A Hybrid Approach for Assessing Aquifer Health Using the SWAT Model, Tree-Based Classification, and Deep Learning Algorithms
Abstract
1. Introduction
2. Study Area
Geological Setting of the Study Area
3. Materials and Methods
3.1. Data Inputs and Thematic Map Preparation
3.2. Methods for Electrical Resistivity Tomography (ERT)
3.3. Methods for SWAT Modelling, Tree-Based Classification, and Deep Learning Approaches
3.3.1. Soil and Water Assessment Tool
3.3.2. Decision Tree
3.3.3. Random Forest
3.3.4. Convolutional Neural Network (CNN)
3.4. Multicollinearity of Aquifer Health Conditioning Factors
3.5. Rationale for the Hybrid Modelling Framework
4. Results and Discussion
4.1. Hydrogeological Conditioning Variables
4.1.1. Principal Aquifer Media
4.1.2. Lineament Density
4.1.3. Soil Texture
4.1.4. Slope
4.1.5. Lithology
4.1.6. Precipitation
4.1.7. Surface Runoff
4.1.8. Groundwater Recharge
4.1.9. Soil Water Content
4.1.10. Lateral Flow
4.1.11. Base Flow
4.1.12. Return Flow
4.1.13. Groundwater Level Fluctuation
4.1.14. Pond Density
4.2. Water Quality Parameters
Water Quality Index
4.3. Socioeconomic Variables
4.3.1. Groundwater Extraction for Domestic Purposes
4.3.2. Groundwater Extraction for Irrigation Purposes
4.3.3. Groundwater Extraction for Industrial Purposes
4.3.4. Stage of Groundwater Extraction
4.3.5. Land Use and Land Cover (LULC)
4.4. Discussion
Aquifer Health Assessment
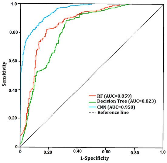
5. Validation
6. Conclusions
- Integrated Approach: a novel hybrid framework combining SWAT, tree-based classification, and CNN effectively assesses aquifer health, addressing a gap in existing groundwater sustainability studies.
- Model Performance: the CNN model showed superior classification accuracy (AUC-ROC = 0.95), while Random Forest achieved high recall, ensuring balanced identification of both healthy and critical zones.
- Practical Utility: Electrical Resistivity Tomography (ERT) validation confirmed the CNN-based aquifer health maps, demonstrating the approach’s reliability and potential for replicable groundwater management in semi-arid, hard-rock terrains.
Supplementary Materials
Author Contributions
Funding
Data Availability Statement
Acknowledgments
Conflicts of Interest
References
- Tamblyn, D. Aquifer health: Concept, critique, and vital signs. Aquifer Health 2017, 1–10. [Google Scholar] [CrossRef]
- Fogg, G.E. Groundwater flow and sand body interconnectedness in a thick, multiple-aquifer system. Water Resour. Res. 1986, 22, 679–694. [Google Scholar] [CrossRef]
- Neuzil, C.E. Groundwater flow in low-permeability environments. Water Resour. Res. 1986, 22, 1163–1195. [Google Scholar] [CrossRef]
- Arfanuzzaman, M.; Atiq Rahman, A. Sustainable water demand management in the face of rapid urbanization and ground water depletion for social–ecological resilience building. Glob. Ecol. Conserv. 2017, 10, 9–22. [Google Scholar] [CrossRef]
- Gunda, T.; Hess, D.; Hornberger, G.M.; Worland, S. Water security in practice: The quantity-quality-society nexus. Water Secur. 2019, 6, 100022. [Google Scholar] [CrossRef]
- Srivastav, A.L.; Dhyani, R.; Ranjan, M.; Madhav, S.; Sillanpää, M. Climate-resilient strategies for sustainable management of water resources and agriculture. Environ. Sci. Pollut. Res. 2021, 28, 41576–41595. [Google Scholar] [CrossRef] [PubMed]
- Hayton, R.D. The law of international aquifers. Nat. Resour. J. 1982, 22, 71–93. [Google Scholar]
- Eden, S.; Megdal, S.; Shamir, E.; Chief, K.; Mott Lacroix, K. Opening the black box: Using a hydrological model to link stakeholder engagement with groundwater management. Water 2016, 8, 216. [Google Scholar] [CrossRef]
- Dillon, P. Future management of aquifer recharge. Hydrogeol. J. 2005, 13, 313–316. [Google Scholar] [CrossRef]
- Kimrey, J.O. Artificial recharge of groundwater and its role in water management. Desalination 1989, 72, 135–147. [Google Scholar] [CrossRef]
- Singh, P.K.; Kumar, U.; Kumar, I.; Dwivedi, A.; Singh, P.; Mishra, S.; Seth, C.S.; Sharma, R.K. Critical review on toxic contaminants in surface water ecosystem: Sources, monitoring, and its impact on human health. Environ. Sci. Pollut. Res. 2024, 31, 56428–56462. [Google Scholar] [CrossRef] [PubMed]
- Nouri, M.; Homaee, M.; Pereira, L.S.; Bybordi, M. Water management dilemma in the agricultural sector of Iran: A review focusing on water governance. Agric. Water Manag. 2023, 288, 108480. [Google Scholar] [CrossRef]
- Bera, A.; Baranval, N.K.; Kumar, R.; Pal, S.K. Groundwater drought risk assessment in the semi-arid Kansai River basin, West Bengal, India using swat and machine learning models. Groundw. Sustain. Dev. 2024, 26, 101254. [Google Scholar] [CrossRef]
- La Vigna, F. Review: Urban groundwater issues and resource management, and their roles in the resilience of cities. Hydrogeol. J. 2022, 30, 1657–1683. [Google Scholar] [CrossRef]
- Kumar, R.; Pal, S.K.; Gupta, P.K. Water seepage mapping in an underground coal-mine barrier using self-potential and electrical resistivity tomography. Mine Water Environ. 2021, 40, 622–638. [Google Scholar] [CrossRef]
- Kumar, R.; Bera, A.; Srivastava, S.; Pal, S.K. Integrating physiographical and geophysical analyses for the remediation of a water-filled abandoned coal mining site in Chasnala colliery, Jharkhand, India. J. Earth Syst. Sci. 2024, 133, 161. [Google Scholar] [CrossRef]
- Balasco, M.; Lapenna, V.; Rizzo, E.; Telesca, L. Deep electrical resistivity tomography for geophysical investigations: The state of the art and future directions. Geosciences 2022, 12, 438. [Google Scholar] [CrossRef]
- Saha, R.; Chiravuri, S.S.; Das, I.C.; Kandrika, S.; Kumranchat, V.K.; Chauhan, P.; Chitikela, V.L. Urban aquifer health assessment and its management for sustainable water supply: An innovative approach using machine learning techniques. Groundw. Sustain. Dev. 2024, 25, 101130. [Google Scholar] [CrossRef]
- Barua, S.; Mukhopadhyay, B.P.; Bera, A. integrated assessment of groundwater potential zone under agricultural dominated areas in the western part of Dakshin Dinajpur district, West Bengal, India. Arab. J. Geosci. 2021, 14, 1042. [Google Scholar] [CrossRef]
- Bai, Z.; Liu, Q.; Liu, Y. Groundwater potential mapping in Hubei region of China using machine learning, ensemble learning, deep learning and automl methods. Nat. Resour. Res. 2022, 31, 2549–2569. [Google Scholar] [CrossRef]
- Bera, A.; Mukhopadhyay, B.P. Identification of suitable sites for surface rainwater harvesting in the drought prone Kumari River basin, India in the context of irrigation water management. J. Hydrol. 2023, 621, 129655. [Google Scholar] [CrossRef]
- Fatah, K.K.; Mustafa, Y.T.; Hassan, I.O. Groundwater potential mapping in arid and semi-arid regions of Kurdistan region of Iraq: A geoinformatics-based machine learning approach. Groundw. Sustain. Dev. 2024, 27, 101337. [Google Scholar] [CrossRef]
- Prajapati, R.; Mukherjee, B.; Singh, U.K.; Sain, K. Machine learning assisted lithology prediction using geophysical logs: A case study from Cambay basin. J. Earth Syst. Sci. 2024, 133, 108. [Google Scholar] [CrossRef]
- Bertrand, G.; Petelet-Giraud, E.; Cary, L.; Hirata, R.; Montenegro, S.; Paiva, A.; Mahlknecht, J.; Coelho, V.; Almeida, C. Delineating groundwater contamination risks in southern coastal metropoles through implementation of geochemical and socio-environmental data in decision-tree and geographical information system. Water. Res. 2022, 209, 117877. [Google Scholar] [CrossRef]
- Wang, Y.; Yu, Y.; Luo, X.; Tan, Q.; Fu, Y.; Zheng, C.; Wang, D.; Chen, N. Prioritizing ecological restoration in hydrologically sensitive areas to improve groundwater quality. Water Res. 2024, 252, 121247. [Google Scholar] [CrossRef]
- Gómez-Escalonilla, V.; Montero-González, E.; Díaz-Alcaide, S.; Martín-Loeches, M.; del Rosario, M.R.; Martínez-Santos, P. A machine learning approach to site groundwater contamination monitoring wells. Appl. Water Sci. 2024, 14, 250. [Google Scholar] [CrossRef]
- Riaz, M.T.; Riaz, M.T.; Rehman, A.; Bindajam, A.A.; Mallick, J.; Abdo, H.G. An integrated approach of support vector machine (SVM) and weight of evidence (WOE) techniques to map groundwater potential and assess water quality. Sci. Rep. 2024, 14, 26186. [Google Scholar] [CrossRef]
- Navale, V.; Mhaske, S. Artificial Neural Network (ANN) and Adaptive Neuro-Fuzzy Inference System (ANFIS) model for forecasting groundwater level in the Pravara River basin, India. Model Earth Syst. Environ. 2023, 9, 2663–2676. [Google Scholar] [CrossRef]
- Saleh, M.A.; Rasel, H.M. Machine learning for groundwater levels: Uncovering the best predictors. Sustain. Water Resour. Manag. 2024, 10, 166. [Google Scholar] [CrossRef]
- Dey, B.; Abir, K.A.M.; Ahmed, R.; Salam, M.A.; Redowan, M.; Miah, M.D.; Iqbal, M.A. Monitoring groundwater potential dynamics of north-eastern Bengal Basin in Bangladesh using AHP-machine learning Approaches. Ecol. Indic. 2023, 154, 110886. [Google Scholar] [CrossRef]
- Roy, D.K.; Sarkar, T.K.; Munmun, T.H.; Paul, C.R.; Datta, B. A review on the applications of machine learning and deep learning to groundwater salinity modeling: Present status, challenges, and future directions. Discov. Water 2025, 5, 16. [Google Scholar] [CrossRef]
- Cao, M.; Dai, Z.; Chen, J.; Yin, H.; Zhang, X.; Wu, J.; Thanh, H.V.; Soltanian, M.R. An integrated framework of deep learning and entropy theory for enhanced high-dimensional permeability field identification in heterogeneous aquifers. Water. Res. 2025, 268, 122706. [Google Scholar] [CrossRef] [PubMed]
- Al Khoury, I.; Boithias, L.; Labat, D. A review of the application of the Soil and Water Assessment Tool (SWAT) in Karst Watersheds. Water 2023, 15, 954. [Google Scholar] [CrossRef]
- Chatterjee, R.; Tarafder, G.; Paul, S. Groundwater quality assessment of Dhanbad district, Jharkhand, India. Bull. Eng. Geol. Environ. 2010, 69, 137–141. [Google Scholar] [CrossRef]
- Singh, A.K.; Mondal, G.C.; Singh, T.B.; Singh, S.; Tewary, B.K.; Sinha, A. Hydrogeochemical processes and quality assessment of groundwater in Dumka and Jamtara districts, Jharkhand, India. Environ. Earth Sci. 2012, 67, 2175–2191. [Google Scholar] [CrossRef]
- Ghosh, A.; Tiwari, A.K.; Das, S. A GIS based DRASTIC model for assessing groundwater vulnerability of Katri watershed, Dhanbad, India. Model. Earth Syst. Environ. 2015, 1, 11. [Google Scholar] [CrossRef]
- Mahato, M.K.; Singh, P.K.; Tiwari, A.K. Hydrogeochemical evaluation of groundwater quality and seasonal variation in east Bokaro coalfield region, Jharkhand. J. Geol. Soc. India. 2016, 88, 173–184. [Google Scholar] [CrossRef]
- Mahato, M.K.; Singh, G.; Giri, S.; Mishra, L.P.; Tiwari, A.K. Quantitative assessment of groundwater resource potential in a coalfield of Damodar River basin India. Sustain. Water Resour. Manag. 2018, 4, 509–517. [Google Scholar] [CrossRef]
- Pramanik, A.K.; Majumdar, D.; Chatterjee, A. Groundwater hydrochemistry and consumption patterns in Chandwara community development block of Jharkhand state in India. Appl. Water. Sci. 2022, 12, 60. [Google Scholar] [CrossRef]
- Ashwini, K.; Verma, R.K.; Sriharsha, S.; Chourasiya, S.; Singh, A. Delineation of groundwater potential zone for sustainable water resources management using remote sensing-gis and analytic hierarchy approach in the state of Jharkhand, India. Groundw. Sustain. Dev. 2023, 21, 100908. [Google Scholar] [CrossRef]
- Ghosh, M.; Sahu, A.S. Delineation of groundwater potential zones using AHP and GIS techniques: A case study in Barakar River basin, India. Arab. J. Geosci. 2023, 16, 157. [Google Scholar] [CrossRef]
- Yadav, A.K.; Singh, A.K.; Chaturvedi, A.; Kumar, D.; Shukla, V.; Kumar, S.; Kumar, N. Hydrochemical investigation of groundwater quality for drinking and irrigational purposes from industrial belt of Jharkhand, India. Environ. Qual. Manag. 2024, 33, 611–622. [Google Scholar] [CrossRef]
- Pascoe, E. A Manual of the Geology of India and Bunna; Geologic Survey of India: Delhi, India, 1964; Volume 3, pp. 1–826. [Google Scholar]
- Cashyap, S.M.; Tewari, R.C. Depositional model and tectonic evolution of Gondwana Basins. J. Palaeosci. 1987, 36, 59–66. [Google Scholar] [CrossRef]
- Maji, A.K.; Goon, S.; Bhattacharya, A.; Mishra, B.; Mahato, S.; Bernhardt, H.J. Proterozoic Polyphase metamorphism in the Chhotanagpur Gneissic Complex (India), and implication for Trans-Continental Gondwanaland correlation. Precambrian Res. 2008, 162, 385–402. [Google Scholar] [CrossRef]
- Prasad, B.; Pundir, B.S. Gondwana Biostratigraphy and Geology of West Bengal Basin, and Its Correlation with Adjoining Gondwana Basins of India and Western Bangladesh. J. Earth Syst. Sci. 2020, 129, 22. [Google Scholar] [CrossRef]
- Panigrahy, B.P.; Behera, G.S.; Desinayak, N.; Singh, R.K.; Nayak, S. Delineation of groundwater potential zones in Jharia coalfield region using geostatistics, remote sensing, and GIS techniques. In Geospatial Technologies for Integrated Water Resources Management. GIScience and Geo-Environmental Modelling; Springer: Cham, Switzerland, 2024; pp. 35–48. [Google Scholar] [CrossRef]
- Valdiya, K.S. Archaean cratons in central, eastern and western India. In The Making of India. Society of Earth Scientists Series; Springer: Cham, Switzerland, 2016; pp. 75–123. [Google Scholar] [CrossRef]
- Saikia, A.; Gogoi, B.; Ahmad, M.; Kumar, R.; Kaulina, T.; Bayanova, T. Mineral chemistry, Sr–Nd isotope geochemistry and petrogenesis of the granites of Bathani volcano-sedimentary sequence from the northern fringe of Chotanagpur Granite Gneiss Complex of eastern India. In Geological Evolution of the Precambrian Indian Shield. Society of Earth Scientists Series; Springer: Cham, Switzerland, 2019; pp. 79–120. [Google Scholar] [CrossRef]
- CGWB. Report on Dynamic Ground Water Resource Estimation of Jharkhand (2022); Central Ground Water Board, State Unit Office, Ranchi/Mid-Eastern Region: Patna, India, 2023.
- Knappett, P.S.K.; Mailloux, B.J.; Choudhury, I.; Khan, M.R.; Michael, H.A.; Barua, S.; Mondal, D.R.; Steckler, M.S.; Akhter, S.H.; Ahmed, K.M.; et al. Vulnerability of Low-Arsenic Aquifers to Municipal Pumping in Bangladesh. J. Hydrol. 2016, 539, 674–686. [Google Scholar] [CrossRef]
- Piper, A.M. A graphic procedure in the geochemical interpretation of water-analyses. Eos Trans. Am. Geophys. Union 1944, 25, 914–928. [Google Scholar] [CrossRef]
- WHO. Guidelines for Drinking-Water Quality: Fourth Edition Incorporating the First Addendum; WHO: Geneva, Switzerland, 2017.
- Vasanthavigar, M.; Srinivasamoorthy, K.; Vijayaragavan, K.; Rajiv Ganthi, R.; Chidambaram, S.; Anandhan, P.; Manivannan, R.; Vasudevan, S. Application of water quality index for groundwater quality assessment: Thirumanimuttar sub-basin, Tamilnadu, India. Environ. Monit. Assess. 2010, 171, 595–609. [Google Scholar] [CrossRef]
- Verma, P.; Singh, P.K.; Sinha, R.R.; Tiwari, A.K. Assessment of groundwater quality status by using water quality index (WQI) and geographic information system (GIS) approaches: A case study of the Bokaro district, India. Appl. Water Sci. 2020, 10, 27. [Google Scholar] [CrossRef]
- Md Towfiqul Islam, A.R.; Siddiqua, M.T.; Zahid, A.; Tasnim, S.S.; Rahman, M.M. Drinking appraisal of coastal groundwater in Bangladesh: An approach of multi-hazards towards water security and health safety. Chemosphere 2020, 255, 126933. [Google Scholar] [CrossRef]
- Rahman, M.; Haque, M.M.; Tareq, S.M. Appraisal of groundwater vulnerability in south-central part of bangladesh using DRASTIC model: An approach towards groundwater protection and health safety. Environ. Chall. 2021, 5, 100391. [Google Scholar] [CrossRef]
- Ramesh, H.; Mahesha, A. Simulation of varada aquifer system for sustainable groundwater development. J. Irrig. Drain. Eng. 2008, 134, 387–399. [Google Scholar] [CrossRef]
- Lutz, A.; Minyila, S.; Saga, B.; Diarra, S.; Apambire, B.; Thomas, J. Fluctuation of groundwater levels and recharge patterns in Northern Ghana. Climate 2014, 3, 1–15. [Google Scholar] [CrossRef]
- Shekhar, S.; Ghosh, M.; Pandey, A.C.; Tirkey, A.S. Impact of geology and geomorphology on fluoride contaminated groundwater in hard rock terrain of India using geoinformatics approach. Appl. Water Sci. 2017, 7, 2943–2956. [Google Scholar] [CrossRef]
- Saha, R.; Baranval, N.K.; Das, I.C.; Kumaranchat, V.K.; Reddy, K.S. Application of machine learning and geospatial techniques for groundwater potential mapping. J. Indian Soc. Remote Sens. 2022, 50, 1995–2010. [Google Scholar] [CrossRef]
- Jenks, G.F. The data model concept in statistical mapping. Int. Yearb Cartogr. 1967, 7, 186–190. [Google Scholar]
- Loke, M.H.; Lane, J.W. Inversion of data from electrical resistivity imaging surveys in water-covered areas. Explor. Geophys. 2004, 35, 266–271. [Google Scholar] [CrossRef]
- Dahlin, T.; Zhou, B. A numerical comparison of 2D resistivity imaging with 10 electrode arrays. Geophys. Prospect. 2004, 52, 379–398. [Google Scholar] [CrossRef]
- Moreira, C.A.; Netto, L.G.; de Siqueira Buchi, F.M.; Hansen, M.A.F.; Masquelin, H.; Lima, J.P.R. Using electrical resistivity tomography to understand the hydrogeological behavior of acid drainage percolation in a fractured aquifer at a uranium mining site. Mine Water Environ. 2024, 43, 431–448. [Google Scholar] [CrossRef]
- Dahlin, T.; Loke, M.H. Underwater ERT surveying in water with resistivity layering with example of application to site investigation for a rock tunnel in Central Stockholm. Near Surf. Geophys. 2018, 16, 230–237. [Google Scholar] [CrossRef]
- Robinson, J.; Johnson, T.; Slater, L. Challenges and opportunities for fractured rock imaging using 3D cross-borehole electrical resistivity. Geophysics 2015, 80, 49–61. [Google Scholar] [CrossRef]
- McLachlan, P.J.; Chambers, J.E.; Uhlemann, S.S.; Binley, A. Geophysical characterisation of the groundwater–surface water interface. Adv. Water Resour. 2017, 109, 302–319. [Google Scholar] [CrossRef]
- Arnold, J.G.; Srinivasan, R.; Muttiah, R.S.; Williams, J.R. Large area hydrologic modeling and assessment part I: Model development1. J. Am. Water Resour. Assoc. 1998, 34, 73–89. [Google Scholar] [CrossRef]
- Janjić, J.; Tadić, L. Fields of application of SWAT hydrological model—A review. Earth 2023, 4, 331–344. [Google Scholar] [CrossRef]
- Alawi, S.A.; Özkul, S. Evaluation of satellite-based precipitation data sets in hydrological modeling using Soil & Water Assessment Tool (SWAT). Arab. J. Geosci. 2023, 16, 340. [Google Scholar] [CrossRef]
- Tan, M.L.; Armanuos, A.M.; Ahmadianfar, I.; Demir, V.; Heddam, S.; Al-Areeq, A.M.; Abba, S.I.; Halder, B.; Cagan Kilinc, H.; Yaseen, Z.M. Evaluation of NASA POWER and ERA5-Land for estimating tropical precipitation and temperature extremes. J. Hydrol. 2023, 624, 129940. [Google Scholar] [CrossRef]
- Kadhim Tayyeh, H.; Mohammed, R. Analysis of NASA POWER reanalysis products to predict temperature and precipitation in Euphrates river basin. J. Hydrol. 2023, 619, 129327. [Google Scholar] [CrossRef]
- Setiya, P.; Singh, M.; Nain, A.S. Evaluating the performance of grid IMD, NASA POWER, and MarkSim timeseries weather dataset for Uttarakhand climatic condition. Theor. Appl. Climatol. 2024, 155, 2657–2668. [Google Scholar] [CrossRef]
- Pal, M.; Mather, P.M. An assessment of the effectiveness of decision tree methods for land cover classification. Remote Sens. Environ. 2003, 86, 554–565. [Google Scholar] [CrossRef]
- Muñoz-Mas, R.; Fukuda, S.; Vezza, P.; Martínez-Capel, F. Comparing four methods for decision-tree induction: A case study on the Invasive Iberian Gudgeon (Gobio Lozanoi; Doadrio and Madeira, 2004). Ecol. Inform. 2016, 34, 22–34. [Google Scholar] [CrossRef]
- Pappaka, R.K.; Nakkala, A.B.; Badapalli, P.K.; Gugulothu, S.; Anguluri, R.; Hasher, F.F.B.; Zhran, M. Machine learning-driven groundwater potential zoning using geospatial analytics and random forest in the Pandameru river basin, South India. Sustainability 2025, 17, 3851. [Google Scholar] [CrossRef]
- Mondal, S.; Parveen, M.T.; Alam, A.; Rukhsana; Islam, N.; Calka, B.; Bashir, B.; Zhran, M. Future site suitability for urban waste management in English Bazar and Old Malda municipalities, West Bengal: A geospatial and machine learning approach. ISPRS Int. J. Geoinf. 2024, 13, 388. [Google Scholar] [CrossRef]
- Mukherjee, B.; Kar, S.; Sain, K. Machine learning assisted state-of-the-art-of petrographic classification from geophysical logs. Pure. Appl. Geophys. 2024, 181, 2839–2871. [Google Scholar] [CrossRef]
- Banerjee, A.; Mukherjee, B.; Sain, K. Machine learning assisted model based petrographic classification: A case study from Bokaro coal field. Acta Geod. Geophys. 2024, 59, 463–490. [Google Scholar] [CrossRef]
- Liu, Y.; Pu, H.; Sun, D.-W. Efficient extraction of deep image features using convolutional neural network (CNN) for applications in detecting and analysing complex food matrices. Trends Food Sci. Technol. 2021, 113, 193–204. [Google Scholar] [CrossRef]
- Ouma, Y.O.; Omai, L. Flood susceptibility mapping using image-based 2D-CNN deep learning: Overview and case study application using multiparametric spatial data in data-scarce urban environments. Int. J. Intell. Syst. 2023, 2023, 5672401. [Google Scholar] [CrossRef]
- Gu, J.; Wang, Z.; Kuen, J.; Ma, L.; Shahroudy, A.; Shuai, B.; Liu, T.; Wang, X.; Wang, G.; Cai, J.; et al. Recent advances in convolutional neural networks. Pattern Recognit. 2018, 77, 354–377. [Google Scholar] [CrossRef]
- Barman, J.; Ali, S.S.; Nongrem, T.; Biswas, B.; Rao, K.S.; Pramanik, M.; Hasher, F.F.B.; Zhran, M. Comparing the effectiveness of landslide susceptibility mapping by using the frequency ratio and hybrid MCDM models. Results Eng. 2024, 24, 103205. [Google Scholar] [CrossRef]
- Chakrabortty, R.; Kumar, A.; Mishuk, S.R.; Pramanik, M.; Avtar, R.; Manna, H.; Zhran, M. Assessment of urban environment quality using analytical hierarchical process and multi-dimensional decomposition analysis for Mumbai metropolitan region, India. Adv Space Res. 2025, 75, 2792–2809. [Google Scholar] [CrossRef]
- Gaffoor, Z.; Pietersen, K.; Jovanovic, N.; Bagula, A.; Kanyerere, T. Big data analytics and its role to support groundwater management in the Southern African development community. Water 2020, 12, 2796. [Google Scholar] [CrossRef]
- Sheik, A.G.; Kumar, A.; Sharanya, A.G.; Amabati, S.R.; Bux, F.; Kumari, S. Machine Learning-Based Monitoring and Design of Managed Aquifer Rechargers for Sustainable Groundwater Management: Scope and Challenges. Environ. Sci. Pollut. Res. 2024, 1–34. [Google Scholar] [CrossRef] [PubMed]
- Fowles, J.; Burley, S. Textural and permeability characteristics of faulted, high porosity sandstones. Mar. Pet. Geol. 1994, 11, 608–623. [Google Scholar] [CrossRef]
- Wang, H.; Xu, W.; Zuo, J. Compact rock material gas permeability properties. Phys. B Condens. Matter 2014, 449, 10–18. [Google Scholar] [CrossRef]
- Singh, P.K.; Roy, M.P.; Paswan, R.K. Controlled blasting for long term stability of pit-walls. Int. J. Rock Mech. Min. Sci. 2014, 70, 388–399. [Google Scholar] [CrossRef]
- Meles, M.B.; Bradford, S.; Casillas-Trasvina, A.; Chen, L.; Osterman, G.; Hatch, T.; Ajami, H.; Crompton, O.; Levers, L.; Kisekka, I. Uncovering the gaps in managed aquifer recharge for sustainable groundwater management: A focus on hillslopes and mountains. J. Hydrol. 2024, 639, 131615. [Google Scholar] [CrossRef]
- Bera, A.; Mukhopadhyay, B.P.; Chowdhury, P.; Ghosh, A.; Biswas, S. Groundwater vulnerability assessment using GIS-based DRASTIC model in Nangasai River basin, India with special emphasis on agricultural contamination. Ecotoxicol. Environ. Saf. 2021, 214, 112085. [Google Scholar] [CrossRef]
- Grinevskii, S.O. The effect of topography on the formation of groundwater recharge. Mosc. Univ. Geol. Bull. 2014, 69, 47–52. [Google Scholar] [CrossRef]
- Olabode, O.F. Potential groundwater recharge sites mapping in a typical basement terrain: A GIS methodology approach. J. Geovis. Spat. Anal. 2019, 3, 5. [Google Scholar] [CrossRef]
- Mendhe, V.A.; Mishra, S.; Varma, A.K.; Kamble, A.D.; Bannerjee, M.; Sutay, T. Gas Reservoir characteristics of the Lower Gondwana shales in Raniganj basin of Eastern India. J. Pet. Sci. Eng. 2017, 149, 649–664. [Google Scholar] [CrossRef]
- Mandal, P.; Saha, J.; Bhattacharya, S.; Paul, S. Delineation of groundwater potential zones using the integration of geospatial and MIF techniques: A case study on Rarh region of West Bengal, India. Environ. Chall. 2021, 5, 100396. [Google Scholar] [CrossRef]
- Rath, S.; Hinge, G. Groundwater sustainability mapping for managed aquifer recharge in Dwarkeswar River basin: Integration of watershed modeling, multi-criteria decision analysis, and constraint mapping. Groundw. Sustain. Dev. 2024, 26, 101279. [Google Scholar] [CrossRef]
- Han, D.; Currell, M.J.; Cao, G.; Hall, B. Alterations to groundwater recharge due to anthropogenic landscape change. J. Hydrol. 2017, 554, 545–557. [Google Scholar] [CrossRef]
- Koeniger, P.; Gaj, M.; Beyer, M.; Himmelsbach, T. Review on soil water isotope-based groundwater recharge estimations. Hydrol. Process. 2016, 30, 2817–2834. [Google Scholar] [CrossRef]
- Ward, J.D.; Simmons, C.T.; Dillon, P.J.; Pavelic, P. Integrated assessment of lateral flow, density effects and dispersion in aquifer storage and recovery. J Hydrol. 2009, 370, 83–99. [Google Scholar] [CrossRef]
- Winter, T.C. Recent advances in understanding the interaction of groundwater and surface water. Rev. Geophys. 1995, 33, 985–994. [Google Scholar] [CrossRef]
- Kuss, A.J.M.; Gurdak, J.J. Groundwater level response in U.S. principal aquifers to ENSO, NAO, PDO, and AMO. J. Hydrol. 2014, 519, 1939–1952. [Google Scholar] [CrossRef]
- Verma, K.; Manisha, M.; Santrupt, R.M.; Anirudha, T.P.; Goswami, S.; Sekhar, M.; Ramesh, N.; M S, M.K.; Chanakya, H.N.; Rao, L. Assessing groundwater recharge rates, water quality changes, and agricultural impacts of large-scale water recycling. Sci. Total Environ. 2023, 877, 162869. [Google Scholar] [CrossRef]
- Aeschbach-Hertig, W.; Gleeson, T. Regional strategies for the accelerating global problem of groundwater depletion. Nat. Geosci. 2012, 5, 853–861. [Google Scholar] [CrossRef]
- Acharya, B.S.; Kharel, G.; Zou, C.B.; Wilcox, B.P.; Halihan, T. Woody plant encroachment impacts on groundwater recharge: A review. Water 2018, 10, 1466. [Google Scholar] [CrossRef]
- Tota-Maharaj, K.; Karunanayake, C.; Kunwar, K.; Chadee, A.A.; Azamathulla, H.M.; Rathnayake, U. Evaluation of permeable pavement systems (PPS) as best management practices for stormwater runoff control: A review. Water Conserv. Sci. Eng. 2024, 9, 32. [Google Scholar] [CrossRef]
- Jang, W.S.; Engel, B.; Yeum, C.M. Integrated environmental modeling for efficient aquifer vulnerability assessment using machine learning. Environ. Model. Softw. 2020, 124, 104602. [Google Scholar] [CrossRef]
- Marshall, S.R.O.; Tran, T.N.D.; Tapas, M.R.; Nguyen, B.Q. Integrating artificial intelligence and machine learning in hydrological modeling for sustainable resource management. Int. J. River Basin Manag. 2025, 1–17. [Google Scholar] [CrossRef]
- Alshehri, F.; Rahman, A. Coupling machine and deep learning with explainable artificial intelligence for improving prediction of groundwater quality and decision-making in arid region, Saudi Arabia. Water 2023, 15, 2298. [Google Scholar] [CrossRef]
- Senthilkumar, S.; Reddy, A.B.; Alphy, A.; Velusamy, J.; Indra, J.; Rajagopal, M. Mapping of groundwater availability in dry areas of rural and urban regions in India using IOT assisted deep learning classification model. Groundw. Sustain. Dev. 2024, 25, 101098. [Google Scholar] [CrossRef]
- Braham, M.; Boufekane, A.; Bourenane, H.; Nait Amara, B.; Bensalem, R.; Oubaiche, E.H.; Bouhadad, Y. Identification of groundwater potential zones using remote sensing, GIS, machine learning and electrical resistivity tomography techniques in Guelma basin, northeastern Algeria. Geocarto Int. 2022, 37, 12042–12072. [Google Scholar] [CrossRef]
- Giampaolo, V.; Dell’Aversana, P.; Capozzoli, L.; De Martino, G.; Rizzo, E. Optimization of aquifer monitoring through time-lapse electrical resistivity tomography integrated with machine-learning and predictive algorithms. Appl. Sci. 2022, 12, 9121. [Google Scholar] [CrossRef]
- Sharma, S.P.; Baranwal, V.C. Delineation of groundwater-bearing fracture zones in a hard rock area integrating very low frequency electromagnetic and resistivity data. J. Appl. Geophy. 2005, 57, 155–166. [Google Scholar] [CrossRef]
- Ammar, A.I.; Kamal, K.A. Resistivity method contribution in determining of fault zone and hydro-geophysical characteristics of carbonate aquifer, eastern desert, Egypt. Appl. Water Sci. 2018, 8, 1. [Google Scholar] [CrossRef]












| Water Quality Parameters | Minimum | Maximum | Mean | Median | Standard Deviation | Kurtosis | Skewness |
|---|---|---|---|---|---|---|---|
| EC (μS/cm) | 306.25 | 1217.42 | 657.24 | 619.94 | 164.21 | 0.95 | 0.76 |
| TDS (mg/L) | 199.06 | 791.32 | 427.07 | 402.97 | 106.70 | 0.96 | 0.77 |
| pH | 7.46 | 8.60 | 8.14 | 8.15 | 0.15 | 2.62 | −0.53 |
| HCO3− (mg/L) | 93.29 | 335.39 | 185.12 | 186.11 | 39.96 | 1.27 | 0.59 |
| Cl− (mg/L) | 15.96 | 207.91 | 80.86 | 79.66 | 28.96 | 3.59 | 1.18 |
| F− (mg/L) | 0.07 | 1.33 | 0.61 | 0.58 | 0.17 | 2.42 | 0.79 |
| NO3− (mg/L) | 0.00 | 160.58 | 35.24 | 28.61 | 25.57 | 3.07 | 1.40 |
| SO42− (mg/L) | 3.68 | 85.85 | 36.28 | 36.20 | 20.41 | −1.20 | 0.26 |
| TH (mg/L) | 100.12 | 422.31 | 222.35 | 214.41 | 54.22 | 1.84 | 1.06 |
| Ca2+ (mg/L) | 16.04 | 95.86 | 47.59 | 46.16 | 10.49 | 3.51 | 0.94 |
| Mg2+ (mg/L) | 4.96 | 64.95 | 25.12 | 23.82 | 10.43 | 0.89 | 0.86 |
| Na+ (mg/L) | 9.23 | 134.29 | 50.31 | 44.61 | 20.53 | 0.95 | 0.88 |
| K+ (mg/L) | 0.47 | 17.01 | 5.00 | 4.92 | 2.62 | 5.52 | 1.74 |
Disclaimer/Publisher’s Note: The statements, opinions and data contained in all publications are solely those of the individual author(s) and contributor(s) and not of MDPI and/or the editor(s). MDPI and/or the editor(s) disclaim responsibility for any injury to people or property resulting from any ideas, methods, instructions or products referred to in the content. |
© 2025 by the authors. Licensee MDPI, Basel, Switzerland. This article is an open access article distributed under the terms and conditions of the Creative Commons Attribution (CC BY) license (https://creativecommons.org/licenses/by/4.0/).
Share and Cite
Bera, A.; Dutta, L.; Pal, S.K.; Kumar, R.; Shukla, P.K.; Alkhuraiji, W.S.; Đurin, B.; Zhran, M. A Hybrid Approach for Assessing Aquifer Health Using the SWAT Model, Tree-Based Classification, and Deep Learning Algorithms. Water 2025, 17, 1546. https://doi.org/10.3390/w17101546
Bera A, Dutta L, Pal SK, Kumar R, Shukla PK, Alkhuraiji WS, Đurin B, Zhran M. A Hybrid Approach for Assessing Aquifer Health Using the SWAT Model, Tree-Based Classification, and Deep Learning Algorithms. Water. 2025; 17(10):1546. https://doi.org/10.3390/w17101546
Chicago/Turabian StyleBera, Amit, Litan Dutta, Sanjit Kumar Pal, Rajwardhan Kumar, Pradeep Kumar Shukla, Wafa Saleh Alkhuraiji, Bojan Đurin, and Mohamed Zhran. 2025. "A Hybrid Approach for Assessing Aquifer Health Using the SWAT Model, Tree-Based Classification, and Deep Learning Algorithms" Water 17, no. 10: 1546. https://doi.org/10.3390/w17101546
APA StyleBera, A., Dutta, L., Pal, S. K., Kumar, R., Shukla, P. K., Alkhuraiji, W. S., Đurin, B., & Zhran, M. (2025). A Hybrid Approach for Assessing Aquifer Health Using the SWAT Model, Tree-Based Classification, and Deep Learning Algorithms. Water, 17(10), 1546. https://doi.org/10.3390/w17101546

