Next Article in Journal
Time-Course Transcriptome Analysis Reveals Dynamic Nitrogen Response Mechanisms and Key Regulatory Networks in Sugarcane
Previous Article in Journal
Current Research Status and Development Trends of Key Technologies for Pear Harvesting Robots
 
 
Font Type:
Arial Georgia Verdana
Font Size:
Aa Aa Aa
Line Spacing:
Column Width:
Background:
Article

Chemotactic Responses of Slug-Parasitic Nematodes to Barley Root-Emitted Volatile Organic Compounds

Department of Agronomy, Biotechnical Faculty, University of Ljubljana, Jamnikarjeva 101, 1000 Ljubljana, Slovenia
*
Author to whom correspondence should be addressed.
Agronomy 2025, 15(9), 2162; https://doi.org/10.3390/agronomy15092162
Submission received: 1 August 2025 / Revised: 1 September 2025 / Accepted: 3 September 2025 / Published: 10 September 2025
(This article belongs to the Section Pest and Disease Management)

Abstract

Slug-parasitic nematodes are promising biological control agents against gastropod pests, yet their responses to cereal root volatiles remain poorly understood. We evaluated the chemotactic behavior of Phasmarhabditis papillosa, Oscheius myriophilus, and Oscheius onirici toward synthetic standards of four barley root-derived VOCs—dimethyl sulfide (DMS), hexanal (H), 2-pentylfuran (2PF), and (E)-non-2-enal (N2E)—and their synthetic blends at two temperatures (18 °C and 22 °C). Significant species-specific and temperature-dependent differences were observed. 2PF and DMS consistently elicited the strongest attraction, particularly for O. myriophilus and P. papillosa, while aldehydes produced weaker or reduced-attraction responses. VOC blends often showed masking or antagonistic effects, suggesting complex signal integration. Temperature enhanced overall chemotactic activity, indicating its importance in modulating sensory behavior. These findings provide new insights into the chemical ecology of slug-parasitic nematodes and support the development of semiochemical-based biocontrol strategies tailored to species and environmental conditions.

1. Introduction

Soil-dwelling parasitic nematodes represent a diverse group of organisms with profound ecological and agricultural importance. They play crucial roles in belowground food webs, influencing nutrient cycling, plant health, and pest population dynamics. Among them, entomopathogenic nematodes (EPNs) have been extensively studied and successfully applied as biological control agents against insect pests, demonstrating their effectiveness and environmental safety compared with chemical pesticides [1,2]. In contrast, slug-parasitic nematodes (SPNs) remain relatively underexplored despite their potential as sustainable alternatives to molluscicides, which are increasingly restricted due to their non-target impacts and environmental concerns [3,4,5,6].
Several SPN species, such as Phasmarhabditis hermaphrodita (Schneider), Phasmarhabditis papillosa (Schneider), Oscheius myriophilus Poinar, and Oscheius onirici Torrini et al., have shown the ability to parasitize and suppress pestiferous slugs, including Deroceras reticulatum (Müller) and Arion vulgaris (Moquin-Tandon) [3,4,7]. These mollusks cause substantial economic damage in agriculture, particularly during early crop establishment, where they feed on seedlings and reduce plant vigor [6]. The development of reliable biological control methods against slugs is therefore an urgent priority for integrated pest management (IPM) strategies.
Host location is a critical factor determining the success of parasitic nematodes as biocontrol agents. Like EPNs, SPNs rely on chemical cues to navigate complex soil environments and locate their hosts [8,9]. Previous studies on EPNs have demonstrated that plant-emitted volatile organic compounds (VOCs) serve as important attractants, guiding nematodes toward insect herbivores or their damage sites [10,11,12,13,14]. However, comparable studies on SPNs are limited. Recent evidence suggests that SPNs can respond to plant- and host-associated volatiles, including aldehydes, ketones, and hydrocarbons released from damaged potato tubers and Brassica roots [11,15]. These findings highlight the importance of VOC-mediated interactions in nematode foraging ecology but also underscore the lack of systematic research into how SPNs interact with cereal crops.
Cereal systems, and barley (Hordeum vulgare L.) in particular, warrant specific attention. Barley ranks among the world’s most widely cultivated cereals and is highly susceptible to slug damage during its early growth stages [6,16]. Its roots release a diverse array of VOCs, including dimethyl sulfide (DMS), hexanal (H), 2-pentylfuran (2PF), and (E)-non-2-enal (N2E) [17,18,19]. These compounds are known to mediate interactions with soil microbes and invertebrates [18,19,20], raising the possibility that they also influence nematode behavior. Yet, despite the ecological and economic relevance, no studies have investigated whether SPNs exploit barley root VOCs for host location, nor how environmental conditions such as temperature modulate these responses.
Addressing this gap is essential for advancing both fundamental and applied perspectives. From an ecological standpoint, understanding SPN responses to cereal root volatiles contributes to the broader knowledge of belowground multitrophic interactions. From a practical perspective, such insights can inform the development of SPN-based biocontrol strategies tailored to cereal production systems, where slug damage remains a persistent challenge.
The present study therefore examines the chemotactic responses of three SPN species—P. papillosa, O. myriophilus, and O. onirici—to individual barley VOCs and their synthetic blends under contrasting temperature regimes. Specifically, we aimed to:
(i)
assess species-specific responses of nematodes to individual barley VOCs (DMS, H, 2PF, and N2E);
(ii)
determine whether synthetic blends of these compounds enhance nematode attraction;
(iii)
evaluate how environmental factors, particularly temperature, influence chemotactic behavior.
By elucidating how SPNs perceive and respond to barley root volatiles, this research advances our understanding of the chemical ecology of nematode–plant–slug interactions and provides a foundation for developing innovative, environmentally sustainable slug management practices in cereal cropping systems.

2. Materials and Methods

2.1. Collection, Isolation, and Storage Preparation of Nematodes

For this study, native populations of P. papillosa (GenBank accession number MT800511.1), O. myriophilus (GenBank accession number OP684306.1), and O. onirici (GenBank accession number PQ876382) were used, as their presence has recently been confirmed in Slovenia [7,15].
The nematodes were cultured in vivo using freeze-killed Spanish slugs (A. vulgaris) as a substrate [11]. After 10 days of incubation at 20 ± 1 °C, IJs were extracted from slug cadavers using a modified White trap method, followed by centrifugation in a 5% sodium hypochlorite (NaOCl) solution to separate nematodes from organic debris. Two subsequent rinses in sterile distilled water ensured the removal of residual bleach and slug tissue [15].
The cleaned IJs were suspended in M9 buffer—an isotonic physiological solution containing KH2PO4, Na2HPO4, NaCl, and NH4Cl—commonly used for maintaining nematode viability and osmotic balance [15]. Suspensions were stored at 4 °C and used within 14 days of harvesting. Prior to each experiment, a 100-IJ subsample was assessed for viability using a stereomicroscope (25× magnification). Nematodes were considered viable if they exhibited active movement, including sinusoidal locomotion or twitching. Batches with a viability rate of ≥95% were used in bioassays to ensure consistent and reliable behavioral responses [11].

2.2. Tested Volatile Compounds

The selection of VOCs for this study was guided by the findings of Gfeller et al. [17], who analyzed VOCs emissions from 21-day-old barley (H. vulgare) roots using headspace solid-phase microextraction (HS-SPME) coupled with gas chromatography–mass spectrometry (GC–MS). Their study identified a complex mixture of 29 VOCs, several of which are known to mediate belowground interactions with soil organisms.
Based on their relative abundance and ecological relevance in the barley rhizosphere, four VOCs were selected for chemotaxis assays: dimethyl sulfide (DS), hexanal (H), 2-pentylfuran (2PF), and (E)-non-2-enal (N2E). Synthetic standards of these compounds were purchased from Sigma-Aldrich (Merck, St. Louis, MO, USA) with the following purities: dimethyl sulfide (≥99%), hexanal (≥98%), 2-pentylfuran (≥99%), and (E)-non-2-enal (≥98%).
All compounds were tested at a working concentration of 0.03 ppm, which corresponds to average soil-level concentrations measured approximately 10 cm from the root zone of barley plants [17]. This standardized concentration was selected to allow comparability across treatments and with previous studies. Each VOC was individually diluted in 96% ethanol by precisely measuring and mixing the appropriate volume of pure compound with solvent. The resulting solutions were vortexed for uniformity and freshly prepared prior to each assay to ensure chemical stability and consistency. We recognize that VOC concentrations in the field may fluctuate depending on soil characteristics, microbial interactions, and plant physiological state; this limitation is acknowledged in the Discussion.
Both individual VOCs and their binary or multi-component blends (mixed at a 1:1 v/v ratio) were tested. Blends were prepared by combining equal volumes of 0.03 ppm stock solutions of each compound. All solutions were freshly prepared immediately prior to testing to preserve chemical stability and minimize potential degradation.
Ethanol was chosen as the solvent due to its widespread application in agar-based nematode chemotaxis assays, its miscibility with water, and chemical inertness at low volumes. While solvent effects can potentially bias behavioral results, our design included ethanol-only controls (10 μL applied to both treated and control area, see Figure 1). These controls consistently yielded chemotaxis index (CI) values near zero across all nematode species, confirming that ethanol at the applied concentration did not influence nematode behavior. Alternative solvents such as n-hexane were considered but excluded due to high volatility, limited agar compatibility, and greater safety risks.
All dilutions were prepared using calibrated micropipettes and homogenized by vortexing to ensure consistent concentrations. Bioassays were carried out in a climate-controlled chamber at 18 °C and 22 °C, under 75% relative humidity and complete darkness, conditions chosen to minimize VOC degradation and maintain experimental consistency. The two temperature regimes were selected in line with previous related studies [11,15], allowing for direct comparison across experiments. Moreover, they represent biologically relevant conditions that approximate suboptimal versus more favorable thermal environments for slug-parasitic nematodes, thereby enabling a controlled yet ecologically meaningful assessment of chemotactic responses to root-emitted VOCs.

2.3. Chemotaxis Assay

Chemotactic responses were assessed using a modified version of the standard protocol first described by O’Halloran and Burnell [21], with adaptations from Laznik et al. [11,15] to fit the experimental system (see Figure 1). All assays were conducted in sterile 9 cm polystyrene Petri dishes (Greiner Bio-One), each filled with 25 mL of 1.6% technical agar (Biolife, Milan, Italy). The agar medium was prepared using a chemotaxis-supporting buffer composed of 5 mM potassium phosphate (pH 6.0), 1 mM calcium chloride, and 1 mM magnesium sulfate to support optimal nematode movement and directional sensing.
Each plate was divided into three areas: a treated area on left side, a control area on the right side, and a central area where nematodes were introduced (see Figure 1). For each test, 10 µL of a VOCs solution or blends was applied to the treated area, and 10 µL of 96% ethanol (solvent control) was applied to the opposite side. A 10 µL droplet containing approximately 100 IJs, suspended in M9 buffer, was pipetted at the center of the dish to ensure uniform starting conditions.
The M9 buffer was prepared by dissolving 6.0 g of Na2HPO4 (42.5 mM), 3.0 g of KH2PO4 (22.0 mM), and 0.5 g of NaCl (8.5 mM) in 1 L of distilled water. Following autoclaving, 1.0 mL of sterile 1 M MgSO4·7H2O was added to achieve a final concentration of 1.0 mM. The buffer was stored at 4 °C and used freshly to maintain nematode viability and physiological stability during assays [11].
To avoid cross-exposure between volatile treatments, only one compound was tested per assay series. Dishes were sealed with Parafilm™ immediately after application to limit VOC diffusion and maintain localized concentrations within the agar [15].
Each treatment was replicated ten times, and the entire assay was repeated in three independent runs for statistical robustness, resulting in a total sample size of n = 30 per treatment. All trials were conducted under controlled environmental conditions using a programmable climate chamber (RK-900 CH, Kambič Laboratory Equipment, Semič, Slovenia). Assays were incubated at two test temperatures—18 °C and 22 °C—with 75% relative humidity and complete darkness to simulate natural soil conditions and eliminate light-mediated behavioral interference.
After a 24 h incubation period, the Petri dishes were briefly frozen at −20 °C for 3 min to halt nematode movement, preserving their final locations. Nematode distribution across treatment zones was analyzed using a Nikon SMZ800N stereomicroscope (Nikon Corporation, Tokyo, Japan) equipped with a 4K UHD HDMI camera (XCAM4K8MPB) at 25× magnification.
Chemotactic behavior was quantified by calculating the Chemotaxis Index (CI) using the following formula:
CI = (% of IJs in the treated area − % of IJs in the control area)/100%
The CI offers a standardized approach to quantify nematode behavioral responses, effectively measuring the extent of attraction or repulsion triggered by each volatile compound tested.
CI values span a theoretical range from +1.0 (indicating maximum attraction) to −1.0 (indicating maximum repulsion). Based on these values, volatile compounds were classified into five behavioral categories: strong attractants (CI ≥ 0.2), mild attractants (0.2 > CI ≥ 0.1), neutral (−0.1 ≤ CI < 0.1), mild repellents (−0.2 ≤ CI < −0.1), and strong repellents (CI ≤ −0.2) [11,15].

2.4. Statistical Analysis

Directional movement of nematodes from the central zone toward either the treated or control areas of the Petri dish was interpreted as a chemotactic response and assessed using a paired Student’s t-test. Statistical significance was established at p < 0.05.
To assess behavioral differences among treatments, the proportion of IJs that migrated to the peripheral zones or remained in the central area of the assay dish was calculated for each replicate. These data were analyzed using a two-way analysis of variance (ANOVA), with statistical significance set at p < 0.05. The model accounted for the main effects of VOCs identity (including both single compounds and their binary or complex blends), nematode species, and temperature, as well as all possible interactions.
A separate two-way ANOVA was also conducted on the chemotaxis index (CI) values to compare overall nematode responsiveness to individual VOCs and their binary or complex blends mixtures. Where significant differences were identified, post hoc comparisons were performed using Duncan’s multiple range test (p < 0.05) to distinguish among treatment groups.
All data are reported as mean ± standard error (SE). Statistical analyses were carried out using Statgraphics Plus for Windows, Version 4.0 (Statistical Graphics Corp., Manugistics, Inc., Rockville, MD, USA), and graphical outputs were prepared using Microsoft Excel 2010.

3. Results

3.1. Nematode Motility

Motility, measured as the proportion of IJs migrating from the central zone of the Petri dish toward either treated or control areas (Figure 1), was strongly influenced by nematode species, temperature, and VOC identity (Table 1). Significant two-way and three-way interactions further highlighted the complex interplay between biotic and abiotic factors shaping nematode behavior. Replication effects (temporal and spatial) were not significant, confirming the repeatability and robustness of the experimental design. Overall, nematode motility was highly responsive to chemical and thermal cues, with species-specific behavioral patterns strongly influenced by environmental context.
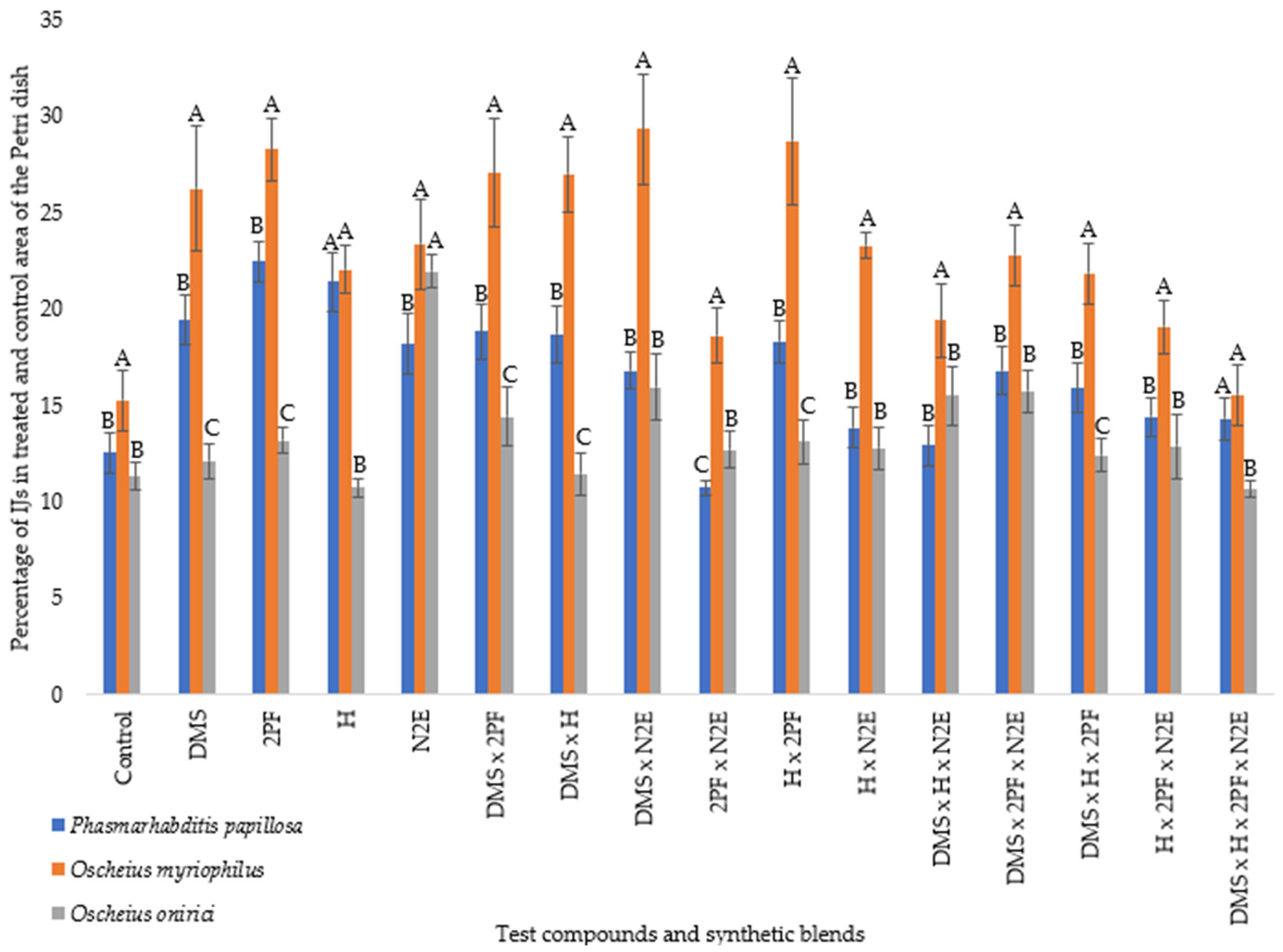
At 18 °C, clear differences in motility were observed among the three nematode species (P. papillosa, O. myriophilus, and O. onirici) in response to individual VOCs and their blends (Figure 2). Among the single compounds, 2-pentylfuran (2PF) elicited the highest levels of IJ movement, particularly in P. papillosa and O. myriophilus, indicating that 2PF acts as a strong locomotor stimulant. Hexanal (H) also promoted elevated motility in P. papillosa and O. myriophilus, though O. onirici exhibited the lowest response to H, suggesting species-specific differences in sensitivity. Dimethyl sulfide (DMS) produced moderate stimulation across species, while (E)-non-2-enal (N2E) consistently induced lower activity, often comparable to or below control values.
Binary blends generally enhanced motility relative to single compounds, though responses varied by species. For example, H × 2PF elicited strong motility in P. papillosa, while O. myriophilus responded more strongly to DMS × 2PF. Conversely, H × N2E produced neutral to low motility across species.
Ternary and quaternary blends tended to reduce motility relative to individual VOCs, suggesting possible masking or inhibitory effects. For instance, DMS × H × N2E and DMS × 2PF × N2E generally led to reduced IJ dispersal in P. papillosa and O. onirici, although O. myriophilus remained comparatively more active. The strongest reduction in motility was observed in P. papillosa when exposed to the four-component blend (DMS × H × 2PF × N2E). Notably, while previous text suggested this effect was uniform across all species, revisions clarify that O. myriophilus maintained higher motility under several ternary blends, indicating species-specific tolerance.
The ethanol control yielded some of the lowest motility values, though for O. onirici several binary and ternary blends produced similar or lower values, confirming that solvent alone did not bias nematode responses.
At 22 °C, motility increased overall across all species (Figure 3). O. myriophilus consistently exhibited the highest levels of IJ movement across most treatments, significantly exceeding P. papillosa and O. onirici in many cases. Among individual compounds, 2PF and H elicited particularly strong responses in O. myriophilus, while O. onirici showed more modest activity. Binary blends such as DMS × 2PF supported elevated motility in both O. myriophilus and O. onirici. In contrast, blends containing N2E (e.g., DMS × H × N2E) reduced dispersal, particularly in O. onirici. The four-component blend (DMS × H × 2PF × N2E) elicited neutral or repellent responses across species, though the H × N2E treatment produced an even more pronounced reduction. These observations underscore the role of compound interactions in shaping nematode behavioral outcomes.

3.2. Chemotaxis Index

Chemotactic responses, quantified using the CI, varied significantly with nematode species, VOC identity, and temperature (Table 2). Interaction effects were also significant, indicating that responsiveness to VOCs differed among species and was further modulated by thermal conditions. Replication effects (temporal and spatial) were not significant, confirming the robustness of the experimental design. Together, these results highlight the context-dependent nature of nematode chemotaxis, shaped by both chemical and environmental cues.
At 18 °C (Table 3), 2PF emerged as a mild attractant for P. papillosa and O. onirici (CI = 0.11 ± 0.01 each), but a strong attractant for O. myriophilus (CI = 0.29 ± 0.01). DMS also stimulated strong attraction in P. papillosa (CI = 0.20 ± 0.01) and a milder response in O. myriophilus. In contrast, H and N2E acted as neutral to weak repellents across species, with P. papillosa and O. myriophilus showing the strongest negative responses to H.
Binary blends produced variable effects. DMS × 2PF acted as a strong attractant for O. myriophilus (CI = 0.27 ± 0.07), whereas H × N2E induced weak repellence in P. papillosa and O. myriophilus.
Complex blends often reduced chemotaxis, with the four-component blend (DMS × H × 2PF × N2E) acting as a mild repellent for P. papillosa (CI = −0.18 ± 0.06). However, contrary to the earlier generalization, O. onirici showed a more positive response to DMS × 2PF × N2E (CI = 0.19 ± 0.01).
At 22 °C (Table 4), species-specific variation was more pronounced. DMS elicited the strongest attraction across all species, particularly P. papillosa (CI = 0.26 ± 0.02). H also produced strong attraction in P. papillosa and O. myriophilus (CIs = 0.23–0.24), though O. onirici responded more moderately. Binary and ternary blends displayed contrasting effects, with DMS × H × 2PF attractive to both O. myriophilus and O. onirici, while H × N2E induced a strong repellent effect in P. papillosa (CI = −0.33 ± 0.06). Importantly, the DMS × 2PF × N2E blend was found to be strongly attractive to both O. myriophilus and O. onirici (CIs > 0.20).
Overall, O. myriophilus displayed the highest sensitivity to VOCs across both temperatures, whereas P. papillosa and O. onirici showed more variable responses depending on compound identity and blend complexity. These findings reinforce the importance of evaluating both individual compounds and blends, as well as considering temperature effects, when characterizing nematode chemotaxis.

4. Discussion

This study advances understanding of the chemical ecology of SPNs by demonstrating that their chemotactic responses to barley-derived volatile organic compounds (VOCs) are strongly shaped by species identity, compound identity, and temperature. The findings emphasize the complexity of belowground signaling and highlight both opportunities and challenges for exploiting VOCs in biological control.
Species- and compound-specific responses were evident throughout. O. myriophilus consistently exhibited the strongest attraction, particularly to 2PF and DMS, suggesting high chemosensory acuity and flexibility. These volatiles are well-known products of microbial metabolism and plant root exudation [12,19,22,23] and may therefore act as indirect indicators of gastropod presence or decaying organic substrates. P. papillosa also responded positively to DMS and 2PF but with more variable responses across other compounds, while O. onirici was less responsive overall, except for certain blends such as DMS × 2PF × N2E at 22 °C. This species-level variation supports earlier suggestions that slug-parasitic nematodes differ in host-searching strategies and ecological niches [24,25,26].
In contrast, aldehydes such as hexanal (H) and (E)-non-2-enal (N2E) elicited neutral or negative responses in most cases. For O. onirici, hexanal consistently ranked among the least attractive compounds, while P. papillosa and O. myriophilus displayed weak to moderate attraction only under specific conditions. Aldehydes are often associated with plant stress, senescence, or toxicity [11,22,23], which may explain their limited attractiveness to SPNs. These results suggest that SPNs may actively avoid cues linked to unfavorable or degraded habitats.
Blend effects further highlight the integrative nature of nematode chemosensory behavior. Several binary blends (e.g., DMS × 2PF) enhanced attraction compared with individual compounds, while more complex blends, such as DMS × H × 2PF × N2E, often suppressed responsiveness. Importantly, antagonistic or masking interactions were not uniform across species: for example, O. onirici responded positively to DMS × 2PF × N2E at 22 °C, whereas P. papillosa showed repulsion to the four-component blend. These outcomes mirror findings in other nematode systems, where blends can override or amplify responses to individual components [11,18]. Such complexity reinforces that nematodes likely process odor cues hierarchically, prioritizing some volatiles while ignoring or suppressing others.
Temperature emerged as a major modulator of nematode responsiveness. Across species, stronger motility and chemotaxis were generally observed at 22 °C compared with 18 °C. This pattern is consistent with studies showing enhanced nematode mobility, sensory acuity, and infection rates at warmer temperatures [9,11,24,27]. However, higher temperatures did not uniformly increase attraction: some blends remained neutral or repellent, and species-specific differences persisted. These results indicate that field applications of VOC-based lures must consider seasonal and microclimatic variability, as nematode performance will depend heavily on temperature regimes.
The three-way interaction among species, VOC identity, and temperature underscores the multifactorial nature of nematode chemical ecology. For practical applications, this means that semiochemical-based control approaches (e.g., lure-and-infect strategies [28,29]) cannot rely on single attractants but must account for the species of nematode deployed and the environmental conditions in which they operate. A “one-size-fits-all” attractant is unlikely; instead, tailored blends may be required to optimize foraging and infection in target habitats.
Finally, while our standardized dose of 0.03 ppm was chosen to reflect average reported levels near barley roots [17], actual field concentrations are dynamic, influenced by soil type, microbial activity, and plant growth stage. Future work should therefore test identified attractants under more realistic soil systems and across a range of concentrations. Evaluating persistence, diffusion, and microbial interactions of these volatiles will be crucial for determining their field relevance and biocontrol potential.

5. Conclusions

Slug-parasitic nematode responses to barley-derived VOCs are species-specific and temperature-dependent, with 2-pentylfuran and dimethyl sulfide acting as the most consistent attractants, while aldehydes generally elicited weak or negative responses. VOC blends often reduced attraction, highlighting the complexity of chemical signal integration in soil environments. These findings show that both biotic and abiotic factors must be considered in designing semiochemical-based “lure-and-infect” strategies. Future work should validate candidate attractants under field conditions to develop more reliable and sustainable tools for slug management in cereal systems.

Author Contributions

Ž.L. designed the project and conducted the chemotactic experiment; S.T. conducted the chemotactic assay; Ž.L. analyzed the data and wrote the paper. All authors have read and agreed to the published version of the manuscript.

Funding

This work was conducted within project J4-50135 and research programme P4-0431, both funded by the Slovenian Research Agency. Part of this research was also funded through the Professional Tasks from the Field of Plant Protection programme, supported by the Ministry of Agriculture, Forestry, and Food of the Republic of Slovenia—Phytosanitary Administration.

Data Availability Statement

The data presented in this study are available on request from the corresponding author.

Acknowledgments

Special thanks are given to Jaka Rupnik, Karolina Kralj, Mohammad Yonesi, and Martina Vidic for their technical assistance.

Conflicts of Interest

The authors declare no conflicts of interest.

References

  1. Kaya, H.K.; Gaugler, R. Entomopathogenic Nematodes. Annu. Rev. Entomol. 1993, 38, 181–206. [Google Scholar] [CrossRef]
  2. Dillman, A.R.; Sternberg, P.W. Entomopathogenic Nematodes. Curr. Biol. 2012, 22, R430–R431. [Google Scholar] [CrossRef]
  3. Wilson, M.J.; Glen, D.M.; George, S.K. The Rhabditid Nematode Phasmarhabditis hermaphrodita as a Potential Biological Control Agent for Slugs. Biocontrol Sci. Technol. 1993, 3, 503–511. [Google Scholar] [CrossRef]
  4. Pieterse, A.; Tiedt, L.R.; Malan, A.P.; Ross, J.L. First record of Phasmarhabditis papillosa (Nematoda: Rhabditidae) in South Africa, and its virulence against the invasive slug, Deroceras panormitanum. Nematology 2017, 19, 1035–1050. [Google Scholar] [CrossRef]
  5. Campos-Herrera, R.; Půža, V.; Jaffuel, G.; Blanco-Pérez, R.; Čepulyte Rakauskiene, R.; Turlings, T. Unraveling the intraguild competition between Oscheius spp. nematodes and entomopathogenic nem-atodes: Implications for their natural distribution in Swiss agricultural soils. J. Invertebr. Pathol. 2015, 132, 216–227. [Google Scholar] [CrossRef]
  6. Rowson, B.; Turner, J.; Anderson, R.; Symondson, B. Slugs of Britain and Ireland; FSC Publications: Telford, UK, 2014. [Google Scholar]
  7. Laznik, Ž.; Trdan, S.; Tóth, T.; Ádám, S.; Lakatos, T.; Majić, I. Discovery of Oscheius myriophilus (Nematoda: Rhabditidae) in Gastropods and Its Similar Virulence to Phasmarhabditis papillosa against Arion vulgaris, Deroceras reticulatum, and Cernuella virgata. Agronomy 2023, 13, 1386. [Google Scholar] [CrossRef]
  8. Rae, R. Avoidance and Attraction Behaviour of Slugs Exposed to Parasitic Nematodes. J. Invertebr. Pathol. 2023, 197, 107896. [Google Scholar] [CrossRef] [PubMed]
  9. Cutler, J.; Rae, R. Natural Variation in Host-Finding Behaviour of Gastropod Parasitic Nematodes (Phasmarhabditis spp.) Exposed to Host-Associated Cues. J. Helminthol. 2021, 95, e10. [Google Scholar] [CrossRef]
  10. Hallem, E.A.; Dillman, A.R.; Hong, A.V.; Zhang, Y.; Yano, J.M.; DeMarco, S.F.; Sternberg, P.W. A sensory code for host seeking in parasitic nematodes. Curr. Biol. 2011, 21, 377–383. [Google Scholar] [CrossRef]
  11. Laznik, Ž.; Tóth, T.; Ádám, S.; Trdan, S.; Majić, I.; Lakatos, T. Responses of parasitic nematodes to volatile organic compounds emitted by Brassica nigra roots. Agronomy 2025, 15, 664. [Google Scholar] [CrossRef]
  12. Delory, B.M.; Delaplace, P.; Fauconnier, M.L.; Du Jardin, P. Root-emitted volatile organic compounds: Can they mediate belowground plant-plant interactions? Plant Soil 2016, 402, 1–26. [Google Scholar] [CrossRef]
  13. Rasmann, S.; Köllner, T.; Degenhardt, J.; Hiltpold, I.; Toepfer, S.; Kuhlmann, U.; Gershenzon, J.; Turlings, T.C.J. Recruitment of entomopathogenic nematodes by insect-damaged maize roots. Nature 2005, 434, 732–737. [Google Scholar] [CrossRef] [PubMed]
  14. Ali, J.G.; Alborn, H.T.; Stelinski, L.L. Subterranean herbivore-induced volatiles released by citrus roots upon feeding by Diaprepes abbreviatus recruit entomopathogenic nematodes. J. Chem. Ecol. 2010, 36, 361–368. [Google Scholar] [CrossRef]
  15. Laznik, Ž.; Trdan, S.; Yonesi, M. Chemotactic responses of slug-parasitic nematodes to potato-tuber-emitted volatile organic compounds. Agronomy 2025, 15, 951. [Google Scholar] [CrossRef]
  16. Giraldo, P.; Benavente, E.; Manzano-Agugliaro, F.; Gimenez, E. Worldwide Research Trends on Wheat and Barley: A Bibliometric Comparative Analysis. Agronomy 2019, 9, 352. [Google Scholar] [CrossRef]
  17. Gfeller, A.; Laloux, M.; Barsics, F.; Kati, D.E.; Haubruge, E.; du Jardin, P.; Verheggen, F.J.; Lognay, G.; Wathelet, J.-P.; Fauconnier, M.-L. Characterization of Volatile Organic Compounds Emitted by Barley (Hordeum vulgare L.) Roots and Their Attractiveness to Wireworms. J. Chem. Ecol. 2013, 39, 1129–1139. [Google Scholar] [CrossRef]
  18. Jagodič, A.; Majić, I.; Trdan, S.; Laznik, Ž. Are Synthetic VOCs, Typically Emitted by Barley (Hordeum vulgare L.) Roots, Navigation Signals for Entomopathogenic Nematodes (Steinernema and Heterorhabditis)? Russ. J. Nematol. 2020, 28, 29–39. [Google Scholar]
  19. Wenke, K.; Kai, M.; Piechulla, B. Belowground volatiles facilitate interactions between plant roots and soil organisms. Planta 2010, 231, 499–506. [Google Scholar] [CrossRef] [PubMed]
  20. Zhang, X.; Li, L.; Kesner, L.; Robert, C.A.M. Chemical host-seeking cues of entomopathogenic nematodes. Curr. Opin. Insect Sci. 2021, 44, 72–81. [Google Scholar] [CrossRef]
  21. O’Halloran, D.M.; Burnell, A.M. An Investigation of Chemotaxis in the Insect Parasitic Nematode Heterorhabditis bacteriophora. Parasitology 2003, 127, 375–385. [Google Scholar] [CrossRef]
  22. van Dam, N.M.; Bouwmeester, H.J. Metabolomics in the rhizosphere: Tapping into belowground chemical communication. Trends Plant Sci. 2016, 21, 256–265. [Google Scholar] [CrossRef]
  23. Grunseich, J.M.; Thompson, M.N.; Hay, A.A.; Gorman, Z.; Kolomiets, M.V.; Eubanks, M.D.; Helms, A.M. Risky roots and careful herbivores: Sustained herbivory by a root-feeding herbivore attenuates indirect plant defences. Funct. Ecol. 2020, 34, 1779–1789. [Google Scholar] [CrossRef]
  24. Shapiro-Ilan, D.; Lewis, E.E.; Campbell, J.F.; Kim-Shapiro, D.B. Directional Movement of Entomopathogenic Nematodes in Response to Electrical Field: Effect of Species, Magnitude of Voltage, and Infective Juvenile Age. J. Invertebr. Pathol. 2012, 109, 34–40. [Google Scholar] [CrossRef]
  25. Lewis, E.E. Behavioural Ecology. In Entomopathogenic Nematology; Gaugler, R., Ed.; CABI Publishing: Wallingford, UK, 2002; pp. 205–223. [Google Scholar]
  26. Ghavamabad, R.G.; Talebi, A.A.; Mehrabadi, M.; Farashiani, M.E.; Pedram, M. First record of Oscheius myriophilus (Poinar, 1986) (Rhabditida: Rhabditidae) from Iran; and its efficacy against two economic forest tree pests in laboratory condition. J. Nematol. 2021, 53, e2021–e2035. [Google Scholar] [CrossRef]
  27. Laznik, Ž.; Trdan, S.; Šavli, K. Chemotactic responses of Oscheius myriophilus to mollusk mucus. Agronomy 2024, 14, 3049. [Google Scholar] [CrossRef]
  28. Hiltpold, I.; Hibbard, B.E.; Wade French, B.; Turlings, T.C.J. Capsules Containing Entomopathogenic Nematodes as a Trojan Horse Approach to Control the Western Corn Rootworm. Plant Soil 2012, 358, 11–25. [Google Scholar] [CrossRef]
  29. Degenhardt, J.; Gershenzon, J.; Baldwin, I.T.; Kessler, A. Attracting friends to feast on foes: Engineering terpene emission to make crop plants more attractive to herbivore enemies. Curr. Opin. Biotechnol. 2009, 20, 186–191. [Google Scholar] [CrossRef] [PubMed]
Figure 1. Schematic representation of the chemotaxis assay setup. Each 9 cm Petri dish was marked on the underside with three 1 cm-diameter reference points: one at the center and two positioned 1.5 cm from the left and right edges. The test VOCs, including single compounds or binary/multi-component blends, was applied to the agar surface at the left-side reference point (treated area) by pipetting 10 μL of the test solution at the target concentration. Simultaneously, 10 μL of 96% ethanol (solvent control) was applied to the right-side reference point (control area). Immediately after VOC application, 100 IJs suspended in 10 μL of M9 buffer were placed at the central reference point. For negative controls, both the treated and control areas received 10 μL of ethanol, while nematodes were introduced in the same manner. This standardized and symmetrical assay design ensured consistent spatial orientation, application volume, and experimental conditions across replicates, enabling reliable and reproducible evaluation of nematode chemotactic responses to VOCs, blends, and controls.
Figure 1. Schematic representation of the chemotaxis assay setup. Each 9 cm Petri dish was marked on the underside with three 1 cm-diameter reference points: one at the center and two positioned 1.5 cm from the left and right edges. The test VOCs, including single compounds or binary/multi-component blends, was applied to the agar surface at the left-side reference point (treated area) by pipetting 10 μL of the test solution at the target concentration. Simultaneously, 10 μL of 96% ethanol (solvent control) was applied to the right-side reference point (control area). Immediately after VOC application, 100 IJs suspended in 10 μL of M9 buffer were placed at the central reference point. For negative controls, both the treated and control areas received 10 μL of ethanol, while nematodes were introduced in the same manner. This standardized and symmetrical assay design ensured consistent spatial orientation, application volume, and experimental conditions across replicates, enabling reliable and reproducible evaluation of nematode chemotactic responses to VOCs, blends, and controls.
Agronomy 15 02162 g001
Figure 2. Effect of individual VOCs and their synthetic blends on the motility of IJs of three gastropod-parasitic nematode species (Phasmarhabditis papillosa, Oscheius myriophilus, and Oscheius onirici) at 18 °C. Motility was assessed as the percentage of IJs migrating from the center to the treated and control zones of the Petri dish. Data are presented as mean ± standard error (S.E.) for each treatment. Uppercase letters above the bars indicate statistically significant differences among nematode species for the same VOCs or blend (p < 0.05). Identical letters indicate no significant difference. VOCs tested include dimethyl sulfide (DMS), hexanal (H), 2-pentylfuran (2PF), and (E)-non-2-enal (N2E), applied alone or in combination. The control treatment consisted of 96% ethanol only.
Figure 2. Effect of individual VOCs and their synthetic blends on the motility of IJs of three gastropod-parasitic nematode species (Phasmarhabditis papillosa, Oscheius myriophilus, and Oscheius onirici) at 18 °C. Motility was assessed as the percentage of IJs migrating from the center to the treated and control zones of the Petri dish. Data are presented as mean ± standard error (S.E.) for each treatment. Uppercase letters above the bars indicate statistically significant differences among nematode species for the same VOCs or blend (p < 0.05). Identical letters indicate no significant difference. VOCs tested include dimethyl sulfide (DMS), hexanal (H), 2-pentylfuran (2PF), and (E)-non-2-enal (N2E), applied alone or in combination. The control treatment consisted of 96% ethanol only.
Agronomy 15 02162 g002
Figure 3. Effect of individual VOCs and their synthetic blends on the motility of IJs of three gastropod-parasitic nematode species (Phasmarhabditis papillosa, Oscheius myriophilus, and Oscheius onirici) at 22 °C. Motility was assessed as the percentage of IJs migrating from the center to the treated and control zones of the Petri dish. Data are presented as mean ± standard error (S.E.) for each treatment. Uppercase letters above the bars indicate statistically significant differences among nematode species for the same VOCs or blend (p < 0.05). Identical letters indicate no significant difference. VOCs tested include dimethyl sulfide (DMS), hexanal (H), 2-pentylfuran (2PF), and (E)-non-2-enal (N2E), applied alone or in combination. The control treatment consisted of 96% ethanol only.
Figure 3. Effect of individual VOCs and their synthetic blends on the motility of IJs of three gastropod-parasitic nematode species (Phasmarhabditis papillosa, Oscheius myriophilus, and Oscheius onirici) at 22 °C. Motility was assessed as the percentage of IJs migrating from the center to the treated and control zones of the Petri dish. Data are presented as mean ± standard error (S.E.) for each treatment. Uppercase letters above the bars indicate statistically significant differences among nematode species for the same VOCs or blend (p < 0.05). Identical letters indicate no significant difference. VOCs tested include dimethyl sulfide (DMS), hexanal (H), 2-pentylfuran (2PF), and (E)-non-2-enal (N2E), applied alone or in combination. The control treatment consisted of 96% ethanol only.
Agronomy 15 02162 g003
Table 1. ANOVA results for the directional movement of infective juveniles (IJs) from the central area toward treatment and control areas in the Petri dish.
Table 1. ANOVA results for the directional movement of infective juveniles (IJs) from the central area toward treatment and control areas in the Petri dish.
FactorSum of SquaresDfFp
Nematode species (S)6173.672174.11<0.0001
VOCs (V)2399.47159.02<0.0001
Temperature (T)5610.011316.43<0.0001
Temporal replication185.2091.160.3172
Spatial replication37.3721.050.3490
S × V1723.23303.24<0.0001
S × T2715.60276.59<0.0001
V × T984.08153.70<0.0001
S × V × T969.43301.820.0048
Residual15,158.50855
Total (Corrected)35,956.56961
Table 2. ANOVA results for the chemotaxis index values.
Table 2. ANOVA results for the chemotaxis index values.
FactorSum of SquaresDfFp
Nematode species (S)0.0226.630.0014
VOCs (V)0.19158.40<0.0001
Temperature (T)0.0219.940.0017
Temporal replication0.0190.660.7430
Spatial replication0.0122.650.0711
S × V0.12302.65<0.0001
S × T0.0224.970.0071
V × T0.09153.98<0.0001
S × V × T0.07301.550.0317
Residual1.29855
Total (Corrected)1.83961
Table 3. Chemotaxis index (CI ± standard error) of three nematode species—P. papillosa, O. myriophilus, and O. onirici—in response to various VOCs and their binary or complex blends at 18 °C. CI values range from +1.0 (strong attraction) to −1.0 (strong repulsion) and are interpreted as follows: CI ≥ 0.2 indicates a strong attractant; 0.1 ≤ CI < 0.2, mild attractant; −0.1 < CI < 0.1, neutral/no effect; −0.2 < CI ≤ −0.1, mild repellent; and CI ≤ −0.2, strong repellent. Different capital letters within rows indicate significant differences among nematode species for the same VOCs or blend (p < 0.05), based on Duncan’s multiple range test. VOCs tested include dimethyl sulfide (DMS), hexanal (H), 2-pentylfuran (2PF), and (E)-non-2-enal (N2E), applied alone or in combination. The control treatment consisted of 96% ethanol only.
Table 3. Chemotaxis index (CI ± standard error) of three nematode species—P. papillosa, O. myriophilus, and O. onirici—in response to various VOCs and their binary or complex blends at 18 °C. CI values range from +1.0 (strong attraction) to −1.0 (strong repulsion) and are interpreted as follows: CI ≥ 0.2 indicates a strong attractant; 0.1 ≤ CI < 0.2, mild attractant; −0.1 < CI < 0.1, neutral/no effect; −0.2 < CI ≤ −0.1, mild repellent; and CI ≤ −0.2, strong repellent. Different capital letters within rows indicate significant differences among nematode species for the same VOCs or blend (p < 0.05), based on Duncan’s multiple range test. VOCs tested include dimethyl sulfide (DMS), hexanal (H), 2-pentylfuran (2PF), and (E)-non-2-enal (N2E), applied alone or in combination. The control treatment consisted of 96% ethanol only.
Test Compounds and Synthetic Blends18 °C
Phasmarhabditis papillosaOscheius myriophilusOscheius onirici
Control0.00 ± 0.03 B0.05 ± 0.01 A0.01 ± 0.01 B
DMS0.20 ± 0.01 A0.12 ± 0.02 B0.08 ± 0.05 B
2PF0.11 ± 0.01 B0.29 ± 0.01 A0.11 ± 0.01 B
H−0.10 ± 0.01 B−0.10 ± 0.02 B−0.05 ± 0.01 A
N2E−0.13 ± 0.01 A−0.13 ± 0.04 A−0.11 ± 0.01 A
DMS × 2PF0.14 ± 0.06 AB0.27 ± 0.07 A0.10 ± 0.01 B
DMS × H0.01 ± 0.01 A−0.06 ± 0.03 B−0.12 ± 0.01 C
DMS × N2E0.03 ± 0.01 A−0.24 ± 0.01 C−0.03 ± 0.01 B
2PF × N2E0.01 ± 0.06 A−0.06 ± 0.04 A−0.04 ± 0.06 A
H × 2PF0.08 ± 0.01 A0.01 ± 0.01 B0.03 ± 0.02 B
H × N2E−0.06 ± 0.01 AB−0.10 ± 0.02 B−0.04 ± 0.02 A
DMS × H × N2E0.07 ± 0.04 A0.02 ± 0.01 A−0.02 ± 0.06 A
DMS × 2PF × N2E0.08 ± 0.04 B0.09 ± 0.02 B0.19 ± 0.01 A
DMS × H × 2PF0.07 ± 0.02 A0.06 ± 0.02 A0.01 ± 0.00 B
H × 2PF × N2E0.18 ± 0.02 A0.09 ± 0.01 B0.08 ± 0.01 B
DMS × H × 2PF × N2E−0.18 ± 0.06 C0.04 ± 0.01 A−0.01 ± 0.01 B
Table 4. Chemotaxis index (CI ± standard error) of three nematode species—P. papillosa, O. myriophilus, and O. onirici—in response to various VOCs and their binary or complex blends at 22 °C. CI values range from +1.0 (strong attraction) to −1.0 (strong repulsion) and are interpreted as follows: CI ≥ 0.2 indicates a strong attractant; 0.1 ≤ CI < 0.2, mild attractant; −0.1 < CI < 0.1, neutral/no effect; −0.2 < CI ≤ −0.1, mild repellent; and CI ≤ −0.2, strong repellent. Different capital letters within rows indicate significant differences among nematode species for the same VOCs or blend (p < 0.05), based on Duncan’s multiple range test. VOCs tested include dimethyl sulfide (DMS), hexanal (H), 2-pentylfuran (2PF), and (E)-non-2-enal (N2E), applied alone or in combination. The control treatment consisted of 96% ethanol only.
Table 4. Chemotaxis index (CI ± standard error) of three nematode species—P. papillosa, O. myriophilus, and O. onirici—in response to various VOCs and their binary or complex blends at 22 °C. CI values range from +1.0 (strong attraction) to −1.0 (strong repulsion) and are interpreted as follows: CI ≥ 0.2 indicates a strong attractant; 0.1 ≤ CI < 0.2, mild attractant; −0.1 < CI < 0.1, neutral/no effect; −0.2 < CI ≤ −0.1, mild repellent; and CI ≤ −0.2, strong repellent. Different capital letters within rows indicate significant differences among nematode species for the same VOCs or blend (p < 0.05), based on Duncan’s multiple range test. VOCs tested include dimethyl sulfide (DMS), hexanal (H), 2-pentylfuran (2PF), and (E)-non-2-enal (N2E), applied alone or in combination. The control treatment consisted of 96% ethanol only.
Test Compounds and Synthetic Blends22 °C
Phasmarhabditis papillosaOscheius myriophilusOscheius onirici
Control0.05 ± 0.01 A−0.03 ± 0.01 B−0.05 ± 0.03 B
DMS0.26 ± 0.02 A0.20 ± 0.02 B0.13 ± 0.01 C
2PF0.18 ± 0.02 A0.17 ± 0.01 A0.12 ± 0.01 B
H0.23 ± 0.02 A0.24 ± 0.02 A0.07 ± 0.04 B
N2E−0.16 ± 0.01 B−0.14 ± 0.01 B−0.11 ± 0.01 A
DMS × 2PF0.23 ± 0.02 A0.15 ± 0.02 B0.26 ± 0.01 A
DMS × H0.08 ± 0.02 B0.10 ± 0.02 B0.15 ± 0.01 A
DMS × N2E0.15 ± 0.02 A−0.19 ± 0.03 C−0.08 ± 0.02 B
2PF × N2E−0.03 ± 0.04 AB−0.03 ± 0.01 B−0.01 ± 0.01 A
H × 2PF−0.04 ± 0.01 A−0.05 ± 0.03 A−0.07 ± 0.02 A
H × N2E−0.33 ± 0.06 A−0.25 ± 0.02 A−0.12 ± 0.01 B
DMS × H × N2E−0.09 ± 0.01 A−0.17 ± 0.01 B−0.13 ± 0.06 AB
DMS × 2PF × N2E0.13 ± 0.03 B0.20 ± 0.03 A0.21 ± 0.01 A
DMS × H × 2PF−0.09 ± 0.02 B0.22 ± 0.01 A0.24 ± 0.05 A
H × 2PF × N2E0.05 ± 0.02 A−0.21 ± 0.01 C−0.11 ± 0.02 B
DMS × H × 2PF × N2E−0.13 ± 0.01 B−0.24 ± 0.06 C−0.07 ± 0.04 A
Disclaimer/Publisher’s Note: The statements, opinions and data contained in all publications are solely those of the individual author(s) and contributor(s) and not of MDPI and/or the editor(s). MDPI and/or the editor(s) disclaim responsibility for any injury to people or property resulting from any ideas, methods, instructions or products referred to in the content.

Share and Cite

MDPI and ACS Style

Laznik, Ž.; Trdan, S. Chemotactic Responses of Slug-Parasitic Nematodes to Barley Root-Emitted Volatile Organic Compounds. Agronomy 2025, 15, 2162. https://doi.org/10.3390/agronomy15092162

AMA Style

Laznik Ž, Trdan S. Chemotactic Responses of Slug-Parasitic Nematodes to Barley Root-Emitted Volatile Organic Compounds. Agronomy. 2025; 15(9):2162. https://doi.org/10.3390/agronomy15092162

Chicago/Turabian Style

Laznik, Žiga, and Stanislav Trdan. 2025. "Chemotactic Responses of Slug-Parasitic Nematodes to Barley Root-Emitted Volatile Organic Compounds" Agronomy 15, no. 9: 2162. https://doi.org/10.3390/agronomy15092162

APA Style

Laznik, Ž., & Trdan, S. (2025). Chemotactic Responses of Slug-Parasitic Nematodes to Barley Root-Emitted Volatile Organic Compounds. Agronomy, 15(9), 2162. https://doi.org/10.3390/agronomy15092162

Note that from the first issue of 2016, this journal uses article numbers instead of page numbers. See further details here.

Article Metrics

Back to TopTop