Sign in to use this feature.

Years

Between: -

Subjects

remove_circle_outline
remove_circle_outline
remove_circle_outline
remove_circle_outline
remove_circle_outline
remove_circle_outline
remove_circle_outline
remove_circle_outline
remove_circle_outline

Journals

remove_circle_outline
remove_circle_outline
remove_circle_outline
remove_circle_outline
remove_circle_outline
remove_circle_outline
remove_circle_outline
remove_circle_outline
remove_circle_outline
remove_circle_outline
remove_circle_outline
remove_circle_outline
remove_circle_outline
remove_circle_outline
remove_circle_outline
remove_circle_outline
remove_circle_outline
remove_circle_outline
remove_circle_outline
remove_circle_outline
remove_circle_outline
remove_circle_outline
remove_circle_outline
remove_circle_outline
remove_circle_outline
remove_circle_outline
remove_circle_outline
remove_circle_outline
remove_circle_outline

Article Types

Countries / Regions

remove_circle_outline
remove_circle_outline
remove_circle_outline
remove_circle_outline
remove_circle_outline
remove_circle_outline
remove_circle_outline
remove_circle_outline
remove_circle_outline

Search Results (6,351)

Search Parameters:
Keywords = overweight

Order results
Result details
Results per page
Select all
Export citation of selected articles as:
17 pages, 654 KB  
Systematic Review
A Scoping Review to Identify Interventions That Support Healthier Food Choices for Pupils in Specialist Schools
by Suzanne Spence, Louise Tanner, João P. A. Greca, Lindsay Pennington, Jayne V. Woodside and Morag J. Andrew
Nutrients 2026, 18(7), 1037; https://doi.org/10.3390/nu18071037 - 25 Mar 2026
Abstract
Background/Objectives: Children and young people (CYP) with a learning disability are at higher risk of living with overweight and obesity and may consume fewer fruits and vegetables compared to the general paediatric population. They are more likely to experience eating and drinking difficulties, [...] Read more.
Background/Objectives: Children and young people (CYP) with a learning disability are at higher risk of living with overweight and obesity and may consume fewer fruits and vegetables compared to the general paediatric population. They are more likely to experience eating and drinking difficulties, restrictive eating, and mealtime behavioural challenges. The school environment is considered an ideal setting to improve CYP’s dietary intakes. The primary objective was to identify existing interventions to support healthier food choices for CYP attending specialist schools. Secondary objectives considered intervention development, fidelity and outcomes. Methods: A scoping review and narrative synthesis. Eligible studies were identified from bibliographic databases (e.g., Medline, Embase, PsychInfo) and grey literature (e.g., Clinicaltrials.gov, the Cochrane Library). A two-stage screening process was used. Intervention components were mapped according to the TIDieR-PHP and AACTT frameworks. Results: Seven studies, reported in ten records, were included. Interventions included modifications to the dining environment, sensory exploration, health promotion and social reinforcement. Interventions were implemented across the school day: lunchtime (n = 2), breaktime (n = 3) and other times (n = 2). Studies mainly focused on adolescents. There was some mixed evidence of increased consumption of fruits and vegetables, whole grains and water. Due to small sample sizes and heterogeneity, definitive conclusions are limited. A key finding is the lack of interventions to improve CYP’s food choices in specialist schools. Conclusions: This review highlights a crucial need for the development of multi-component interventions co-produced with stakeholders to promote healthy food choices and improve the dietary intakes of CYP attending specialist schools. Full article
(This article belongs to the Section Nutrition and Public Health)
Show Figures

Figure 1

24 pages, 1043 KB  
Article
Rationale, Design, and Participant Baseline Characteristics of a Parallel Randomized Trial of the Effect of Replacing SSBs with Cow’s Milk Versus Soymilk on Intrahepatocellular Lipid and Other Cardiometabolic Risk Factors in Adults with Obesity Who Consume Sugar-Sweetened Beverages: The Soy Treatment Evaluation for Metabolic health (STEM) Trial
by Madeline N. Erlich, Diana Ghidanac, Sonia Blanco Mejia, Sabrina Ayoub-Charette, Claudia Vittes Combe, Tauseef A. Khan, Devina Ramdath, Heather Crewson, Amanda Beck, Constança Silva, D. Dan Ramdath, Adam H. Metherel, Lawrence A. Leiter, Richard P. Bazinet, Cyril W. C. Kendall, David J. A. Jenkins, Laura Chiavaroli and John L. Sievenpiper
Nutrients 2026, 18(7), 1026; https://doi.org/10.3390/nu18071026 - 24 Mar 2026
Abstract
Background/Objectives: Liver fat represents an early metabolic lesion in the development of diabetes and its cardiometabolic complications. Diets high in free sugars, particularly from sugar-sweetened beverages (SSBs), are associated with abdominal obesity and increased cardiometabolic risk, prompting global guidelines to limit SSBs [...] Read more.
Background/Objectives: Liver fat represents an early metabolic lesion in the development of diabetes and its cardiometabolic complications. Diets high in free sugars, particularly from sugar-sweetened beverages (SSBs), are associated with abdominal obesity and increased cardiometabolic risk, prompting global guidelines to limit SSBs as a major public health strategy. Low-fat cow’s milk is promoted as the preferred caloric replacement strategy for SSBs due to its high nutritional value and cardiometabolic advantages. Fortified soymilk is a plant-based alternative with approved health claims for cholesterol and coronary heart disease risk reduction that offers an equivalent nutritional value to cow’s milk. However, given concerns about its classification as an ultra-processed food (UPF), it is unclear whether soymilk offers comparable metabolic health benefits to milk as part of clinical and public health strategies to reduce SSB intake. The Soy Treatment Evaluation for Metabolic (STEM) health trial seeks to evaluate the impact of replacing SSBs with either 2% soymilk or 2% cow’s milk on liver fat and other cardiometabolic risk factors in habitual adult consumers of SSBs with obesity. Methods: The STEM trial is a 24-week, pragmatic, 3-arm, parallel, randomized trial. We recruited adults with obesity (high BMI plus high waist circumference based on ethnic specific cut-offs) consuming ≥1 SSB/day. Participants were randomized to one of three groups based on their usual SSB intake at baseline (servings/day): continued SSB (355 mL can) intake; replacement with fortified, sweetened 2% soymilk (250 mL); or replacement with 2% cow’s milk (250 mL). The primary outcome is the change in intrahepatocellular lipid (IHCL) measured by 1H-MRS at 24 weeks. Hierarchical testing will be done to reduce the familywise error rate. The superiority of cow’s milk to SSBs will be assessed first to establish assay sensitivity. If superiority is established, then the non-inferiority of soymilk to cow’s milk will be assessed using a pre-specified non-inferiority margin of 1.5% IHCL units (assessed by difference of means using a 90% confidence interval [CI]). Analyses will be conducted according to the intention-to-treat (ITT) principle using inverse probability weighting (IPW) for superiority testing and per-protocol analyses for non-inferiority testing, using ANCOVA adjusted for age, sex, metabolic dysfunction-associated steatotic liver disease (MASLD) status, medication use, intervention dose, and baseline levels. We hypothesize that soymilk will be non-inferior to cow’s milk (Clinicaltrials.gov NCT05191160). Results: Recruitment began in November 2021. A total of 3050 individuals were screened. We randomized 186 participants (62 per group) between 19 April 2022 and 16 April 2024. Participants are 57% male; with a mean [SD] age of 39.9 [11.8] years; BMI of 34.6 [6.1] kg/m2, waist circumference of 112.6 [13.8] cm; IHCL of 10.0 [8.2] % with 64.1% meeting the criteria for MASLD; and SSBs intake of 2.3 [1.3] servings/day. Conclusions: Baseline characteristics were balanced across the study arms, with participants representing adults with a high-risk metabolic phenotype, and 64.1% meeting the criteria for MASLD. Findings will contribute to evidence on the cardiometabolic benefits of soymilk, informing clinical practice guidelines and public health policy. Full article
(This article belongs to the Special Issue Dietary Patterns, Lipid Metabolism and Fatty Liver Disease)
Show Figures

Figure 1

17 pages, 524 KB  
Article
Weight Perception and Lifestyle Awareness in Children and Adolescents: Insights from a Cross-Sectional Study
by Cinzia Franchini, Elena Bertolotti, Beatrice Biasini, Chiara De Panfilis, Susanna Esposito, Alice Rosi and Francesca Scazzina
Nutrients 2026, 18(7), 1017; https://doi.org/10.3390/nu18071017 - 24 Mar 2026
Abstract
Background: Misperception of body weight has been found to negatively impact both diet and physical activity levels, particularly in youth with overweight and obesity. Objectives: This study assessed consistency between actual and perceived weight status and lifestyle factors in a sample [...] Read more.
Background: Misperception of body weight has been found to negatively impact both diet and physical activity levels, particularly in youth with overweight and obesity. Objectives: This study assessed consistency between actual and perceived weight status and lifestyle factors in a sample of 455 children and adolescents (55% males, 8–13 years) attending a summer camp in Northern Italy. Methods: Weight status was defined applying Body Mass Index (BMI) cut-offs. Adherence to the Mediterranean Diet (MD), physical activity level, sleep duration, and sleep quality were assessed through validated questionnaires. Self-perception was evaluated through 5-point Likert scales, with graphical representations. Results: Comparison between self-perceived and assessed parameters revealed a poor concordance across all types of variables. Approximately half of participants (43–55%) correctly rated their weight status (κ = 0.12; 95% CI: 0.05–0.19), diet quality (κ = 0.09; 95% CI: 0.02–0.15), physical activity level (κ = 0.18; 95% CI: 0.11–0.26), sleep time (κ = 0.10; 95% CI: 0.03–0.17), and sleep quality (κ = 0.18; 95% CI: 0.12–0.24). Participants 12–13 years old were more likely to have a greater weight status perception compared to younger subjects (OR = 2.13; 95% CI: 1.08–4.21). Being in a condition of overweight or obesity significantly decreased the odds of correct weight perception (OR = 0.13; 95% CI: 0.08–0.21). Similarly, subjects with higher adherence to the MD, adequate sleep time, and low sleep quality were more conscious about their diet and sleep patterns. Conclusions: Overall, these findings highlight a certain degree of misclassification, especially in subjects who need to improve their lifestyles, highlighting the potential relevance of fostering accurate self-perception during developmental age. Full article
Show Figures

Graphical abstract

18 pages, 505 KB  
Article
Changes in Eating Behavior Among Children with Overweight or Obesity: Results of a Nutritional Intervention
by Luana de Paula Ivnuk, Ádelin Olivia Lopes Joly Rodrigues, Isabela Cristina Santos Freire de Paula, Carlos Henrique Pereira, Marina Amaro da Rocha Matuguma, Gustavo Hermes Soares, Renata Iani Werneck and Juliana Schaia Rocha Orsi
Nutrients 2026, 18(6), 1012; https://doi.org/10.3390/nu18061012 - 23 Mar 2026
Viewed by 66
Abstract
Background/Objectives: This study aimed to explore perceived changes in the eating behavior of children with overweight and obesity following a nutritional intervention, considering the perspectives of children and their families participating in a specialized health promotion program. Methods: This qualitative study included five [...] Read more.
Background/Objectives: This study aimed to explore perceived changes in the eating behavior of children with overweight and obesity following a nutritional intervention, considering the perspectives of children and their families participating in a specialized health promotion program. Methods: This qualitative study included five children aged 7 to 12 years and four family members enrolled in the ProSaúde Kids Program in southern Brazil. The study comprised three stages: initial semi-structured interviews; nine interactive nutritional workshops conducted from July to November 2024 with active family participation; and final interviews after the intervention. Recordings were transcribed and analyzed in ATLAS.TI® using the collective subject discourse approach, guided by Bronfenbrenner’s Ecological Systems Theory. Results: The intervention was associated with reported changes in perceptions and eating practices. Families described greater involvement of children in food decisions, perceived reductions in consumption of ultra-processed foods, and reported reorganization of eating routines. Children expressed increased critical awareness of food-related media content and greater appreciation of body diversity. Improvements in the quality of homemade school snacks suggested meaningful family engagement, even in the absence of direct school involvement. Conclusions: The workshops were described as encouraging reflection and supporting changes in attitudes and practices. Overall, the findings indicate potential positive shifts in eating behavior, greater awareness of food choices, and enhanced family participation in the behavior-change process. Full article
(This article belongs to the Section Nutrition and Obesity)
Show Figures

Figure 1

14 pages, 240 KB  
Article
Sociodemographic, Dietary, and Lifestyle Factors Associated with Overweight and Obesity Among Young Industrial Workers in Vietnam
by Thi Thu Lieu Nguyen, Huy Duc Do, Quan Thi Pham, Xuan Thi Thanh Le, Huong Thi Le and Le Minh Giang
Obesities 2026, 6(2), 17; https://doi.org/10.3390/obesities6020017 - 22 Mar 2026
Viewed by 129
Abstract
Background: Overweight and obesity are emerging public health concerns among young adults. However, evidence on associated sociodemographic, dietary, and lifestyle factors among young industrial workers in low- and middle-income countries remains limited. This study aimed to identify factors associated with overweight and obesity [...] Read more.
Background: Overweight and obesity are emerging public health concerns among young adults. However, evidence on associated sociodemographic, dietary, and lifestyle factors among young industrial workers in low- and middle-income countries remains limited. This study aimed to identify factors associated with overweight and obesity among Vietnamese young industrial workers aged 18–30 years. Methods: A cross-sectional study was conducted among 2295 young industrial workers (55.6% men and 44.4% women) recruited from factories and industrial zones in three geographic regions of Vietnam. Sociodemographic characteristics, dietary habits, lifestyle behaviors, and physical activity were assessed using a structured questionnaire. Body mass index (BMI) was calculated from self-reported height and weight and classified using WHO Western Pacific Region (WPRO) cut-offs; overweight/obesity was defined as BMI ≥ 23.0 kg/m2. Physical activity was assessed using the International Physical Activity Questionnaire—Long Form (IPAQ-LF) and categorized by total MET-min/week according to IPAQ scoring guidelines. Logistic regression analyses were performed to estimate crude and adjusted odds ratios (ORs) with 95% confidence intervals (CIs). Results: Overall, 10.4% of participants were overweight (BMI 23.0–24.9 kg/m2) and 7.0% were obese (BMI ≥ 25.0 kg/m2), yielding a combined prevalence of 17.4%. After multivariable adjustment, increasing age (aOR = 1.15; 95% CI: 1.10–1.20), male sex (aOR = 2.10; 95% CI: 1.59–2.76), and regular alcohol consumption (aOR = 1.37; 95% CI: 1.04–1.81) were independently associated with higher odds of overweight/obesity, while residence in the Southern region was inversely associated (aOR = 0.57; 95% CI: 0.42–0.76). High total physical activity (vs. low activity) was positively associated with overweight/obesity, whereas moderate physical activity was not independently associated. Other dietary behaviors were not significantly associated after adjustment. Conclusions: Among Vietnamese young industrial workers, overweight and obesity were associated with age, sex, alcohol consumption, and geographic region. The observed association with high total physical activity likely reflects the occupational context of physical activity in this population, highlighting the importance of distinguishing between occupational and leisure time physical activity when interpreting physical activity obesity relationships. These findings underscore the relevance of early, workplace relevant prevention strategies targeting modifiable behaviors, particularly alcohol use. Full article
21 pages, 2194 KB  
Article
Adherence and Metabolic Outcomes of Early and Late Time-Restricted Eating with Energy Restriction vs. Energy Restriction Alone: A 6-Month Follow-Up
by Tanja Črešnovar, Bernarda Habe, Nina Mohorko, Saša Kenig, Zala Jenko Pražnikar and Ana Petelin
Nutrients 2026, 18(6), 1004; https://doi.org/10.3390/nu18061004 - 21 Mar 2026
Viewed by 142
Abstract
Background/Objectives: Long-term weight maintenance remains challenging with conventional dietary strategies due to various barriers. Time-restricted eating (TRE) has recently attracted attention as a potential approach to improve adherence, but evidence on long-term maintenance is limited. We investigated the 6-month follow-up (6FU) of early [...] Read more.
Background/Objectives: Long-term weight maintenance remains challenging with conventional dietary strategies due to various barriers. Time-restricted eating (TRE) has recently attracted attention as a potential approach to improve adherence, but evidence on long-term maintenance is limited. We investigated the 6-month follow-up (6FU) of early time-restricted eating with energy restriction (eTRE + ER), late time-restricted eating with energy restriction (lTRE + ER) and energy restriction alone (ER). Methods: This 6FU included 69 of 93 participants from a previously conducted 3-month intervention (3INT). After the intervention, participants returned to free-living conditions without dietary guidance. Outcomes included adherence, perceived barriers, body composition, blood pressure, cardiometabolic risk factors, metabolic hormones, subjective appetite, and dietary intake. Results: Adherence of at least ≥5 days per week was low: 7.7% (eTRE + ER), 18.2% (lTRE + ER), and 9.5% (ER). Reduced adherence during the 6FU was associated with a partial reversal of improvements in body mass, body composition, cardiometabolic risk factors, metabolic hormones, and subjective appetite observed during the 3INT. Analysis of perceived barriers showed that environmental and psychosocial barriers were significant predictors of changes in body mass during the 6FU, while environmental and behavioral barriers were associated with extension of the eating window. These associations were most pronounced in the eTRE + ER group. Conclusions: During the 6FU, differences between dietary strategies gradually diminished, although some remained clinically meaningful. Long-term adherence was low across all three dietary strategies, with psychosocial, environmental, and behavioral barriers particularly evident in the eTRE + ER group. Further research is needed to confirm long-term adherence before TRE + ER interventions can be widely applied in clinical practice. Full article
(This article belongs to the Section Nutrition and Obesity)
Show Figures

Figure 1

10 pages, 223 KB  
Article
Personalized Immunotherapy in Osteoarthritis: A Clinical Trial of Autologous Dendritic Cell Immunotherapy in Knee Osteo-Arthritis
by Kurniawan Silalahi, Bhimo Aji Hernowo, Jonny Jonny, Lintang Sagoro, Chrismis Novalinda Ginting and Terawan Agus Putranto
Curr. Issues Mol. Biol. 2026, 48(3), 330; https://doi.org/10.3390/cimb48030330 - 20 Mar 2026
Viewed by 136
Abstract
Background/Objectives: Osteoarthritis (OA) is a chronic inflammatory disease with limited disease-modifying therapies. This study explored a novel immunomodulatory approach using autologous, antigen-pulsed semi-mature dendritic cells (DCs) to modulate the inflammatory milieu in knee OA patients. Methods: In this open-label, quasi-experimental study, [...] Read more.
Background/Objectives: Osteoarthritis (OA) is a chronic inflammatory disease with limited disease-modifying therapies. This study explored a novel immunomodulatory approach using autologous, antigen-pulsed semi-mature dendritic cells (DCs) to modulate the inflammatory milieu in knee OA patients. Methods: In this open-label, quasi-experimental study, 29 subjects received a single subcutaneous injection of autologous DCs. Outcomes assessed at baseline and 4 weeks included the WOMAC index for symptoms and serum levels of IL-6 and TNF-α. Responses were analyzed in the overall cohort and by BMI subgroups. Results: The overall cohort showed a non-significant trend in WOMAC improvement (p = 0.080) and no change in IL-6 (p = 0.785) or TNF-α (p = 0.330). Subgroup analysis revealed differential patterns of response: WOMAC scores improved significantly only in normal-weight patients (p = 0.030), while serum TNF-α decreased significantly only in overweight patients (p = 0.025). IL-6 levels were unchanged across all groups. Conclusions: Autologous antigen-pulsed DC administration was associated with differential responses across BMI subgroups. Symptomatic benefit was observed in normal-weight individuals, while a reduction in systemic TNF-α occurred in overweight patients. These findings suggest that the host metabolic state may modulate the response to DC-based immunotherapy, and therefore warrant validation in a randomized, placebo-controlled trial. Full article
14 pages, 256 KB  
Article
Cruel Optimism and Gender Identity: A Case Study of Jawani Phir Nahi Ani and Oye Motti in Contemporary Lollywood
by Muhammad Sohail Ahmad, Amina Malik and Rana Yassir Hussain
Arts 2026, 15(3), 64; https://doi.org/10.3390/arts15030064 (registering DOI) - 20 Mar 2026
Viewed by 249
Abstract
This paper examines how Pakistani popular cinema reproduces a cruelly optimistic attachment to gender identity and thinness, where weight loss is imagined as the key to love, success, and social acceptance. Rather than surveying the entire industry, this study focuses on two emblematic [...] Read more.
This paper examines how Pakistani popular cinema reproduces a cruelly optimistic attachment to gender identity and thinness, where weight loss is imagined as the key to love, success, and social acceptance. Rather than surveying the entire industry, this study focuses on two emblematic case studies—Jawani Phir Nahi Ani (2015) and Oye Motti (2021)—to show how Lollywood normalises fatphobia through comic ridicule, makeover tropes, and exclusionary casting practices. The analysis reveals how fatness is framed not as an identity but as a flaw to be corrected, rendering overweight characters undesirable despite their talents or personalities. Thus, fatness is usually treated as an obstacle to social acceptance, marriage, and personal happiness; the very hope of inclusion becomes an instrument of exclusion, exemplifying Berlant’s concept of cruel optimism. In Berlant’s terms, cruel optimists always struggle to achieve unattainable fantasies of a better life that promise upward mobility. Full article
(This article belongs to the Special Issue On Screen Arts—the Arts of the Past in Contemporary Mass Media)
11 pages, 1897 KB  
Article
An Analysis of Hip and Knee Joint Movement Characteristics in Overweight Individuals During Sit-to-Stand Transfers—Based on Statistical Parametric Mapping: An Exploratory Study
by Guohui Zhao, Feifei Ma and Lei Li
Life 2026, 16(3), 515; https://doi.org/10.3390/life16030515 - 20 Mar 2026
Viewed by 187
Abstract
Objective: The objective of this study was to explore the motion characteristics and movement strategies of the hip and knee joints in overweight individuals during sit-to-stand (STS) transfers using statistical parametric mapping (SPM). Methods: Twenty subjects were divided into an overweight group ( [...] Read more.
Objective: The objective of this study was to explore the motion characteristics and movement strategies of the hip and knee joints in overweight individuals during sit-to-stand (STS) transfers using statistical parametric mapping (SPM). Methods: Twenty subjects were divided into an overweight group (n = 10) and a normal-weight group (n = 10) based on body mass index (BMI). The Qualisys infrared motion capture system and Kistler three-dimensional force platform were used for motion data collection, and Visual 3D and Matlab were used to calculate the angles and torque indicators of the lower limb hip and knee joints. Results: During the STS process, the maximum hip flexion angle of the overweight group was smaller than that of the control group (Z = −1.83, p = 0.043, r = 0.39), while the maximum abduction and external rotation angles were greater than those of the control group (Z = −2.15, p = 0.022, r = 0.46; Z = −2.02, p = 0.028, r = 0.48). SPM analysis showed that during the 0–52% phase of the hip joint in the frontal plane, the abduction amplitude of the overweight population was greater than that of the normal population (p < 0.05). The minimum external rotation angle of the knee joint was less than that of the control group (F(1,18) = 9.135, p = 0.043). The peak internal adduction and abduction torque of the hip joint in the overweight group was greater than that of the control group (Z = 2.37, p = 0.017, r = 0.54). Conclusions: Compared with the normal-weight population, the overweight population exhibited distinct motion characteristics of the hip and knee joints during the STS, with particularly pronounced differences in the hip joint. To maintain stability during STS, the overweight population adopts a compensatory movement strategy featuring a wider base of support via hip abduction and increased muscular torque to control frontal plane stability, which imposes greater functional loads on the hip joint. BMI-related movement characteristics should be studied in young adults under controlled experimental conditions, and future studies are needed to verify whether similar patterns exist in older adults. Full article
Show Figures

Figure 1

18 pages, 443 KB  
Article
Obesity, Physical Activity and Occurrence of High Medical Expenditures at One-Year Follow-Up Among Japanese Beneficiaries of Employment-Based Health Insurances: An Analysis Based on a Nationwide Health Checkup Questionnaire
by Aya Higashiyama, Yuki Yonekura, Nagako Okuda, Kozo Tanno and Akira Okayama
Healthcare 2026, 14(6), 777; https://doi.org/10.3390/healthcare14060777 - 19 Mar 2026
Viewed by 132
Abstract
Objectives: This study aimed to prospectively investigate the associations among obesity, physical activity, and short-term high medical expenditures in Japanese employees and their dependents. Methods: Participants were 245,044 employees and their dependents aged 40–74 years who underwent the Specific Health Checkup in fiscal [...] Read more.
Objectives: This study aimed to prospectively investigate the associations among obesity, physical activity, and short-term high medical expenditures in Japanese employees and their dependents. Methods: Participants were 245,044 employees and their dependents aged 40–74 years who underwent the Specific Health Checkup in fiscal year 2008. Health checkup and medical expenditure data for 2008–2010 were provided by health insurers. They were divided into 12 groups according to the combination of body mass index categories (normal, overweight, and obesity) and engagement in exercise and/or daily physical activity (inactive, daily physical activity only, exercise only, and active). The multivariable-adjusted odds ratios of the groups for high total medical expenditures in the next year compared to the inactive normal body mass index group were estimated. High medical expenditures were defined as the top 5% of total annual expenditures, consistent with prior literature identifying high-cost users. Similar analyses were performed by sex and age (<65 years, ≥65 years). Results: Of the participants, 61.8% were men (mean age, 52.1 years). Multivariable-adjusted odds ratios were significantly high only in the inactive groups with overweight or obesity in men and younger individuals. In women and older individuals, the odds ratios were significantly high only in inactive women with obesity; however, the odds ratios were high in women who exercised only and in active older individuals, both with obesity. Conclusions: Exercise or daily physical activity might attenuate the possibility of incurring high short-term medical expenditures in men and younger individuals with overweight or obesity. These findings suggest that physical activity recommendations may need to be tailored for women and older individuals with obesity, and further longitudinal research is warranted. Full article
Show Figures

Graphical abstract

16 pages, 1509 KB  
Article
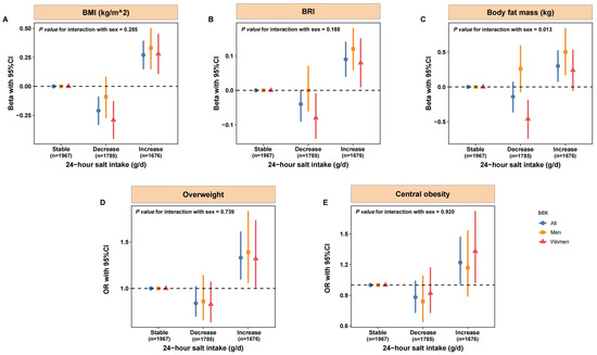
Association Between Salt Intake and Body Adiposity in Chinese Population: A Repeated-Measures Cohort Study
by Weiyuan Yao, Xiangyu Chen, Feng Lu, Jie Zhang, Chunxiao Xu, Mingbin Liang, Ruying Hu, Meng Wang, Jieming Zhong and Xiaofu Du
Nutrients 2026, 18(6), 976; https://doi.org/10.3390/nu18060976 - 19 Mar 2026
Viewed by 166
Abstract
Background/Objectives: Several studies have suggested a positive association between salt intake and obesity, yet longitudinal evidence is limited. We aimed to investigate the longitudinal association between salt intake and multiple adiposity indicators. Methods: We used longitudinal data from a cluster-randomized controlled [...] Read more.
Background/Objectives: Several studies have suggested a positive association between salt intake and obesity, yet longitudinal evidence is limited. We aimed to investigate the longitudinal association between salt intake and multiple adiposity indicators. Methods: We used longitudinal data from a cluster-randomized controlled trial conducted in Zhejiang Province, China, including 7372 adults with 12,800 observations. Twenty-four-hour salt intake was estimated using spot urine samples. Adiposity was assessed using body mass index (BMI), body roundness index (BRI), body fat mass, overweight and central obesity. Associations between salt intake and adiposity were evaluated using generalized linear mixed-effects models. Mediation analyses were conducted to quantify the proportion of associations mediated by body fat mass. Results: Mean baseline 24 h salt intake was 9.88 g/d. Compared with participants in the lowest quartile of salt intake (<8.4 g/d), those in the highest quartile (≥11.2 g/d) had higher BMI (difference, 1.14 kg/m2; 95%CI, 1.03–1.25), BRI (0.31, 0.26–0.35), body fat mass (1.88 kg, 1.69–2.07), and higher odds of overweight (OR, 2.82; 95%CI, 2.47–3.22) and central obesity (2.78, 2.42–3.20). Longitudinally, reductions in salt intake (>1 g/d) were associated with decreases in BMI [−0.21 kg/m2 (−0.33, −0.09)], BRI [−0.04 (−0.09, 0.00)], and body fat mass [−0.14 kg (−0.36, 0.07)]. Associations were stronger among women and adults aged < 40 years (p-values < 0.05). Body fat mass mediated 56.93%–84.73% of the associations. Conclusions: This study indicates a dose–response association between salt intake and obesity risk, partly mediated by increased body fat mass. The findings suggest that dietary salt may influence cardiovascular risk through adiposity-related pathways. Full article
(This article belongs to the Section Nutrition and Obesity)
Show Figures

Figure 1

17 pages, 2966 KB  
Article
Detection of Biventricular Volume Increase in Overweight and Obese Individuals Using a Novel Index of the “Standard Human”—A Single-Center, Non-Contrast-Enhanced Cardiac CT Study
by Maciej Sosnowski, Wojciech Wojakowski, Jan Harpula and Tomasz Lepich
J. Clin. Med. 2026, 15(6), 2350; https://doi.org/10.3390/jcm15062350 - 19 Mar 2026
Viewed by 210
Abstract
Background/Objectives: Biventricular volume (BVV) can be measured from non-contrast-enhanced CT images in patients undergoing coronary artery calcium (CAC) scoring. BVV correlates with left ventricular mass and may predict mortality risk in type 2 diabetes mellitus patients. This study examines the relationships among [...] Read more.
Background/Objectives: Biventricular volume (BVV) can be measured from non-contrast-enhanced CT images in patients undergoing coronary artery calcium (CAC) scoring. BVV correlates with left ventricular mass and may predict mortality risk in type 2 diabetes mellitus patients. This study examines the relationships among body size, age, and BVV using the Standard Human Index (SHI), which combines height and bodyprint (BP = k × height − body surface area, h-BSA; k = 1 for females, 1.1 for males). We hypothesize that this novel indexing method enhances the discrimination of increased BVV in overweight and obese patients and assesses the relevance of age in interpreting BVV changes. Methods: We analyzed CT data from 2466 patients (1606 women, 860 men; mean age 64 ± 11 years) referred for CAC scoring. Fatless BVV was measured semi-automatically, and we compared raw BVV values and BVV normalized for height, body surface area (BSA), and the SHI across sex, age, and body mass index (BMI) categories. Results: BVV was significantly higher in males (414 ± 97 mL) than females (297 ± 66 mL) (p < 0.001). BVV decreased non-linearly with age, stabilizing in older patients. Normal-weight males had higher BVV than females (p < 0.001). Normalization for height, BSA, and the SHI indicated that BSA did not effectively distinguish BVV changes in overweight and obese patients. Conclusions: The proposed index effectively diagnosed BVV increases in overweight individuals, while BSA indexing may be misleading. The age dependence of BVV challenges the validity of standards based on younger populations for detecting ventricular enlargement in older adults. Full article
(This article belongs to the Section Cardiovascular Medicine)
Show Figures

Figure 1

25 pages, 620 KB  
Review
The Gut Microbiota: An Essential Component in Understanding Pediatric Obesity: A Narrative Review
by Vasile Valeriu Lupu, Alin Horatiu Nedelcu, Reka Borka-Balas, Carmen Rodica Anton, Irina Tarnita, Alice Azoicai, Lorenza Forna, Dragos Munteanu, Sorana Caterina Anton, Shwan Karwan Shawais, Minerva Codruta Badescu, Delia Lidia Salaru, Ionela Daniela Morariu, Emil Anton, Florin Petrariu and Ancuta Lupu
Nutrients 2026, 18(6), 952; https://doi.org/10.3390/nu18060952 - 18 Mar 2026
Viewed by 221
Abstract
Background: Childhood obesity has become a major public health concern worldwide. Increasing evidence suggests that alterations in the gut microbiome may play a significant role in the development and progression of pediatric obesity. This narrative review synthesizes and analyzes recent studies investigating [...] Read more.
Background: Childhood obesity has become a major public health concern worldwide. Increasing evidence suggests that alterations in the gut microbiome may play a significant role in the development and progression of pediatric obesity. This narrative review synthesizes and analyzes recent studies investigating microbiome alterations in children with obesity, highlighting emerging insights and their potential implications for disease management. Understanding the relationship between gut microbial composition and obesity may provide new perspectives for prevention and therapeutic strategies in overweight pediatric populations. This narrative review was conducted through a search of major biomedical databases, including PubMed and Web of Science, complemented by manual screening of reference lists of relevant articles. Key findings: Children affected by obesity exhibit significant changes in gut microbiome composition, characterized by reduced microbial diversity and predominance of the Firmicutes and Bacteroidetes phyla. The balance between these two bacterial groups appears critical for maintaining gut homeostasis. Studies consistently report an increased Firmicutes-to-Bacteroidetes ratio in children with elevated body weight, suggesting that disruption of this balance may contribute to metabolic dysregulation and obesity-related pathologies. Given the essential role of the gut microbiota in nutrient metabolism and energy extraction, dysbiosis in obesity is associated with enhanced energy harvest and lipid absorption. Certain bacterial populations may promote increased caloric uptake, thereby contributing to weight gain and adiposity. Multidimensional interventions, including dietary modification and physical activity, have demonstrated the potential to reduce obesogenic microbiota patterns and restore microbial diversity. Additionally, probiotic supplementation is being investigated as a strategy to reestablish microbial homeostasis and potentially support body mass index reduction. Despite promising findings, further research is required to clarify mechanisms, establish causality, and determine the clinical effectiveness of microbiome-targeted therapies before they can be fully integrated into the management of pediatric obesity. Full article
(This article belongs to the Special Issue Nutrition in Children's Growth and Development: 2nd Edition)
Show Figures

Figure 1

23 pages, 2084 KB  
Article
Impact of a Hypocaloric Diet on Prognostic Biomarkers of Endothelial Dysfunction: A Prospective Study
by Cristina Lazar, Minela Aida Maranduca, Cristian Tudor Cozma, Andreea Clim, Mihaela Moscalu, Dragomir-Nicolae Serban and Ionela-Lacramioara Serban
J. Clin. Med. 2026, 15(6), 2321; https://doi.org/10.3390/jcm15062321 - 18 Mar 2026
Viewed by 153
Abstract
Background/Objectives: To assess the impact of weight loss on the atherogenic profile of patients with obesity, we proposed the Atherogenic Central Load Index (ACLI). The aim of the study was to validate ACLI as a novel lipid biomarker reflecting the balance between atherogenic [...] Read more.
Background/Objectives: To assess the impact of weight loss on the atherogenic profile of patients with obesity, we proposed the Atherogenic Central Load Index (ACLI). The aim of the study was to validate ACLI as a novel lipid biomarker reflecting the balance between atherogenic and antiatherogenic lipoproteins, the overall atherogenic burden, and its association with inflammatory markers. Methods: A prospective study was conducted from January 2024 to July 2024. A total of 73 adults with overweight or obesity completed a six-month dietary-based weight loss intervention. A 15% caloric deficit target was set, excluding the potential influence of pharmacotherapy, and limiting physical activity to daily walking. Statistical analysis focused on anthropometric measures, lipid panel parameters and derived atherosclerosis indices. Results: The intervention returned a median weight loss of 11.8 (IQR: 8–19) kg. Before–after analysis showed a statistically significant improvement in anthropometric indices and most lipid profile components. To assess the effect of weight loss on the atherogenic profile of patients, we proposed an atherogenic load index (Atherogenic Central Load Index (ACLI)). ACLI decreased significantly following the hypocaloric diet and showed a significant correlation with the inflammatory markers hs-CRP and IL-6. ACLI showed a strong, inversely significant correlation (p < 0.05) with AIP, hs-CRP and IL-6, at the time of intervention initiation and after 6 months. The evaluation of the obtained AUC values allowed to clearly highlight the superior discrimination performance of ACLI regarding the inflammatory markers hs-CRP and IL-6 in patients with overweight and obesity involved in dietary interventions for weight loss. Conclusions. The proposed index (ACLI) showed strong and significant associations with key inflammatory markers, including hs-CRP and IL-6. Moreover, ACLI demonstrated superior discriminatory performance for elevated inflammatory status in overweight and individuals with obesity undergoing dietary weight-loss interventions, outperforming traditional atherogenic indices related to atherosclerosis progression (AIP, CRI–1, and CRI–2). These findings support the potential clinical utility of ACLI as an integrative marker of atherogenic burden and cardiometabolic risk. Full article
(This article belongs to the Section Clinical Nutrition & Dietetics)
Show Figures

Graphical abstract

12 pages, 499 KB  
Article
Obesity Is Independently Associated with Early Loss of Reduction After Casting in Pediatric Both-Bone Forearm Fractures: A Cohort Study of Children Aged 3–13 Years
by Mehmet Yiğit Gökmen, Ahmet Yılmaz, Hasan Orkun Varmış and Özhan Pazarcı
Medicina 2026, 62(3), 565; https://doi.org/10.3390/medicina62030565 - 18 Mar 2026
Viewed by 159
Abstract
Background and Objectives: Pediatric both-bone forearm fractures are commonly treated nonoperatively, yet early loss of reduction remains a clinically important problem. Childhood obesity may be associated with reduced early radiographic stability after closed reduction and casting. Materials and Methods: A retrospective [...] Read more.
Background and Objectives: Pediatric both-bone forearm fractures are commonly treated nonoperatively, yet early loss of reduction remains a clinically important problem. Childhood obesity may be associated with reduced early radiographic stability after closed reduction and casting. Materials and Methods: A retrospective single-center cohort study was performed, including children aged 3 to 13 years who presented between 2020 and 2023 with acute both-bone forearm fractures involving the radius and ulna. Patients were categorized as normal weight (BMI 5th–84th percentile) or obese (≥95th percentile); overweight children (85th–94th percentile) were excluded. Fracture morphology and level, initial management (operative vs. conservative), and early loss of reduction were recorded. Multivariable logistic regression was conducted within the conservative cohort to identify independent factors associated with loss of reduction. Results: A total of 895 patients were included (normal weight n = 633; obese n = 262). Obese children had a higher proportion of complete fractures than normal-weight children (82.4% vs. 61.9%, p < 0.001) and underwent operative management more frequently at index presentation (33.6% vs. 13.1%, p < 0.001). Among conservatively treated patients (n = 724), early loss of reduction occurred in 36 cases and was more common in obese than normal-weight children (13.2% vs. 2.4%, p < 0.001). In multivariable analysis, obesity was independently associated with loss of reduction (aOR 5.98; 95% CI 2.89–12.38; p < 0.001). Conclusions: In children aged 3 to 13 years with both-bone forearm fractures treated with casting, obesity was independently associated with early loss of reduction. Weight status may serve as a practical clinical risk marker to support counseling and closer early radiographic surveillance during nonoperative care. Full article
Show Figures

Figure 1

Back to TopTop