]
- Clemente, F.; Moran, J.; Ramirez-Campillo, R.; Oliveira, R.; Brito, J.; Silva, A.F.; Badicu, G.; Praça, G.; Sarmento, H. Recreational Soccer Training Effects on Pediatric Populations Physical Fitness and Health: A Systematic Review. Children 2022, 9, 1776. [Google Scholar] [CrossRef] [PubMed]
- Telford, R.M.; Olive, L.S.; Keegan, R.J.; Keegan, S.; Barnett, L.M.; Telford, R.D. Student Outcomes of the Physical Education and Physical Literacy (PEPL) Approach: A Pragmatic Cluster Randomised Controlled Trial of a Multicomponent Intervention to Improve Physical Literacy in Primary Schools. Phys. Educ. Sport Pedagog. 2020, 26, 97–110. [Google Scholar] [CrossRef]
- Faude, O.; Kerper, O.; Multhaupt, M.; Winter, C.; Beziel, K.; Junge, A.; Meyer, T. Football to Tackle Overweight in Children. Scand. J. Med. Sci. Sports 2010, 20 (Suppl. 1), 103–110. [Google Scholar] [CrossRef]
- Shulman, E.P.; Smith, A.R.; Silva, K.; Icenogle, G.; Duell, N.; Chein, J.; Steinberg, L. The Dual Systems Model: Review, Reappraisal, and Reaffirmation. Dev. Cogn. Neurosci. 2016, 17, 103–117. [Google Scholar] [CrossRef]
- Deci, E.L.; Ryan, R.M. Intrinsic Motivation and Self-Determination in Human Behavior, 1st ed.; Springer: Boston, MA, USA, 1985; ISBN 978-1-4899-2273-1. [Google Scholar]
- Muñoz-Urtubia, N.; Vega-Muñoz, A.; Salazar-Sepúlveda, G.; Contreras-Barraza, N.; Mendoza-Muñoz, M.; Ureta-Paredes, W.; Carabantes-Silva, R. Relationship Between Body Composition and Physical Literacy in Chilean Children (10 to 16 Years): An Assessment Using CAPL-2. J. Clin. Med. 2024, 13, 7027. [Google Scholar] [CrossRef]
- Cardel, M.I.; Atkinson, M.A.; Taveras, E.M.; Holm, J.-C.; Kelly, A.S. Obesity Treatment Among Adolescents: A Review of Current Evidence and Future Directions. JAMA Pediatr. 2020, 174, 609–617. [Google Scholar] [CrossRef] [PubMed]
- Luppino, G.; Wasniewska, M.; Casto, C.; Ferraloro, C.; Li Pomi, A.; Pepe, G.; Morabito, L.A.; Alibrandi, A.; Corica, D.; Aversa, T. Treating Children and Adolescents with Obesity: Predictors of Early Dropout in Pediatric Weight-Management Programs. Children 2024, 11, 205. [Google Scholar] [CrossRef] [PubMed]
- Dee, T.S. Higher Chronic Absenteeism Threatens Academic Recovery from the COVID-19 Pandemic. Proc. Natl. Acad. Sci. USA 2024, 121, e2312249121. [Google Scholar] [CrossRef]
- Arraño, A.; García, G.; Quiroz, J.P.; Toro, V. Documento de Trabajo 32: Reporte Nacional de Asistencia de Marzo a Septiembre de Los Años 2018, 2022 y 2023; Chile. Ministerio de Educación, Centro de Estudios MINEDUC: Santiago, Chile, 2023. [Google Scholar]
- Shero, J.A.; Lindholm, M.E.; Sandri, M.; Stanford, K.I. Skeletal Muscle as a Mediator of Interorgan Crosstalk During Exercise: Implications for Aging and Obesity. Circ. Res. 2025, 136, 1407–1432. [Google Scholar] [CrossRef]
- Domínguez-Barbosa, A.; Reyes-Romo, D.; Salvador-Quezada, M.; Becerra-Morales, S.N.; Lopez-Gonzalez, D.; Serralde-Zúñiga, A.E.; Guevara-Cruz, M.; Medina-Vera, I. Associations Between Body Composition Measurements and Muscle Ultrasound Parameters Amongst Children and Adolescents with Overweight and Obesity. Nutrients 2025, 17, 2659. [Google Scholar] [CrossRef]
- Letukienė, A.; Hendrixson, V.; Ginevičienė, V. Current Knowledge and Scientific Trends in Myokines and Exercise Research in the Context of Obesity. Front. Med. 2024, 11, 1421962. [Google Scholar] [CrossRef]
- Iglesias, P. Muscle in Endocrinology: From Skeletal Muscle Hormone Regulation to Myokine Secretion and Its Implications in Endocrine–Metabolic Diseases. J. Clin. Med. 2025, 14, 4490. [Google Scholar] [CrossRef] [PubMed]
- Stodden, D.F.; Langendorfer, S.J.; Goodway, J.D.; Roberton, M.A.; Rudisill, M.E.; Garcia, C.; Garcia, L.E. A Developmental Perspective on the Role of Motor Skill Competence in Physical Activity: An Emergent Relationship. Quest 2008, 60, 290–306. [Google Scholar] [CrossRef]
- Montoye, A.H.K.; Pivarnik, J.M.; Mudd, L.M.; Biswas, S.; Pfeiffer, K.A. Validation and Comparison of Accelerometers Worn on the Hip, Thigh, and Wrists for Measuring Physical Activity and Sedentary Behavior. AIMS Public Health 2016, 3, 298–312. [Google Scholar] [CrossRef] [PubMed]
- Cain, K.L.; Sallis, J.F.; Conway, T.L.; Van Dyck, D.; Calhoon, L. Using Accelerometers in Youth Physical Activity Studies: A Review of Methods. J. Phys. Act. Health 2013, 10, 437–450. [Google Scholar] [CrossRef]
- Currie, C.; Zanotti, C.; Morgan, A.; Currie, D.; de Looze, M.; Roberts, C.; Samdal, O.; Smith, O.; Barnekow, V. Social Determinants of Health and Well-Being Among Young People. Health Behaviour in School-Aged Children (HBSC) Study: International Report from the 2009/2010 Survey; WHO Regional Office for Europe: Copenhagen, Denmark, 2012. [Google Scholar]
- Belton, S.; McCarren, A.; McGrane, B.; Powell, D.; Issartel, J. The Youth-Physical Activity Towards Health (Y-PATH) Intervention: Results of a 24 Month Cluster Randomised Controlled Trial. PLoS ONE 2019, 14, e0221684. [Google Scholar] [CrossRef]
- Kwan, M.Y.W.; Li, Y.-C.; Cairney, J. Theory-Based Correlates of Physical Activity Among Children With Developmental Coordination Disorder: A Scoping Review. Curr. Dev. Disord. Reports 2022, 9, 105–109. [Google Scholar] [CrossRef]
- Liu, Y.; Chen, S. Characterizing Middle School Students’ Physical Literacy Development: A Self-Determination Theory-Based Pilot Intervention in Physical Education. Front. Sport Act. Living 2022, 3, 809447. [Google Scholar] [CrossRef]
- Sum, R.K.W.; Ha, A.S.C.; Cheng, C.F.; Chung, P.K.; Yiu, K.T.C.; Kuo, C.C.; Yu, C.K.; Wang, F.J. Construction and Validation of a Perceived Physical Literacy Instrument for Physical Education Teachers. PLoS ONE 2016, 11, e0155610. [Google Scholar] [CrossRef]
- Sport Australia SportAus. The Australian Physical Literacy Framework; Sport Australia: Canberra, Australia, 2019; ISBN 978-1-74013-127-8. [Google Scholar]




| All (N = 43) | CG (n = 14) | SSG (n = 15) | TSG (n = 14) | ||
|---|---|---|---|---|---|
| Mean (SD) | Mean (SD) | Mean (SD) | Mean (SD) | p-Value | |
| Sociodemographic variables | |||||
| Age (year) | 13.16 (1.40) | 13.07 (1.47) | 12.97 (1.31) | 13.44 (1.45) | 0.605 |
| Weight (kg) | 76.41 (15.36) | 75.15 (14.46) | 78.57 (14.6) | 75.52 (17.52) | 0.768 |
| Height (cm) | 162.62 (10.04) | 162.04 (8.68) | 163.54 (11.20) | 162.28 (10.63) | 0.906 |
| PHV | −1.04 (1.29) | −1.09 (1.19) | −1.04 (1.27) | −0.99 (1.48) | 0.979 |
| BMI (kg/m2) | 28.61 (3.45) | 28.41 (3.48) | 29.1 (2.55) | 28.30 (4.25) | 0.722 |
| Cardiometabolic variables | |||||
| SBP (mmHg) | 111.59 (11.59) | 108.82 (9.48) | 113.82 (13.75) | 112.12 (11.27) | 0.428 |
| DBP (mmHg) | 66.98 (6.65) | 65.97 (6.08) | 66.44 (7.07) | 68.53 (6.88) | 0.506 |
| FG (mg/dL) | 89.3 (4.71) | 89.49 (5.11) | 90.46 (4.52) | 87.98 (4.47) | 0.290 |
| HDL-C (mg/dL) | 46.14 (10.21) | 48.2 (12.37) | 44.29 (8.04) | 46.18 (10.31) | 0.572 |
| TG (mg/dL) | 109.37 (48.44) | 98.73 (41.48) | 106.94 (41.56) | 121.18 (59.55) | 0.475 |
| SPISE (a.u) | 5.57 (1.22) | 5.66 (1.28) | 5.37 (0.88) | 5.68 (1.49) | 0.664 |
| Physical dimensión | |||||
| MQI (a.u) | 2.14 (0.65) | 2.12 (0.54) | 2.11 (0.62) | 2.19 (0.79) | 0.944 |
| Horizontal jump (cm) | 130.60 (24.84) | 131.43 (23.84) | 132.41 (23.02) | 127.94 (28.69) | 0.885 |
| GSI (a.u) | 0.03 (0.92) | 0.10 (0.93) | 0.00 (0.93) | 0.01 (0.96) | 0.951 |
| 6MWT (m) | 529.67 (123.5) | 566.33 (50.57) | 555.91 (56.75) | 546.72 (42.85) | 0.490 |
| VO2max (mL/kg/min) | 24.05 (6.22) | 25.88 (4.41) | 24.75 (3.9) | 24.79 (4.81) | 0.698 |
| MVPA/DAY (min) | 14.8 (11.23) | 9.87 (9.82) | 17.11 (12.67) | 16.11 (10.23) | 0.179 |
| Psychological dimension | |||||
| Enjoyment (a.u) | 65.29 (10.87) | 67.14 (7.63) | 64.38 (7.07) | 64.53 (16.08) | 0.589 |
| Adequacy and Predilection (a.u) | 12.27 (2.8) | 12.78 (2.25) | 11.19 (3.4) | 12.84 (2.44) | 0.279 |
| Motivation (a.u) | 11.41 (2.31) | 10.75 (2.34) | 12.13 (1.88) | 11.31 (2.59) | 0.228 |
| Cognitive dimension | |||||
| Knowledge (a.u) | 5.89 (2.18) | 6 (2.32) | 5.13 (2.03) | 6.5 (2.1) | 0.203 |
Disclaimer/Publisher’s Note: The statements, opinions and data contained in all publications are solely those of the individual author(s) and contributor(s) and not of MDPI and/or the editor(s). MDPI and/or the editor(s) disclaim responsibility for any injury to people or property resulting from any ideas, methods, instructions or products referred to in the content. |
© 2025 by the authors. Licensee MDPI, Basel, Switzerland. This article is an open access article distributed under the terms and conditions of the Creative Commons Attribution (CC BY) license (https://creativecommons.org/licenses/by/4.0/).
Share and Cite
Pavez-Adasme, G.; Párraga-Montilla, J.; Martínez-Salazar, C.; Castillo-Retamal, M.; Latorre-Román, P.; Gómez-Álvarez, N. Can Recreational Soccer Improve Physical Literacy Dimensions Among Adolescents with High Cardiometabolic Risk? Sports 2025, 13, 423. https://doi.org/10.3390/sports13120423
Pavez-Adasme G, Párraga-Montilla J, Martínez-Salazar C, Castillo-Retamal M, Latorre-Román P, Gómez-Álvarez N. Can Recreational Soccer Improve Physical Literacy Dimensions Among Adolescents with High Cardiometabolic Risk? Sports. 2025; 13(12):423. https://doi.org/10.3390/sports13120423
Chicago/Turabian StylePavez-Adasme, Gustavo, Juan Párraga-Montilla, Cristián Martínez-Salazar, Marcelo Castillo-Retamal, Pedro Latorre-Román, and Nicolás Gómez-Álvarez. 2025. "Can Recreational Soccer Improve Physical Literacy Dimensions Among Adolescents with High Cardiometabolic Risk?" Sports 13, no. 12: 423. https://doi.org/10.3390/sports13120423
APA StylePavez-Adasme, G., Párraga-Montilla, J., Martínez-Salazar, C., Castillo-Retamal, M., Latorre-Román, P., & Gómez-Álvarez, N. (2025). Can Recreational Soccer Improve Physical Literacy Dimensions Among Adolescents with High Cardiometabolic Risk? Sports, 13(12), 423. https://doi.org/10.3390/sports13120423

