Surface Water (SW) and Shallow Groundwater (SGW) Nutrient Concentrations in Riparian Wetlands of a Mixed Land-Use Catchment
Abstract
1. Introduction
2. Materials and Methods
2.1. Site Descriptions
2.2. Observed Stream Stage and SGW Level
2.3. Water Sample Collection
2.4. Nutrient Analysis
2.5. Statistical Analysis
3. Results and Discussion
3.1. SW–SGW Level and Precipitation Changes during the Study
3.2. Intersite Spatial and Seasonal Nutrient Concentrations
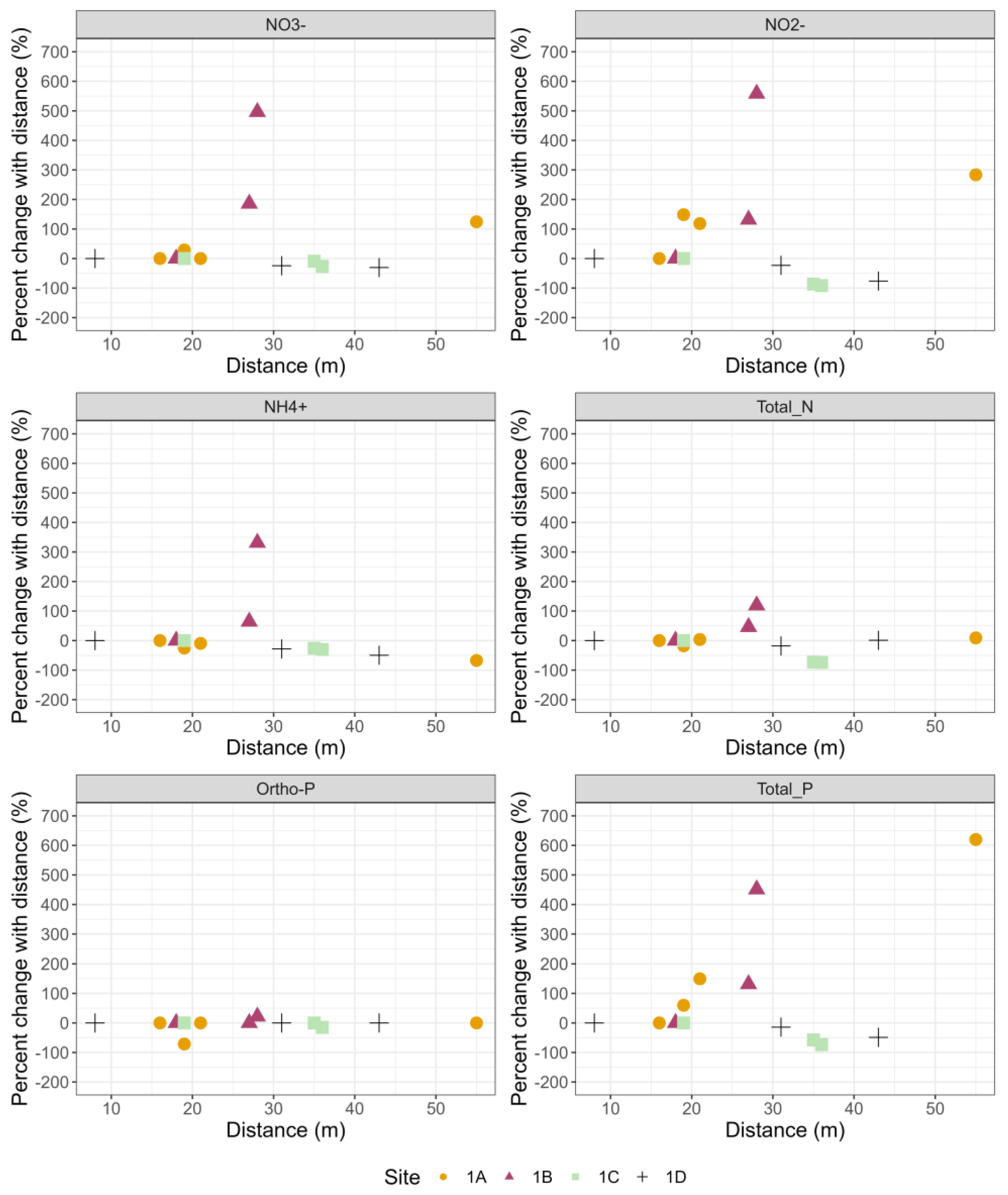
3.3. Intrasite Spatial Nutrient Variation
3.4. Principal Component Analysis (PCA) and Correlation
3.5. Limitations, Implications, and Future Directions
4. Conclusions
Author Contributions
Funding
Data Availability Statement
Acknowledgments
Conflicts of Interest
Appendix A

| Site | Surface Elevation (m) | Water Depth (m) | Water Level Elevation (m) | Piezometer | Surface Elevation (m) | Water Depth (m) | Water Level Elevation (m) |
|---|---|---|---|---|---|---|---|
| 1A | 310.48 | 0.16 | 310.32 | PA_1A | 304.98 | 1.38 | 303.60 |
| PB_1A | 304.43 | 1.34 | 303.09 | ||||
| PC_1A | 307.78 | 1.19 | 306.59 | ||||
| PD_1A | 306.67 | 1.34 | 305.33 | ||||
| 1B | 311.66 | 0.24 | 311.42 | PA_1B | 310.96 | 1.05 | 309.91 |
| PB_1B | 310.95 | 1.47 | 309.49 | ||||
| PC_1B | 311.72 | 1.15 | 310.57 | ||||
| 1C | 318.82 | 0.25 | 318.57 | PA_1C | 323.03 | 1.96 | 320.99 |
| PB_1C | 324.48 | 2.03 | 322.52 | ||||
| PD_1C | 316.86 | 1.15 | 315.71 | ||||
| 1D | 327.67 | 0.21 | 327.46 | PA_1D | 333.06 | 1.83 | 331.22 |
| PB_1D | 327.30 | 1.37 | 325.93 | ||||
| PC_1D | 332.44 | 1.64 | 330.79 |
References
- Wurtsbaugh, W.A.; Paerl, H.W.; Dodds, W.K. Nutrients, Eutrophication and Harmful Algal Blooms along the Freshwater to Marine Continuum. WIREs Water 2019, 6, e1373. [Google Scholar] [CrossRef]
- Bachmann, R.W.; Jones, B.L.; Fox, D.D.; Hoyer, M.; Bull, L.A.; Canfield, D.E. Relations between Trophic State Indicators and Fish in Florida (USA) Lakes. Can. J. Fish. Aquat. Sci. 1996, 53, 842–855. [Google Scholar] [CrossRef]
- Teixeira De Souza, A.; Carneiro, L.A.T.X.; Da Silva Junior, O.P.; De Carvalho, S.L.; Américo-Pinheiro, J.H.P. Assessment of Water Quality Using Principal Component Analysis: A Case Study of the Marrecas Stream Basin in Brazil. Environ. Technol. 2021, 42, 4286–4295. [Google Scholar] [CrossRef]
- Ni, W.; Li, M. What Drove the Nonlinear Hypoxia Response to Nutrient Loading in Chesapeake Bay during the 20th Century? Sci. Total Environ. 2023, 861, 160650. [Google Scholar] [CrossRef] [PubMed]
- Poor, C.J.; McDonnell, J.J. The Effects of Land Use on Stream Nitrate Dynamics. J. Hydrol. 2007, 332, 54–68. [Google Scholar] [CrossRef]
- Carlyle, G.C.; Hill, A.R. Groundwater Phosphate Dynamics in a River Riparian Zone: Effects of Hydrologic flowpaths, Lithology and Redox Chemistry. J. Hydrol. 2001, 247, 151–168. [Google Scholar] [CrossRef]
- Vilmin, L.; Mogollón, J.M.; Beusen, A.H.W.; Bouwman, A.F. Forms and Subannual Variability of Nitrogen and Phosphorus Loading to Global River Networks over the 20th Century. Glob. Planet. Change 2018, 163, 67–85. [Google Scholar] [CrossRef]
- Casey, R.E.; Klaine, S.J. Nutrient Attenuation by a Riparian Wetland during Natural and Artificial Runoff Events. J. Environ. Qual. 2001, 30, 1720–1731. [Google Scholar] [CrossRef] [PubMed]
- Hefting, M.M.; Clement, J.-C.; Bienkowski, P.; Dowrick, D.; Guenat, C.; Butturini, A.; Topa, S.; Pinay, G.; Verhoeven, J.T.A. The Role of Vegetation and Litter in the Nitrogen Dynamics of Riparian Buffer Zones in Europe. Ecol. Eng. 2005, 24, 465–482. [Google Scholar] [CrossRef]
- Li, S.; Gu, S.; Tan, X.; Zhang, Q. Water Quality in the Upper Han River Basin, China: The Impacts of Land Use/Land Cover in Riparian Buffer Zone. J. Hazard. Mater. 2009, 165, 317–324. [Google Scholar] [CrossRef]
- Jacobson, L.M.; David, M.B.; Drinkwater, L.E. A Spatial Analysis of Phosphorus in the Mississippi River Basin. J. Environ. Qual. 2011, 40, 931–941. [Google Scholar] [CrossRef]
- Cirmo, C.P.; McDonnell, J.J. Linking the Hydrologic and Biogeochemical Controls of Nitrogen Transport in Near-Stream Zones of Temperate-Forested Catchments: A Review. J. Hydrol. 1997, 199, 88–120. [Google Scholar] [CrossRef]
- Xie, Z.; Zhang, Y.; Zhang, Z.; Huang, J. Nitrate Removal Mechanism in Riparian Groundwater in an Intensified Agricultural Catchment. Agric. Water Manag. 2023, 280, 108223. [Google Scholar] [CrossRef]
- Verhoeven, J.; Arheimer, B.; Yin, C.; Hefting, M. Regional and Global Concerns over Wetlands and Water Quality. Trends Ecol. Evol. 2006, 21, 96–103. [Google Scholar] [CrossRef] [PubMed]
- White, J.R.; Reddy, K.R. Biogeochemical Dynamics I: Nitrogen Cycling in Wetlands. In The Wetlands Handbook; Maltby, E., Barker, T., Eds.; Wiley: Hoboken, NJ, USA, 2009; pp. 213–227. ISBN 978-0-632-05255-4. [Google Scholar]
- Kwon, H.-I.; Koh, D.-C.; Cho, B.-W.; Jung, Y.-Y. Nutrient Dynamics in Stream Water and Groundwater in Riparian Zones of a Mesoscale Agricultural Catchment with Intense Seasonal Pumping. Agric. Water Manag. 2022, 261, 107336. [Google Scholar] [CrossRef]
- Raciti, S.M.; Groffman, P.M.; Jenkins, J.C.; Pouyat, R.V.; Fahey, T.J.; Pickett, S.T.A.; Cadenasso, M.L. Nitrate Production and Availability in Residential Soils. Ecol. Appl. 2011, 21, 2357–2366. [Google Scholar] [CrossRef] [PubMed]
- Davis, J.H.; Griffith, S.M.; Wigington, P.J. Surface Water and Groundwater Nitrogen Dynamics in a Well Drained Riparian Forest within a Poorly Drained Agricultural Landscape. J. Environ. Qual. 2011, 40, 505–516. [Google Scholar] [CrossRef] [PubMed]
- Martin, J.F.; Reddy, K.R. Interaction and Spatial Distribution of Wetland Nitrogen Processes. Ecol. Model. 1997, 105, 1–21. [Google Scholar] [CrossRef]
- Richardson, C.J.; Vaithiyanathan, P. Biogeochemical Dynamics II: Cycling and Storage of Phosphorus in Wetlands. In The Wetlands Handbook; Maltby, E., Barker, T., Eds.; Wiley: Hoboken, NJ, USA, 2009; pp. 228–248. ISBN 978-0-632-05255-4. [Google Scholar]
- Tucker, W.A.; Diblin, M.C.; Mattson, R.A.; Hicks, R.W.; Wang, Y. Nitrate in Shallow Groundwater Associated with Residential Land Use in Central Florida. J. Environ. Qual. 2014, 43, 639–646. [Google Scholar] [CrossRef] [PubMed]
- Huizenga, A.; Bailey, R.T.; Gates, T.K. Stream-Aquifer and in-Stream Processes Affecting Nitrogen along a Major River and Contributing Tributary. J. Contam. Hydrol. 2017, 199, 24–35. [Google Scholar] [CrossRef]
- Jordan, T.E.; Correll, D.L.; Weller, D.E. Nutrient Interception by a Riparian Forest Receiving Inputs from Adjacent Cropland. J. Environ. Qual. 1993, 22, 467–473. [Google Scholar] [CrossRef]
- Chinnasamy, P.; Hubbart, J.A. Stream and Shallow Groundwater Nutrient Concentrations in an Ozark Forested Riparian Zone of the Central USA. Environ. Earth Sci. 2015, 73, 6577–6590. [Google Scholar] [CrossRef]
- Banner, E.B.K.; Stahl, A.J.; Dodds, W.K. Stream Discharge and Riparian Land Use Influence In-Stream Concentrations and Loads of Phosphorus from Central Plains Watersheds. Environ. Manag. 2009, 44, 552–565. [Google Scholar] [CrossRef]
- Gootman, K.S.; Hubbart, J.A. Characterization of Sub-Catchment Stream and Shallow Groundwater Nutrients and Suspended Sediment in a Mixed Land Use, Agro-Forested Watershed. Water 2023, 15, 233. [Google Scholar] [CrossRef]
- Gorgoglione, A.; Gregorio, J.; Ríos, A.; Alonso, J.; Chreties, C.; Fossati, M. Influence of Land Use/Land Cover on Surface-Water Quality of Santa Lucía River, Uruguay. Sustainability 2020, 12, 4692. [Google Scholar] [CrossRef]
- Merriam, E.R.; Petty, J.T.; O’Neal, M.; Ziemkiewicz, P.F. Flow-Mediated Vulnerability of Source Waters to Elevated TDS in an Appalachian River Basin. Water 2020, 12, 384. [Google Scholar] [CrossRef]
- Flite, O.P.; Shannon, R.D.; Schnabel, R.R.; Parizek, R.R. Nitrate Removal in a Riparian Wetland of the Appalachian Valley and Ridge Physiographic Province. J. Environ. Qual. 2001, 30, 254–261. [Google Scholar] [CrossRef]
- Webster, J.R.; Stewart, R.M.; Knoepp, J.D.; Jackson, C.R. Effects of Instream Processes, Discharge, and Land Cover on Nitrogen Export from Southern Appalachian Mountain Catchments. Hydrol. Process. 2019, 33, 283–304. [Google Scholar] [CrossRef]
- Abesh, B.F.; Hubbart, J.A. A Comparison of Saturated Hydraulic Conductivity (Ksat) Estimations from Pedotransfer Functions (PTFs) and Field Observations in Riparian Seasonal Wetlands. Water 2023, 15, 2711. [Google Scholar] [CrossRef]
- Kellner, E.; Hubbart, J.; Stephan, K.; Morrissey, E.; Freedman, Z.; Kutta, E.; Kelly, C. Characterization of sub-watershed-scale stream chemistry regimes in an Appalachian mixed-land-use watershed. Environ. Monit. Assess. 2018, 190, 1–18. [Google Scholar]
- Petersen, F.; Hubbart, J.A. Advancing Understanding of Land Use and Physicochemical Impacts on Fecal Contamination in Mixed-Land-Use Watersheds. Water 2020, 12, 1094. [Google Scholar] [CrossRef]
- Heck, Z.A. Development of Multi-Catchment Rating Curves for Streams of Appalachian Mixed-Land-Use Watersheds: Preliminary Results; West Virginia University Libraries: Morgantown, WV, USA, 2021. [Google Scholar]
- Solinst. Solnist Levelogger Pressure Transducer, Solinst Canada Ltd. 2020. Available online: https://www.solinst.com/ (accessed on 10 December 2019).
- Solinst. Solinist Levelogger Junior Edge Pressure Transducers, Solnist Canada Ltd. 2020. Available online: https://www.solinst.com/onthelevel-news/water-level-monitoring/water-level-datalogging/levelogger-data-critical-for-water-and-leachate-management-at-a-queensland-landfill/ (accessed on 10 December 2019).
- NOAA National Centers for Environmental Information Local Climatological Data (LCD). 2010. Available online: https://ncei.noaa.gov/access/search/data-search/local-climatological-data (accessed on 1 January 2020).
- USGS National Field Manual for the Collection of Water Quality Data. 2006. Available online: https://www.usgs.gov/mission-areas/water-resources/science/national-field-manual-collection-water-quality-data-nfm (accessed on 1 January 2020).
- Cole-Parmer. Cole-Parmer Masterflex Portable Sampling Pump. Vernon Hills, IL, USA. 2020. Available online: https://www.coleparmer.com/c/pumps?gclid=cj0kcqjwl8anbhcfarisakbbpyrgig5lakcmpwargc2ckdxbwuhwrer1gdct_5e7noihh8tkpizfzwgaakkwealw_wcb (accessed on 10 December 2019).
- HACH DR3900 Laboratory Spectrophotometer for Water Analysis|Hach USA. 2020. Available online: https://www.hach.com/p-dr3900-laboratory-spectrophotometer-for-water-analysis (accessed on 10 December 2019).
- HACH. HACH TNTplus Vial Chemicals. HACH, USA. 2020. Available online: https://www.hach.com/products/chemistries/tntplus (accessed on 10 December 2019).
- Hach Company TNTplus 835/836 Nitrate Method 10206 Spectrophotometric Measurement of Nitrate in Water and Wastewater. Available online: https://ca.hach.com/asset-get.download.jsa?id=17043310582 (accessed on 1 January 2020).
- Crawley, M.J. Statistics: An Introduction Using R; John Wiley & Sons: West Sussex, UK, 2005; ISBN 0-470-02298-1. [Google Scholar]
- Davis, J.C. Statistics and Data Analysis in Geology, 3rd ed.; John Wiley & Sons: New York, NY, USA, 2002; ISBN 0-471-17275-8. [Google Scholar]
- Tesoriero, A.J.; Duff, J.H.; Wolock, D.M.; Spahr, N.E.; Almendinger, J.E. Identifying Pathways and Processes Affecting Nitrate and Orthophosphate Inputs to Streams in Agricultural Watersheds. J. Environ. Qual. 2009, 38, 1892–1900. [Google Scholar] [CrossRef]
- Musolff, A.; Schmidt, C.; Rode, M.; Lischeid, G.; Weise, S.M.; Fleckenstein, J.H. Groundwater Head Controls Nitrate Export from an Agricultural Lowland Catchment. Adv. Water Resour. 2016, 96, 95–107. [Google Scholar] [CrossRef]
- Pistocchi, C.; Silvestri, N.; Rossetto, R.; Sabbatini, T.; Guidi, M.; Baneschi, I.; Bonari, E.; Trevisan, D. A Simple Model to Assess Nitrogen and Phosphorus Contamination in Ungauged Surface Drainage Networks: Application to the Massaciuccoli Lake Catchment, Italy. J. Environ. Qual. 2012, 41, 544–553. [Google Scholar] [CrossRef] [PubMed]
- Ruiz, L.; Abiven, S.; Martin, C.; Durand, P.; Beaujouan, V.; Molénat, J. Effect on Nitrate Concentration in Stream Water of Agricultural Practices in Small Catchments in Brittany: II. Temporal Variations and Mixing Processes. Hydrol. Earth Syst. Sci. 2002, 6, 507–514. [Google Scholar] [CrossRef][Green Version]
- Chotpantarat, S.; Parkchai, T.; Wisitthammasri, W. Multivariate Statistical Analysis of Hydrochemical Data and Stable Isotopes of Groundwater Contaminated with Nitrate at Huay Sai Royal Development Study Center and Adjacent Areas in Phetchaburi Province, Thailand. Water 2020, 12, 1127. [Google Scholar] [CrossRef]
- Liu, X.; Wang, X.; Zhang, L.; Fan, W.; Yang, C.; Li, E.; Wang, Z. Impact of Land Use on Shallow Groundwater Quality Characteristics Associated with Human Health Risks in a Typical Agricultural Area in Central China. Environ. Sci. Pollut. Res. 2021, 28, 1712–1724. [Google Scholar] [CrossRef] [PubMed]
- Yang, Y.-Y.; Toor, G.S. Sources and Mechanisms of Nitrate and Orthophosphate Transport in Urban Stormwater Runoff from Residential Catchments. Water Res. 2017, 112, 176–184. [Google Scholar] [CrossRef] [PubMed]
- Kurz, I.; O’Reilly, C.D.; Tunney, H. Impact of Cattle on Soil Physical Properties and Nutrient Concentrations in Overland Flow from Pasture in Ireland. Agric. Ecosyst. Environ. 2006, 113, 378–390. [Google Scholar] [CrossRef]
- Triska, F.J.; Kennedy, V.C.; Avanzino, R.J.; Zellweger, G.W.; Bencala, K.E. Retention and Transport of Nutrients in a Third-order Stream in Northwestern California: Hyporheic Processes. Ecology 1989, 70, 1893–1905. [Google Scholar] [CrossRef]
- Huang, N.; Lin, T.; Guan, J.; Zhang, G.; Qin, X.; Liao, J.; Liu, Q.; Huang, Y. Identification and Regulation of Critical Source Areas of Non-Point Source Pollution in Medium and Small Watersheds Based on Source-Sink Theory. Land 2021, 10, 668. [Google Scholar] [CrossRef]
- House, W.A.; Warwick, M.S. A Mass-Balance Approach to Quantifying the Importance of in-Stream Processes during Nutrient Transport in a Large River Catchment. Sci. Total Environ. 1998, 210, 139–152. [Google Scholar] [CrossRef]










| Site | Residential (%) | Forest (%) | Grassland/ Pasture (%) | Drainage Area (km2) | % of Study Area | Elevation (m) |
|---|---|---|---|---|---|---|
| 1A | 25.36 | 31.14 | 43.48 | 0.41 | 34.08 | 310.48 |
| 1B | 55.39 | 21.98 | 22.63 | 0.42 | 34.52 | 311.66 |
| 1C | 2.44 | 68.29 | 29.27 | 0.17 | 13.47 | 318.82 |
| 1D | 48.95 | 43.57 | 7.47 | 0.21 | 17.93 | 327.67 |
| Site | SW Level | Piezometer | GW Level | SWL-GWL |
|---|---|---|---|---|
| 1A | 310.32 | PA_1A | 303.60 | 6.72 |
| PB_1A | 303.09 | 7.22 | ||
| PC_1A | 306.59 | 3.73 | ||
| PD_1A | 305.33 | 4.99 | ||
| 1B | 311.42 | PA_1B | 309.91 | 1.51 |
| PB_1B | 309.49 | 1.93 | ||
| PC_1B | 310.57 | 0.42 | ||
| 1C | 318.57 | PA_1C | 320.99 | −2.42 |
| PB_1C | 322.52 | −3.95 | ||
| PD_1C | 315.71 | 2.86 | ||
| 1D | 327.46 | PA_1D | 331.22 | −3.76 |
| PC_1D | 325.93 | 1.53 | ||
| PB_1D | 330.79 | −3.33 |
| Nitrate (NO3-N) | ||
| Site | Surface Water (SW) | Shallow Groundwater (SGW) |
| 1A | 0.42(1.35, 0.001) | 0.32(1.59, 0.001) |
| 1B | 0.42(0.99, 0.001) | 0.66(6.03, 0.001) |
| 1C | 0.28(0.92, 0.001) | 0.14(0.87, 0.001) |
| 1D | 0.30(0.62, 0.001) | 0.19(1.23, 0.001) |
| Nitrite (NO2-N) | ||
| 1A | 0.01(0.04, 0.001) | 0.06(0.53, 0.001) |
| 1B | 0.02(0.38, 0.01) | 0.24(5.85, 0.001) |
| 1C | 0.01(0.03, 0.001) | 0.08(3.92, 0.001) |
| 1D | 0.01(0.06, 0.001) | 0.03(0.48, 0.001) |
| Ammonium (NH4-N) | ||
| 1A | 0.20(0.48, 0.05) | 1.15(2.77, 0.02) |
| 1B | 0.23(0.44, 0.08) | 0.22(1.78, 0.02) |
| 1C | 0.05(0.54, 0.01) | 0.10(0.84, 0.001) |
| 1D | 0.05(0.50, 0.01) | 0.16(1.23, 0.03) |
| Total nitrogen (Total-N) | ||
| 1A | 1.28(2.59, 0.75) | 2.80(14, 0.40) |
| 1B | 1.44(3.57, 0.75) | 2.13(9.31, 0.15) |
| 1C | 0.83(1.57, 0.34) | 1.05(4.05, 0.01) |
| 1D | 1.06(6.77, 0.37) | 1.20(3.52, 0.43) |
| Orthophosphate (PO43-P) | ||
| 1A | 0.003(0.02, 0.001) | 0.008(0.06, 0.001) |
| 1B | 0.01(0.07, 0.001) | 0.003(0.02, 0.001) |
| 1C | 0.004(0.03, 0.001) | 0.004(0.03, 0.001) |
| 1D | 0.004(0.03, 0.001) | 0.004(0.11, 0.001) |
| Total phosphorus (Total-P) | ||
| 1A | 0.06(0.28, 0.001) | 0.56(12, 0.001) |
| 1B | 0.07(0.36, 0.001) | 0.88(8.45, 0.001) |
| 1C | 0.04(0.27, 0.001) | 0.29(4.35, 0.001) |
| 1D | 0.04(0.43, 0.001) | 0.28(5.92, 0.001) |
| Site | Piezometer | NO3-N | NO2-N | NH4-N | Total_N | PO43-P | Total_P |
|---|---|---|---|---|---|---|---|
| 1A | PC_1A (55 m) | 0.51 | 0.10 | 0.53 | 3.10 | 0.001 | 1.31 |
| PB_1A (21 m) | 0.23 | 0.05 | 1.40 | 2.94 | 0.001 | 0.46 | |
| PA_1A (19 m) | 0.29 | 0.06 | 1.16 | 2.34 | 0.001 | 0.29 | |
| PD_1A (16 m) | 0.23 | 0.02 | 1.55 | 2.84 | 0.001 | 0.18 | |
| 1B | PA_1B (28 m) | 1.19 | 0.49 | 0.41 | 3.01 | 0.001 | 1.64 |
| PB_1B (27 m) | 0.57 | 0.17 | 0.16 | 2.01 | 0.001 | 0.69 | |
| PC_1B (18 m) | 0.20 | 0.07 | 0.09 | 1.37 | 0.001 | 0.30 | |
| 1C | PB_1C (36 m) | 0.12 | 0.02 | 0.09 | 0.98 | 0.001 | 0.14 |
| PA_1C (35 m) | 0.15 | 0.03 | 0.09 | 1.02 | 0.001 | 0.22 | |
| PD_1C (19 m) | 0.16 | 0.19 | 0.13 | 3.79 | 0.001 | 0.52 | |
| 1D | PA_1D (43 m) | 0.16 | 0.01 | 0.11 | 1.29 | 0.001 | 0.18 |
| PC_1D (31 m) | 0.17 | 0.03 | 0.16 | 1.04 | 0.001 | 0.30 | |
| PB_1D (8 m) | 0.23 | 0.04 | 0.22 | 1.27 | 0.001 | 0.35 |
| Principal Component | PC1 | PC2 | PC3 | PC4 | PC5 | PC6 | PC7 | PC8 | PC9 | PC10 |
|---|---|---|---|---|---|---|---|---|---|---|
| Eigenvalue | 1.72 | 1.45 | 1.19 | 1.07 | 0.97 | 0.75 | 0.62 | 0.51 | 0.46 | 0.00 |
| Proportion of variance | 0.30 | 0.21 | 0.14 | 0.11 | 0.09 | 0.06 | 0.04 | 0.03 | 0.02 | 0.00 |
| Cumulative Proportion | 0.30 | 0.51 | 0.65 | 0.76 | 0.86 | 0.91 | 0.95 | 0.98 | 1.00 | 1.00 |
| Parameters | PC1 | PC2 | PC3 | PC4 |
|---|---|---|---|---|
| Water level | 0.12 | −0.25 | −0.55 | 0.31 |
| Forest | −0.33 | −0.38 | −0.31 | −0.38 |
| Residential | 0.20 | 0.60 | −0.08 | 0.29 |
| Grassland | 0.12 | −0.46 | 0.54 | 0.03 |
| NO3-N | 0.33 | 0.25 | 0.24 | −0.40 |
| NO2-N | 0.44 | 0.01 | −0.24 | −0.39 |
| NH4-N | 0.32 | −0.30 | 0.28 | 0.44 |
| Total_N | 0.43 | −0.22 | −0.15 | −0.07 |
| Total_P | 0.46 | −0.11 | −0.23 | 0.01 |
| PO43-P | 0.09 | 0.02 | 0.18 | −0.40 |
Disclaimer/Publisher’s Note: The statements, opinions and data contained in all publications are solely those of the individual author(s) and contributor(s) and not of MDPI and/or the editor(s). MDPI and/or the editor(s) disclaim responsibility for any injury to people or property resulting from any ideas, methods, instructions or products referred to in the content. |
© 2024 by the authors. Licensee MDPI, Basel, Switzerland. This article is an open access article distributed under the terms and conditions of the Creative Commons Attribution (CC BY) license (https://creativecommons.org/licenses/by/4.0/).
Share and Cite
Abesh, B.F.; Anderson, J.T.; Hubbart, J.A. Surface Water (SW) and Shallow Groundwater (SGW) Nutrient Concentrations in Riparian Wetlands of a Mixed Land-Use Catchment. Land 2024, 13, 409. https://doi.org/10.3390/land13040409
Abesh BF, Anderson JT, Hubbart JA. Surface Water (SW) and Shallow Groundwater (SGW) Nutrient Concentrations in Riparian Wetlands of a Mixed Land-Use Catchment. Land. 2024; 13(4):409. https://doi.org/10.3390/land13040409
Chicago/Turabian StyleAbesh, Bidisha Faruque, James T. Anderson, and Jason A. Hubbart. 2024. "Surface Water (SW) and Shallow Groundwater (SGW) Nutrient Concentrations in Riparian Wetlands of a Mixed Land-Use Catchment" Land 13, no. 4: 409. https://doi.org/10.3390/land13040409
APA StyleAbesh, B. F., Anderson, J. T., & Hubbart, J. A. (2024). Surface Water (SW) and Shallow Groundwater (SGW) Nutrient Concentrations in Riparian Wetlands of a Mixed Land-Use Catchment. Land, 13(4), 409. https://doi.org/10.3390/land13040409

