Economic and Industrial Development SignificantlyContribute to Acidity and Ionic Compositions of Rainwaterin China
Abstract
1. Introduction
2. Materials and Methods
2.1. Data Collection
2.2. Location and Sampling
2.3. Data Processing and Statistical Analyses
3. Results
3.1. Spatial Variations Chemical Composition and pH of Rainwater
3.2. Temporal Variation of Rainwater Chemistry
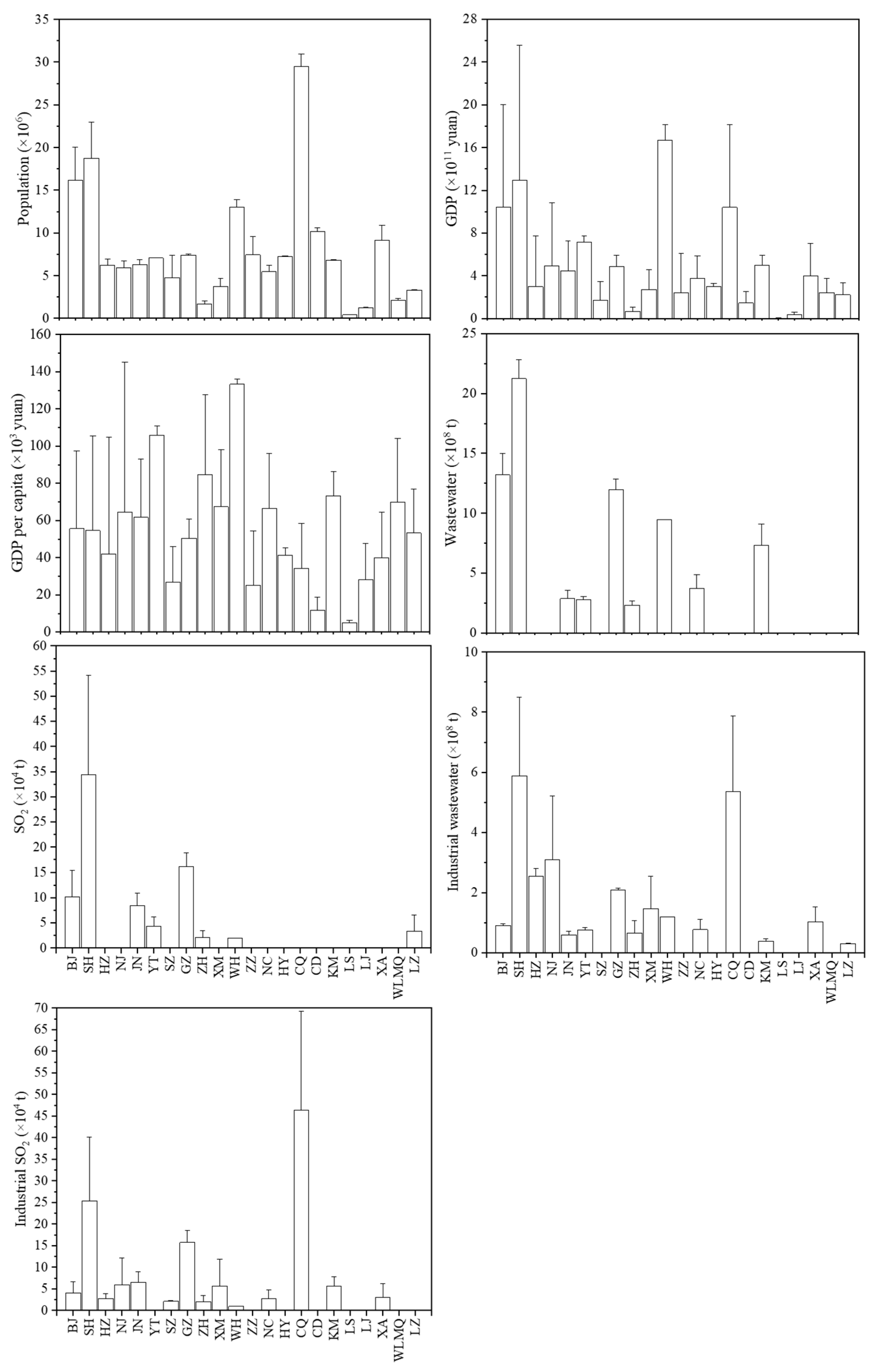
3.3. Socioeconomic Indicators
3.4. Correlation Analyses
3.5. Source Contributions
3.6. Comparison with Other Countries
4. Discussion
4.1. Regional Difference in Precipitation Chemistry
4.2. Temporal Variations of the Acidity and Ion Concentration
4.3. Ionic Sources and Socioeconomic Factors
4.4. The Potential Impact of Acid Rain on Aquatic Dissolved Carbon
5. Conclusions
Supplementary Materials
Author Contributions
Funding
Data Availability Statement
Acknowledgments
Conflicts of Interest
References
- Menz, F.C.; Seip, H.M. Acid rain in Europe and the United States: An update. Environ. Sci. Policy 2004, 7, 253–265. [Google Scholar]
- Wang, B.N.; Luo, X.; Liu, D.; Su, Y.; Wu, Z. The Effect of Construction Dust and Agricultural Fertilization on the Precipitation Chemical Composition during Summer in the Yangtze River Delta Area, China. Atmos. Pollut. Res. 2021, 12, 101121. [Google Scholar] [CrossRef]
- Barrie, L.A.; Hales, J.M. The spatial distributions of precipitation acidity and major ion wet deposition in North America during 1980. Tellus B 1984, 36, 333–355. [Google Scholar] [CrossRef]
- Ito, M.; Mitchell, M.; Driscoll, C.T. Spatial patterns of precipitation quantity and chemistry and air temperature in the Adirondack region of New York. Atmos. Environ. 2002, 36, 1051–1062. [Google Scholar] [CrossRef]
- Marquardt, W.; Bruggemann, E.; Auel, R.; Herrmann, H.; Moller, D. Trends of pollution in rain over East Germany caused by changing emissions. Tellus B 2001, 53, 529–545. [Google Scholar]
- Topcu, S.; Incecik, S.; Atimtay, A. Chemical composition of rainwater at EMEP station in Ankara, Turkey. Atmos. Res. 2002, 65, 77–92. [Google Scholar] [CrossRef]
- Avila, A.; Alarcon, M. Relations between precipitation chemistry and meteorological situations at a rural site in NE Spain. Atmos. Environ. 1999, 33, 1663–1667. [Google Scholar] [CrossRef]
- National Bureau of Statistics of the People’s Republic of China. China Environment Statistical Yearbook. 2022. Available online: http://www.stats.gov.cn/tjsj/ndsj (accessed on 10 May 2023).
- Zunckel, M.; Saizar, C.; Zarauz, J. Rainwater composition in northeast Uruguay. Atmos. Environ. 2003, 37, 1601–1611. [Google Scholar] [CrossRef]
- Zhang, M.; Wang, S.; Wu, F.; Yuan, X.; Zhang, Y. Chemical compositions of wet precipitation and anthropogenic influences at a developing urban site in southeastern China. Atmos. Res. 2007, 84, 311–322. [Google Scholar]
- Larssen, T.; Carmichael, G.R. Acid rain and acidification in China: The importance of base cation deposition. Environ. Pollut. 2000, 110, 89–102. [Google Scholar] [CrossRef]
- Das, R.; Das, S.; Misra, V. Chemical composition of rainwater and dustfall at Bhubaneswar in the east coast of India. Atmos. Environ. 2005, 39, 5908–5916. [Google Scholar] [CrossRef]
- Mouli, P.; Mohan, S.V.; Reddy, S.J. Rainwater chemistry at a regional representative urban site: Influence of terrestrial sources on ionic composition. Atmos. Environ. 2005, 39, 999–1008. [Google Scholar] [CrossRef]
- Roy, S.; Negrel, P. A Pb isotope and trace element study of rainwater from the Massif Central (France). Sci. Total Environ. 2001, 277, 225–239. [Google Scholar] [CrossRef]
- Chetelat, B.; Gaillardet, J.; Freydier, R.; Negrel, P. Boron isotopes in precipitation: Experimental constraints and field evidence from French Guiana. Earth Planet. Sci. Lett. 2005, 235, 16–30. [Google Scholar] [CrossRef]
- Xiao, H.W.; Xiao, H.Y.; Long, A.M.; Wang, Y.L.; Liu, C.Q. Chemical composition source apportionment of rainwater at Guiyang SWChina. J. Atmos. Chem. 2013, 70, 269–281. [Google Scholar] [CrossRef]
- Budhavant, K.B.; Rao, P.S.P.; Safai, P.D.; Ali, K. Influence of local sources on rainwater chemistry over Pune region, India. Atmos. Res. 2011, 100, 121–131. [Google Scholar] [CrossRef]
- Li, Y.; Yu, X.L.; Cheng, H.B.; Lin, W.L.; Tang, J.; Wang, S.F. Chemical characteristics of precipitation at three Chinese regional background stations from 2006 to 2007. Atmos. Res. 2010, 96, 173–183. [Google Scholar]
- Wu, Y.; Xu, Z.; Liu, W.; Zhao, T.; Zhang, X.; Jiang, H.; Yu, C.; Zhou, L.; Zhou, X. Chemical compositions of precipitation at three non-urban sites of Hebei Province, North China: Influence of terrestrial sources on ionic composition. Atmos. Res. 2016, 181, 115–123. [Google Scholar] [CrossRef]
- Cao, Y.Z.; Wang, S.; Zhang, G.; Luo, J.; Lu, S. Chemical characteristics of wet precipitation at an urban site of Guangzhou, South China. Atmos. Res. 2009, 94, 462–469. [Google Scholar]
- Zhou, X.D.; Xu, Z.; Liu, W.; Wu, Y.; Zhao, T.; Jiang, H.; Zhang, X.; Zhang, J.; Zhou, L.; Wang, Y. Chemical composition of precipitation in Shenzhen, a coastal mega-city in South China: Influence of urbanization and anthropogenic activities on acidity and ionic composition. Sci. Total Environ. 2019, 662, 218–226. [Google Scholar] [CrossRef]
- Wang, W.X.; Xu, P.J. Research progress in precipitation chemistry in China. Prog. Chem. 2009, 21, 266–281. (In Chinese) [Google Scholar]
- Tositti, L.; Pieri, L.; Brattich, E.; Parmeggiani, S.; Ventura, F. Chemical characteristics of atmospheric bulk deposition in a semi-rural area of the Po Valley (Italy). J. Atmos. Chem. 2018, 75, 97–121. [Google Scholar] [CrossRef]
- National Bureau of Statistics of the People’s Republic of China. China Environment Statistical Yearbook. 2011. Available online: http://www.stats.gov.cn/tjsj/ndsj (accessed on 16 May 2023).
- Tiwari, S.; Hopke, P.K.; Thimmaiah, D.; Dumka, U.C.; Srivastava, A.K.; Bisht, D.S.; Rao, P.S.; Chate, D.M.; Srivastava, M.K.; Tripathi, S.N. Nature and sources of ionic species in precipitation across the Indo-Gangetic Plains, India. Aerosol Air Qual. Res. 2016, 16, 943–957. [Google Scholar] [CrossRef]
- Zhang, Y.; Shen, L.; Shuai, C.; Bian, J.; Zhu, M.; Tan, Y.; Ye, G. How is the environmental efficiency in the process of dramatic economic development in the Chinese cities? Ecol. Indic. 2019, 98, 349–362. [Google Scholar] [CrossRef]
- Xie, C.; Zhao, L.; Eastoe, C.; Liu, X.; Wang, N.; Zhang, Z.; Dong, X.; Liu, H. Precipitation stable isotope composition, moisture sources, and controlling factors in Xi’an, Northwest China. Atmos. Res. 2022, 280, 106428. [Google Scholar] [CrossRef]
- Liu, B.; Liu, Y.; Wang, W.; Li, C. Meteorological Drought Events and Their Evolution from 1960 to 2015 Using the Daily SWAP Index in Chongqing, China. Water 2021, 13, 1887. [Google Scholar] [CrossRef]
- Xu, L.; Chen, J.; Yang, L.; Yin, L.; Yu, J.; Qiu, T.; Hong, Y. Characteristics of total and methyl mercury in wet deposition in a coastal city, Xiamen, China: Concentrations, fluxes and influencing factors on Hg distribution in precipitation. Atmos. Environ. 2014, 99, 10–16. [Google Scholar] [CrossRef]
- Charlson, R.; Rodhe, H. Factors controlling the acidity of natural rainwater. Nature 1982, 295, 683–685. [Google Scholar] [CrossRef]
- Báez, A.; Belmont, R.; García, R.; Padilla, H.; Torres, M. Chemical composition of rainwater collected at a southwest site of Mexico City, Mexico. Atmos. Res. 2007, 86, 61–75. [Google Scholar] [CrossRef]
- Hu, G.P.; Balasubramanian, R.; Wu, C.D. Chemical characterization of rainwater at Singapore. Chemosphere 2003, 51, 747–755. [Google Scholar] [CrossRef]
- Okuda, T.; Iwase, T.; Ueda, H.; Suda, Y.; Tanaka, S.; Dokiya, Y.; Fushimi, K.; Hosoe, M. Long-term trend of chemical constituents in precipitation in Tokyo metropolitan area, Japan, from 1990–2002. Sci. Total Environ. 2005, 339, 127–141. [Google Scholar] [CrossRef]
- Migliavacca, D.; Teixeira, E.C.; Wiegand, F.; Machado, A.C.M.; Sanchez, J. Atmospheric precipitation and chemical composition of an urban site, Guaiba hydrographic basin, Brazil. Atmos. Environ. 2005, 39, 1829–1844. [Google Scholar] [CrossRef]
- Polkowska, Ż.; Astel, A.; Walna, B.; Małek, S.; Mędrzycka, K.; Górecki, T.; Siepak, J.; Namieśnik, J. Chemometric analysis of rainwater and through fall at several sites in Poland. Atmos. Environ. 2005, 39, 837–855. [Google Scholar] [CrossRef]
- Anatolaki, C.; Tsitouridou, R. Relationship between acidity and ionic composition of wet precipitation: A two years study at an urban site, Thessaloniki, Greece. Atmos. Res. 2009, 92, 100–113. [Google Scholar] [CrossRef]
- Beysens, D.; Mongruel, A.; Acker, K. Urban dew and rain in Paris, France: Occurrence and physico-chemical characteristic. Atmos. Res. 2017, 189, 152–161. [Google Scholar] [CrossRef]
- Niu, Y.W.; He, L.Y.; Hu, M. Chemical characteristics of atmospheric precipitation in Shenzhen. Environ. Sci. 2008, 29, 1014–1019. (In Chinese) [Google Scholar]
- Li, B.; Huang, J. Chemical characteristics and source analysis of atmospheric precipitation in Minhang District, Shanghai from 2006 to 2020. Environ. Mon. FCST 2022, 14, 71–76. (In Chinese) [Google Scholar]
- Zheng, K.; Zhao, T.L.; Zhang, L.; Zeng, N.; Zheng, X.B.; Yang, Q.J. Characteristics of sulfate and nitrate wet deposition in three typical cities in China from 2001 to 2017. Eco. Environ. Sci. 2019, 28, 2390–2397. (In Chinese) [Google Scholar]
- Pan, L.Q. Prevention and control countermeasures of acid rain in Xiamen. Xiamen Sci. Tech. 1997, 5, 31–32. (In Chinese) [Google Scholar]
- Qu, R.; Han, G. A critical review of the variation in rainwater acidity in 24 Chinese cities during 1982–2018. Elem. Sci. Anth. 2021, 9, 00142. [Google Scholar] [CrossRef]
- Liu, J.J.; Song, D.; Liu, L.Y.; Li, L. A brief analysis of nitrogen dioxide pollution in the main urban environment of Chongqing. Sichuan Environ. 2014, 33, 82–85. (In Chinese) [Google Scholar]
- Rao, P.S.P.; Tiwari, S.; Matwale, J.L.; Pervez, S.; Tunved, P.; Safai, P.D.; Srivastava, A.K.; Bisht, D.S.; Singh, S.; Hopke, P.K. Sources of chemical species in rainwater during monsoon and non-monsoonal periods over two mega cities in India and dominant source region of secondary aerosols. Atmos. Environ. 2016, 146, 90–99. [Google Scholar] [CrossRef]
- Zappi, A.; Popovicheva, O.; Tositti, L.; Chichaeva, M.; Eremina, I.; Kasper-Giebl, A.; Tsai, Y.I.; Vlasov, D.; Kasimov, N. Factors influencing aerosol and precipitation ion chemistry in urban background of Moscow megacity. Atmos. Environ. 2023, 294, 119458. [Google Scholar] [CrossRef]
- Zhang, X.; Jiang, H.; Zhang, Q.; Zhang, X. Chemical characteristics of rainwater in Northeast China, a case study of Dalian. Atmos. Res. 2012, 116, 151–160. [Google Scholar] [CrossRef]
- Zhao, D.; Wang, A. Estimation of anthropogenic ammonia emissions in Asia. Atmos. Environ. 1994, 28, 689–694. [Google Scholar]
- Huang, Y.L.; Wang, Y.L.; Zhang, L.P. Long-term trend of chemical composition of wet atmospheric precipitation during 1986–2006 at Shenzhen City, China. Atmos. Environ. 2008, 42, 3740–3750. [Google Scholar] [CrossRef]
- Xu, W.; Wen, Z.; Shang, B.; Dore, A.J.; Tang, A.; Xia, X.; Zheng, A.; Han, M.; Zhang, L.; Zhao, Y.; et al. Precipitation chemistry and atmospheric nitrogen deposition at a rural site in Beijing, China. Atmos. Environ. 2020, 223, 117253. [Google Scholar] [CrossRef]
- Zong, J.L.; Zong, X.L.; Ting, T.W. Composition of wet deposition in the central Qilian Mountains, China. Environ. Earth. Sci. 2015, 73, 7315–7328. [Google Scholar]
- Larssen, T.; Lydersen, E.; Tang, D.G.; He, Y.; Gao, J.X.; Liu, H.Y. Acid rain in China. Environ. Sci. Technol. 2006, 40, 418–425. [Google Scholar] [CrossRef]
- Bai, L.; Wang, Z.L. Anthropogenic influence on rainwater in the Xi’an City, Northwest China: Constraints from sulfur isotope and trace elements analyses. J. Geochem. Explor. 2014, 137, 65–72. [Google Scholar] [CrossRef]
- Xing, J.; Song, J.; Yuan, H.; Li, X.; Li, N.; Duan, L.; Qu, B.; Wang, Q.; Kang, X. Chemical characteristics deposition fluxes and source apportionment of precipitation components in the Jiaozhou Bay, North China. Atmos. Res. 2017, 190, 10–20. [Google Scholar] [CrossRef]
- Wei, T.; Wijesiri, B.; Jia, Z.; Li, Y.; Goonetilleke, A. Re-thinking classical mechanistic model for pollutant build-up on urban impervious surfaces. Sci. Total Environ. 2019, 651, 114–121. [Google Scholar] [CrossRef]
- Schindler, D.W. Effects of acid rain on freshwater ecosystems. Science 1988, 239, 149–157. [Google Scholar] [CrossRef]
- Duan, L.; Ma, X.X.; Larssen, T.; Mulder, J.; Hao, J.M. Response of surface water acidification in upper Yangtze River to SO2 emissions abatement in China. Environ. Sci. Technol. 2011, 45, 3275–3281. [Google Scholar] [CrossRef]
- Liu, J.K.; Han, G.L. Controlling factors of seasonal and spatial variation of riverine CO2 partial pressure and its implication for riverine carbon flux. Sci. Total Environ. 2021, 786, 147332. [Google Scholar] [CrossRef]
- Li, S.; Lu, X.X.; He, M.; Zhou, Y.; Li, L.; Ziegler, A.D. Daily CO2 partial pressure and CO2 outgassing in the upper Yangtze River basin: A case study of the Longchuan River, China. J. Hydrol. 2012, 466–467, 141–150. [Google Scholar] [CrossRef]
- Liu, J.J.; Zhu, Y.L.; Guo, M.M.; Ma, S.S. Characteristics of inorganic ion components in atmospheric precipitation in Jinan in 2020. Environ. Sci. Technol. 2021, 27, 18–22. (In Chinese) [Google Scholar]
- Hu, M.; Zhang, J.; Wu, Z.J. Chemical composition characteristics of precipitation in Beijing and its effect on the removal of atmospheric particulate matter. Science 2005, 2, 169–176. (In Chinese) [Google Scholar]
- Fan, R. Chemical characteristics of multi-year rainwater and analysis of nitrogen deposition and nitrogen sources in Nanjing. Master’s Thesis, Nanjing Normal University, Nanjing, China, 2021. (In Chinese). [Google Scholar]
- Chen, Y. Chemical Characteristics of Ionic Composition in Atmospheric Particles and Precipitation in Shanghai. Master’s Thesis, Shanghai Normal University, Shanghai, China, 2017. (In Chinese). [Google Scholar]
- Liu, J. Analysis of atmospheric precipitation water quality characteristics in Beijing urban area. Master’s Thesis, University of Jinan, Jinan, China, 2016. (In Chinese). [Google Scholar]
- Sun, Q.; Huo, M.Q.; Liu, Z.R.; Bai, Y.H.; Li, J.L. Study on chemical characteristics of atmospheric precipitation in Beijing. In Proceedings of the 12th National Conference on Ion Chromatography, Xiamen, China, 5 November 2008. (In Chinese). [Google Scholar]
- Zhou, R. Chemical properties and influencing factors of atmospheric precipitation in Beijing. Master’s Thesis, University of Jinan, Jinan, China, 2011. (In Chinese). [Google Scholar]
- Yang, F.; Tan, J.; Shi, Z.B.; Cai, Y.; He, K.; Ma, Y.; Duan, F.; Okuda, T.; Tanaka, S.; Chen, G. Five-year record of atmospheric precipitation chemistry in urban Beijing, China. Atmos. Chem. Phys. 2012, 12, 2025–2035. [Google Scholar] [CrossRef]
- Pu, W.; Quan, W.; Ma, Z.; Shi, X.; Zhao, X.; Zhang, L.; Wang, Z.; Wang, W. Long-term trend of chemical composition of atmospheric precipitation at a regional background station in Northern China. Sci. Total Environ. 2017, 580, 1340–1350. [Google Scholar] [CrossRef]
- Sha, C.Y.; He, W.S.; Tong, C.F.; Lu, J.J. Recent characteristics of acid rain in Shanghai and analysis of its chemical composition. Res. Environ. Sci. 2007, 5, 31–34. (In Chinese) [Google Scholar]
- Wang, S.Y.; He, X.B.; Wu, J.K.; Ding, Y.J.; Hu, Z.F.; Wang, L.H.; Yang, G.S. Chemical characteristics and ion sources of atmospheric precipitation in the Yangtze River source region. Environ. Sci. 2019, 40, 4431–4439. (In Chinese) [Google Scholar]
- Ma, J.L. Analysis of acid rain characteristics in Baoshan District, Shanghai. Environ. Sci. Manag. 2012, 37, 49–52. (In Chinese) [Google Scholar]
- Jiang, Y.Y.; Wang, S.Y.; Yang, C.L. Study on acidity and chemical composition of precipitation in Shanghai. Chongqing Environ. Prot. 1983, 4, 5–14. (In Chinese) [Google Scholar]
- Zhang, L.M.; Hu, X.Y. Study on the change trend and source of atmospheric precipitation chemical components in central Shanghai. Environ. Prot. Sci. Tech. 2020, 26, 28–34. (In Chinese) [Google Scholar]
- Ma, L. Characteristics and source analysis of water-soluble ions in precipitation in Shanghai. Master’s Thesis, Fudan University, Shanghai, China, 2011. (In Chinese). [Google Scholar]
- Zhang, L. Chemical characteristics of atmospheric precipitation and water in Shanghai and its environmental significance. Master’s Thesis, East China Normal University, Shanghai, China, 2019. (In Chinese). [Google Scholar]
- Wang, Y. Chemical characteristics of precipitation and analysis of nitrate sources in typical cities in southeast China. Master’s Thesis, Zhejiang University of Technology, Hangzhou, China, 2019. (In Chinese). [Google Scholar]
- Li, W.; Tao, M.J.; Wang, P.; Xiao, P.P.; Sun, Y.T.; Li, A.J. Chemical composition characteristics and source analysis of atmospheric precipitation in Heze City. Compr. Util. Chin. Resour. 2022, 40, 57–60. (In Chinese) [Google Scholar]
- Liu, Y.; Zhu, M.; Dai, X.J.; Ma, S.S.; Guo, M.M. Chemical characteristics and trend of precipitation in Jinan. In Proceedings of the 2021 Science and Technology Annual Conference of the Chinese Society of Environmental Sciences, Tianjing, China, 19 October 2021. (In Chinese). [Google Scholar]
- Wang, X.X.; Sun, M.H. Chemical characteristics of atmospheric precipitation in Jinan. J. China Coll. Environ. Manag. 2017, 27, 53–56. (In Chinese) [Google Scholar]
- Wang, M.L.; Wang, X.J.; Qu, H.Y.; Li, B. Chemical characteristics of precipitation in Yantai urban area and its change trend during the “13th Five-Year Plan” period. Environ. Sci. Manag. 2021, 46, 125–129. (In Chinese) [Google Scholar]
- Li, X.G.; Zhao, L.J.; Liu, Q.; Zhao, Y.Q.; Cheng, J.; Lu, J.J.; Zhao, P.Q. Chemical composition characteristics and source analysis of atmospheric precipitation in Shangluo City, Qinling Mountain. J. Water Resour. Water Eng. 2020, 31, 24–30. (In Chinese) [Google Scholar]
- Huang, X.F.; Xiang, L.; He, L.Y.; Ning, F.; Min, H.; Niu, Y.W.; Li, W.Z. 5-Year study of rainwater chemistry in a coastal mega-city in South China. Atmos. Res. 2010, 97, 185–193. [Google Scholar] [CrossRef]
- Liu, J.F.; Song, Z.G.; Xu, T. Study on chemical composition of rainwater and main controlling factors of rainwater acidity in Guangzhou. Environ. Sci. 2006, 10, 1998–2002. (In Chinese) [Google Scholar]
- Huang, D.Y.; Xu, Y.G.; Peng, P.; Zhang, H.H.; Lan, J.B. Chemical composition and seasonal variation of acid deposition in Guangzhou, South China: Comparison with precipitation in other major Chinese cities. Environ. Pollut. 2009, 157, 35–41. [Google Scholar] [CrossRef] [PubMed]
- Guo, L.L.; Qi, F.Y.; Zhao, Y.; Sun, Z.D.; Yang, L. Change analysis of chemical composition of acid rain in Zhengzhou City. J. Henan Agric. Univ. 2008, 4, 450–453. (In Chinese) [Google Scholar]
- Zhang, Y.K. Distribution characteristics and genesis analysis of chemical components in segmented precipitation in Qianhuai area of Nanchang. Master’s Thesis, Nanchang University, Nanchang, China, 2021. [Google Scholar]
- Ai, W.Q. Interannual variation of atmospheric precipitation chemical composition and nitrate source in Nanchang. Master’s Thesis, East China University of Technology, Shanghai, China, 2022. [Google Scholar]
- Li, H. Analysis of acid rain and causes in Hengyang City from 2015 to 2019. Guangzhou Chem. Ind. 2021, 49, 123–125. (In Chinese) [Google Scholar]
- Ye, C.Q.; Huang, L.; Ye, J.; Zhang, F.; Wang, X.Y. Change trend and chemical characteristics of precipitation components in Wulong District, Chongqing City. Environ. Impact Assess. 2019, 41, 74–77,96. (In Chinese) [Google Scholar]
- Zhang, F.Z.; Zhang, J.Y. Chemical Composition of Precipitation in a Forest Arca of Chongqing, Southwest China. Water Air Soil Pollut. 1996, 90, 407–417. [Google Scholar] [CrossRef]
- Mei, Z.L.; Liu, Z.Q.; Liu, L.l.; Wang, B. Variation of acid rain and chemical composition of rainfall in Chengdu urban area. Sichuan Environ. 2005, 3, 52–55. (In Chinese) [Google Scholar]
- Li, Z.S.; He, Y.Q.; Jia, W.X.; Pang, H.X.; Zhang, N.N.; Yuan, L.L.; Lu, A.G.; He, X.Z.; Song, B. Chemical composition analysis of summer precipitation in Lijiang City. Environ. Sci. 2009, 30, 362–367. (In Chinese) [Google Scholar]
- Wang, H.; Han, G.L. Chemical composition of rainwater and anthropogenic influences in Chengdu, Southwest China. Atmos. Res. 2011, 99, 190–196. [Google Scholar] [CrossRef]
- Wang, D.X.; Li, Y.P.; Chen, Y.; Zhou, S.C. Study on atmospheric precipitation change trend and ion characteristics in Kunming from 2015 to 2019. Environ. Sci. Guide 2021, 40, 47–51. (In Chinese) [Google Scholar]
- Li, Z.J.; Li, Z.S.; Tian, Q.; Song, L.L.; Jia, B.; Guo, R.; Song, Y.X.; Su, S.N.; Han, C.T. Study on the environmental significance of precipitation chemistry in the middle section of the Qilian Mountains. Environ. Sci. 2014, 35, 4465–4474. (In Chinese) [Google Scholar]
- Niu, H.W.; He, Y.Q.; Lu, X.X.; Shen, J.; Du, J.K.; Zhang, T.; Pu, T.; Xin, H.J.; Chang, L. Chemical composition of rainwater in the yulong snow mountain region, southwestern China. Atmos. Res. 2014, 144, 195–206. [Google Scholar] [CrossRef]
- Lu, X.W.; Li, L.Y.; Li, N.; Yang, G.; Luo, D.C.; Chen, J.H. Chemical characteristics of spring rainwater of Xi’an city, NW China. Atmos. Environ. 2011, 45, 5058–5063. [Google Scholar] [CrossRef]
- Xiao, J. Chemical composition and source identification of rainwater constituents at an urban site in Xi’an. Environ. Earth Sci. 2016, 75, 1–12. [Google Scholar] [CrossRef]
- Saimaiti, A.; Wang, T.; Zhang, J.Z.; Bai, X.; Jiang, H.; Naziram, Y. Chemical characteristics and source analysis of atmospheric precipitation in the Midong district of Urumqi city. Environ. Chem. 2022, 41, 135–143. (In Chinese) [Google Scholar]
- Cao, Y.F. Spatiotemporal variation and influencing factors of atmospheric precipitation water chemistry in Lanzhou City. Master’s Thesis, Northwest Normal University, Lanzhou, China, 2021. [Google Scholar]
- Wang, J.; Xu, J.L.; Zhang, S.Q.; Liu, S.Y.; Han, H.D. Analysis of hydrochemical erosion and atmospheric CO2 sedimentation in the Koqikar Glacier basin of the southern slope of the Tianshan Mountains. Environ. Sci. 2010, 31, 903–910. [Google Scholar]
- Zhao, Z.; Tian, L.; Fischer, E.; Li, Z.; Jiao, K. Study of chemical composition of precipitation at an alpine site and a rural site in the Urumqi River Valley, Eastern Tien Shan, China. Atmos. Environ. 2008, 42, 8934–8942. [Google Scholar] [CrossRef]
- Aas, W.; Shao, M.; Jin, L.; Larssen, T.; Zhao, D.; Xiang, R.; Zhang, J.; Xiao, J.; Duan, L. 2007. Air concentrations and wet deposition of major inorganic ions at five non-urban sites in China, 2001–2003. Atmos. Environ. 2007, 41, 1706–1716. [Google Scholar] [CrossRef]
- Tang, J.; Xue, H.S.; Yu, X.L.; Cheng, H. The preliminary study on chemical characteristics of precipitation at Mt. Waliguan. Acta Sci. Circumstantiae 2000, 20, 420–425. (In Chinese) [Google Scholar]
- Ding, G.; Ji, X.; Fang, X.; Fu, J. Characters of cloud-fog water in LUSHAN mountain. Acta. Meteorol. Sin. 1991, 1, 190–197. (In Chinese) [Google Scholar]
- Wang, B.; Zhang, Y.; Zhang, Z.; Qin, Y. The chemical composition of precipitation at Lushan spring. China Environ. Sci. 1996, 16, 218–222. (In Chinese) [Google Scholar]
- Li, Y.; Tang, J.; Yu, X.; Xu, X.; Cheng, H.; Wang, S. Characteristics of precipitation chemistry at lushan mountain, east China: 1992–2009. Environ. Sci. Pollut. Res. 2012, 19, 2329–2343. [Google Scholar] [CrossRef]







| Ca2+ | Mg2+ | NH4+ | K+ | Na+ | SO42− | NO3− | Cl− | F− | pH | Population | GDP | GDP per Capita | Wastewater | Industrial Wastewater | SO2 | Industrial SO2 | |
|---|---|---|---|---|---|---|---|---|---|---|---|---|---|---|---|---|---|
| Ca2+ | 1.00 | 0.87 ** | 0.60 ** | 0.79 ** | 0.66 ** | 0.72 ** | 0.60 ** | 0.63 ** | 0.22 | 0.52 ** | 0.31 | 0.27 | −0.08 | 0.12 | −0.33 | 0.19 | 0.22 |
| Mg2+ | 1.00 | 0.72 ** | 0.88 ** | 0.75 ** | 0.80 ** | 0.77 ** | 0.77 ** | 0.25 | 0.37 | 0.47 * | 0.41 | 0.11 | −0.05 | −0.42 | −0.12 | 0.12 | |
| NH4+ | 1.00 | 0.80 ** | 0.49 * | 0.90 ** | 0.95 ** | 0.66 ** | 0.54 * | −0.06 | 0.60 ** | 0.39 | −0.09 | 0.33 | −0.09 | −0.05 | 0.39 | ||
| K+ | 1.00 | 0.73 ** | 0.79 ** | 0.83 ** | 0.76 ** | 0.36 | 0.22 | 0.41 | 0.38 | 0.07 | 0.12 | −0.09 | −0.36 | 0.20 | |||
| Na+ | 1.00 | 0.53 ** | 0.55 ** | 0.84 ** | 0.10 | 0.28 | 0.06 | 0.08 | 0.11 | −0.28 | −0.35 | −0.05 | 0.15 | ||||
| SO42− | 1.00 | 0.91 ** | 0.68 ** | 0.36 | −0.02 | 0.63 ** | 0.45 * | −0.07 | 0.23 | −0.23 | 0.24 | 0.51 | |||||
| NO3− | 1.00 | 0.70 ** | 0.38 | −0.04 | 0.58 ** | 0.46 * | 0.07 | 0.17 | −0.30 | −0.10 | 0.35 | ||||||
| Cl− | 1.00 | 0.30 | 0.01 | 0.23 | 0.21 | 0.15 | 0.07 | −0.18 | 0.24 | 0.29 | |||||||
| F- | 1.00 | −0.25 | 0.56 ** | 0.22 | −0.06 | 0.88 ** | 0.29 | 0.39 | −0.08 | ||||||||
| pH | 1.00 | −0.24 | −0.05 | 0.14 | −0.12 | −0.54 * | −0.48 | −0.26 | |||||||||
| Population | 1.00 | 0.73 ** | −0.05 | 0.87 ** | 0.49 | 0.57 | 0.43 | ||||||||||
| GDP | 1.00 | 0.49 * | 0.67 * | 0.38 | 0.21 | 0.27 | |||||||||||
| GDP per capita | 1.00 | −0.62 | −0.41 | −0.67 | −0.49 | ||||||||||||
| Wastewater | 1.00 | 0.73 * | 0.75 | 0.48 | |||||||||||||
| Industrial Wastewater | 1.00 | 0.52 | 0.65 * | ||||||||||||||
| SO2 | 1.00 | 0.94 ** | |||||||||||||||
| Industrial SO2 | 1.00 |
| City | Ca2+ (μeq/L) | Mg2+ (μeq/L) | NH4+ (μeq/L) | K+ (μeq/L) | Na+ (μeq/L) | SO42− (μeq/L) | NO3− (μeq/L) | Cl− (μeq/L) | F− (μeq/L) | pH | Period | Reference |
|---|---|---|---|---|---|---|---|---|---|---|---|---|
| China | 169.9 | 26.8 | 86.8 | 15.3 | 37.1 | 135.4 | 47.8 | 54.2 | 13.0 | 5.86 | 1980–2020 | This study |
| Tirupati, India | 151.0 | 50.5 | 20.4 | 33.9 | 33.1 | 128.0 | 40.8 | 33.9 | 4.7 | 6.78 | 2000–2001 | [12] |
| Mexico | 26.4 | 2.5 | 92.4 | 2.2 | 7.0 | 61.9 | 42.6 | 9.6 | - | 5.10 | 2001–2002 | [31] |
| Singapore | 16.1 | 6.5 | 19.1 | 7.2 | 32.8 | 83.5 | 22.3 | 34.2 | - | 4.20 | 1999–2000 | [32] |
| Tokyo, Japan | 24.9 | 11.5 | 40.4 | 2.9 | 37.0 | 50.2 | 30.5 | 55.2 | - | 4.52 | 1990–2002 | [33] |
| Adirondack, New York | 3.6 | 1.0 | 10.5 | 0.3 | 1. | 36.9 | 22.6 | 2.1 | - | 4.45 | 1988–1999 | [3] |
| Guaiba, Brazil | 9.8 | 4.6 | 30.5 | 3.2 | 10.9 | 15.9 | 2.7 | 9.2 | 5.0 | 5.71 | 2002 | [34] |
| Poland | 64.2 | 19.2 | - | 41.0 | 14.6 | 88.4 | 32.1 | 19.1 | - | 4.53 | 1996–1999 | [35] |
| Thessaloniki, Greece | 256.0 | 30.5 | 116.0 | 16.4 | 44.5 | 134.0 | 41.2 | 57.1 | - | 6.60 | 2003–2004 | [36] |
| Paris, France | 152.5 | 14.2 | - | 17.4 | 47.8 | 77.1 | 66.1 | 73.2 | 3.2 | 6.10 | 2011–2012 | [37] |
| Mondy, Russia | 13.8 | 3.2 | 11.2 | 2.6 | 2.5 | 11.4 | 6.4 | 3.7 | 5.40 | 2006–2020 | EANET |
Disclaimer/Publisher’s Note: The statements, opinions and data contained in all publications are solely those of the individual author(s) and contributor(s) and not of MDPI and/or the editor(s). MDPI and/or the editor(s) disclaim responsibility for any injury to people or property resulting from any ideas, methods, instructions or products referred to in the content. |
© 2024 by the authors. Licensee MDPI, Basel, Switzerland. This article is an open access article distributed under the terms and conditions of the Creative Commons Attribution (CC BY) license (https://creativecommons.org/licenses/by/4.0/).
Share and Cite
Huang, X.; Li, S. Economic and Industrial Development SignificantlyContribute to Acidity and Ionic Compositions of Rainwaterin China. Water 2024, 16, 193. https://doi.org/10.3390/w16020193
Huang X, Li S. Economic and Industrial Development SignificantlyContribute to Acidity and Ionic Compositions of Rainwaterin China. Water. 2024; 16(2):193. https://doi.org/10.3390/w16020193
Chicago/Turabian StyleHuang, Xi, and Siyue Li. 2024. "Economic and Industrial Development SignificantlyContribute to Acidity and Ionic Compositions of Rainwaterin China" Water 16, no. 2: 193. https://doi.org/10.3390/w16020193
APA StyleHuang, X., & Li, S. (2024). Economic and Industrial Development SignificantlyContribute to Acidity and Ionic Compositions of Rainwaterin China. Water, 16(2), 193. https://doi.org/10.3390/w16020193

