Genome-Wide Identification of Cysteine-Rich Polycomb-like Protein (CPP) Gene Family and Their Expression Profile Analysis in Stem Lettuce (Lactuca sativa)
Abstract
1. Introduction
2. Materials and Methods
2.1. Identification of Lettuce CPP TF Family Members
2.2. Multiple Sequence Alignment and Phylogenetic Analysis
2.3. Conserved Domain, Gene Structure, Chromosomal Localization, and cis-Acting Elements Analysis
2.4. Interaction Network, Collinearity Analysis, and Secondary and Tertiary Structure Prediction
2.5. Experimental Materials and Treatments
2.6. Heat Map and qRT-PCR Analysis
3. Results
3.1. Identification and Analysis of CPP TFs in Lettuce
3.2. Phylogenetic Analysis of LsCPP TFs
3.3. Analysis of Conserved Domains and Gene Structures
3.4. Analysis of Conserved Motifs of LsCPP TFs
3.5. Secondary and Tertiary Structure Prediction of Lettuce CPP
3.6. Cis-Element Analysis of LsCPP Genes
3.7. Chromosomal Location of LsCPP Genes
3.8. Heatmap Analysis of LsCPP Gene Family During Stem Enlargement Stage
3.9. Expression Profiles Analysis of LsCPP Genes by qRT-PCR
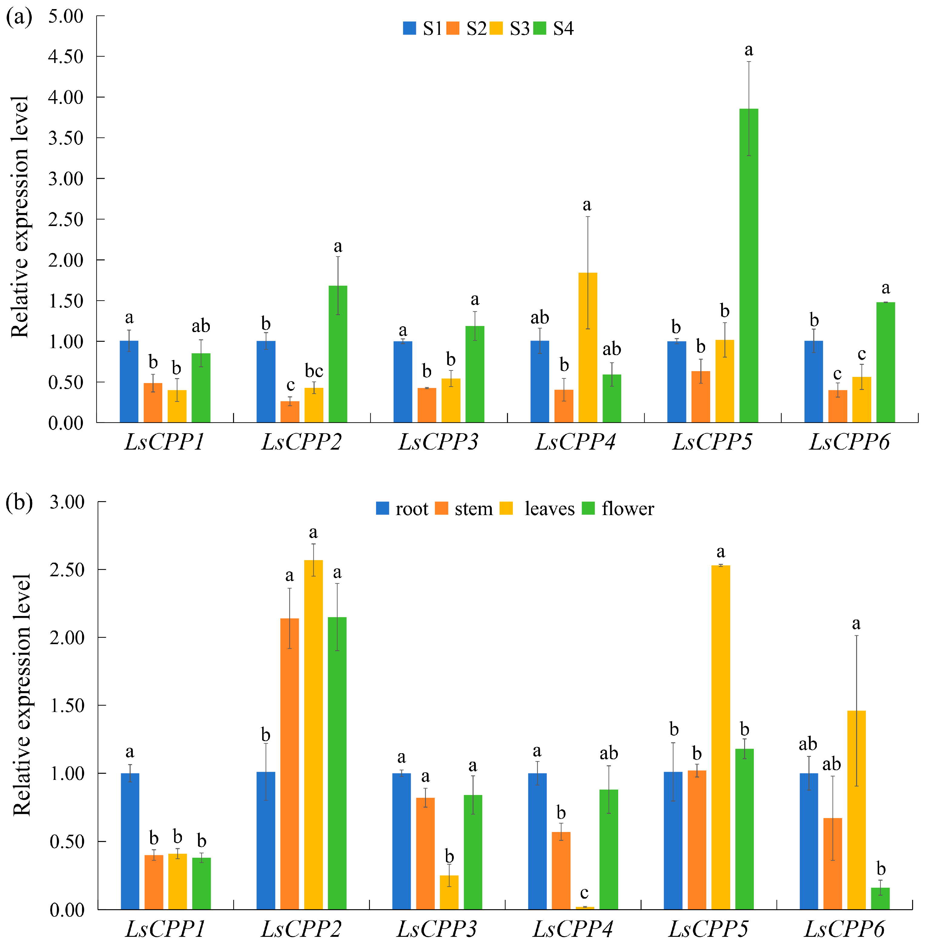
3.9.1. Expression Levels of LsCPP Genes at Different Stem Expansion Stages and Different Tissues in Stem Lettuce
3.9.2. Expression Levels of LsCPP Genes Under Abiotic Stresses
3.9.3. Expression Levels of LsCPP Genes Under Plant Hormone Treatment
3.10. Synteny Analysis of LsCPP Genes
3.11. Protein–Protein Interaction (PPI) Network Analysis of LsCPP TFs
4. Discussion
5. Conclusions
Supplementary Materials
Author Contributions
Funding
Data Availability Statement
Conflicts of Interest
Abbreviations
| ABA | Abscisic acid |
| CDS | Coding sequence |
| CPP | Cysteine-rich polycomb-like protein |
| GA | Gibberellin |
| JA | Jasmonic acid |
| qRT-PCR | Quantitative reverse transcription polymerase chain reaction |
| SA | Salicylic acid |
| TFs | Transcription factors |
| UTR | Untranslated region |
References
- Weidemüller, P.; Kholmatov, M.; Petsalaki, E.; Zaugg, J.B. Transcription factors: Bridge between cell signaling and gene regulation. Proteomics 2021, 21, 23–24. [Google Scholar] [CrossRef]
- Liu, Y.; Wu, Q.; Qin, Z.; Huang, J. Transcription factor OsNAC055 regulates GA-mediated lignin biosynthesis in rice straw. Plant Sci. 2022, 325, 111455. [Google Scholar] [CrossRef]
- Li, J.; Li, B.; Zhou, X.; Ma, X.; Xie, R.; Sun, Y.; Su, S. An ALOG transcription factor targets a TALE homeobox gene during corolla abscission in Torenia fournieri. New Phytol. 2025, 247, 1912–1924. [Google Scholar] [CrossRef] [PubMed]
- Zeng, R.; Shi, Y.; Guo, L.; Fu, D.; Li, M.; Zhang, X.; Li, Z.; Zhuang, J.; Yang, X.; Zuo, J.; et al. A natural variant of COOL1 gene enhances cold tolerance for high-latitude adaptation in maize. Cell 2025, 188, 1315–1329. [Google Scholar] [CrossRef]
- Kidokoro, S.; Shinozaki, K.; Yamaguchi-Shinozaki, K. Transcriptional regulatory network of plant cold-stress responses. Trends Plant Sci. 2022, 27, 922–935. [Google Scholar] [CrossRef]
- Gao, F.; Dubos, C. The Arabidopsis bHLH transcription factor family. Trends Plant Sci. 2024, 29, 668–680. [Google Scholar] [CrossRef]
- Xu, P.; Yang, Y.; Zhao, Z.; Hu, J.; Xie, J.; Wang, L.; Zheng, H.; Cai, W. The transcription factor Dof3.6/OBP3 regulates iron homeostasis in Arabidopsis. EMBO J. 2025, 44, 251–268. [Google Scholar] [CrossRef]
- Riechmann, J.L.; Heard, J.; Martin, G.; Reuber, L.; Jiang, C.; Keddie, J.; Adam, L.; Pineda, O.; Ratcliffe, O.J.; Samaha, R.R.; et al. Arabidopsis transcription factors: Genome-wide comparative analysis among eukaryotes. Science 2000, 290, 2105–2110. [Google Scholar] [CrossRef]
- Zhang, F.; Fang, C.; Liang, W. Molecular mechanisms regulating lamina joint development in rice. Agronomy 2024, 14, 1562. [Google Scholar] [CrossRef]
- Jin, J.P.; Tian, F.; Yang, D.C.; Meng, Y.Q.; Kong, L.; Luo, J.C.; Gao, G. PlantTFDB 4.0: Toward a central hub for transcription factors and regulatory interactions in plants. Nucleic Acids Res. 2017, 45, D1040–D1045. [Google Scholar] [CrossRef] [PubMed]
- Tan, J.; Xuan, X.; Su, S.; Jiao, Y.; Guo, H.; Zhang, Z. Comprehensive analysis of the CPP gene family in Moso bamboo: Insights into their role in rapid shoot growth. BMC Genom. 2024, 25, 1173. [Google Scholar] [CrossRef] [PubMed]
- Li, M.; Wang, F.; Ma, J.; Liu, H.; Ye, H.; Zhao, P.; Wang, J. Comprehensive evolutionary analysis of CPP genes in Brassica napus L. and its two diploid progenitors revealing the potential molecular basis of allopolyploid adaptive advantage under salt stress. Front. Plant Sci. 2022, 13, 873071. [Google Scholar] [CrossRef] [PubMed]
- Bakhtari, B.; Zamani, E. Genome-wide identification and characterization of Cysteine-Rich Polycomb-like Protein and E2F/DP gene families in quinoa (Chenopodium quinoa). Genet. Resour. Crop Evol. 2025, 72, 6387–6405. [Google Scholar] [CrossRef]
- Jiang, L.; Zhu, M.; Huang, Y.; Zhang, Q. Genome-wide characterization and expression analysis of the cysteine-rich polycomb-like protein gene family in response to hormone signaling in apple (Malus domestica). Int. J. Mol. Sci. 2025, 26, 5528. [Google Scholar] [CrossRef] [PubMed]
- Liu, Z.; Running, M.P.; Meyerowitz, E.M. TSO1 functions in cell division during Arabidopsis flower development. Development 1997, 124, 665–672. [Google Scholar] [CrossRef]
- Sijacic, P.; Wang, W.; Liu, Z. Recessive antimorphic alleles overcome functionally redundant loci to reveal TSO1 function in Arabidopsis flowers and meristems. PLoS Genet. 2011, 7, 11. [Google Scholar] [CrossRef]
- Yang, Z.; Gu, S.; Wang, X.; Li, W.; Tang, Z.; Xu, C. Molecular evolution of the CPP-like gene family in plants: Insights from comparative genomics of Arabidopsis and rice. J. Mol. Evol. 2008, 67, 266–277. [Google Scholar] [CrossRef]
- Zhou, Y.; Hu, L.; Ye, S.; Jiang, L.; Liu, S. Genome-wide identification and characterization of cysteine-rich polycomb-like protein CPP family genes in cucumber (Cucumis sativus) and their roles in stress responses. Biologia 2018, 73, 425–435. [Google Scholar] [CrossRef]
- Sun, Y.; Jia, X.; Chen, D.; Fu, Q.; Chen, J.; Yang, W.; Yang, H.; Xu, X. Genome-wide identification and expression analysis of cysteine-rich polycomb-like protein (CPP) gene family in tomato. Int. J. Mol. Sci. 2023, 24, 5762. [Google Scholar] [CrossRef]
- Dzinyela, R.; Manda, T.; Hwarari, D.; Yang, L.M.; Movahedi, A. Genomic characterization and expression analysis of the cysteine-rich polycomb-like protein gene family of Populus trichocarpa. S. Afr. J. Bot. 2025, 181, 67–82. [Google Scholar] [CrossRef]
- Wang, W.; Sijacic, P.; Xu, P.; Lian, H.; Liu, Z. Arabidopsis TSO1 and MYB3R1 form a regulatory module to coordinate cell proliferation with differentiation in shoot and root. Proc. Natl. Acad. Sci. USA 2018, 115, 13. [Google Scholar] [CrossRef]
- Ullah, U.; Buttar, Z.A.; Shalmani, A.; Muhammad, I.; Ud-Din, A.; Ali, H. Genome-wide identification and expression analysis of CPP-like gene family in Triticum aestivum L. under different hormone and stress conditions. Open Life Sci. 2022, 171, 544–562. [Google Scholar] [CrossRef]
- Tian, J.Y.; Wang, Q.X.; Zheng, S.W. Genome-wide identification and expression profile analysis of the CPP gene family in Medicago truncatula. Acta Prataculturae Sin. 2022, 317, 111–121. [Google Scholar]
- Nan, H.; Lin, Y.L.; Wang, X.H.; Gao, L.Z. Comprehensive genomic analysis and expression profiling of cysteine-rich polycomb-like transcription factor gene family in tea tree. Hortic. Plant J. 2021, 7, 469–478. [Google Scholar] [CrossRef]
- Li, Z.F.; Yang, X.Y.; Li, Z.X.; Zou, X.L.; Jiang, C.Y.; Zhu, J.X.; Zhang, Y.J.; Han, Y.Y.; Liu, C.J.; Hao, J.J. Genome-wide analysis of ABF gene family in lettuce (Lactuca sativa L.) reveals the negative roles of LsABF1 in thermally induced bolting. J. Hortic. Sci. Bi. 2025, 100, 53–67. [Google Scholar] [CrossRef]
- Park, S.; Shi, A.; Meinhardt, L.W.; Mou, B. Genome-wide characterization and evolutionary analysis of the AP2/ERF gene family in lettuce Lactuca sativa. Sci. Rep. 2023, 131, 21990. [Google Scholar] [CrossRef]
- Yun, Y.J.; Kim, S.S.; Lee, J.H.; Kim, Y.C. Overexpression of lettuce TEOSINTE BRANCHED1/CYCLOIDEA/PCF (TCP) transcription factor genes (LsTCP13 and LsTCP17) promotes flowering time through upregulation of AtFT and AtAP1 in Arabidopsis. Plant Biotechnol. Rep. 2023, 17, 509–517. [Google Scholar] [CrossRef]
- Luo, K.S.; Zhang, D.C.; Zhai, Z.D.; Liu, X.; Zhou, J.; Zhang, B.; Li, D.Y. Genome-wide analysis of YABBY gene family in lettuce (Lactuca sativa) and functional characterization of LsaFILd. J. Plant Growth Regul. 2023, 42, 2124–2135. [Google Scholar] [CrossRef]
- Finn, R.D.; Tate, J.; Mistry, J.; Coggill, P.C.; Sammut, S.J.; Hotz, H.R.; Ceric, G.; Forslund, K.; Eddy, S.R.; Sonnhammer, E.L.; et al. The Pfam protein families database. Nucleic Acids Res. 2008, 36, 281–288. [Google Scholar] [CrossRef]
- Eddy, S.R. Accelerated profile HMM searches. PLoS Comput. Biol. 2011, 7, e1002195. [Google Scholar] [CrossRef]
- Duvaud, S.; Gabella, C.; Lisacek, F.; Stockinger, H.; Ioannidis, V.; Durinx, C. Expasy, the swiss bioinformatics resource portal, as designed by its users. Nucleic Acids Res. 2021, 49, W216–W227. [Google Scholar] [CrossRef]
- Tamura, K.; Stecher, G.; Kumar, S. MEGA11 molecular evolutionary genetics analysis version 11. Mol. Biol. Evol. 2021, 38, 3022–3027. [Google Scholar] [CrossRef] [PubMed]
- Nystrom, S.L.; McKay, D.J. Memes: A motif analysis environment in R using tools from the MEME Suite. PLoS Comput. Biol. 2021, 17, e1008991. [Google Scholar] [CrossRef]
- Chen, C.; Chen, H.; Zhang, Y.; Thomas, H.R.; Frank, M.H.; He, Y.; Xia, R. TBtools: An integrative toolkit developed for interactive analyses of big biological data. Mol. Plant 2020, 13, 1194–1202. [Google Scholar] [CrossRef]
- Huang, Y.; Li, Y.; Liu, Z.; Chen, W.; Wang, Y.; Wang, X.; Liu, Y.; Zheng, Y. Combined analysis of the transcriptome and metabolome provides insights into the fleshy stem expansion mechanism in stem lettuce. Front. Plant Sci. 2022, 13, 1101199. [Google Scholar] [CrossRef]
- Li, X.D.; Meng, B.Y.; Zhang, Z.; Wei, L.J.; Chang, W.; Wang, Y.H.; Zhang, K.; Li, T.; Lu, K. qPrimerDB 2.0: An updated comprehensive gene-specific qPCR primer database for 1172 organisms. Nucleic Acids Res. 2024, 53, D205–D210. [Google Scholar] [CrossRef] [PubMed]
- Livak, K.J.; Schmittgen, T.D. Analysis of relative gene expression data using real-time quantitative PCR and the 2−ΔΔCT Method. Methods 2001, 25, 402–408. [Google Scholar] [CrossRef] [PubMed]
- Borowski, J.M.; Galli, V.; Messias Rda, S.; Perin, E.C.; Buss, J.H.; Silva, S.D.d.A.e.; Rombaldi, C.V. Selection of candidate reference genes for real-time PCR studies in lettuce under abiotic stresses. Planta 2014, 239, 1187–1200. [Google Scholar] [CrossRef]
- Zheng, Q.; Takei-Hoshi, R.; Okumura, H.; Ito, M.; Kawaguchi, K.; Otagaki, S.; Matsumot, S.; Luo, Z.; Zhang, Q.; Shiratake, K. Genome editing of SlMYB3R3, a cell cycle transcription factor gene of tomato, induces elongated fruit shape. J. Exp. Bot. 2022, 73, 7312–7325. [Google Scholar] [CrossRef]
- Lu, T.; Dou, Y.; Zhang, C. Fuzzy clustering of CPP family in plants with evolution and interaction analyses. BMC Bioinform. 2013, 14, S10. [Google Scholar] [CrossRef]
- Cvitanich, C.; Pallisgaard, N.; Nielsen, K.A.; Hansen, A.C.; Larsen, K.; Pihakaski-Maunsbach, K.; Marcker, K.A.; Jensen, E.O. CPP1, a DNA-binding protein involved in the expression of a soybean leghemoglobin c3 gene. Proc. Natl. Acad. Sci. USA 2000, 97, 8163–8168. [Google Scholar] [CrossRef]
- Gu, L.; Kang, T.Y.; Zeng, T.; Wang, H.C.; Zhu, B.; Du, X.Y.; Liu, Y.L. Comprehensive identification and expression analysis of the CPP gene family in maize (Zea mays L.). BMC Plant Biol. 2025, 25, 731. [Google Scholar] [CrossRef]
- Xu, J.; Zhao, X.; Bao, J.; Shan, Y.; Zhang, M.; Shen, Y.; Abubakar, Y.S.; Lu, G.; Wang, Z.; Wang, A. Genome-wide identification and expression analysis of SNARE genes in Brassica napus. Plants 2022, 11, 711. [Google Scholar] [CrossRef]
- Xu, Y.; Yao, Z.P.; Cheng, Y.; Ruan, M.Y.; Ye, Q.J.; Wang, R.Q.; Zhou, G.Z.; Liu, J.; Liu, C.C.; Wan, H.J. Divergent retention of sucrose metabolism genes after whole genome triplication in the tomato (Solanum lycopersicum). Plants 2023, 12, 4145. [Google Scholar] [CrossRef] [PubMed]
- Zhang, X.H.; Yuan, W.C.; Zhao, Y.J.; Ren, Y.; Zhao, X.Q.; Yuan, Z.H. Genome-wide identification and evolutionary analysis of AOMT gene family in pomegranate (Punica granatum). Agronomy 2021, 11, 318. [Google Scholar] [CrossRef]
- Zhang, L.; Zhao, H.K.; Wang, Y.M.; Yuan, C.P.; Zhang, Y.Y.; Li, H.Y.; Yan, X.F.; Li, Q.Y.; Dong, Y.S. Genome-wide identification and expression analysis of the CPP-like gene family in soybean. Genet. Mol. Res. 2015, 14, 1260–1268. [Google Scholar] [CrossRef]
- Huang, J.; Xu, W.; Zhai, J.; Hu, Y.; Guo, J.; Zhang, C.; Zhao, Y.; Zhang, L.; Martine, C.; Ma, H.; et al. Nuclear phylogeny and insights into whole-genome duplications and reproductive development of Solanaceae plants. Plant Commun. 2023, 4, 100595. [Google Scholar] [CrossRef]
- Chen, Y.Q.; Cheng, L.X.; Guan, X.Y.; Liang, Y.; Xue, Y.J.; Zhao, W.Y.; Zhang, Z.Y.; Chang, X.Y.; Liang, L.Q.; Gao, G. StCPP3 interacts with type III secretion protein HrpB7 and negatively regulates plant resistance against Ralstonia solanacearum. Biochem. Biophys. Res. Commun. 2025, 742, 151105. [Google Scholar] [CrossRef] [PubMed]
- Xiang, Y.; Liu, W.J.; Niu, Y.X.; Li, Q.; Zhao, C.Y.; Pan, Y.T.; Li, G.D.; Bian, X.L.; Miao, Y.D.; Zhang, A.Y. The maize GSK3-like kinase ZmSK1 negatively regulates drought tolerance by phosphorylating the transcription factor ZmCPP2. Plant Cell 2025, 37, koaf032. [Google Scholar] [CrossRef]
- Almeida, D.M.; Gregorio, G.B.; Oliveira, M.M.; Saibo, N.J. Five novel transcription factors as potential regulators of OsNHX1 gene expression in a salt tolerant rice genotype. Plant Mol. Biol. 2017, 93, 61–77. [Google Scholar] [CrossRef]












Disclaimer/Publisher’s Note: The statements, opinions and data contained in all publications are solely those of the individual author(s) and contributor(s) and not of MDPI and/or the editor(s). MDPI and/or the editor(s) disclaim responsibility for any injury to people or property resulting from any ideas, methods, instructions or products referred to in the content. |
© 2025 by the authors. Licensee MDPI, Basel, Switzerland. This article is an open access article distributed under the terms and conditions of the Creative Commons Attribution (CC BY) license (https://creativecommons.org/licenses/by/4.0/).
Share and Cite
Zhu, M.; Jiang, L.; Chen, Z.; Xu, P.; Wang, C.; Zhang, Q.; Li, M.; Huang, Y. Genome-Wide Identification of Cysteine-Rich Polycomb-like Protein (CPP) Gene Family and Their Expression Profile Analysis in Stem Lettuce (Lactuca sativa). Agronomy 2025, 15, 2120. https://doi.org/10.3390/agronomy15092120
Zhu M, Jiang L, Chen Z, Xu P, Wang C, Zhang Q, Li M, Huang Y. Genome-Wide Identification of Cysteine-Rich Polycomb-like Protein (CPP) Gene Family and Their Expression Profile Analysis in Stem Lettuce (Lactuca sativa). Agronomy. 2025; 15(9):2120. https://doi.org/10.3390/agronomy15092120
Chicago/Turabian StyleZhu, Min, Le Jiang, Zhiheng Chen, Ping Xu, Chao Wang, Quanyan Zhang, Mengyao Li, and Ying Huang. 2025. "Genome-Wide Identification of Cysteine-Rich Polycomb-like Protein (CPP) Gene Family and Their Expression Profile Analysis in Stem Lettuce (Lactuca sativa)" Agronomy 15, no. 9: 2120. https://doi.org/10.3390/agronomy15092120
APA StyleZhu, M., Jiang, L., Chen, Z., Xu, P., Wang, C., Zhang, Q., Li, M., & Huang, Y. (2025). Genome-Wide Identification of Cysteine-Rich Polycomb-like Protein (CPP) Gene Family and Their Expression Profile Analysis in Stem Lettuce (Lactuca sativa). Agronomy, 15(9), 2120. https://doi.org/10.3390/agronomy15092120

