Sign in to use this feature.

Years

Between: -

Subjects

remove_circle_outline
remove_circle_outline
remove_circle_outline
remove_circle_outline
remove_circle_outline
remove_circle_outline
remove_circle_outline
remove_circle_outline
remove_circle_outline

Journals

remove_circle_outline
remove_circle_outline
remove_circle_outline
remove_circle_outline
remove_circle_outline
remove_circle_outline
remove_circle_outline
remove_circle_outline
remove_circle_outline
remove_circle_outline
remove_circle_outline
remove_circle_outline
remove_circle_outline
remove_circle_outline
remove_circle_outline
remove_circle_outline

Article Types

Countries / Regions

remove_circle_outline
remove_circle_outline
remove_circle_outline
remove_circle_outline
remove_circle_outline
remove_circle_outline
remove_circle_outline

Search Results (1,736)

Search Parameters:
Keywords = lettuce

Order results
Result details
Results per page
Select all
Export citation of selected articles as:
16 pages, 1756 KB  
Article
Evaluating Performance Limitations in Aquaponic vs. Hydroponic: Dynamics of Nutrient Release by Fish and Accumulation Rate in Plants
by Syed Ejaz Hussain Mehdi, Aparna Sharma, Suleman Shahzad, Woochang Kang, Sandesh Pandey, Byung-Jun Park, Hyuck-Soo Kim and Sang-Eun Oh
Water 2026, 18(6), 742; https://doi.org/10.3390/w18060742 - 22 Mar 2026
Viewed by 91
Abstract
Aquaponics (AP) is the combination of aquaculture and hydroponic systems, developed based on waste to wealth theory. This study compared the plant growth and overall productivity of an aquaponic system (AP) with a controlled hydroponic system (HP) to assess the AP system’s performance [...] Read more.
Aquaponics (AP) is the combination of aquaculture and hydroponic systems, developed based on waste to wealth theory. This study compared the plant growth and overall productivity of an aquaponic system (AP) with a controlled hydroponic system (HP) to assess the AP system’s performance and identification of the performance-limiting factors. This comparative study spanned over a 35-day period, supported by batch tests for the nutrient accumulation rate in plants and the NH4+-N excretion rate by fish as a baseline for the system design. HP performed better in terms of plant growth, showing a mean plant fresh weight (g) of 165.6 ± 3.01 while AP showed 147.0 ± 4.6. Nutrient accumulation was better in HP for K and P; however, Ca2+, Mg2+, and Fe accumulation was higher in AP plants. The AP system supported a better fish growth of 31.95 ± 3.21% (FCR 1.29 ± 0.1, SGR 0.79 ± 0.06, and PER 2.24 ± 0.18) and a moderate plant biomass production. Further system design modifications and integrations are required to optimize the nutrient availability and sustainability of the AP systems. Full article
(This article belongs to the Special Issue Advanced Aquaculture Water Quality Management Research)
Show Figures

Figure 1

20 pages, 5867 KB  
Article
Salinity-Induced Inhibition of Lettuce Seed Germination in Association with Altered Catalase and Endo-β-Mannanase Activities
by Nezar H. Samarah, Nisreen A. AL-Quraan, Ruleen I. M. AlZyout and Ahmed Salah Elrys
Horticulturae 2026, 12(3), 390; https://doi.org/10.3390/horticulturae12030390 - 21 Mar 2026
Viewed by 15
Abstract
Salinity is a major constraint on lettuce (Lactuca sativa L.) production and is known to inhibit seed germination. However, the physiological and biochemical processes underlying this sensitivity remain unclear. Therefore, this study aimed to investigate how salinity affects seed germination in two [...] Read more.
Salinity is a major constraint on lettuce (Lactuca sativa L.) production and is known to inhibit seed germination. However, the physiological and biochemical processes underlying this sensitivity remain unclear. Therefore, this study aimed to investigate how salinity affects seed germination in two lettuce cultivars, ‘Susan’ (a highly salt-sensitive cultivar) and ‘Yafa’ (a low salt-sensitive cultivar), with particular emphasis on the roles of catalase and endo-β-mannanase enzyme activities. Seeds were subjected to both low salinity (0, 0.1, 0.2, 0.3, 0.5, 1, 3, and 5 mM NaCl) and high salinity (0, 10, 20, 40, 80, 160, and 320 mM NaCl) under standard germination conditions to evaluate germination percentage, mean germination time, and enzyme activity. Seedling emergence was also assessed in different growing media, including perlite, sand, peatmoss, and cocopeat. The results showed that salinity significantly reduced germination percentage and seedling length and increased mean germination time, with inhibition occurring at ≥0.1 mM NaCl in ‘Susan’ and ≥40 mM NaCl in ‘Yafa’; both cultivars failed to germinate at 320 mM. The ’Yafa’ had a high seedling emergence in all growing media, but ’Susan‘ seeds only emerged in perlite, which had the lowest salinity. Catalase activity increased markedly under salt stress, particularly in ‘Susan,’ indicating elevated oxidative burden, while endo-β-mannanase activity declined with increasing salinity, especially in the highly salt-sensitive cultivar of ‘Susan’. Correlation analysis showed that germination percentage had a significant and positive correlation with endo-β-mannanase activity and had a significant and negative correlation with catalase activity across salinity levels. In conclusion, salinity-induced inhibition of lettuce seed germination appears to be associated with changes in antioxidant enzyme activity and reduced endosperm weakening capacity, as reflected by altered catalase and endo-β-mannanase activities, thereby contributing to cultivar-dependent differences in salt sensitivity. Full article
(This article belongs to the Section Biotic and Abiotic Stress)
Show Figures

Figure 1

20 pages, 4375 KB  
Article
Design of a Machine Vision Detection System for Lettuce Growth Stages Based on the CCASF-YOLOv10 Model
by Qiang Gao, Yu Ji, Chongchong Shi and Meili Wang
Horticulturae 2026, 12(3), 379; https://doi.org/10.3390/horticulturae12030379 - 19 Mar 2026
Viewed by 10
Abstract
To address challenges related to complex background interference and insufficient multi-scale target feature extraction in lettuce growth stage detection. The lightweight YOLOv10 detection model and the specific characteristics of lettuce field data were used. The CNCM channel non-local mixture mechanism and ASF adaptive [...] Read more.
To address challenges related to complex background interference and insufficient multi-scale target feature extraction in lettuce growth stage detection. The lightweight YOLOv10 detection model and the specific characteristics of lettuce field data were used. The CNCM channel non-local mixture mechanism and ASF adaptive spatial frequency attention mechanism were incorporated to optimize lightweight modules, including DownSample, Zoom_cat, and ScalSeq, within the original model. Consequently, an improved CCASF-YOLOv10 model was constructed, integrating multi-scale feature fusion and enhanced target feature extraction. Experimental results demonstrate that, in an NVIDIA A40 GPU testing environment, the model achieves an accuracy rate of 91.9%, a recall rate of 91.6%, mAP@0.5 of 95.3%, and mAP@0.5:0.95 of 72.9%. The parameter size is 11.9 M, and the single-frame inference speed is 24.76 ms, indicating a favorable balance between detection precision, model efficiency, and real-time inference. Furthermore, an intelligent machine vision detection system for lettuce growth-stage monitoring and precise field control was developed using the CCASF-YOLOv10 model. This system facilitates the industrial advancement of lettuce cultivation. Full article
(This article belongs to the Section Vegetable Production Systems)
Show Figures

Figure 1

17 pages, 2509 KB  
Article
Polyethylene Nanoplastics Intensify Arsenic Toxicity in Lettuce by Altering Arsenic Accumulation and Stress Pathways
by Mengyuan Wang, Weijie Qin, Yue Zhang, Weixin Fan, Li Mu, Junxing Li, Lihong Dai and Chunsheng Qiu
Toxics 2026, 14(3), 266; https://doi.org/10.3390/toxics14030266 - 18 Mar 2026
Viewed by 137
Abstract
Nanoplastics (NPs) are increasingly detected in agricultural soils, yet their influence on arsenic (As) transfer and plant toxicity remains unclear. Lettuce (Lactuca sativa L.) was cultivated in farmland soil with a naturally high As background (98.8 mg·kg−1) to assess how [...] Read more.
Nanoplastics (NPs) are increasingly detected in agricultural soils, yet their influence on arsenic (As) transfer and plant toxicity remains unclear. Lettuce (Lactuca sativa L.) was cultivated in farmland soil with a naturally high As background (98.8 mg·kg−1) to assess how polyethylene nanoplastics (PE NPs) affect rhizosphere conditions, As accumulation, and plant performance. PE NPs partially buffered soil acidification but reduced rhizosphere water content, while total soil As remained largely unchanged. Leaf As increased by 35–39%, with reduced biomass (up to 30%) and lower chlorophyll status (SPAD ~7% lower). Metabolomic analyses indicated dose-dependent alterations in central carbon metabolism and phenylalanine-related antioxidant metabolites, including suppressed tricarboxylic acid cycle intermediates at higher PE levels. Overall, PE NPs enhanced transfer of background As to edible leaves and intensified phytotoxicity, underscoring the need to consider nanoplastics in risk assessment of As-affected soils. Full article
Show Figures

Figure 1

13 pages, 979 KB  
Article
Non-Host Status of Brassicaceae Plants to Mucoromycotina Fine Root Endophytes and Their Neutral Impact on Neighboring Host Mycorrhiza and Phosphorus Uptake
by Enkhmaa Erdenetugs, Enkhbold Bataa, Masaki Ito, Yuki Komatsuda and Yoshihiro Kobae
Agronomy 2026, 16(6), 636; https://doi.org/10.3390/agronomy16060636 - 17 Mar 2026
Viewed by 354
Abstract
Brassicaceae plants are generally considered non-mycorrhizal; however, recent studies have challenged this non-host status, suggesting occasional colonization during reproductive stages or by overlooked fungi such as Mucoromycotina Fine Root Endophytes (MFRE). To re-evaluate the non-host status of Brassicaceae, we cultivated five Brassicaceae species, [...] Read more.
Brassicaceae plants are generally considered non-mycorrhizal; however, recent studies have challenged this non-host status, suggesting occasional colonization during reproductive stages or by overlooked fungi such as Mucoromycotina Fine Root Endophytes (MFRE). To re-evaluate the non-host status of Brassicaceae, we cultivated five Brassicaceae species, including rapid life cycle Brassica rapa (Fast plants) using field soil containing both Glomeromycotina Arbuscular Mycorrhizal Fungi (G-AMF) and MFRE. To ensure inoculum potential, a co-planting system with lettuce (Lactuca sativa) as a nurse plant was employed. While lettuce roots were rapidly colonized by both G-AMF and MFRE, no mycorrhizal colonization was observed in any Brassicaceae roots throughout their entire life cycle, from vegetative growth to flowering and seed maturation in Fast plants. Furthermore, co-planting with Brassicaceae did not significantly affect the mycorrhizal colonization or shoot phosphorus concentrations of the neighboring lettuce. These results demonstrate that Brassicaceae plants maintain a robust non-host status against both G-AMF and MFRE. Moreover, they function as “neutral non-hosts” that do not disrupt the symbiotic networks of neighboring plants. This characteristic reinforces the value of Brassicaceae in sustainable crop rotation systems. Full article
(This article belongs to the Special Issue Rhizosphere Microbiome Association with Agronomic Productivity)
Show Figures

Figure 1

12 pages, 682 KB  
Article
Effect of the Combination of Biochar and ZnSO4 on Soil Properties and Lettuce Zinc Uptake
by Ana Méndez, Patricia Almendros, Jorge Paz-Ferreiro and Gabriel Gascó
Soil Syst. 2026, 10(3), 42; https://doi.org/10.3390/soilsystems10030042 - 17 Mar 2026
Viewed by 147
Abstract
Micronutrient addition to soil is crucial for improving crop yield. Within the framework of the circular economy, it is necessary to seek more efficient fertilizers. This would reduce fertilizer consumption while serving as a strategy to mitigate the negative effects of climate change. [...] Read more.
Micronutrient addition to soil is crucial for improving crop yield. Within the framework of the circular economy, it is necessary to seek more efficient fertilizers. This would reduce fertilizer consumption while serving as a strategy to mitigate the negative effects of climate change. This study proposes the combined use of a traditional source of a Zn fertilizer (ZnSO4) together with wood biochar to improve lettuce (Lactuca sativa L.) crop yield. An experiment was designed in which a dose of 8 mg Zn kg−1 as ZnSO4·7H2O was added to Cambisol soil, mixed with or without biochar (5%), for lettuce growth. Among other soil properties, Zn bioavailability, microbial biomass, and available water were monitored in the soil, while photosynthetic pigments, Zn content, and biomass production were determined in plants. All treatments increased plant biomass production. Biochar treatments (biochar and biochar/ZnSO4) increased fresh biomass by 324%, while ZnSO4 addition resulted in a 158% increase in lettuce yield. This can be due to several factors, such as biochar being a C source, the improvement of soil water content after biochar addition, and the increase in Zn leaf content in all treatments with respect to the control soil. All of these likely had a positive effect on photosynthesis. This is corroborated by the increase in total chlorophyll, chlorophyll, and carotenoids in the treatments with ZnSO4, biochar/ZnSO4, and biochar. The application of biochar alone increased this property by more than 168%, with a positive impact on soil quality. Our research demonstrates that it is possible, in some cases, to prepare fertilizers combining ZnSO4 and biochar, leading to increased plant Zn uptake and improved crop yield. Full article
Show Figures

Figure 1

29 pages, 1195 KB  
Article
Multidimensional Evaluation of Sustainable Lettuce (Lactuca sativa L.) Production: Agronomic, Sensory, and Economic Criteria Using the Fuzzy PIPRECIA–Fuzzy MARCOS Model
by Radomir Bodiroga, Milena Marjanović, Vuk Maksimović, Đorđe Moravčević, Zorica Jovanović, Slađana Savić and Milica Stojanović
Horticulturae 2026, 12(3), 368; https://doi.org/10.3390/horticulturae12030368 - 16 Mar 2026
Viewed by 128
Abstract
Although greenhouse vegetable production is rapidly shifting toward innovative soilless systems, soil-based conventional cultivation still dominates globally. This production system faces growing pressure to transition to sustainable practices. However, introducing biofertilisers into intensive systems often yields inconsistent results. Specifically, their effects on different [...] Read more.
Although greenhouse vegetable production is rapidly shifting toward innovative soilless systems, soil-based conventional cultivation still dominates globally. This production system faces growing pressure to transition to sustainable practices. However, introducing biofertilisers into intensive systems often yields inconsistent results. Specifically, their effects on different lettuce traits vary due to complex relationships between genotype, biofertiliser, environmental conditions, and market demands. Single-parameter evaluations fail to balance conflicting criteria, necessitating multi-criteria decision-making (MCDM) methods for selecting optimal choices. This study aims to overcome these inconsistencies through an integrated fuzzy MCDM-based optimisation model. Three lettuce cultivars (‘Carmesi’, ‘Aquino’, and ‘Gaugin’) were grown in an unheated Surčin (Serbia) greenhouse during a 58-day autumn experiment using a complete block design. Four treatments were applied: a control (without fertilisation), effective microorganisms, a Trichoderma-based fertiliser, and their combination. Biofertilisers were applied before transplanting and four times foliarly during the vegetation period via battery sprayer. This defined 12 production models (cultivar–fertiliser pairs), evaluated across 10 criteria: agronomic (core ratio, number of leaves), quality (nitrate content, total antioxidant capacity, total soluble solids, and chlorogenic acid), sensory (overall taste, overall quality), and economic (total variable costs, total income). Four decision-making experts from the Faculty of Agriculture and the ready-to-eat salad industry assessed weighting coefficients using the fuzzy PIPRECIA (PIvot Pairwise RElative Criteria Importance Assessment) method. The fuzzy MARCOS (Measurement Alternatives and Ranking according to COmpromise Solution) method was used to rank the alternatives. To confirm the stability of the obtained ranking with the fuzzy MARCOS method, we performed sensitivity analysis through 20 different scenarios. Applied fuzzy methods identified alternative A11—‘Aquino’ cultivar with combined biofertilisers—as the best-ranked option, followed by A6 and A7. This study validates fuzzy PIPRECIA and fuzzy MARCOS as effective tools for optimising lettuce production models. They support farmers in selecting the most favourable solution based on multiple criteria, aiding the shift from mineral fertilisers to sustainable biofertiliser-based systems in intensive production—especially helpful for producers making this transition. Full article
Show Figures

Graphical abstract

15 pages, 2848 KB  
Article
Is Plasma Treatment of Commodity Lettuce Seeds Worth It? Economic Impacts and Yield Study in Indoor Vertical Farming Testing Non-Thermal Plasmas
by Nima Asgari, Nan Zou, Ying Zheng and Joshua M. Pearce
Commodities 2026, 5(1), 6; https://doi.org/10.3390/commodities5010006 - 12 Mar 2026
Viewed by 129
Abstract
Agricultural seeds are sold as commodities yet seed quality can be non-uniform. Despite the extensive literature showing that plasma treatments of seeds provides advantages for many crops, lettuce studies, particularly in indoor farming systems, are limited. This study provides a systematic investigation of [...] Read more.
Agricultural seeds are sold as commodities yet seed quality can be non-uniform. Despite the extensive literature showing that plasma treatments of seeds provides advantages for many crops, lettuce studies, particularly in indoor farming systems, are limited. This study provides a systematic investigation of the impacts of non-thermal plasma treatments with various feed gases (N2, O2, dry air, and wet air) on the germination and growth characteristics of four lettuce cultivars (Red Oakleaf (RO), Black Simpson (BS), Valley Heart Romaine (VHR), and Paris Romaine (PR)) under controlled cultivation conditions in an agrivoltaic agrotunnel. Although the germination time was not conclusively affected by the treatments, the results show a complex interaction between germination rate and yield across the different cultivars and plasma treatments. Except for PR seeds (77.8% vs. 65.8% control), wet air plasma treatments increased germination rates by 18.7–100% over controls for all other cultivars. In yield analysis, wet air treatment had the strongest effect, especially for VHR (51.7 vs. 42.5 g/pot). Treatments did not notably affect RO. For BS, N2 treatment gave the highest increase (54.2 vs. 48.1 g/pot), while PR responded best to O2 treatment (58.4 vs. 51.8 g/pot). The energy consumption of plasma treatments was negligible for all treatments, while labor costs for small batches of seeds accounted for the largest share of secondary operating costs (839, 622, and 659 h/year, respectively for BS, VHR, and PR). Despite additional expenses, including labor, O&M, and degradation costs, the reduced seed requirements from higher germination rates and higher yield increased net profit by 12.0% compared to untreated cultivation in the most impacted (Valley Heart Romaine) lettuce. There is an opportunity for further cost optimization of the non-thermal plasma treatment for each type of lettuce seed. Full article
Show Figures

Figure 1

23 pages, 4190 KB  
Article
Yield, Nutritional, and Thermal Responses of Lettuce (Lactuca sativa) and Eggplant (Solanum melongena) Under Greenhouse Covers with Different UV-B Transmittance
by Mauro Mori, Eugenio Cozzolino, Ida Di Mola, Lucia Ottaiano, Antimo Di Meo, Pasquale Mormile and Massimo Rippa
Plants 2026, 15(6), 863; https://doi.org/10.3390/plants15060863 - 11 Mar 2026
Viewed by 225
Abstract
Ultraviolet-B (UV-B) radiation plays a pivotal role in plant growth, metabolism, and the accumulation of bioactive compounds, but its effects under greenhouse conditions are highly species- and dose-dependent. This study investigated the responses of eggplant (Solanum melongena L., cv. Lunga Napoletana) and [...] Read more.
Ultraviolet-B (UV-B) radiation plays a pivotal role in plant growth, metabolism, and the accumulation of bioactive compounds, but its effects under greenhouse conditions are highly species- and dose-dependent. This study investigated the responses of eggplant (Solanum melongena L., cv. Lunga Napoletana) and lettuce (Lactuca sativa L., cv. Rosplus) cultivated under greenhouse films transmitting 3–39% of ambient UV-B. Leaf temperature was monitored throughout the growth cycle using infrared thermography, while physiological parameters (chlorophyll, flavonoids, anthocyanins, and nitrogen index) and post-harvest nutritional traits (antioxidant activity, vitamin C, carotenoids, and total chlorophyll) were assessed. Comparative analysis revealed species-specific responses. Eggplant exhibited peak nutraceutical quality at higher UV-B levels (35–39%) with minimal changes in yield, whereas lettuce achieved maximal yield and secondary metabolite accumulation under intermediate UV-B (30–35%). At the highest UV-B transmittance (39%), both species exhibited stable or slightly reduced thermal and physiological parameters, indicating dose-dependent regulatory mechanisms that maintain photoprotection and metabolic activity under elevated UV-B exposure. Results suggest an apparent optimal range of UV-B transmittance in greenhouse systems under the tested experimental conditions, contributing to improved crop productivity and nutritional quality. Full article
(This article belongs to the Special Issue Application of Optical and Imaging Systems to Plants)
Show Figures

Figure 1

22 pages, 2804 KB  
Article
A Comprehensive Evaluation Method for Greenhouse-Grown Lettuce Based on RGB Images and Hyperspectral Data
by Duoer Ma, Hong Ren, Qi Zeng, Yidi Liu, Lulu Ma, Qiang Zhang, Ze Zhang and Jiangli Wang
Agronomy 2026, 16(6), 600; https://doi.org/10.3390/agronomy16060600 - 11 Mar 2026
Viewed by 275
Abstract
Quality grading of greenhouse lettuce requires rapid external appearance screening and nondestructive internal quality assessment. However, existing detection methods struggle to simultaneously evaluate both external and internal quality while maintaining efficiency, resulting in a lack of scientific and comprehensive integrated evaluation standards for [...] Read more.
Quality grading of greenhouse lettuce requires rapid external appearance screening and nondestructive internal quality assessment. However, existing detection methods struggle to simultaneously evaluate both external and internal quality while maintaining efficiency, resulting in a lack of scientific and comprehensive integrated evaluation standards for current crop grading. To address this issue, this study leveraged the technical strengths of different sensors to construct separate models: an RGB image-based monitoring model for external quality and a hyperspectral-based estimation model for internal quality. Using a combined objective–subjective weighting method, this approach scientifically integrated external and internal quality monitoring indicators to establish a comprehensive evaluation method for greenhouse lettuce quality. The results demonstrate that features such as canopy projection area, compactness, and color components can be extracted from RGB images. Combined with Ridge regression, this approach achieves high-accuracy estimation of lettuce fresh weight and leaf area (R2 ≥ 0.880). For intrinsic quality, by combining hyperspectral data with the CARS and SPA band selection algorithms, a Random Forest (RF)-based inversion model for chlorophyll, soluble sugar, protein, and vitamin C content was developed. The AHP-CRITIC method effectively resolved the weight imbalance caused by an excessive coefficient of variation in appearance indicators, thereby achieving the scientific integration of appearance and internal quality data. The grading outcomes of this integrated evaluation method were highly consistent with industry standards (kappa coefficient: 0.788). This approach establishes an effective link between the rapid monitoring of external and internal quality for comprehensive evaluation, providing a novel technical pathway and scientific basis for nondestructive post-harvest detection and automated grading of greenhouse vegetables. Full article
(This article belongs to the Section Precision and Digital Agriculture)
Show Figures

Figure 1

16 pages, 1813 KB  
Article
Incubation Time and Size Effects of Biodegradable Mulch Microplastics on Lettuce Plantlets In Vitro
by Mathilde Henrion, Lluis Martin-Closas, Iseult Lynch and Ana M. Pelacho
Plants 2026, 15(5), 849; https://doi.org/10.3390/plants15050849 - 9 Mar 2026
Viewed by 326
Abstract
The use of biodegradable mulch films (BDM) in agriculture has raised concerns about the potential impact of the microplastics (MPs) they release over time, after the BDM’s useful life. The effects of BDM MPs have been explored through a diversity of assays, with [...] Read more.
The use of biodegradable mulch films (BDM) in agriculture has raised concerns about the potential impact of the microplastics (MPs) they release over time, after the BDM’s useful life. The effects of BDM MPs have been explored through a diversity of assays, with still poorly understood and frequently contrasting results. Furthermore, the impact on plants as the MPs evolve in size and as a function of residence time in the soil remains largely unexplored. Through a controlled in vitro lettuce culture, this study explores the effect of BDM MPs size, using fractions 5 to <0.2 mm and pre-incubation times of 0 to 8 weeks, on plant development. Short incubation times, of 1 and 2 weeks, and freshly adding the BDM MPs inhibited plantlet growth, with smaller MPs inducing stronger effects. In contrast, longer MPs incubation, of 8 weeks, promoted plantlet development, enhancing leaf and particularly root elongation while reducing lateral root branching. The effects on roots were more pronounced, as the MPs size decreased. Germination and photosynthetic pigments were unaffected by any treatment. Overall, BDM MPs’ impact on plants was mainly driven by particle size and incubation time in the medium prior to seeding, with adverse effects on plant development observed at short incubation times that were no longer present when incubation was extended. These findings highlight the need to unravel the dynamic and temporal nature of the BDM MPs’ interaction with plants. Full article
(This article belongs to the Special Issue Development and Application of In Vitro Culture Techniques in Plants)
Show Figures

Figure 1

15 pages, 1448 KB  
Article
Agronomic Potential of Digestates from Pig Slurry and Wine Vinasse Co-Digestion Under Temperature-Phased Anaerobic Digestion
by Belén Cañadas, José Luis Millar, Juan José Iglesias, Juana Fernández-Rodríguez and Montserrat Pérez
Appl. Sci. 2026, 16(5), 2621; https://doi.org/10.3390/app16052621 - 9 Mar 2026
Viewed by 190
Abstract
The management of Pig Slurry (PS) and Wine Vinasse (WV) poses major environmental and economic challenges, Anaerobic co-digestion (AcoD) offers a promising approach, producing both renewable energy and nutrient-rich digestates with agronomic potential. This study evaluated digestates obtained from the AcoD of a [...] Read more.
The management of Pig Slurry (PS) and Wine Vinasse (WV) poses major environmental and economic challenges, Anaerobic co-digestion (AcoD) offers a promising approach, producing both renewable energy and nutrient-rich digestates with agronomic potential. This study evaluated digestates obtained from the AcoD of a 50:50 mixture of pig slurry and wine vinasse under Temperature-Phased Anaerobic Digestion (TPAD) conditions. The acidogenic reactor reached stability at a hydraulic retention time (HRT) of 5 days, achieving 51.34 ± 3.08% of tCOD removal and approximately 0.5 L of daily green hydrogen production, whereas the methanogenic stage reached stability at an HRT of 10 days with 89.14 ± 2.33% tCOD removal and recording daily biomethane production of up to 1 L. Digestates were tested in germination assays using Lepidium sativum (garden cress), Lactuca sativa (lettuce), and Raphanus sativus (radish) seeds to assess phytotoxicity, and pathogen analyses were conducted to confirm sanitary safety (contains 0.8 × 103 MPN/gTS E. coli). Results showed that agronomic performance was primarily influenced by dilution level, at 10D–15D% dilutions, germination and root growth remained stable, with Germination Index (GI) values above 80%. In contrast, concentrations above 25D% led to marked inhibition, with GI values below 50%. These findings demonstrate that the TPAD system operates effectively when treating pig slurry and winery vinasse, producing digestates that are safe and effective organic amendments. Moreover, given their compliance with sanitary standards, these digestates can be classified as Class A biosolids suitable for agricultural application, provided that adequate dilution is ensured. Full article
Show Figures

Figure 1

26 pages, 5666 KB  
Article
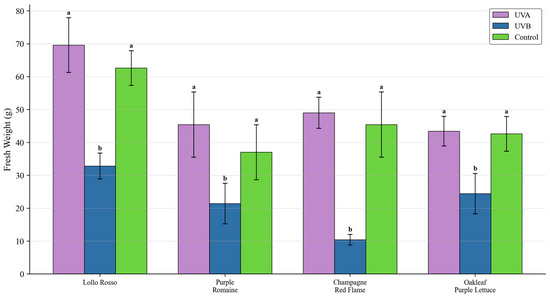
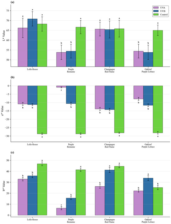
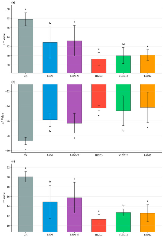
A Two-Stage Screening-to-Optimization Approach with Mechanistic Model Analysis: Enhancing Anthocyanin in Lettuce Without Yield Loss
by Zhihao Wei, Wei Fang and Chen-Kang Huang
Plants 2026, 15(5), 838; https://doi.org/10.3390/plants15050838 - 9 Mar 2026
Viewed by 278
Abstract
Enhancing anthocyanin accumulation in red-leaf lettuce grown in plant factories often incurs yield penalties. Here we propose a two-stage screening-to-optimization framework integrated with mechanistic modeling to resolve this tradeoff. In Stage 1, comparative experiments confirmed that UV-A is more compatible with growth and [...] Read more.
Enhancing anthocyanin accumulation in red-leaf lettuce grown in plant factories often incurs yield penalties. Here we propose a two-stage screening-to-optimization framework integrated with mechanistic modeling to resolve this tradeoff. In Stage 1, comparative experiments confirmed that UV-A is more compatible with growth and pigmentation than UV-B, and identified ‘Lollo Rosso’ as a highly responsive cultivar. In Stage 2, optimization experiments showed that L6D6 (6 h day−1 for 6 days) increased the total anthocyanin per plant by 19.9% while maintaining fresh weight. Motivated by observed nonlinear phenomena including biomass overcompensation, circadian disruption under night irradiation, and ontogeny-dependent vulnerability, we developed a six-state ordinary differential equation (ODE) model that integrates reactive oxygen species (ROS) dynamics with stress damage–repair processes. A key innovation is the explicit representation of carbon competition between growth and antioxidant defense, where AOX synthesis consumes carbon from the buffer pool, creating a physiologically meaningful growth–defense tradeoff supported by the Growth-Differentiation Balance Hypothesis. The model achieved high accuracy in an independent validation set that included extreme doses (errors ≤ 10.6%, with 11 of 12 metrics < 10%), supporting the physiological necessity of the introduced mechanisms. Global optimization based on the calibrated model predicted that 9 h day−1 for 4 days is the theoretical optimum, potentially increasing total anthocyanin by 38.3% with minimal fresh-weight reduction (−2.4%), substantially outperforming the best experimental treatment. This quantitative mechanistic framework provides a scientific basis for designing precise stress-light recipes in controlled-environment agriculture. Full article
(This article belongs to the Section Crop Physiology and Crop Production)
Show Figures

Figure 1

28 pages, 8017 KB  
Article
Exploring the Cultivable Fraction of the Bacterial Microbiome from Tomato Plants for Growth-Promoting and Biocontrol Traits Toward Bioinput Development
by Santiago Adolfo Vio, Karen Belén Paiva González, María Cecilia Gortari, María Lina Galar, Mariano Pistorio and María Flavia Luna
Agriculture 2026, 16(5), 610; https://doi.org/10.3390/agriculture16050610 - 6 Mar 2026
Viewed by 324
Abstract
Plant growth-promoting bacteria (PGPB) represent a sustainable alternative to synthetic inputs in horticultural systems; however, their bioprospecting is hindered by the absence of integrative, performance-oriented selection strategies. In this study, a comprehensive collection of 259 bacterial isolates associated with tomato plants was systematically [...] Read more.
Plant growth-promoting bacteria (PGPB) represent a sustainable alternative to synthetic inputs in horticultural systems; however, their bioprospecting is hindered by the absence of integrative, performance-oriented selection strategies. In this study, a comprehensive collection of 259 bacterial isolates associated with tomato plants was systematically screened to identify strains with biocontrol and plant growth-promoting potential. Isolates were characterized in vitro for potential plant colonization ability, antifungal activity, and multiple plant growth-promoting mechanisms. These traits were integrated into composite indices and analyzed using multivariate approaches to guide the selection of promising isolates. Selected candidates were subsequently evaluated in vivo for biocontrol and plant growth at both seedling and productive stages, and most isolates exhibited consistent effects. Isolates from the genera Stenotrophomonas, Pseudomonas, and Bacillus reduced fungal disease incidence to 2–9% (control disease: 80%). A Bacillus isolate increased seedling biomass by 54% in lettuce and 38% in tomato. Under productive conditions, lettuce marketable weight increased by 21–37%, whereas tomato yield showed positive but non-significant increases (~21–25%) after inoculation with Pseudomonas or Bacillus isolates. Overall, this work provides a structured framework for PGPB bioprospecting and validation, combining laboratory screening, composite indices, multivariate analyses, and multi-stage in vivo assays under realistic horticultural conditions. Full article
Show Figures

Figure 1

15 pages, 3308 KB  
Article
Effects of Poly-γ-Glutamic Acid Molecular Weight on Lettuce Growth, Soil Properties, and Bacterial Community Structure
by Yu Lin, Linye Wang, Lin Shu, Huizhen Chen, Zhiqun Liang and Wei Zeng
Polymers 2026, 18(5), 640; https://doi.org/10.3390/polym18050640 - 5 Mar 2026
Viewed by 275
Abstract
Poly-γ-glutamic acid (γ-PGA) can regulate soil physicochemical properties and enhance crop yield. However, the effect of γ-PGA molecular weight (Mw) on plant growth remains unclear. In this study, we investigated the effects of γ-PGAs with low (70–100 kDa), high (700–1100 kDa), and ultra-high [...] Read more.
Poly-γ-glutamic acid (γ-PGA) can regulate soil physicochemical properties and enhance crop yield. However, the effect of γ-PGA molecular weight (Mw) on plant growth remains unclear. In this study, we investigated the effects of γ-PGAs with low (70–100 kDa), high (700–1100 kDa), and ultra-high (>3000 kDa) Mws on lettuce growth and soil properties. The results showed that γ-PGA application reduced the infiltration rate of red soil. In pot experiments, γ-PGAs with different Mws at 0.1% promoted lettuce growth, and blade length and width increased with increasing Mw. However, the excessive application of ultra-high Mw γ-PGA inhibited lettuce growth. Soil chemical properties revealed that γ-PGA treatments significantly increased soil ammonium nitrogen and available potassium content. Furthermore, bacterial community structure analysis indicated that adding γ-PGA reduced bacterial diversity and richness, particularly under low and high Mw γ-PGA treatments, while increasing the relative abundance of beneficial plant-associated bacteria, including Proteobacteria and Acidobacteriota. Overall, ultra-high Mw γ-PGA exhibited the strongest effects on soil water retention and nutrient regulation, whereas low application rate was more favorable for plant growth. These findings can provide insights into the agricultural application of γ-PGA. Full article
(This article belongs to the Section Biobased and Biodegradable Polymers)
Show Figures

Figure 1

Back to TopTop