You are currently viewing a new version of our website. To view the old version click .
Water
  • Article
  • Open Access

24 October 2019

Subirrigation of Container-Grown Tomato II: Physical and Chemical Properties of the Growing Medium

,
,
,
,
and
1
Departamento de Horticultura, Universidad Autónoma Agraria Antonio Narro, Calzada Antonio Narro 1923, Buenavista, Saltillo 25315, Coahuila, Mexico
2
School of Agriculture, University of Wisconsin–Platteville, 1 University Plaza, Platteville, WI 53818, USA
3
Facultad de Ciencias Agropecuarias, Universidad Autónoma del Estado de Morelos, Av. Universidad, Chamilpa, Cuernavaca 62209, Morelos, Mexico
4
Departamento de Ciencias del Suelo, Universidad Autónoma Agraria Antonio Narro, Calzada Antonio Narro 1923, Buenavista, Saltillo 25315, Coahuila, Mexico
This article belongs to the Section Water Use and Scarcity

Abstract

Subirrigation of containerized vegetable crops is a promising strategy to increase water and nutrient use efficiency, however, the longer growing seasons for cultivation of vegetable species may cause marked changes in the physical and chemical substrate properties. This study determined the effects of the irrigation system, subirrigation vs. drip-irrigation, and the concentration of the nutrient solution on the substrate physical and chemical properties in containerized tomato plants. Plants were irrigated with solutions at concentrations of −0.072, −0.058 and −0.043 MPa. Root dry weight of subirrigated plants was decreased by 35% in the substrate top layer when the highest concentration was used. Substrate electrical conductivity increased while pH was acidified as solution concentration increased and from the bottom to the top substrate layers in subirrigated plants. Salts buildup was associated with increased concentration of oxalic and tartaric acids and pH acidification. The improved substrate physical and chemical properties in subirrigated plants were associated with higher fruit yield (11.0 kg per plant) provided nutrient solution concentration was reduced to −0.043 MPa; in contrast, the highest yield in drip-irrigated plants (10.1 kg per plant) was obtained when the solution concentration was −0.072 MPa. In conclusion, subirrigation with reuse of the nutrient solution is a promising strategy to reduce water waste through runoff and leaching as water use efficiency increases due to greater water retention properties in the substrate, the maintenance of an EC within a range the plants can tolerate, and a lower acidification of substrate pH.

1. Introduction

Greenhouse tomato production demands extensive water inputs to achieve high fruit yield and quality as surface/open irrigation systems are used; such systems waste vast volumes of water through runoff and/or leaching, resulting in low plant water use efficiency. Subirrigation of greenhouse vegetable crops combined with reuse of the nutrient solution is a promising strategy to increase water use efficiency because the nutrient solution that is not retained by the substrate is reused for the next irrigation event. It has been demonstrated that subirrigation of containerized tomato plants results in increased water use efficiency provided the nutrient solution concentration is decreased to 60% [1]. In a previous paper, we are reporting that 1 L of water was required to produce 300 to 460 g of fruit, compared to 50 g in drip-irrigated plants, demonstrating that subirrigation increases water use efficiency by 6× to 9× [1].
The movement of nutrients and water within growing media, and the subsequent chemical and physical properties, is dependent on the type of irrigation system used [2,3,4,5]. In surface irrigation, gravitational forces move water and nutrients downwards from the top of the container [6], affecting air and water retention capacities [2] and resulting in salt buildup in the lower portion of the growing media profile [6]. In contrast, subirrigation systems are based on the upward movement of water (capillary action) from the lower portion of the growing medium profile to the top of the container [6,7], thereby allowing a more uniform distribution of the nutrient solution throughout the substrate profile. The capillary movement of the nutrient solution in subirrigated containerized-plants reduces compaction of the growing media when compared to surface irrigation systems [8,9,10]. However, subirrigation causes a stratification of salts, which accumulate predominantly in the upper portion of the medium profile/layer [3,4]. Salt buildup in the upper layer of the medium negatively affects root and shoot growth, quality, and yield, especially in sensitive plants [7].
The longer growing season of some vegetable species, compared to the shorter growing cycle of containerized ornamental plants, may more markedly affect the physical and chemical properties of the substrate; however, there is limited information on the effect of subirrigation on properties of the growing medium in containerized systems for vegetable plants production. The objectives of the present study were to determine the effects of the irrigation system (subirrigation vs. drip-irrigation) and the concentration of the nutrient solution on: i) the physical and chemical properties of the growing media; and ii) root development in containerized tomato (Solanum lycopersicum L.) plants in order to understand how subirrigation with reuse of the nutrient solution allows a significant increase in water use efficiency in tomato, as previously reported by Garcia-Santiago et al. [1].

2. Materials and Methods

2.1. Cultural Conditions and Plant Material

The experiment was performed under greenhouse conditions at Universidad Autónoma Agraria Antonio Narro (Saltillo, Coah., México (25°23′42″ N Lat., 100°59′57″ W Long., 1743 m above sea level)). Mean maximum, minimum, and average temperature for the study duration were 24.9 °C, 13.2 °C, and 18.1 °C, respectively, while maximum, minimum, and average relative humidity were 87.1%, 47.8%, and 71.3%, respectively. Mean seasonal photosynthetically active radiation was 456 µmol m−2 s−1 while mean PAR at solar noon was 683 µmol m−2 s−1.
Tomato cv. Clermon liners were planted into 13 L black polyethylene bags (one plant per container) filled with a mixture of sphagnum moss, coconut fiber, and perlite (40%, 40%, 20% v/v) to a height of 27 cm. Initial medium pH and electrical conductivity (EC) were 5.9 and 0.9 dS m−1, respectively. Planted containers were placed 40 cm apart within the row and rows were kept 120 cm apart. Additional information on the experimental set up and growing conditions are as described previously by Garcia-Santiago et al. [1].

2.2. Nutrient Solutions and Irrigation Methods

Nutrient concentration, expressed as osmotic potential (MPa), corresponded to 100% (‒0.072 MPa), 80% (−0.058 MPa) and 60% (−0.043 MPa) of Steiner’s [11] formulation (meq L−1: 12 NO3, 1 H2PO4, 7 K, 4 Mg, 7 SO42−; in mg L−1: 8.0 Fe, 0.6 Zn, 3.9 Mn, 0.3 Cu, 0.7 B and 0.2 Mo). Nutrient solutions were applied either by drip surface irrigation or subirrigation. The subirrigation system consisted of rigid plastic trays/troughs (69 × 39 × 16 cm; length, width, and height) with a 2% slope on which two 13 L containers were placed. Distance between pots within the tray/trough was 35 cm and tray/trough lines were separated 1 m. The subirrigation solutions were distributed with a ½ HP pump at the higher end of the tray/trough through e PVC pipe system. Subirrigation started when the growing medium registered a moisture tension of 10 KPa, with an initial flooding depth and duration of 15 cm and 30 min on which the containers remained standing in the nutrient solution; the unabsorbed solution was drained through a discharge pipe system and conducted back into a 200 L storage tank for reuse in the following irrigation event. The subirrigation solutions were renewed every 15 days. Subirrigation was conducted when the growing medium registered a moisture tension of 10 KPa, with a flooding depth and duration of 15 cm and 30 min, respectively. Drip-irrigated plants were irrigated to achieve a 25% to 30% leaching fraction when the moisture tension reached 10 KPa. The nutrient solution pH was adjusted to 6.0 ± 0.1 with H2SO4 (0.1 N) and EC was maintained at 2.0, 1.6 and 1.2 dS m−1 for the −0.072, −0.058 MPa and −0.043 MPa solutions, respectively.

2.3. Root Dry Weight and Physical and Chemical Properties

The experiment was terminated 268 days after transplanting and samples of roots and growing medium were collected. The substrate was removed from the container and divided into three horizontal layers of 9 cm size each (top, middle, and bottom) for the evaluation of root dry weight and physical and chemical properties.
The roots contained in each substrate layer were carefully removed and washed twice with distilled water to remove excess substrate. The roots were then placed in a drying oven at 70 °C for 72 h and dry weight was recorded.
The medium physical properties evaluated on each layer included total pore space (moisture content at 0 cm water tension), air filled porosity, easily available water (from 10 to 100 cm water tension), retained water (from 50 to 100 cm water tension), hardly available water (water retained at 100 cm water tension), total available water (total available water = easily available water + retained water) and water retention capacity (water retention capacity = hardly available water + total available water). These properties were determined according to the methods of de Boodt et al. [12], de Boodt and Verdonck [13], Fonteno et al. [2] and Bilderback et al. [14].
The chemical properties evaluated included pH, EC, and nitrate (NO3), ammonium (NH4+), phosphorus (P), potassium (K), oxalic acid and tartaric acid concentrations. Substrate EC, pH and soluble macronutrient concentrations were analyzed in a filtrate from the saturation extract. The determination of pH and EC was performed with a portable meter (Portable pH and EC meter, model HI 991300, Hanna Instruments, Woonsocket, RI, USA), NO3 and NH4+ were determined by the micro Kjeldahl procedure [15], P according to Murphy and Riley [16] and K by flammometry (model 410 flame photometer, Sherwood Scientific Ltd. Cambridge, UK).
The identification and quantification of the organic acids present in each substrate layer was determined by HPLC (1260 Infinity Series, Agilent Technologies, Santa Clara, CA, USA) equipped with a diode array detector (DAD Agilent 1260 Infinity; model G1315D) and a Hypersil GOLD aQ column (250 mm × 4.6 mm, 5μm, Thermo Scientific, Waltham, MA, USA). Briefly, organic acids were extracted from a 15 g sample (substrate and roots) placed in a 125 ml Erlenmeyer flask filled with 30 mL of distilled water and stirred for 30 min at 200 rpm in a shaker (Junior Orbit Shaker, model 3520/3522, Lab-Line, Sardorus, IL, USA); then, the mixture was filtered (Whatman No. 2 paper) and the filtrate was centrifuged at 10,000 rpm for 10 min at 4 °C. The supernatant obtained was filtered with syringe filters for 0.45 μm chromatography (Titan 3, Thermo Scientific) prior to injection into the HPLC. The determination of organic acids was conducted under isocratic conditions, using a mobile phase buffer of 50 mM KH2PO4 (pH 2.8 adjusted with 2 M H3PO4) which was filtered using a 0.45 μm membrane (Millipore Corporation, Bedford, MA, USA). The flow rate was 0.7 ml min−1, injection volume 20 μL, pressure 1100–1300 psi, 20 min running time, detection at 214 nm and the temperature 22 °C. For the identification of each organic acid, calibration curves were constructed using commercial HPLC grade standards (SUPELCOGEL, Sigma-Aldrich, México, México).

2.4. Experimental Set Up

The experimental set up was a completely randomized block factorial design, with six treatments (three nutrient solution concentrations × two irrigation systems). The experimental unit consisted of one tray/trough with two one-plant containers with four replicates. Data were analyzed with analysis of variance (PROC ANOVA) and mean comparison was according to the Tukey’s test (p ≤ 0.05) using Statistical Analysis System (SAS) v. 9.2. (SAS Institute, Inc., Cary, NC, USA).

3. Results

3.1. Root Dry Weight

Root dry weight was affected by the interaction between the irrigation method and nutrient solution concentration as well as by the irrigation method with the substrate layer. In the middle and bottom substrate layers, root dry weight was higher in subirrigated plants when irrigated with solutions of −0.043 and −0.058 MPa, however, with nutrient solution at the highest concentration there was a marginal effect (Figure 1).
Figure 1. Root dry weight of tomato (Solanum lycopersicum L.) plants as affected by irrigation method (IM, p = 0.127), nutrient solution concentration (NSC, p ≤ 0.001), substrate layers (SL, p ≤ 0.001) and the interactions between factors (IM × NSC, p ≤ 0.001; IM × SL, p ≤ 0.001; NSC × SL, p = 0.449; IM × NSC × SL, p = 0.122) at the termination of the experiment. Means with the same small case indicate non-significant differences according to Tukey’s multiple comparison test. Bars represent the standard error of the mean (n = 4).
When plants were irrigated with nutrient solutions of the highest concentration, root dry weight of subirrigated plants were markedly decreased in the top layer of the substrate when compared to other subirrigation treatments (Figure 1).

3.2. Substrate Physical Properties

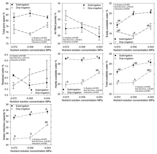
At the termination of the experiment, substrate physical properties were affected by the irrigation method and nutrient solution concentration interaction. In general, total pore space, easily available water, hardly available water, total available water, and water retention capacity were higher in the substrate of subirrigated plants when compared to drip-irrigated plants, while air filled porosity and retained water, depending on the nutrient solution concentration, were higher in the substrate of drip-irrigated plants (Figure 2).
Figure 2. Substrate physical properties as affected by irrigation method and nutrient solution concentration at the termination of the experiment in Solanum lycopersicum L. (tomato) plants. Means with the same small case indicate non-significant differences according to Tukey’s multiple comparison test. Bars represent the standard error of the mean (n = 4).
In the substrate of subirrigated plants, easily available water, total available water, and water retention capacity decreased when the concentration of the nutrient solution was augmented, while air filled porosity and retained water increased (Figure 2).
Total pore space and hardly available water were marginally affected by increased nutrient solution concentration in the substrate of subirrigated plants. In drip-irrigated plants, except for air filled porosity, all the substrate physical parameters were decreased with increasing concentrations of the nutrient solution.

3.3. Substrate Chemical Properties

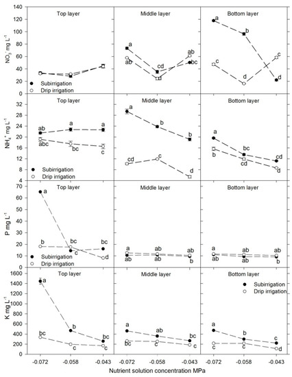
The chemical properties of the growing medium were affected by the individual factors and the interaction between the irrigation method, the nutrient solution concentration, and the substrate layer. Nitrate in the substrate of subirrigated plants was higher than that of drip-irrigated plants in the middle and bottom layers, except at the highest nutrient concentration, and decreased from the bottom to the top layer (Figure 3). However, in the middle and bottom layers, NO3 decreased as the concentration of the nutrient solution decreased (Figure 3). In drip-irrigated plants, substrate NO3 exhibited comparable trends in all the layers.
Figure 3. Nitrate (NO3), ammonium (NH4+), phosphorus (P) and potassium (K) concentration in three substrate layers as affected by irrigation method (IM) and nutrient solution concentration (NSC) at the termination of the experiment in Solanum lycopersicum L. (tomato) plants. For all the nutrients, the single factors and interactions were significant at p ≤ 0.001, except for the IM × NSC interaction in substrate NH4+ concentration (p = 0.354). Means with the same small case indicate non-significant differences according to Tukey’s multiple comparison test. Bars represent the standard error of the mean (n = 4).
Ammonium in the substrate of subirrigated plants was higher than that of drip-irrigated plants, regardless of the layer (Figure 3), in that, this ion tended to increase when the nutrient solution concentration increased, but only in the middle and bottom layers for both subirrigated and drip-irrigated plants (Figure 3).
Substrate P was unaffected by the irrigation system and nutrient solution concentrations in the middle and bottom layers, however, there was a high accumulation of this nutrient in the top layer of the substrate of subirrigated plants fed with solutions of the highest concentration (Figure 3). Regardless of the layer, more K was accumulated in the substrate of subirrigated plants when compared to that of drip-irrigated plants (Figure 3). In addition, increasing concentration of the nutrient solution was associated with increasing K in the growing medium. Similarly to P, K was highly accumulated in the top layer in the substrate of subirrigated plants irrigated with solutions at the highest concentration.

3.4. pH and Electrical Conductivity

At the termination of the experiment, pH and EC were affected by the interaction between the irrigation method and the substrate layer, but EC was also affected by other interactions. The EC was higher in all three layers of the substrate in subirrigated plants, and tended to increase with increasing concentrations of the nutrient solution (Figure 4). In the middle and bottom substrate layers of subirrigated plants the EC was about twice as much as that of drip irrigated plants, and this gap was even greater in the top substrate layer.
Figure 4. Substrate pH and electrical conductivity (EC) at the termination of the experiment with tomato (Solanum lycopersicum L.) plants, as affected by, for pH, irrigation method (IM, p ≤ 0.001), nutrient solution concentration (NSC, p ≤ 0.001), substrate layers (SL, p ≤ 0.004) and the interactions between factors (IM × NSC, p = 0.354; IM × SL, p ≤ 0.001; NSC × SL, p = 0.666; IM × NSC × SL, p = 0.681), for EC, as affected by irrigation method (IM, p ≤ 0.001), nutrient solution concentration (NSC, p ≤ 0.001), substrate layers (SL, p ≤ 0.001) and the interactions between factors (IM × NSC, p ≤ 0.005; IM × SL, p ≤ 0.001; NSC × SL, p ≤ 0.006; IM × NSC × SL, p ≤ 0.019). Means with the same small case indicate non-significant differences according to Tukey’s multiple comparison test. Bars represent the standard error of the mean (n = 4).
In general, the pH was higher in the substrate of drip-irrigated plants in the top and middle layers and decreased with increasing concentrations of the nutrient solution in all three layers (Figure 4). The pH was about 0.1‒0.3 units higher in the bottom layer of the substrate of subirrigated plants, however, in the middle (about 0.5‒0.6 units) and top layers (about 1.8‒2.1 units), the pH was lower than that of drip-irrigated plants.

3.5. Organic Acids

The concentration of organic acids was affected by the interaction between the irrigation system, the nutrient solution concentration and the substrate layer. Oxalic and tartaric acids were identified in the substrate of drip-irrigated and subirrigated plants. The organic acids were markedly higher in the top layer in the substrate of subirrigated plants, and this increase was more pronounced with increasing concentration of the nutrient solution (Figure 5). In both, subirrigated and drip-irrigated plants, substrate concentration of organic acids increased with increasing concentration of the nutrient solution.
Figure 5. Substrate organic acids concentration at the termination of the experiment with tomato (Solanum lycopersicum L.) plants, as affected by, for oxalic acid, irrigation method (IM, p ≤ 0.001), nutrient solution concentration (NSC, p ≤ 0.001), substrate layers (SL, p ≤ 0.004) and the interactions between factors (IM × NSC, p = 0.206; IM × SL, p ≤ 0.004; NSC × SL, p = 0.313; IM × NSC × SL, p ≤ 0.001), for tartaric acid, as affected by irrigation method (IM, p ≤ 0.001), nutrient solution concentration (NSC, p ≤ 0.001), substrate layers (SL, p ≤ 0.001) and the interactions between factors (IM × NSC, p ≤ 0.001; IM × SL, p ≤ 0.001; NSC × SL, p ≤ 0.001; IM × NSC × SL, p ≤ 0.001). Means with the same small case indicate non-significant differences according to Tukey’s multiple comparison test. Bars represent the standard error of the mean (n = 4).

3.6. Relationship of Physical and Chemical Properties with Fruit Yield

Considering previously reported data [1] and the physical and chemical properties averaged across substrate layers, fruit yield increased as easily available water and substrate pH increased in subirrigated plants (Figure 6), in contrast, in drip-irrigated plants, the yield decreased as easily available water and pH increased. The remaining physical properties exhibited similar tendencies on fruit yield. Fruit yield of subirrigated plants decreased as the substrate EC increased (Figure 6), however, in drip-irrigated plants, this yield increased as the substrate EC increased. Other chemical properties exhibited similar tendencies. High concentration of organic acids in the substrate of subirrigated plants was associated with decreasing yields; in contrast, in drip-irrigated plants, increasing concentrations of organic acids was associated with increasing yields.
Figure 6. Relationship between some substrate physical or chemical properties as affected by irrigation method and fruit yield Solanum lycopersicum L. (tomato) plants. Each point represents the average for each nutrient solution concentration. Except for easily available water, means for substrate chemical properties were averaged across the three substrate layers. Bars represent the standard error of the mean (n = 4).

4. Discussion

4.1. Substrate Physical Properties

Our results demonstrate that at the termination of the experiment the substrate of subirrigated plants exhibited less compaction, as suggested by the higher total pore space in comparison to that of drip-irrigated plants. Total pore space was 4.6% higher in the substrate of subirrigated plants. The higher substrate compaction in drip-irrigated plants is due to the constant surface irrigation and the downward movement of water through the substrate profile driven by gravitational force [6], which, over time, causes the particles to conglomerate, resulting in reduced total pore space and decreased aeration and water retention [2]. In our study, the higher total pore space in the substrate of subirrigated plants was associated with higher water retention properties as there was a higher water retention capacity as a result of the higher hardly available water and total available water; however, we did not detect effects on substrate aeration (air filled porosity). The higher total pore space and water retention in the substrate of subirrigated plants has been ascribed to the lower compaction of the particles as water moves from the bottom to the top layer of the container through capillary action [6,7,17], so that gravitational water does not affect the separation among substrate particles, maintaining total pore space.
The high easily available water observed in this study when tomato plants were subirrigated may have maintained a better plant water status throughout the growing season, which resulted in increased fruit yield. In contrast, in drip-irrigated plants, the deterioration of the physical properties of the substrate due to constant surface irrigation affected water retention and plant water status, causing yields were not as high as those of subirrigated plants.
Substrates with high water retention capacity require less irrigation frequency [18]. The higher water retention capacity observed in the substrate of subirrigated plants would explain their lower irrigation frequency required (every 2–3 days) compared to drip-irrigated plants (every day) (data not shown). This lower irrigation frequency would contribute, along with nutrient solution recirculation and the zero leaching, to the enhancement of water and nutrient use efficiency reported for subirrigated tomato [1].

4.2. Substrate Chemical Properties

The more acidic pH in the top layer of the substrate in subirrigated plants, that was enhanced when increasing nutrient solution concentration, is consistent with other reports by Zheng et al. [19] and Martinetti et al. [3] for gerbera (Gerbera jamesonii Adlam) and eggplant (Solanum melongena L.), respectively. Stratification of pH has been ascribed to the accumulation of H+ in the substrate due to the zero leaching in subirrigation systems [20]. Fruit yield was observed to decrease when plants were subirrigated with solutions at the highest concentration, which was associated with substrate acidification to a pH < 5.0, and it was related to a decreased total plant accumulation of N, P, Ca and Mg [1].
In drip-irrigated plants, substrate pH also tended to decrease with increasing concentration of the nutrient solution, although pH was at least >5.3; in contrast to subirrigated plants, the pH was more acidic in the substrate middle and bottom than in the top layer, which is in line with reports by Martinetti et al. [3]. The more acidic pH may be due to the higher accumulation of H+ in the lower layers due to the downward movement of water in surface irrigation systems.
Previous studies have reported an increase in EC in the substrate of subirrigated vegetable species [3,7,21,22], which is accentuated by high nutrient solution concentrations. We observed similar tendencies as EC was higher in the top layer of the substrate in subirrigated plants. Averaged across the three layers, irrigating with the highest nutrient solution concentration resulted in substrate EC of subirrigated plants 2.6× higher than that of drip-irrigated plants, which negatively impacted fruit yield (−0.81 kg per plant); however, the EC in the substrate of plants subirrigated with solutions of the lowest concentration was just 33% lower than that of the highest concentration, but low enough to allow the plant to produce higher fruit yields (+1.67 kg per plant). These results indicate that the nutrient solution concentration in subirrigated tomato has to be decreased to a point in which plant nutrient demands are met but salt buildup, and thus EC in the substrate, is kept to a minimum. In contrast, in drip-irrigated plants, nutrient solution concentration has to be increased in order to meet plant demands, resulting in increased EC (but between adequate ranges) and high fruit yields.
In the present study, we observed that easily available water, total available water, and water retention capacity decreased as the concentration of the nutrient solution was increased. This trend may be related to the higher medium EC due to salts buildup in the substrate profile/layers, which bind some of the water in the substrate and results in water less available for the plant growth and increased retained water [23].
The higher substrate EC associated with subirrigation has been mainly linked with the accumulation of N [3,19], P [3,19], K [3], Na [3,7,24], Ca and Mg [3,19]. In the present study, we observed a similar trend of higher EC in the top layer associated with increased P and K in plants subirrigated with solutions of high concentration.
In several studies [4,6,24,25,26], it has been reported that the accumulation and stratification of salt in subirrigated substrates is due to the unidirectional flow of the nutrient solution, enhanced by capillary forces, selective absorption, zero leaching, evapotranspiration demands from the environment, and nutrient solution concentration. In contrast, with surface irrigation, it is reported that the stratification of salts in the substrate profile does not occur [7,27,28], which is due to the excess water applied though this system, leaching the salts out of the substrate and container [29,30].
We suggest that the greater accumulation of NH4+ and K (NO3 and P in some layers) observed in the substrate of subirrigated plants, compared to drip-irrigated plants, is because this is a closed irrigation zero leaching system, which avoids the loss of ions [24,31]. This is in contrast to surface irrigation systems, where excess salt and water are leached out of the container/substrate at every irrigation [6,7,24].
The highest substrate EC in subirrigated plants, especially when combined with the highest concentration of the nutrient solution, detrimentally affected the root dry weight. Limited root growth has been ascribed to the osmotic stress when plants are exposed to high salinity levels in the top layer of the substrate in subirrigated plants [7]. The decreased root weight due to the high EC in the top layer of the substrate of subirrigated plants has been associated with an increase in root diameter and a lower number of fine roots, while under low EC an increase in the number of fine roots has been reported [32]. However, in the present study, the decrease in root growth due to salt build up in the top layer was not associated with decreased fruit yield, probably because most of the roots develop in the middle and bottom layers.

4.3. Organic Acids

The higher accumulation of organic acids in the top layer of the substrate may be the response of subirrigated tomato plants to high EC, especially when irrigated with solutions at the highest concentration. The synthesis and release of organic acids by plant roots has been reported to be increased in response to a variety of different stresses [33,34,35]. Abbas et al. [33] indicated that plants under salinity stress increase the exudation of tartaric acid and citric acid, which play a crucial role in the growth and survival of plants in saline conditions. Thus, the relationship between the higher concentration of organic acids and the decrease in fruit yield that was observed in the present study suggest that subirrigated plants responded to the high EC stress by synthetizing and releasing such acids to the rhizosphere. The findings by Chen and Lin [34] are in agreement with our results as they reported higher concentrations of oxalic, malic, and fumaric acids in tomato roots in response to salt stress and they suggest that the tolerance of tomato to salinity is related to the concentration and release of these acids by the roots. Rougier [36] and Nardi et al. [37] indicated that the secretion of substances by the roots inevitably lead to changes in the biochemical and physical properties of the growing substrate in which they grow. The presence of organic acids in the substrate could partially explain the more acidic pH observed in the present study, which was also reported by Guo et al. [38].

5. Conclusions

Subirrigation with reuse of the nutrient solution is a promising strategy to reduce water waste through runoff and leaching for commercial production of tomatoes as water use efficiency is increased due to a greater water retention properties in the substrate, the maintenance of an EC within a range the plants can tolerate, ~8.0 dS m−1 for subirrigated and ~4.6 dS m−1 for drip-irrigated plants, and a lower acidification of substrate pH. The higher salts build up when subirrigating suggests that it is advisable to use a nutrient solution of lower concentration, −0.043 MPa (60% of Steiner’s formulation) in order to reduce substrate EC increase and pH acidification.

Author Contributions

Conceptualization, L.A.V.-A., D.L.C. Cartmill and A.D.C.; Data curation, L.A.V.-A.; Formal analysis, L.A.V.-A. and A.D.C.; Funding acquisition, D.L.C., A.D.C., P.J.-L. and D.A.-C.; Investigation, J.C.G.-S. and L.A.V.-A.; Methodology, L.A.V.-A. and D.A.-C.; Project administration, L.A.V.-A. and P.J.-L.; Resources, P.J.-L.; Supervision, L.A.V.-A.; Visualization, L.A.V.-A.; Writing—original draft, J.C.G.-S., L.A.V.-A., D.L.C. and A.D.C.; Writing—review & editing, L.A.V.-A., D.L.C. and A.D.C.

Funding

This research received no external funding.

Acknowledgments

Juana Cruz García-Santiago thanks CONACYT for scholarship granted for doctoral studies and SEP for postdoctoral scholarship.

Conflicts of Interest

The authors declare no conflict of interest.

References

  1. García-Santiago, J.C.; Valdez-Aguilar, L.A.; Cartmill, A.D.; Cartmill, D.L.; Juárez-López, P.; Díaz-Pérez, J.C. Subirrigation of Container-Grown Tomato I: Decreased concentration of the nutrient solution sustains growth and yield. Water 2019, 11, 2064. [Google Scholar] [CrossRef]
  2. Fonteno, W.C.; Cassel, D.K.; Larson, R.A. Physical properties of three container media and their effect on poinsettia growth. J. Am. Soc. Hort. Sci. 1981, 106, 736–741. [Google Scholar]
  3. Martinetti, L.; Ferrante, A.; Quattrini, E. Effect of drip or subirrigation on growth and yield of Solanum melongena L. in closed systems with salty water. Res. J. Biol. Sci. 2008, 3, 467–474. [Google Scholar]
  4. Rouphael, Y.; Cardarelli, M.; Rea, E.; Colla, G. The influence of irrigation system and nutrient solution concentration on potted geranium production under various conditions of radiation and temperature. Sci. Hort. 2008, 118, 328–337. [Google Scholar] [CrossRef]
  5. Santamaria, P.; Campanile, G.; Parente, A.; Elia, A. Subirrigation vs. drip-irrigation: Effects on yield and quality of soilless grown cherry tomato. J. Hort. Sci. Biotechnol. 2003, 78, 290–296. [Google Scholar] [CrossRef]
  6. Reed, D.W. Closed production systems for containerized crops: Recirculating subirrigation and zero-leach system. In Water, Media and Nutrition for Greenhouse Crops; Reed, D.W., Ed.; Ball Publishing: Batavia, IL, USA, 1996; pp. 221–245. [Google Scholar]
  7. Bouchaaba, Z.; Santamaria, P.; Choukr-Allah, R.; Lamaddalena, N.; Montesano, F.F. Open-cycle drip vs. closed-cycle subirrigation: Effects on growth and yield of greenhouse soilless green bean. Sci. Hort. 2015, 182, 77–85. [Google Scholar] [CrossRef]
  8. Biernbaum, J.A. Are you ready for subirrigation? Am. Veg. Grower 1990, 38, 44–45. [Google Scholar]
  9. Biernbaum, J.A. Get ready for subirrigation. Greenh. Grow. 1990, 8, 130–133. [Google Scholar]
  10. Biernbaum, J.A. Root-zone management of greenhouse container-grown crops to control water and fertilizer use. HortTechnology 1992, 2, 127–132. [Google Scholar] [CrossRef]
  11. Steiner, A.A. A universal method for preparing nutrient solutions of a certain desired composition. Plant Soil 1961, 15, 134–154. [Google Scholar] [CrossRef]
  12. de Boodt, M.; Verdonck, O.; Cappaert, I. Method for measuring the water release curve of organic substrates. Acta Hort. 1974, 37, 2054–2062. [Google Scholar] [CrossRef]
  13. de Boodt, M.; Verdonck, O. The physical properties of the substrates in horticulture. Acta Hort. 1972, 26, 37–44. [Google Scholar] [CrossRef]
  14. Bilderback, T.E.; Fonteno, W.C.; Johnson, D.R. Physical properties of media composed of peanut hulls, pine bark, and peatmoss and their effects on azalea growth. J. Am. Soc. Hort. Sci. 1982, 107, 522–525. [Google Scholar]
  15. Bremner, J.M. Total nitrogen. In Methods of Soil Analysis. Part 3. Chemical Methods; Sparks, D.L., Ed.; Soil Science Society of America: Madison, WI, USA, 1996; pp. 1085–1086. [Google Scholar]
  16. Murphy, J.; Riley, J.P. A modified single solution method for the determination of phosphate in natural waters. Anal. Chim. Acta 1962, 27, 31–36. [Google Scholar] [CrossRef]
  17. Santamaria, P.; Serio, F. Coltivazione a ciclo chiuso: La subirrigazione in canaletta. Inf. Agrar. 2001, 57, 45–49. [Google Scholar]
  18. Argo, W.R.; Biernbaum, J.A. The effect of irrigation method, water-soluble fertilization, preplant nutrient charge, and surface evaporation on early vegetative and root growth of poinsettia. J. Am. Soc. Hort. Sci. 1995, 120, 63–169. [Google Scholar] [CrossRef]
  19. Zheng, Y.; Graham, T.; Richard, S.; Dixon, M. Potted gerbera production in a subirrigation system using low-concentration nutrient solutions. HortScience 2004, 39, 1283–1286. [Google Scholar] [CrossRef]
  20. Kent, M.W.; Reed, D.W. Nitrogen nutrition of New Guinea impatiens “Barbados” and spathiphyllum “Petite” in a subirrigation system. J. Am. Soc. Hort. Sci. 1996, 121, 816–819. [Google Scholar] [CrossRef]
  21. Rouphael, Y.; Colla, G. Growth, yield, fruit quality and nutrient uptake of hydroponically cultivated zucchini squash as affected by irrigation systems and growing seasons. Sci. Hort. 2005, 105, 177–195. [Google Scholar] [CrossRef]
  22. Rouphael, Y.; Colla, G. The influence of drip irrigation or subirrigation on zucchini squash grown in closed-loop substrate culture with high and low nutrient solution concentrations. HortScience 2009, 44, 306–311. [Google Scholar] [CrossRef]
  23. van Iersel, M.W. Post-production leaching affects the growing medium and respiration of subirrigated poinsettias. HortScience 2000, 35, 250–253. [Google Scholar] [CrossRef]
  24. Incrocci, L.; Malorgio, F.; Della Bartola, A.; Pardossi, A. The influence of drip irrigation or subirrigation on tomato grown in closed loop substrate culture with saline water. Sci. Hort. 2006, 107, 365–372. [Google Scholar] [CrossRef]
  25. Cox, D.A. Growth, nutrient content, and growth medium electrical conductivity of poinsettia irrigated by subirrigation or from overhead. J. Plant Nutr. 2001, 24, 523–533. [Google Scholar] [CrossRef]
  26. Kang, J.G.; van Iersel, M.W. Interactions between temperature and fertilizer concentration affect growth of subirrigated petunias. J. Plant Nutr. 2001, 24, 753–765. [Google Scholar] [CrossRef]
  27. Pinto, J.R.; Chandler, R.A.; Dumroese, R.K. Growth, nitrogen use efficiency, and leachate comparison of subirrigated and overhead irrigated pale purple coneflower seedlings. HortScience 2008, 43, 897–901. [Google Scholar] [CrossRef]
  28. Montesano, F.; Parente, A.; Santamaria, P. Closed cycle subirrigation with low concentration nutrient solution can be used for soilless tomato production in saline conditions. Sci. Hort. 2010, 124, 338–344. [Google Scholar] [CrossRef]
  29. Liu, J.; Leatherwood, W.R.; Mattson, N.S. Irrigation method and fertilizer concentration differentially alter growth of vegetable transplants. HortTechnology 2012, 22, 56–63. [Google Scholar] [CrossRef]
  30. Morvant, J.K.; Dole, J.M.; Allen, A. Irrigation systems alter distribution of roots, soluble salts, nitrogen and pH in the root medium. HortTechnology 1997, 7, 156–160. [Google Scholar] [CrossRef]
  31. Klock-Moore, K.A.; Broschat, T.K. Use of subirrigation to reduce fertilizer runoff. Proc. Fla. State Hort. Soc. 2000, 113, 149–151. [Google Scholar]
  32. Davis, A.S.; Aghai, M.M.; Pinto, J.R.; Apostol, K.G. Growth, gas exchange, foliar nitrogen content, and water use of subirrigated and overhead-irrigated Populus tremuloides Michx. seedlings. HortScience 2011, 46, 12491253. [Google Scholar] [CrossRef]
  33. Abbas, G.; Saqib, M.; Akhtar, J.; Murtaza, G.; Shahid, M. Effect of salinity on rhizosphere acidification and antioxidant activity of two acacia species. Can. J. For. Res. 2014, 45, 124–129. [Google Scholar] [CrossRef]
  34. Chen, J.H.; Lin, Y.H. Sodium chloride causes variation in organic acids and proteins in tomato root. Afr. J. Biotechnol. 2010, 9, 8161–8167. [Google Scholar]
  35. Larsen, P.B.; Degenhardt, J.; Tai, C.Y.; Stenzler, L.M.; Howell, S.H.; Kochain, L.V. Aluminum-resistant arabidopsis mutants that exhibit altered patterns of aluminum accumulation and organic acid release from roots. Plant Physiol. 1998, 117, 9–18. [Google Scholar] [CrossRef] [PubMed]
  36. Rougier, M. Secretory activity at the root cap. In Encyclopedia of Plant Physiology; New Series Plant Carbohydrates II; Tanner, W., Loews, F.A., Eds.; Springer: Berlin, Germany, 1981; Volume 13B, pp. 542–574. [Google Scholar]
  37. Nardi, S.; Concheri, G.; Pizzeghello, D.; Sturaro, A.; Rella, R.; Parvoli, G. Soil organic matter mobilization by root exudates. Chemosphere 2000, 5, 653–658. [Google Scholar] [CrossRef]
  38. Guo, L.Q.; Shi, D.C.; Wang, D.L. The key physiological response to alkali stress by the alkali-resistant halophyte Puccinellia tenuiflora is the accumulation of large quantities of organic acids and into the rhyzosphere. J. Agron. Crop. Sci. 2010, 196, 123–135. [Google Scholar] [CrossRef]

Article Metrics

Citations

Article Access Statistics

Multiple requests from the same IP address are counted as one view.