Analysis of Seepage Characteristics of a Foundation Pit with Horizontal Waterproof Curtain in Highly Permeable Strata
Abstract
1. Introduction
2. Phreatic Water Conditions
2.1. Uniform Soils
2.1.1. Model
2.1.2. Assumption
2.1.3. The Derivation Process
2.2. Multi-Layer Soils
2.2.1. Model
2.2.2. The Derivation Process
3. Confined Water Conditions
3.1. Model
3.2. The Derivation Process
4. Experiments
4.1. Experiment Design
4.2. Comparison of Test and Calculation Results
4.2.1. Verification of Water Inflow
- (1)
- Water inflow comparison with different hydraulic conductivity ratios
- (2)
- Water inflow comparison with different thickness of the curtain
- (3)
- Water inflow comparison with different curtain positions
4.2.2. Verification of Water Pressure
- (1)
- Water pressure comparison with different hydraulic conductivity ratios
- (2)
- Water pressure comparison with different thickness
- (3)
- Water pressure comparison with different curtain positions
4.3. Error Analysis
5. Result and Discussion
5.1. Curtain in Single Layer Soil Condition
5.1.1. The Ratio of Hydraulic Conductivity
5.1.2. The Thickness of Waterproof Curtain
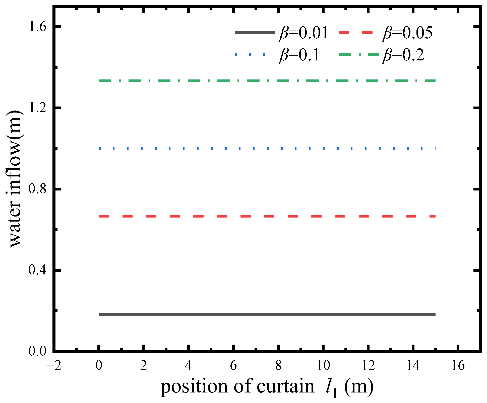
5.1.3. Curtain Position
5.2. Curtain in Multiple Layers Soil Condition
5.2.1. The Ratio of Hydraulic Conductivity
5.2.2. The Thickness of Waterproof Curtain
5.2.3. Curtain Position
6. Application
6.1. Case Study
6.2. Design of Horizontal Waterproof Curtain
6.3. Dewatering Experiment
6.3.1. Dewatering Scheme
6.3.2. Dewatering of No.1 Pit
6.4. Result Analysis
7. Conclusions
- (1)
- The theoretical calculation models of phreatic and confined water are established. Based on Darcy’s seepage theory and flow balance principle, the calculation method of foundation pit water inflow and pressure with the horizontal waterproof curtain in strong permeable formation is derived.
- (2)
- Indoor test models of the foundation pit with horizontal waterproof curtain are adopted. Comparing the test results with the calculated results, it is found that the relative error is about 20%, and the reasons for the error are analyzed.
- (3)
- The derived theoretical calculation methods are used to analyze the influence law of the hydraulic conductivity ratio, thickness and position of the horizontal waterproof curtain on the foundation pit seepage. It is found that the hydraulic conductivity ratio of the horizontal waterproof curtain has the most significant influence on the foundation pit. The thickness of the curtain has a certain effect on the water inflow in the foundation pit, but it has a limited effect on the water pressure at the bottom of the curtain. The curtain position has little effect on water inflow and pressure.
- (4)
- Combined with the engineering example, various parameters of the curtain were designed according to the method in this paper. Subsequently, the water stopping effect of the horizontal curtain was analyzed by pumping test. The test results show that the design method is reliable and meets the requirements of foundation pit precipitation.
Author Contributions
Funding
Institutional Review Board Statement
Informed Consent Statement
Data Availability Statement
Conflicts of Interest
References
- Xu, Y.-S.; Shen, J.S.; Zhou, A.-N.; Arulrajah, A. Geological and hydrogeological environment with geohazards during underground construction in Hangzhou: A review. Arab. J. Geosci. 2018, 11. [Google Scholar] [CrossRef]
- Wu, H.-N.; Shen, S.-L.; Yang, J. Identification of Tunnel Settlement Caused by Land Subsidence in Soft Deposit of Shanghai. J. Perform. Constr. Facil. 2017, 31. [Google Scholar] [CrossRef]
- Wu, Y.-X.; Lyu, H.-M.; Han, J.; Shen, S.-L. Dewatering–Induced Building Settlement around a Deep Excavation in Soft Deposit in Tianjin, China. J. Geotech. Geoenviron. Eng. 2019, 145. [Google Scholar] [CrossRef]
- Shen, S.-L.; Wu, Y.-X.; Xu, Y.-S.; Hino, T.; Wu, H.-N. Evaluation of hydraulic parameters from pumping tests in multi-aquifers with vertical leakage in Tianjin. Comput. Geotech. 2015, 68, 196–207. [Google Scholar] [CrossRef]
- Cao, C.; Shi, C.; Liu, L.; Liu, J.; Ye, Y. Novel Excavation and Construction Method for a Deep Shaft Excavation in Ultrathick Aquifers. Adv. Civ. Eng. 2019, 2019. [Google Scholar] [CrossRef]
- Shi, C.H.; Cao, C.Y.; Lei, M.F.; Peng, L.M.; Jing, J. Optimal design and dynamic control of construction dewatering with the consideration of dewatering process. KSCE J. Civ. Eng. 2016, 21, 1–9. [Google Scholar] [CrossRef]
- Jurado, A.; De Gaspari, F.; Vilarrasa, V.; Bolster, D.; Sánchez-Vila, X.; Fernàndez-Garcia, D.; Tartakovsky, D.M. Probabilistic analysis of groundwater-related risks at subsurface excavation sites. Eng. Geol. 2012, 125, 35–44. [Google Scholar] [CrossRef]
- Huang, Y.; Bao, Y.; Wang, Y. Analysis of geoenvironmental hazards in urban underground space development in Shanghai. Nat. Hazards 2015, 75, 2067–2079. [Google Scholar] [CrossRef]
- Wu, Y.-X.; Lyu, H.-M.; Shen, J.S.; Arulrajah, A. Geological and hydrogeological environment in Tianjin with potential geohazards and groundwater control during excavation. Environ. Earth Sci. 2018, 77. [Google Scholar] [CrossRef]
- Cashman, P.M. Control of groundwater by groundwater lowering. Proc. Inst. Civ. Eng. Geotech. Eng. 1997, 125, 1–8. [Google Scholar] [CrossRef]
- Huang, F.; Lyu, J.; Wang, G. The settlement models of deep vacuum dewatering method. Adv. Civ. Eng. 2019, 2019. [Google Scholar] [CrossRef]
- Shaqour, F.M.; Hasan, S.E. Groundwater control for construction purposes: A case study from Kuwait. Environ. Geol. 2008, 53, 1603–1612. [Google Scholar] [CrossRef]
- Vu, V.T.; Yao, L.H.; Wei, Y.J. Laboratory investigation of axisymmetric single vacuum well point. J. Cent. South Univ. 2016, 23, 750–756. [Google Scholar] [CrossRef]
- Attard, G.; Winiarski, T.; Rossier, Y.; Eisenlohr, L. Review: Impact of underground structures on the flow of urban groundwater. Hydrogeol. J. 2015, 24, 5–19. [Google Scholar] [CrossRef]
- Vilarrasa, V.; Carrera, J.; Jurado, A.; Pujades, E.; Vázquez-Suné, E. A methodology for characterizing the hydraulic effectiveness of an annular low-permeability barrier. Eng. Geol. 2011, 120, 68–80. [Google Scholar] [CrossRef]
- Zeng, C.-F.; Zheng, G.; Xue, X.-L.; Mei, G.-X. Combined recharge: A method to prevent ground settlement induced by redevelopment of recharge wells. J. Hydrol. 2019, 568, 1–11. [Google Scholar] [CrossRef]
- Ni, J.C.; Cheng, W.C.; Ge, L. A case history of field pumping tests in a deep gravel formation in the Taipei Basin, Taiwan. Eng. Geol. 2011, 117, 17–28. [Google Scholar] [CrossRef]
- Wang, J.; Feng, B.; Yu, H.; Guo, T.; Yang, G.; Tang, J. Numerical study of dewatering in a large deep foundation pit. Environ. Earth Sci. 2013, 69, 863–872. [Google Scholar] [CrossRef]
- Wang, J.; Huang, T.; Sui, D. Erratum: A case study on stratified settlement and rebound characteristics due to dewatering in shanghai subway station (The Scientific World Journal). Sci. World J. 2013, 2013. [Google Scholar] [CrossRef]
- Meng, C.J.; Xiong, D.S.; Zhao, H.S.; Zhang, Y.; Yu, T.X. Assessment of effect of dewatering of excavations on nearby piers of operating high-speed railways. Yantu Gongcheng Xuebao 2014, 36, 265–268. [Google Scholar] [CrossRef]
- Li, Z.; Han, M.; Liu, L.; Li, Y.; Yan, S. Corner and partition wall effects on the settlement of a historical building near a supported subway excavation in soft soil. Comput. Geotech. 2020, 128. [Google Scholar] [CrossRef]
- Wang, J.; Wu, Y.; Liu, X.; Yang, T.; Wang, H.; Zhu, Y. Areal subsidence under pumping well–curtain interaction in subway foundation pit dewatering: Conceptual model and numerical simulations. Environ. Earth Sci. 2016, 75. [Google Scholar] [CrossRef]
- Liu, L.; Lei, M.; Cao, C.; Shi, C. Dewatering Characteristics and Inflow Prediction of Deep Foundation Pits with Partial Penetrating Curtains in Sand and Gravel Strata. Water 2019, 11, 2182. [Google Scholar] [CrossRef]
- Wang, J.; Feng, B.; Guo, T.; Wu, L.; Lou, R.; Zhou, Z. Using partial penetrating wells and curtains to lower the water level of confined aquifer of gravel. Eng. Geol. 2013, 161, 16–25. [Google Scholar] [CrossRef]
- Wang, X.W.; Yang, T.L.; Xu, Y.S.; Shen, S.L. Evaluation of optimized depth of waterproof curtain to mitigate negative impacts during dewatering. J. Hydrol. 2019, 577. [Google Scholar] [CrossRef]
- Cao, C.; Shi, C.; Liu, L.; Liu, J. Evaluation of the effectiveness of an alternative to control groundwater inflow during a deep excavation into confined aquifers. Environ. Earth Sci. 2020, 79, 1–13. [Google Scholar] [CrossRef]
- Cao, C.; Shi, C.; Lei, M. A simplified approach to design jet-grouted bottom sealing barriers for deep excavations in deep aquifers. Appl. Sci. 2019, 9, 2307. [Google Scholar] [CrossRef]
- Modoni, G.; Flora, A.; Lirer, S.; Ochmański, M.; Croce, P. Design of jet grouted excavation bottom plugs. J. Geotech. Geoenviron. Eng. 2016, 142. [Google Scholar] [CrossRef]
- Liu, J. The application of land subsidence control technologies caused by deep foundation pit dewatering. Proc. IAHS 2020, 382, 775–780. [Google Scholar] [CrossRef]
- Shen, S.L.; Wu, Y.X.; Misra, A. Calculation of head difference at two sides of a cut-off barrier during excavation dewatering. Comput. Geotech. 2017, 91, 192–202. [Google Scholar] [CrossRef]
- Zhang, W.; Wang, W.; Zhou, D.; Zhang, R.; Goh, A.T.C.; Hou, Z. Influence of groundwater drawdown on excavation responses—A case history in Bukit Timah granitic residual soils. J. Rock Mech. Geotech. Eng. 2018, 10, 856–864. [Google Scholar] [CrossRef]
- Wang, J.; Liu, X.; Liu, S.; Zhu, Y.; Pan, W.; Zhou, J. Physical model test of transparent soil on coupling effect of cut-off wall and pumping wells during foundation pit dewatering. Acta Geotech. 2019, 14, 141–162. [Google Scholar] [CrossRef]
- Xu, Y.S.; Yan, X.X.; Shen, S.L.; Zhou, A.N. Experimental investigation on the blocking of groundwater seepage from a waterproof curtain during pumped dewatering in an excavation. Hydrogeol. J. 2019, 27, 2659–2672. [Google Scholar] [CrossRef]
- Zhang, L.; Zhou, X.; Pan, Y.; Zeng, B.; Zhu, D.; Jiang, H. Design of Groundwater Extraction in Open Cut Foundation Pit and Simplified Calculation of Ground Subsidence due to Dewatering in Sandy Pebble Soil Strata. Adv. Civ. Eng. 2020, 2020. [Google Scholar] [CrossRef]



























| Boundary | First Path | Second Path | Third Path |
|---|---|---|---|
| Initial position (m) | 0 | L + l1 | L + l1 + l2 |
| End position (m) | L + l1 | L + l1 + l2 | L + l1 + l2 + l3 |
| Initial water head (m) | h0 | h1 | h2 |
| End water head (m) | h1 | h2 | h3 |
| Test Conditions | y (cm) | z (cm) | β |
|---|---|---|---|
| 1 | 20 | 5 | 0.223 |
| 2 | 20 | 5 | 0.057 |
| 3 | 20 | 8 | 0.057 |
| 4 | 30 | 5 | 0.057 |
| 5 | 40 | 5 | 0.057 |
| 6 | - | - | 1 |
| 7 | 20 | 5 | 0 |
| Test Conditions | y (cm) | z (cm) | β | Experimental Results (L/h) | Calculated Results (L/h) | Relative Error |
|---|---|---|---|---|---|---|
| 1 | 20 | 5 | 0.223 | 11.32 | 9.30 | 17.85% |
| 2 | 20 | 5 | 0.057 | 6.85 | 5.32 | 22.28% |
| 3 | 20 | 8 | 0.057 | 5.13 | 4.02 | 21.68% |
| 4 | 30 | 5 | 0.057 | 6.27 | 5.32 | 15.10% |
| 5 | 40 | 5 | 0.057 | 6.41 | 5.32 | 16.95% |
| 6 | - | - | 1 | 15.32 | 11.61 | 24.19% |
| 7 | 20 | 5 | 0.0001 | 0 | 0 | 0% |
| Test Conditions | Y (cm) | z (cm) | β | Experimental Results (cm) | Calculated Results (cm) | Relative Error |
|---|---|---|---|---|---|---|
| 1 | 20 | 5 | 0.223 | 2.830 | 2.140 | 24.37% |
| 2 | 20 | 5 | 0.057 | 3.812 | 3.363 | 11.78% |
| 3 | 20 | 8 | 0.057 | 4.212 | 3.839 | 8.86% |
| 4 | 30 | 5 | 0.057 | 4.000 | 3.690 | 7.74% |
| 5 | 40 | 5 | 0.057 | 4.521 | 4.018 | 11.13% |
| 6 | - | - | 1 | 2.134 | 1.429 | 33.06% |
| 7 | 20 | 5 | 0.0001 | 5.000 | 4.995 | 0.100% |
| Name | γ | T | e | c | φ | k |
|---|---|---|---|---|---|---|
| I: miscellaneous fill | 18.5 | 1.2–3 | - | 4 | 18 | - |
| II: coarse medium sand (slightly density) | 18.5 | 2.1–9 | 0.81 | 4 | 20 | 42 |
| III: coarse medium sand (medium density) | 19.0 | 16–28.2 | 0.72 | 4 | 25 | 40 |
| IV: medium coarse sand | 19.5 | 0–4 | 0.7 | 4 | 28 | 35 |
| V: silty sand | 18.5 | 0–6 | 0.69 | 4 | 25 | 10 |
| VI: silt with sand | 17.0 | 1.2–3 | 1.2 | 12 | 5 | 0.3 |
| VII: gravel | 21.0 | 7.5-bottom | - | 2 | 35 | 55 |
Publisher’s Note: MDPI stays neutral with regard to jurisdictional claims in published maps and institutional affiliations. |
© 2021 by the authors. Licensee MDPI, Basel, Switzerland. This article is an open access article distributed under the terms and conditions of the Creative Commons Attribution (CC BY) license (https://creativecommons.org/licenses/by/4.0/).
Share and Cite
Shi, C.; Sun, X.; Liu, S.; Cao, C.; Liu, L.; Lei, M. Analysis of Seepage Characteristics of a Foundation Pit with Horizontal Waterproof Curtain in Highly Permeable Strata. Water 2021, 13, 1303. https://doi.org/10.3390/w13091303
Shi C, Sun X, Liu S, Cao C, Liu L, Lei M. Analysis of Seepage Characteristics of a Foundation Pit with Horizontal Waterproof Curtain in Highly Permeable Strata. Water. 2021; 13(9):1303. https://doi.org/10.3390/w13091303
Chicago/Turabian StyleShi, Chenghua, Xiaohe Sun, Shengli Liu, Chengyong Cao, Linghui Liu, and Mingfeng Lei. 2021. "Analysis of Seepage Characteristics of a Foundation Pit with Horizontal Waterproof Curtain in Highly Permeable Strata" Water 13, no. 9: 1303. https://doi.org/10.3390/w13091303
APA StyleShi, C., Sun, X., Liu, S., Cao, C., Liu, L., & Lei, M. (2021). Analysis of Seepage Characteristics of a Foundation Pit with Horizontal Waterproof Curtain in Highly Permeable Strata. Water, 13(9), 1303. https://doi.org/10.3390/w13091303

