Combined Mechanical–Chemical Weed Control Methods in Post-Emergence Strategy Result in High Weed Control Efficacy in Sugar Beet
Abstract
1. Introduction
2. Materials and Methods
2.1. Sites and Weather Conditions
2.2. Crop Management
2.3. Experimental Design
2.4. Experimental Implementation, Technology, and Machines
2.5. Data Acquisition—Weed Density and Weed Cover
2.6. Data Processing and Statistical Analysis
3. Results
3.1. Weed Density and Weed Control Efficacy
3.2. Weed Cover and Weed Control Efficacy
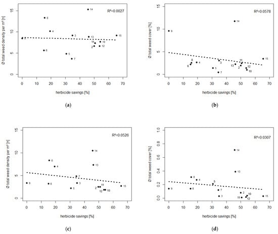
3.3. Correlation Analysis—Weed Density and Weed Cover to Herbicide-Saving Potential
4. Discussion
4.1. Discussion of the Site Selection and Methods
4.2. Discussion of the Results
5. Conclusions
Author Contributions
Funding
Data Availability Statement
Acknowledgments
Conflicts of Interest
Abbreviations
| post-em. | post-emergence application |
| b/h | band/hoe |
| h | hoe |
| br | broadcast |
| N | nitrogen |
References
- Bruhns, J.; Bruhns, P. Sugar Economy Europe, 71st ed.; Verlag Dr. Albert Bartens KG: Berlin, Germany, 2025; p. 17. ISBN 978-3-87040-196-2. [Google Scholar]
- Varga, I.; Jović, J.; Rastija, M.; Markulj Kulundžić, A.; Zebec, V.; Lončarić, Z.; Iljkić, D.; Antunović, M. Efficiency and Management of Nitrogen Fertilization in Sugar Beet as Spring Crop: A Review. Nitrogen 2022, 3, 170–185. [Google Scholar] [CrossRef]
- Kotlánová, B.; Hledík, P.; Hudec, S.; Martínez Barroso, P.; Vaverková, M.D.; Jiroušek, M.; Winkler, J. The Influence of Sugar Beet Cultivation Technologies on the Intensity and Species Biodiversity of Weeds. Agronomy 2024, 14, 390. [Google Scholar] [CrossRef]
- Scott, R.K.; Wilcockson, S.J.; Moisey, F.R. The effects of time of weed removal on growth and yield of sugar beet. J. Agric. Sci. 1979, 93, 693–709. [Google Scholar] [CrossRef]
- Bhadra, T.; Mahapatra, C.K.; Paul, S.K. Weed management in sugar beet: A review. Fundam. Appl. Agric. 2020, 5, 147–156. [Google Scholar] [CrossRef]
- Fishkis, O.; Koch, H.-J. Effect of mechanical weeding on soil erosion and earthworm abundance in sugar beet (Beta vulgaris L.). Soil Tillage Res. 2023, 225, 105548. [Google Scholar] [CrossRef]
- Gerhards, R.; Bezhin, K.; Santel, H.-J. Sugar Beet Yield Loss Predicted by Relative Weed Cover, Weed Biomass and Weed Density. Plant Protect. Sci. 2017, 53, 118–125. [Google Scholar] [CrossRef]
- Abd El Lateef, E.M.; Mekki, B.B.; Abd El-Salam, M.S.; El-Metwally, I.M. Effect of different single herbicide doses on sugar beet yield, quality and associated weeds. Bull. Natl. Res. Cent. 2021, 45, 21. [Google Scholar] [CrossRef]
- Kulan, E.G.; Kaya, M.D. Effects of Weed-Control Treatments and Plant Density on Root Yield and Sugar Content of Sugar Beet. Sugar Tech 2023, 25, 805–819. [Google Scholar] [CrossRef]
- Cioni, F.; Maines, G. Weed Control in Sugarbeet. Sugar Tech 2010, 12, 243–255. [Google Scholar] [CrossRef]
- Soltani, N.; Dille, J.A.; Robinson, D.E.; Sprague, C.L.; Morishita, D.W.; Lawrence, N.C.; Kniss, A.R.; Jha, P.; Felix, J.; Nurse, R.E.; et al. Potential yield loss in sugar beet due to weed interference in the United States and Canada. Weed Technol. 2018, 32, 749–753. [Google Scholar] [CrossRef]
- Kropff, M.J.; Spitters, C.J.T. A simple model of crop loss by weed competition from early observations on relative leaf area of the weeds. Weed Res. 1991, 31, 97–105. [Google Scholar] [CrossRef]
- Schweizer, E.E.; Dexter, A.G. Weed control in sugar beets (Beta vulgaris) in North America. Rev. Weed Sci. 1987, 3, 113–133. [Google Scholar]
- Kunz, C.; Weber, J.F.; Peteinatos, G.G.; Sökefeld, M.; Gerhards, R. Camera steered mechanical weed control in sugar beet, maize and soybean. Precis. Agric. 2018, 19, 708–720. [Google Scholar] [CrossRef]
- Petersen, J. A Review on Weed Control in Sugar Beet: From Tolerance Zero to Period Threshold. In Weed Biology and Management; Inderjit, Ed.; Kluwer Academic Publishers: Dordrecht, The Netherlands; Springer: Dordrecht, The Netherlands, 2004; pp. 467–483. [Google Scholar] [CrossRef]
- Roßberg, D.; Aeckerle, N.; Stockfisch, N. Erhebungen zur Anwendung von chemischen Pflanzenschutzmitteln in Zuckerrüben. Gesunde Pflanz. 2017, 69, 59–66. [Google Scholar] [CrossRef]
- Parasca, S.C.; Spaeth, M.; Rusu, T.; Bogdan, I. Mechanical Weed Control: Sensor-Based Inter-Row Hoeing in Sugar Beet (Beta vulgaris L.) in the Transylvanian Depression. Agronomy 2024, 14, 176. [Google Scholar] [CrossRef]
- Adamczewski, K.; Matysiak, K.; Kierzek, R.; Kaczmarek, S. Significant increase of weed resistance to herbicides in Poland. J. Plant Prot. Res. 2019, 59, 139–150. [Google Scholar] [CrossRef]
- Kalfa, A.-V.; Stuke, F.; Henneken, I.; Haberlah-Korr, V. Effizienz von Triazinon-haltigen Wirkstoffkombinationen zur Bekämpfung von Gänsefuß-Herkünften (Chenopodium album L.) mit verschiedenen Punktmutationen in Zuckerrübe. In Proceedings of the 29th German Conference on Weed Biology and Weed Control, Braunschweig, Germany, 3–5 March 2020; Nordmeyer, H., Ulber, L., Eds.; Julius Kühn-Institut: Braunschweig, Germany, 2020; pp. 360–366, ISBN 978-3-95547-088-3. [Google Scholar]
- Thiel, H.; Kluth, C.; Varrelmann, M. A new molecular method for the rapid detection of a metamitron-resistant target site in Chenopodium album. Pest Manag. Sci. 2010, 66, 1011–1017. [Google Scholar] [CrossRef]
- Duke, S.O. Why have no new herbicide modes of action appeared in recent years? Pest Manag. Sci. 2012, 68, 505–512. [Google Scholar] [CrossRef]
- Zwerger, P.; Augustin, B.; Becker, J.; Dietrich, C.; Forster, R.; Gehring, K.; Gerhards, R.; Gerowitt, B.; Huttenlocher, M.; Kerlen, D.; et al. Integriertes Unkrautmanagement zur Vermeidung von Herbizidresistenz*. J. Kult. 2017, 69, 146–149. [Google Scholar] [CrossRef]
- Kunz, C.; Schröllkamp, C.; Koch, H.-J.; Eßer, C.; Schulze Lammers, P.; Gerhards, R. Potentials of post-emergent mechanical weed control in sugar beet to reduce herbicide inputs. Landtechnik 2015, 70, 67–81. [Google Scholar] [CrossRef]
- Zawada, M.; Legutko, S.; Gościańska-Łowińska, J.; Szymczyk, S.; Nijak, M.; Wojciechowski, J.; Zwierzyński, M. Mechanical Weed Control Systems: Methods and Effectiveness. Sustainability 2023, 15, 15206. [Google Scholar] [CrossRef]
- Ghaly, A.E.; Ibrahim, M.M. Mechanization of Weed Management in Sugar Beet. In Sugar Beet Cultivation, Management and Processing; Misra, V., Srivastava, S., Mall, A.K., Eds.; Springer: Singapore, 2022; pp. 327–367. ISBN 978-981-19-2729-4. [Google Scholar]
- Tataridas, A.; Kanatas, P.; Chatzigeorgiou, A.; Zannopoulos, S.; Travlos, I. Sustainable Crop and Weed Management in the Era of the EU Green Deal: A Survival Guide. Agronomy 2022, 12, 589. [Google Scholar] [CrossRef]
- Triantafyllidis, V.; Mavroeidis, A.; Kosma, C.; Karabagias, I.K.; Zotos, A.; Kehayias, G.; Beslemes, D.; Roussis, I.; Bilalis, D.; Economou, G.; et al. Herbicide Use in the Era of Farm to Fork: Strengths, Weaknesses, and Future Implications. Water Air Soil Pollut. 2023, 234, 94. [Google Scholar] [CrossRef]
- IUSS Working Group WRB. World Reference Base for Soil Resources. International Soil Classification System for Naming Soils and Creating Legends for Soil Maps, 4th ed.; International Union of Soil Sciences (IUSS): Vienna, Austria, 2022; ISBN 979-8-9862451-1-9. [Google Scholar]
- Bayerische Landesanstalt für Landwirtschaft—Agrarmeteorologie Bayern. Wetterstation Piering (LfL). Download/Grafik. Available online: https://www.wetter-by.de/Internet/AM/NotesBAM.nsf/bamweb/bba59bec8619836fc12573920047005b?OpenDocument&TableRow=3.10#3 (accessed on 16 November 2024).
- Kluge, A. Methoden zur Automatischen Unkrauterkennung für die Prozesssteuerung von Herbizidmaßnahmen. In Dissertationen aus dem Julius Kühn-Institut; Julius Kühn-lnstitut, Federal Research Centre for Cultivated Plants, Ed.; Julius Kühn-Institut: Quedlinburg, Germany, 2011; ISBN 978-3-930037-77-3. [Google Scholar]
- Skiljan, I. IrfanView 64—Image Viewer. Software Version 4.62. Available online: https://www.irfanview.com (accessed on 12 June 2023).
- Posit Team. RStudio: Integrated Development Environment for R; Version: 2024.09.1-349; Posit Software, PBC: Boston, MA, USA, 2024; Available online: http://www.posit.co/ (accessed on 26 November 2024).
- Weller, H. countcolors: Locates and Counts Pixels Within Color Range(s) in Images; R Package Version 0.9.1; 2019. Available online: https://CRAN.R-project.org/package=countcolors (accessed on 26 November 2024).
- Weller, H. colordistance: Distance Metrics for Image Color Similarity; R Package Version 1.1.2; 2021. Available online: https://CRAN.R-project.org/package=colordistance (accessed on 26 November 2024).
- Urbanek, S. png: Read and Write PNG Images; R package version 0.1-8; 2022. Available online: https://CRAN.R-project.org/package=png (accessed on 26 November 2024).
- Ooms, J. writexl: Export Data Frames to Excel ‘xlsx’ Format; R Package Version 1.5.0; 2024. Available online: https://CRAN.R-project.org/package=writexl (accessed on 26 November 2024).
- De Mendiburu, F. agricolae: Statistical Procedures for Agricultural Research; R Package Version 1.3-7. 2023. Available online: https://CRAN.R-project.org/package=agricolae (accessed on 26 November 2024).
- R Core Team. R: A Language and Environment for Statistical Computing; R Foundation for Statistical Computing: Vienna, Austria, 2023; Available online: https://www.R-project.org/ (accessed on 26 November 2024).
- Kassambra, A. ggpubr: ‘ggplot2’ Based Publication Ready Plots; R Package Version 0.6.0; 2023. Available online: https://CRAN.R-project.org/package=ggpubr (accessed on 26 November 2024).
- Wickham, H. ggplot2: Elegant Graphics for Data Analysis, 2nd ed.; Use R! Gentleman, R., Hornik, K., Parmigiani, G., Eds.; Springer: New York, NY, USA, 2016; ISBN 978-3-319-24275-0. [Google Scholar]
- Kämpfer, C.; Nordmeyer, H. Teilflächenspezifische Unkrautbekämpfung als ein Baustein von Smart Farming. J. Kult. 2021, 73, 284–291. [Google Scholar] [CrossRef]
- Gerhards, R.; Andújar Sanchez, D.; Hamouz, P.; Peteinatos, G.G.; Christensen, S.; Fernandez-Quintanilla, C. Advances in site-specific weed management in agriculture—A review. Weed Res. 2022, 62, 123–133. [Google Scholar] [CrossRef]
- Kämpfer, C.; Ulber, L.; Wellhausen, C.; Pflanz, M. Unkrauterkennung und Kartierung zur automatischen Applikationskartenerstellung im Pflanzenschutz. J. Kult. 2021, 73, 121–130. [Google Scholar] [CrossRef]
- Blanca, M.J.; Alarcón, R.; Arnau, J.; Bono, R.; Bendayan, R. Non-normal data: Is ANOVA still a valid option? Psicothema 2017, 29, 552–557. [Google Scholar] [CrossRef]
- Bortz, J.; Schuster, C. Statistik für Human- und Sozialwissenschaftler, 7th ed.; Springer: Berlin/Heidelberg, Germany, 2010; p. 214. ISBN 978-3-642-12769-4. [Google Scholar]
- Glass, G.V.; Peckham, P.D.; Sanders, J.R. Consequences of Failure to Meet Assumptions Underlying the Fixed Effects Analyses of Variance and Covariance. Rev. Educ. Res. 1972, 42, 237–288. [Google Scholar] [CrossRef]
- Winer, B.J.; Brown, D.R.; Michels, K.M. Statistical Principles in Experimental Design, 3rd ed.; McGraw-Hill: New York, NY, USA, 1991; ISBN 978-0070709829. [Google Scholar]
- Pamornnak, B.; Scholz, C.; Becker, S.; Ruckelshausen, A. A digital weed counting system for the weed control performance evaluation. In Informatik in der Land-, Forst- und Ernährungswirtschaft: Künstliche Intelligenz in der Agrar- und Ernährungswirtschaft. Lecture Notes in Informatics (LNI)—Proceedings of the 42th GIL-Jahrestagung, Agroscope, Tänikon, Ettenhausen, Switzerland (Virtual), 21–22 February 2022; Gandorfer, M., Hoffmann, C., El Benni, N., Cockburn, M., Anken, T., Floto, H., Eds.; Köllen Druck+Verlag GmbH: Bonn, Germany, 2022; pp. 207–212. ISBN 978-3-88579-711-1. [Google Scholar]
- Das, S.K.; Mondal, T. Mode of action of herbicides and recent trends in development: A Reappraisal. Int. J. Agric. Soil Sci. 2014, 2, 27–32. [Google Scholar]
- Baćmaga, M.; Wyszkowska, J.; Kucharski, J. Environmental Implication of Herbicide Use. Molecules 2024, 29, 5965. [Google Scholar] [CrossRef]
- Hamed, L.M.M.; Absy, R.; Elmenofy, W.; Emara, E.I.R. Enhancing Sugar Beet (Beta vulgaris L.) Yield and Quality: Evaluating the Efficiency of Chemical and Mechanical Weed Control Strategies. Agronomy 2023, 13, 2951. [Google Scholar] [CrossRef]
- Wiltshire, J.J.J.; Tillett, N.D.; Hague, T. Agronomic evaluation of precise mechanical hoeing and chemical weed control in sugar beet. Weed Res. 2003, 43, 236–244. [Google Scholar] [CrossRef]
- Machleb, J.; Peteinatos, G.G.; Sökefeld, M.; Gerhards, R. Sensor-Based Intrarow Mechanical Weed Control in Sugar Beets with Motorized Finger Weeders. Agronomy 2021, 11, 1517. [Google Scholar] [CrossRef]
- Gerhards, R.; Risser, P.; Spaeth, M.; Saile, M.; Peteinatos, G. A comparison of seven innovative robotic weeding systems and reference herbicide strategies in sugar beet (Beta vulgaris subsp. vulgaris L.) and rapeseed (Brassica napus L.). Weed Res. 2024, 64, 42–53. [Google Scholar] [CrossRef]
- Loddo, D.; Scarabel, L.; Sattin, M.; Pederzoli, A.; Morsiani, C.; Canestrale, R.; Tommasini, M.G. Combination of Herbicide Band Application and Inter-Row Cultivation Provides Sustainable Weed Control in Maize. Agronomy 2020, 10, 20. [Google Scholar] [CrossRef]
- Saile, M.; Spaeth, M.; Gerhards, R. Evaluating Sensor-Based Mechanical Weeding Combined with Pre- and Post-Emergence Herbicides for Integrated Weed Management in Cereals. Agronomy 2022, 12, 1465. [Google Scholar] [CrossRef]
- Pannacci, E.; Tei, F. Effects of mechanical and chemical methods on weed control, weed seed rain and crop yield in maize, sunflower and soyabean. Crop Prot. 2014, 64, 51–59. [Google Scholar] [CrossRef]
- Main, D.C.; Sanderson, K.R.; Fillmore, S.A.E.; Ivany, J.A. Comparison of synthetic and organic herbicides applied banded for weed control in carrots (Daucus carota L.). Can. J. Plant Sci. 2013, 93, 857–861. [Google Scholar] [CrossRef]
- Ozaslan, C.; Gürsoy, S.; DiTommaso, A. Band herbicide application combined with inter-row cultivation as a sustainable weed management strategy for reducing herbicide use: A meta-analysis. Crop Prot. 2024, 175, 106474. [Google Scholar] [CrossRef]
- Ivany, J.A. Banded herbicides and cultivation for weed control in potatoes (Solanum tuberosum L.). Can. J. Plant Sci. 2002, 82, 617–620. [Google Scholar] [CrossRef]
- Melander, B.; Lattanzi, B.; Pannacci, E. Intelligent versus non-intelligent mechanical intra-row weed control in transplanted onion and cabbage. Crop Prot. 2015, 72, 1–8. [Google Scholar] [CrossRef]
- Machleb, J.; Peteinatos, G.G.; Kollenda, B.L.; Andújar, D.; Gerhards, R. Sensor-based mechanical weed control: Present state and prospects. Comput. Electron. Agric. 2020, 176, 105638. [Google Scholar] [CrossRef]
- Hussain, M.; Farooq, S.; Merfield, C.; Jabran, K. Mechanical Weed Control. In Non-Chemical Weed Control; Jabran, K., Chauhan, B.S., Eds.; Elsevier: Amsterdam, The Netherlands; Academic Press: San Diego, CA, USA, 2018; pp. 133–155. ISBN 978-0-12-809881-3. [Google Scholar]
- Bond, W.; Grundy, A.C. Non-chemical weed management in organic farming systems. Weed Res. 2001, 41, 383–405. [Google Scholar] [CrossRef]






| Year(s) Parameter | Mar. | Apr. | May | Jun. | Jul. | Aug. | Sep. | Oct. | ∅ or Σ |
|---|---|---|---|---|---|---|---|---|---|
| 2012–2022 | |||||||||
| Air temp. [°C] | 5.0 | 9.4 | 13.6 | 18.1 | 19.4 | 19.1 | 14.3 | 9.5 | ∅ 13.6 |
| Preci. [mm] | 31.2 | 28.8 | 79.2 | 93.1 | 52.4 | 78.1 | 51.0 | 48.4 | Σ 462.2 |
| Veg.days [d] | 16 | 25 | 31 | 30 | 31 | 31 | 30 | 29 | Σ 223 |
| Soil temp. [°C] | 5.3 | 9.8 | 13.6 | 18.4 | 20.0 | 19.6 | 16.0 | 11.7 | ∅ 14.3 |
| 2023 | |||||||||
| Temp. [°C] | 5.6 | 7.4 | 14.1 | 18.7 | 20.2 | 19.3 | 17.1 | 11.2 | ∅ 14.2 |
| Preci. [mm] | 41.5 | 72.5 | 46.8 | 17.4 | 59.3 | 155.8 | 17.4 | 40.4 | Σ 451.1 |
| Veg.days [d] | 16 | 24 | 31 | 30 | 31 | 31 | 30 | 28 | Σ 221 |
| Soil temp. [°C] | 5.9 | 8.6 | 12.4 | 17.8 | 19.5 | 19.1 | 17.3 | 12.7 | ∅ 14.2 |
| 2024 | |||||||||
| Air temp. [°C] | 7.9 | 10.7 | 15.6 | 18.7 | 20.5 | 21.3 | 15.5 | 11.0 | ∅ 15.2 |
| Preci. [mm] | 15.8 | 27.4 | 145.8 | 79.7 | 63.9 | 117.7 | 122.9 | 46.1 | Σ 619.3 |
| Veg.days [d] | 27 | 24 | 31 | 30 | 31 | 31 | 30 | 31 | Σ 235 |
| Soil temp. [°C] | 7.8 | 11.1 | 15.3 | 18.6 | 20.6 | 20.3 | 17.0 | 13.0 | ∅ 15.5 |
| Treatment | 1. Post-em. | 2. Post-em. | 3. Post-em. | Total Amount of Applicated Herbicides [L/ha] | Total Herbicide Savings [%] Compared to Solo Broadcast (Treatment 9) |
|---|---|---|---|---|---|
| 1 | untreated | untreated | untreated | 0.00 | 100.00 |
| 2 | band/hoe | band/hoe | band/hoe | 4.65 | 50.00 |
| 3 | broadcast | band/hoe | band/hoe | 6.05 | 34.95 |
| 4 | broadcast | broadcast | band/hoe | 7.50 | 19.35 |
| 5 | band/hoe | band/hoe | broadcast | 6.45 | 30.65 |
| 6 | band/hoe | broadcast | broadcast | 7.90 | 15.05 |
| 7 | band/hoe | broadcast | band/hoe | 6.10 | 34.41 |
| 8 | broadcast | band/hoe | broadcast | 7.85 | 15.59 |
| 9 | broadcast | broadcast | broadcast | 9.30 | 0.00 |
| 10 | broadcast | band/hoe | hoe | 4.25 | 54.30 |
| 11 | broadcast | hoe | band/hoe | 4.60 | 50.54 |
| 12 | band/hoe | broadcast | hoe | 4.30 | 53.76 |
| 13 | band/hoe | hoe | broadcast | 5.00 | 46.24 |
| 14 | hoe | band/hoe | broadcast | 5.05 | 45.70 |
| 15 | band/hoe | hoe | band/hoe | 3.20 | 65.59 |
| Post-em. BBCH | Active Ingredients | CT | Product Name | FM | AR | Producer |
|---|---|---|---|---|---|---|
| 1. post-em. 10–11 | Metamitron | 525 g/L | Goltix Titan | SC | 683 g/ha | Adama |
| Quinmerac | 40 g/L | Goltix Titan | SC | 52 g/ha | Adama | |
| Ethofumesat | 190 g/L | Betanal Tandem | SC | 190 g/ha | Bayer Crop Sciences | |
| Phenmedipham | 200 g/L | Betanal Tandem | SC | 200 g/ha | Bayer Crop Sciences | |
| Rapeseed methyl ester | 810 mL/L | Mero | EC | 405 mL/ha | Bayer Crop Sciences | |
| 2. post-em. 14 | Metamitron | 525 g/L | Goltix Titan | SC | 683 g/ha | Adama |
| Quinmerac | 40 g/L | Goltix Titan | SC | 52 g/ha | Adama | |
| Ethofumesat | 190 g/L | Betanal Tandem | SC | 190 g/ha | Bayer Crop Sciences | |
| Phenmedipham | 200 g/L | Betanal Tandem | SC | 200 g/ha | Bayer Crop Sciences | |
| Clopyralid | 600 g/L | Lontrel | SC | 60 g/ha | Corteva | |
| Rapeseed methyl ester | 810 mL/L | Mero | EC | 405 mL/ha | Bayer Crop Sciences | |
| 3. post-em. 16–19 | Metamitron | 525 g/L | Goltix Titan | SC | 1050 g/ha | Adama |
| Quinmerac | 40 g/L | Goltix Titan | SC | 80 g/ha | Adama | |
| Ethofumesat | 190 g/L | Betanal Tandem | SC | 190 g/ha | Bayer Crop Sciences | |
| Phenmedipham | 200 g/L | Betanal Tandem | SC | 200 g/ha | Bayer Crop Sciences | |
| Clopyralid | 600 g/L | Lontrel | SC | 60 g/ha | Corteva | |
| Rapeseed methyl ester | 810 mL/L | Mero | EC | 405 mL/ha | Bayer Crop Sciences |
| Interrow 2023 | Intrarow 2023 | Total 2023 | Interrow 2024 | Intrarow 2024 | Total 2024 | |||||||||||||||||
|---|---|---|---|---|---|---|---|---|---|---|---|---|---|---|---|---|---|---|---|---|---|---|
| Treatment | Herb. Savings | Weed Den. | WCE | Weed Den. | WCE | Weed Den. | WCE | Weed Den. | WCE | Weed Den. | WCE | Weed Den. | WCE | |||||||||
| Nr. | 1. Post-em. | 2. Post-em. | 3. Post-em. | [%] | [n/m2] | [%] | [n/m2] | [%] | [n/m2] | [%] | [n/m2] | [%] | [n/m2] | [%] | [n/m2] | [%] | ||||||
| 1 | untreated | untreated | untreated | 100.00 | 54.00 | a | - | 25.67 | a | - | 39.84 | a | - | 24.00 | a | - | 14.67 | a | - | 19.34 | a | - |
| 2 | band/hoe | band/hoe | band/hoe | 50.00 | 10.00 | b | 81.48 | 3.33 | b | 87.03 | 6.67 | b | 83.27 | 1.00 | c | 95.83 | 4.00 | b | 72.73 | 2.50 | c | 87.07 |
| 3 | broadcast | band/hoe | band/hoe | 34.95 | 12.67 | b | 76.54 | 5.67 | b | 77.91 | 9.17 | b | 76.98 | 3.67 | bc | 84.71 | 3.00 | b | 79.55 | 3.34 | bc | 82.75 |
| 4 | broadcast | broadcast | band/hoe | 19.35 | 14.67 | b | 72.83 | 5.67 | b | 77.91 | 10.17 | b | 74.47 | 5.00 | bc | 79.17 | 9.00 | ab | 38.65 | 7.00 | bc | 63.80 |
| 5 | band/hoe | band/hoe | broadcast | 30.65 | 5.00 | b | 90.74 | 4.67 | b | 81.81 | 4.84 | b | 87.86 | 3.33 | bc | 86.13 | 1.00 | b | 93.18 | 2.17 | c | 88.80 |
| 6 | band/hoe | broadcast | broadcast | 15.05 | 7.67 | b | 85.80 | 3.67 | b | 85.70 | 5.67 | b | 85.77 | 1.00 | c | 95.83 | 5.33 | ab | 63.67 | 3.17 | bc | 83.63 |
| 7 | band/hoe | broadcast | band/hoe | 34.41 | 6.33 | b | 88.28 | 1.00 | b | 96.10 | 3.67 | b | 90.80 | 2.33 | bc | 90.29 | 7.33 | ab | 50.03 | 4.83 | bc | 75.02 |
| 8 | broadcast | band/hoe | broadcast | 15.59 | 14.33 | b | 73.46 | 12.33 | ab | 51.97 | 13.33 | b | 66.54 | 8.67 | bc | 63.88 | 8.00 | ab | 45.47 | 8.34 | bc | 56.89 |
| 9 | broadcast | broadcast | broadcast | 0.00 | 9.00 | b | 83.33 | 8.00 | ab | 68.84 | 8.50 | b | 78.66 | 3.67 | bc | 84.71 | 3.00 | b | 79.55 | 3.34 | bc | 82.75 |
| 10 | broadcast | band/hoe | hoe | 54.30 | 10.67 | b | 80.24 | 4.67 | b | 81.81 | 7.67 | b | 80.75 | 0.33 | c | 98.63 | 3.33 | b | 77.30 | 1.83 | c | 90.54 |
| 11 | broadcast | hoe | band/hoe | 50.54 | 8.00 | b | 85.19 | 6.67 | ab | 74.02 | 7.34 | b | 81.59 | 1.67 | c | 93.04 | 3.33 | b | 77.30 | 2.50 | c | 87.07 |
| 12 | band/hoe | broadcast | hoe | 53.76 | 7.33 | b | 86.43 | 6.00 | ab | 76.63 | 6.67 | b | 83.27 | 0.67 | c | 97.21 | 3.00 | b | 79.55 | 1.84 | c | 90.51 |
| 13 | band/hoe | hoe | broadcast | 46.24 | 10.33 | b | 80.87 | 7.33 | ab | 71.45 | 8.83 | b | 77.83 | 7.00 | bc | 70.83 | 7.67 | ab | 47.72 | 7.34 | bc | 62.06 |
| 14 | hoe | band/hoe | broadcast | 45.70 | 15.00 | b | 72.22 | 15.67 | ab | 38.96 | 15.34 | ab | 61.50 | 10.33 | bc | 56.96 | 10.67 | ab | 27.27 | 10.50 | b | 45.69 |
| 15 | band/hoe | hoe | band/hoe | 65.59 | 10.00 | b | 81.48 | 8.33 | ab | 67.55 | 9.17 | b | 76.99 | 1.33 | c | 94.46 | 4.00 | b | 72.73 | 2.67 | c | 86.22 |
| 2023 | 2024 | |||||||
|---|---|---|---|---|---|---|---|---|
| Treatment | Herb. Savings | Annotated Pixels | WCE | Annotated Pixels | WCE | |||
| Nr. | 1. Post-em. | 2. Post-em. | 3. Post-em. | [%] | n/m2 | [%] | n/m2 | [%] |
| 1 | untreated | untreated | untreated | 100.00 | 2,096,023 | -- | 575,621 | -- |
| 2 | band/hoe | band/hoe | band/hoe | 50.00 | 198,346 | 90.54 | 22,085 | 96.16 |
| 3 | broadcast | band/hoe | band/hoe | 34.95 | 310,112 | 85.20 | 7615 | 98.68 |
| 4 | broadcast | broadcast | band/hoe | 19.35 | 265,761 | 87.32 | 78,361 | 86.39 |
| 5 | band/hoe | band/hoe | broadcast | 30.65 | 140,264 | 93.31 | 57,580 | 90.00 |
| 6 | band/hoe | broadcast | broadcast | 15.05 | 222,049 | 89.41 | 41,314 | 92.82 |
| 7 | band/hoe | broadcast | band/hoe | 34.41 | 41,574 | 98.02 | 35,740 | 93.79 |
| 8 | broadcast | band/hoe | broadcast | 15.59 | 236,140 | 88.73 | 90,860 | 84.22 |
| 9 | broadcast | broadcast | broadcast | 0.00 | 974,278 | 53.52 | 39,328 | 93.17 |
| 10 | broadcast | band/hoe | hoe | 54.30 | 98,263 | 95.31 | 7374 | 98.72 |
| 11 | broadcast | hoe | band/hoe | 50.54 | 245,651 | 88.28 | 2902 | 99.50 |
| 12 | band/hoe | broadcast | hoe | 53.76 | 117,531 | 94.39 | 7235 | 98.74 |
| 13 | band/hoe | hoe | broadcast | 46.24 | 228,513 | 89.10 | 113,328 | 80.31 |
| 14 | hoe | band/hoe | broadcast | 45.70 | 1,195,895 | 42.94 | 207,276 | 63.99 |
| 15 | band/hoe | hoe | band/hoe | 65.59 | 350,981 | 83.25 | 8190 | 98.58 |
Disclaimer/Publisher’s Note: The statements, opinions and data contained in all publications are solely those of the individual author(s) and contributor(s) and not of MDPI and/or the editor(s). MDPI and/or the editor(s) disclaim responsibility for any injury to people or property resulting from any ideas, methods, instructions or products referred to in the content. |
© 2025 by the authors. Licensee MDPI, Basel, Switzerland. This article is an open access article distributed under the terms and conditions of the Creative Commons Attribution (CC BY) license (https://creativecommons.org/licenses/by/4.0/).
Share and Cite
Berg, J.; Ring, H.; Bernhardt, H. Combined Mechanical–Chemical Weed Control Methods in Post-Emergence Strategy Result in High Weed Control Efficacy in Sugar Beet. Agronomy 2025, 15, 879. https://doi.org/10.3390/agronomy15040879
Berg J, Ring H, Bernhardt H. Combined Mechanical–Chemical Weed Control Methods in Post-Emergence Strategy Result in High Weed Control Efficacy in Sugar Beet. Agronomy. 2025; 15(4):879. https://doi.org/10.3390/agronomy15040879
Chicago/Turabian StyleBerg, Jakob, Helmut Ring, and Heinz Bernhardt. 2025. "Combined Mechanical–Chemical Weed Control Methods in Post-Emergence Strategy Result in High Weed Control Efficacy in Sugar Beet" Agronomy 15, no. 4: 879. https://doi.org/10.3390/agronomy15040879
APA StyleBerg, J., Ring, H., & Bernhardt, H. (2025). Combined Mechanical–Chemical Weed Control Methods in Post-Emergence Strategy Result in High Weed Control Efficacy in Sugar Beet. Agronomy, 15(4), 879. https://doi.org/10.3390/agronomy15040879

