Plant Growth-Promoting Serratia and Erwinia Strains Enhance Tea Plant Tolerance and Rhizosphere Microbial Diversity Under Heavy Metal Stress
Abstract
1. Introduction
2. Materials and Methods
2.1. Preparation of Heavy Metal-Contaminated Soil and Experimental Design
2.2. Assessment of Plant Physiological Parameters and Heavy Metal Accumulation
2.3. Determination of Nutrient Elements and Heavy Metal Contents in Plant and Rhizosphere Soil
2.4. Microbial Community Analysis
2.5. Statistical Analysis
3. Results
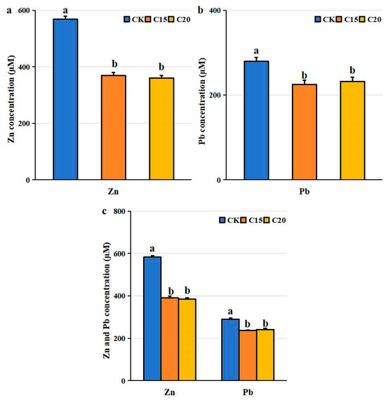
3.1. Plant Growth Parameters and Heavy Metal Accumulation
3.2. Effect of PGPR PGPR Treatment on Soil Element Contents
3.3. Rhizosphere Microbial Community Composition and Diversity
3.4. Multivariate Analysis of PGPR Strains, Plant Growth, Rhizosphere Factors, and Heavy Metal Accumulation
4. Discussion
4.1. PGPR Treatment Enhanced Plant Performance and Heavy Metal Mitigation, and Modified Soil Nutrients and Their Availability
4.2. PGPR Treatment Restructured Rhizosphere Microbiota
4.3. PGPR Integrated System Response—Insights from Correlation Analysis
4.4. Unified Mechanisms of PGPR Action in Heavy Metal Detoxification
4.5. Comparative Advantages of Erwinia sp. C15 and Serratia sp. C20 in Tea Cultivation
- (1)
- (2)
- (3)
- Microbiome-mediated resilience—restructuring rhizosphere communities toward cross-kingdom metal resisters (Pseudomonas, Mortierella) and stress-adapted taxa (Rhodanobacter) (Figure 5 and Figure 6), generating self-sustaining auxin–microbiome–nutrient correlations (r > 0.7, Figure 7). Crucially, as native tea rhizobacteria [22], C15/C20 exhibit host-adapted fitness and extreme metal tolerance (2000 mg/L Zn; 4000 mg/L Pb, Figure S1), enabling single-application efficacy where exogenous strains require repeated inoculation [32]. These attributes position them as scalable alternatives to commercial inoculants for heavy metal-impacted tea plantations.
4.6. Limitations and Future Work
5. Conclusions
Supplementary Materials
Author Contributions
Funding
Data Availability Statement
Conflicts of Interest
References
- Bożym, M.; Rybak, J. In vitro chronic phytotoxicity of heavy metals and metalloids to Lepidium sativum (garden cress). Ecotoxicology 2024, 33, 94–103. [Google Scholar] [CrossRef]
- Li, Y.; Wang, X.; Huang, M.; Xing, Y.; Wang, X.; Wang, H.; Li, M.; Du, Q.; Xiao, H.; Wang, J.; et al. Morphological, physiological, element absorption, and transcriptomic analysis reveals the mechanism of 2-(3,4-Dichlorophenoxy) trimethylamine alleviating copper stress in cucumber seedlings. Ecotoxicol. Environ. Safty 2025, 29, 117574. [Google Scholar] [CrossRef]
- Giannelli, G.; Fasani, E.; DalCorso, G. Epigenetics of Heavy Metal Stress and Response in Plants. Front. Biosci. (Schol. Ed.) 2024, 16, 13. [Google Scholar] [CrossRef] [PubMed]
- Jomova, K.; Alomar, S.Y.; Nepovimova, E.; Kuca, K.; Valko, M. Heavy metals: Toxicity and human health effects. Arch. Toxicol. 2025, 99, 153–209. [Google Scholar] [CrossRef]
- Aditya, S.K.; Krishnakumar, A.; Krishnan, K.A. An investigation into the influence of climate extreme on groundwater regimes and human health in the Periyar Basin: A fast growing urban centre in India. J. Water Health 2025, 23, 111–139. [Google Scholar] [CrossRef]
- Ocampos, M.S.; Leite, L.; Melo, E.; Guimarães, R.; Oliveira, R.; Freitas, K.; Hiane, P.; Karuppusamy, A.; Nascimento, V. Indirect Methods to Determine the Risk of Damage to the Health of Firefighters and Children Due to Exposure to Smoke Emission from Burning Wood/Coal in a Controlled Environment. Int. J. Environ. Res. Public Health 2023, 20, 5607. [Google Scholar] [CrossRef] [PubMed]
- Jurowski, K.; Kondratowicz-Pietruszka, E.; Krośniak, M. The toxicological safety assessment of heavy metal impurities (As, Pb, and Cd) in mint tea infusions (Mentha piperita L.) available in polish markets. Biol. Trace Elem. Res. 2023, 201, 2627–2635. [Google Scholar] [CrossRef] [PubMed]
- Karak, T.; Bora, K.; Paul, R.K.; Das, S.; Khare, P.; Dutta, A.K.; Boruah, R.K. Paradigm shift of contamination risk of six heavy metals in tea (Camellia sinensis L.) growing soil: A new approach influenced by inorganic and organic amendments. J. Hazard. Mater. 2017, 338, 250–264. [Google Scholar] [CrossRef]
- Zhang, J.; Yang, R.; Li, Y.C.; Peng, Y.; Wen, X.; Ni, X. Distribution, accumulation, and potential risks of heavy metals in soil and tea leaves from geologically different plantations. Ecotoxicol. Environ. Saf. 2020, 195, 110475. [Google Scholar] [CrossRef]
- Tefera, M.; Solomon, B.; Guadie, A.; Lakew, W.; Sewachen, B.; Shumye, D. Evaluating the contamination of soil, water and vegetables with heavy metals along with the estimation of transfer factor and human health risk in Gondar city, Ethiopia. Food Saf. Risk 2025, 12, 00115. [Google Scholar] [CrossRef]
- Zhao, K.; Yang, Y.; Zhang, L.; Zhang, J.; Zhou, Y.; Huang, H.; Luo, S.; Luo, L. Silicon-based additive on heavy metal remediation in soils: Toxicological effects, remediation techniques, and perspectives. Environ. Res. 2022, 205, 112244. [Google Scholar] [CrossRef]
- Palansooriya, K.N.; Shaheen, S.M.; Chen, S.S.; Tsang, D.C.W.; Hashimoto, Y.; Hou, D.; Bolan, N.S.; Rinklebe, J.; Ok, Y.S. Soil amendments for immobilization of potentially toxic elements in contaminated soils: A critical review. Environ. Int. 2020, 134, 105046. [Google Scholar] [CrossRef] [PubMed]
- Cui, W.; Li, X.; Duan, W.; Xie, M.; Dong, X. Heavy metal stabilization remediation in polluted soils with stabilizing materials: A review. Environ. Geochem. Health 2023, 45, 4127–4163. [Google Scholar] [CrossRef]
- Khalid, S.; Shahid, M.; Niazi, N.K.; Murtaza, B.; Bibi, C.D. A comparison of technologies for remediation of heavy metal contaminated soils. J. Geochem. Explor. 2017, 182, 247–268. [Google Scholar] [CrossRef]
- He, L.; Zhong, H.; Liu, G.; Dai, Z.; Brookes, P.C.; Xu, J. Remediation of heavy metal contaminated soils by biochar: Mechanisms, potential risks and applications in China. Environ. Pollut. 2019, 252 Pt A, 846–855. [Google Scholar] [CrossRef] [PubMed]
- Deng, S.; Zhang, X.; Zhu, Y.; Zhuo, R. Recent advances in phyto-combined remediation of heavy metal pollution in soil. Biotechnol. Adv. 2024, 72, 108337. [Google Scholar] [CrossRef] [PubMed]
- Dou, F.; Wu, Y.; Li, J.; Liu, C. Differences among active toluene-degrading microbial communities in farmland soils with different levels of heavy metal pollution. Biodegradation 2024, 35, 329–340. [Google Scholar] [CrossRef]
- Mishra, G.K. Microbes in Heavy Metal Remediation: A Review on Current Trends and Patents. Recent Pat. Biotechnol. 2017, 11, 188–196. [Google Scholar] [CrossRef]
- Arthi, R.; Parameswari, E.; Dhevagi, P.; Janaki, P.; Parimaladevi, R. Microbial alchemists: Unveiling the hidden potentials of halophilic organisms for soil restoration. Environ. Sci. Pollut. Res. Int. 2024, 4, 111–135. [Google Scholar] [CrossRef]
- Liu, A.; Wang, W.; Chen, X.; Zheng, X.; Fu, W.; Wang, G.; Ji, J.; Guan, C. Phytoremediation of DEHP and heavy metals co-contaminated soil by rice assisted with a PGPR consortium: Insights into the regulation of ion homeostasis, improvement of photosynthesis and enrichment of beneficial bacteria in rhizosphere soil. Environ. Pollut. 2022, 314, 120303. [Google Scholar] [CrossRef]
- Zhang, Y.; Yang, C.; Liu, S.; Xie, Z.; Chang, H.; Wu, T. Phytohormones-mediated strategies for mitigation of heavy metals toxicity in plants focused on sustainable production. Plant Cell Rep. 2024, 43, 99. [Google Scholar] [CrossRef]
- Zhu, D.; Ouyang, L.; Xu, Z.; Zhang, L. Rhizobacteria of Populus euphratica Promoting Plant Growth Against Heavy Metals. Int. J. Phytoremediation 2015, 17, 973–980. [Google Scholar] [CrossRef]
- Bai, J.; Yang, X.H.; Du, R.Y.; Chen, Y.M.; Wang, S.Z. Biosorption mechanisms involved in immobilization of soil Pb by Bacillus subtilis DBM in a multi-metal-contaminated soil. J. Environ. Sci. 2014, 26, 2056–2064. [Google Scholar] [CrossRef]
- Jalali, M.; Jalali, M.; Antoniadis, V. The release of Cd, Cu, Fe, Mn, Ni, Pb, and Zn from clay loam and sandy loam soils under the influence of various organic amendments and low-molecular-weight organic acids. J. Hazard. Mater. 2023, 459, 132111. [Google Scholar] [CrossRef] [PubMed]
- Gupta, R.; Khan, F.; Alqahtani, F.M.; Hashem, M.; Ahmad, F. Plant growth-promoting rhizobacteria (PGPR) assisted bioremediation of heavy metal toxicity. Appl. Biochem. Biotechnol. 2024, 196, 2928–2956. [Google Scholar] [CrossRef] [PubMed]
- Sharma, I.; Sharma, S.; Sharma, V.; Singh, A.K.; Sharma, A.; Kumar, A.; Singh, J.; Sharma, A. PGPR-Enabled bioremediation of pesticide and heavy metal-contaminated soil: A review of recent advances and emerging challenges. Chemosphere 2024, 362, 142678. [Google Scholar] [CrossRef] [PubMed]
- Wang, M.; Sun, H.; Dai, H.; Xu, Z. Characterization of Plant-Growth-Promoting Rhizobacteria for Tea Plant (Camellia sinensis) Development and Soil Nutrient Enrichment. Plants 2024, 13, 2659. [Google Scholar] [CrossRef]
- Senthil, K.R.; Koner, S.; Tsai, H.C.; Chen, J.S.; Huang, S.W.; Hsu, B.M. Deciphering endemic rhizosphere microbiome community’s structure towards the host-derived heavy metals tolerance and plant growth promotion functions in serpentine geo-ecosystem. J. Hazard. Mater. 2023, 452, 131359. [Google Scholar] [CrossRef]
- Kaur, S.; Atri, C.; Akhatar, J.; Mittal, M.; Kaur, R.; Banga, S. Genetics of days to fowering, maturity and plant height in natural and derived forms of Brassica rapa L. Theor. Appl. Genet. 2021, 134, 473–487. [Google Scholar] [CrossRef]
- Sehoefs, B.; Darko, E.; Rodermel, S. Photosynthetic Pigments, Photosynthesis and Plastid Ultrastructure in RbcS Antisense DNA Mutants of Tobacco (Nicotiana tabacum). Z. Für Naturforschung C 2001, 56, 1067–1074. [Google Scholar] [CrossRef]
- Gao, P.P.; Zhang, X.M.; Xue, P.Y.; Dong, J.W.; Dong, Y.; Zhao, Q.L.; Geng, L.P.; Lu, Y.; Zhao, J.J.; Liu, W.J. Mechanism of Pb accumulation in Chinese cabbage leaves: Stomata and trichomes regulate foliar uptake of Pb in atmospheric PM(2.5). Environ. Pollut. 2022, 293, 118585. [Google Scholar] [CrossRef]
- Gonzalez, D.; Almendros, P.; Obrador, A.; Alvarez, J.M. Zinc application in conjunction with urea as a fertilization strategy for improving both nitrogen use efficiency and the zinc biofortification of barley. J. Sci. Food Agric. 2019, 99, 4445–4451. [Google Scholar] [CrossRef]
- Yasmin, R.; Hussain, S.; Rasool, M.H.; Siddique, M.H.; Muzammil, S. Isolation, characterization of Zn solubilizing bacterium (Pseudomonas protegens RY2) and its contribution in growth of chickpea (Cicer arietinum L.) as deciphered by improved growth parameters and Zn content. Dose Response 2021, 19, 1559325821103679. [Google Scholar] [CrossRef]
- Jurowski, K.; Krośniak, M. The Toxicological Assessment of Content and Exposure of Heavy Metals (Pb and Cd) in Traditional Herbal Medicinal Products with Marshmallow Root (Althaea officinalis L., radix) from Polish Pharmacies. Toxics 2022, 10, 188. [Google Scholar] [CrossRef]
- Wang, M.; Sun, H.; Xu, L.; Xu, Z. Bacterial diversity in tea plant (Camellia sinensis) rhizosphere soil from Qinling Mountains and its relationship with environmental elements. Plant Soil. 2021, 460, 403–415. [Google Scholar] [CrossRef]
- Omada, J.I.; Ogoko, E.C.; Kelle, H.I.; Gideon, Y.B. Heavy metal pollution indices in soil and plants within the vicinity of the Gosa Dumpsite in Abuja, Nigeria. Environ. Geochem. Health 2024, 46, 223. [Google Scholar] [CrossRef]
- Nurzhanova, A.A.; Pidlisnyuk, V.; Berzhanova, R.; Nurmagambetova, A.S.; Terletskaya, N.; Omirbekova, N.; Berkinbayev, G.; Mamirova, A. PGPR-driven phytoremediation and physiobiochemical response of Miscanthus giganteus to stress induced by the trace elements. Environ. Sci. Pollut. Res. Int. 2023, 30, 96098–96113. [Google Scholar] [CrossRef] [PubMed]
- Yu, L.; Tang, S.; Kang, J.; Korpelainen, H.; Li, C. Responses of dioecious Populus to heavy metals: A meta-analysis. For. Res. 2023, 3, 25. [Google Scholar] [CrossRef] [PubMed]
- Mao, Y.; Tan, H.; Wang, M.; Jiang, T.; Wei, H.; Xu, W.; Jiang, Q.; Bao, H.; Ding, Y.; Wang, F.; et al. Research Progress of Soil Microorganisms in Response to Heavy Metals in Rice. J. Agric. Food Chem. 2022, 70, 8513–8522. [Google Scholar] [CrossRef] [PubMed]
- Iimaa, T.; Batmunkh, M.; Dulguun, B.; Dorjsuren, B.; Turmunkh, T.; Tserennadmid, E.; Surenjav, U.; Choidash, B.; Gereltuya, R. Bacterial Heavy Metal Resistance in Contaminated Soil. J. Microbiol. Biotechnol. 2025, 35, e2411073. [Google Scholar] [CrossRef]
- Fryzova, R.; Pohanka, M.; Martinkova, P.; Cihlarova, H.; Brtnicky, M.; Hladky, J.; Kynicky, J. Oxidative Stress and Heavy Metals in Plants. Rev. Environ. Contam. Toxicol. 2018, 245, 129–156. [Google Scholar] [CrossRef] [PubMed]
- Aprile, A.; De, B.L. Editorial for Special Issue “Heavy Metals Accumulation, Toxicity, and Detoxification in Plants”. Int. J. Mol. Sci. 2020, 21, 4103. [Google Scholar] [CrossRef]
- Sun, W.; Shahrajabian, M.H. The Application of Arbuscular Mycorrhizal Fungi as Microbial Biostimulant, Sustainable Approaches in Modern Agriculture. Plants 2023, 12, 3101. [Google Scholar] [CrossRef] [PubMed]
- Wang, M.; Yang, X. Effects of plant growth-promoting rhizobacteria on blueberry growth and rhizosphere soil microenvironment. PeerJ 2024, 12, e16992. [Google Scholar] [CrossRef] [PubMed]








Disclaimer/Publisher’s Note: The statements, opinions and data contained in all publications are solely those of the individual author(s) and contributor(s) and not of MDPI and/or the editor(s). MDPI and/or the editor(s) disclaim responsibility for any injury to people or property resulting from any ideas, methods, instructions or products referred to in the content. |
© 2025 by the authors. Licensee MDPI, Basel, Switzerland. This article is an open access article distributed under the terms and conditions of the Creative Commons Attribution (CC BY) license (https://creativecommons.org/licenses/by/4.0/).
Share and Cite
Wang, M.; Xu, Z. Plant Growth-Promoting Serratia and Erwinia Strains Enhance Tea Plant Tolerance and Rhizosphere Microbial Diversity Under Heavy Metal Stress. Agronomy 2025, 15, 1876. https://doi.org/10.3390/agronomy15081876
Wang M, Xu Z. Plant Growth-Promoting Serratia and Erwinia Strains Enhance Tea Plant Tolerance and Rhizosphere Microbial Diversity Under Heavy Metal Stress. Agronomy. 2025; 15(8):1876. https://doi.org/10.3390/agronomy15081876
Chicago/Turabian StyleWang, Mengjiao, and Zhimin Xu. 2025. "Plant Growth-Promoting Serratia and Erwinia Strains Enhance Tea Plant Tolerance and Rhizosphere Microbial Diversity Under Heavy Metal Stress" Agronomy 15, no. 8: 1876. https://doi.org/10.3390/agronomy15081876
APA StyleWang, M., & Xu, Z. (2025). Plant Growth-Promoting Serratia and Erwinia Strains Enhance Tea Plant Tolerance and Rhizosphere Microbial Diversity Under Heavy Metal Stress. Agronomy, 15(8), 1876. https://doi.org/10.3390/agronomy15081876

