Effects of Deficit Irrigation and Intercropping of Dry Beans with Two African Leafy Vegetable Crops on Growth and Yield
Abstract
1. Introduction
2. Materials and Methods
2.1. Study Area
2.2. Experimental Design
2.3. Sampling Procedure
2.3.1. Soil Sampling
2.3.2. Irrigation Scheduling
2.4. Data Collection
2.5. Data Analysis
3. Results
3.1. Pre-Soil Results
3.2. Crop Physiology and Leaf Gaseous Parameters
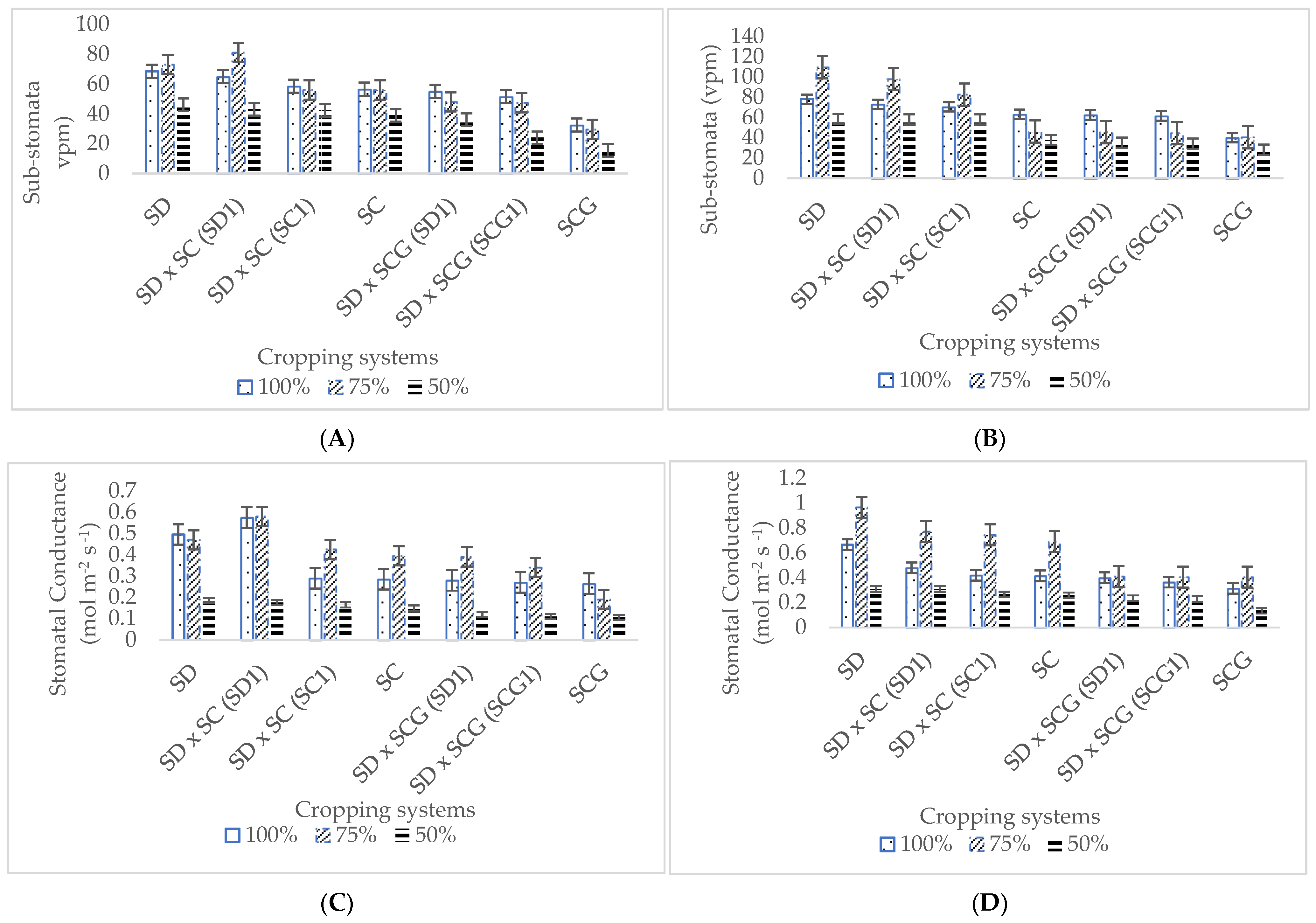
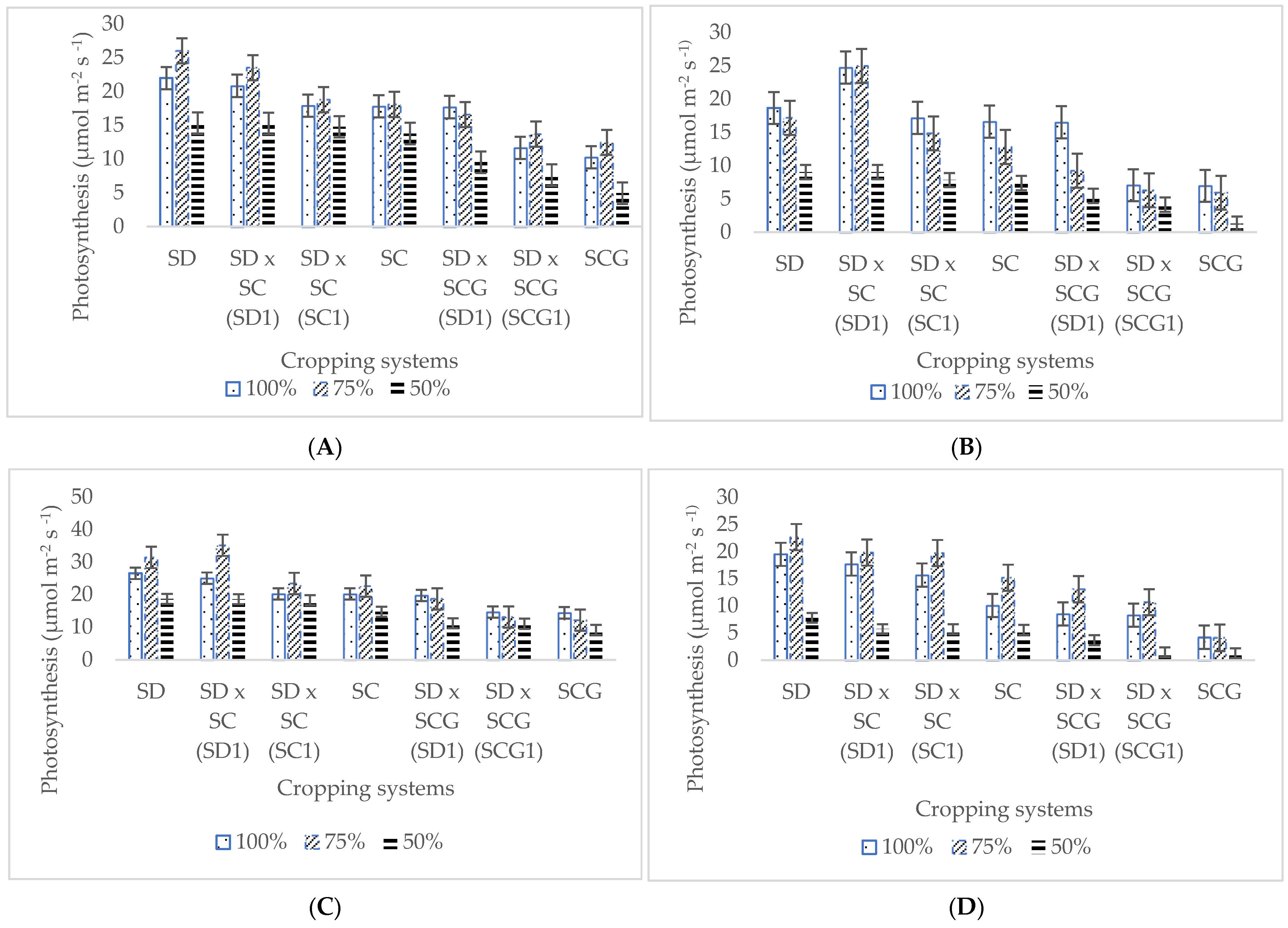
- SD = Sole-planted dry bean
- SD × SC (SD1) = Dry bean intercropped with cucumis myricarpus (dry bean leaf measurement)
- SD × SC (SC1) = Dry brean intercropped with cucumis myriocarpus (cucumis leaf measurement)
- SC = Sole-planted cucumis myriocarpus
- 5.SD × SCG (SD1) = Dry bean intercropped with cleome gynandra (dry bean leave measurement)
- SD × SCG (SCG1) = Dry bean intercropped with cleome gynandra (cleome leave measurement)
- SCG = Sole-planted cleome gynandra
3.2.1. Sub-Stomata and Stomatal Conductance
3.2.2. Photosynthesis Rate
3.2.3. Transpiration Rate
3.2.4. Chlorophyll Content
3.3. Yield
3.3.1. Response of Yield When Irrigation Levels Were Withdrawn at the 50% Flowering Stage (R2)
3.3.2. Response of Yield When Irrigation Levels Were Withdrawn at the Early-Pod Stage (R3)
3.3.3. Response of Yield When Irrigation Levels Were Withdrawn at the Mid-Pod Stage (R4)
3.3.4. Response of Yield When Irrigation Levels Were Withdrawn at the Early Seed-Filling Stage (R5)
3.4. Response of Dry Bean Pod Yield to Intercropping and Regulated Deficit Irrigation
4. Discussion
5. Conclusions
Author Contributions
Funding
Data Availability Statement
Acknowledgments
Conflicts of Interest
References
- Nhemachena, C.; Nhamo, L.; Matchaya, G.; Nhemachena, C.R.; Muchara, B.; Karuaihe, S.T.; Mpandeli, S. Climate Change Impacts on Water and Agriculture Sectors in Southern Africa: Threats and Opportunities for Sustainable Development. Water 2020, 12, 2673. [Google Scholar] [CrossRef]
- Intergovernmental Panel on Climate Change (IPCC). Climate Change 2022—Impacts, Adaptation and Vulnerability; IPCC: Geneva, Switzerland, 2023. [Google Scholar] [CrossRef]
- Umutoni, L.; Samadi, V. Application of machine learning approaches in supporting irrigation decision making: A review. Agric. Water Manag. 2024, 294, 108710. [Google Scholar] [CrossRef]
- Zhang, J.; Guan, K.; Peng, B.; Jiang, C.; Zhou, W.; Yang, Y.; Pan, M.; E Franz, T.; Heeren, D.M.; Rudnick, D.R.; et al. Challenges and opportunities in precision irrigation decision-support systems for center pivots. Environ. Res. Lett. 2021, 16, 053003. [Google Scholar] [CrossRef]
- D’odorico, P.; Chiarelli, D.D.; Rosa, L.; Bini, A.; Zilberman, D.; Rulli, M.C. The global value of water in agriculture. Proc. Natl. Acad. Sci. USA 2020, 117, 21985–21993. [Google Scholar] [CrossRef]
- Mathobo, R.; Marais, D.; Steyn, J.M. The effect of drought stress on yield, leaf gaseous exchange and chlorophyll fluorescence of dry beans (Phaseolus vulgaris L.). Agric. Water Manag. 2017, 180, 118–125. [Google Scholar] [CrossRef]
- Shemer, H.; Wald, S.; Semiat, R. Challenges and Solutions for Global Water Scarcity. Membranes 2023, 13, 612. [Google Scholar] [CrossRef]
- Yersaw, B.T.; Lohani, T.K. Executing legitimate irrigation scheduling by deficit irrigation mechanism to maximize onion production. Cogent Food Agric. 2022, 8, 2123758. [Google Scholar] [CrossRef]
- Mohammed, M.; Sallam, A.; Munir, M.; Ali-Dinar, H. Effects of Deficit Irrigation Scheduling on Water Use, Gas Exchange, Yield, and Fruit Quality of Date Palm. Agronomy 2021, 11, 2256. [Google Scholar] [CrossRef]
- Yang, B.; Fu, P.; Lu, J.; Ma, F.; Sun, X.; Fang, Y. Regulated deficit irrigation: An effective way to solve the shortage of agricultural water for horticulture. Stress Biology 2022, 2, 28. [Google Scholar] [CrossRef]
- Muroyiwa, G.; Mashonjowa, E.; Mhizha, T.; Muchuweti, M. The effects of deficit irrigation on water use efficiency, yield and quality of drip-irrigated tomatoes grown under field conditions in Zimbabwe. Water SA 2023, 49, 363–373. [Google Scholar] [CrossRef]
- Dong, Y. Irrigation Scheduling Methods: Overview and Recent Advances; IntechOpen: London, UK, 2023. [Google Scholar] [CrossRef]
- Galindo, A.; Collado-González, J.; Griñán, I.; Corell, M.; Centeno, A.; Martín-Palomo, M.; Girón, I.; Rodríguez, P.; Cruz, Z.; Memmi, H.; et al. Deficit irrigation and emerging fruit crops as a strategy to save water in Mediterranean semiarid agrosystems. Agric. Water Manag. 2018, 202, 311–324. [Google Scholar] [CrossRef]
- Akram, M.Z.; Libutti, A.; Rivelli, A.R. Evaluation of Vegetative Development of Quinoa under Water Stress by Applying Different Organic Amendments. Agronomy 2023, 13, 1412. [Google Scholar] [CrossRef]
- Fereres, E.; Soriano, M.A. Deficit irrigation for reducing agricultural water use. J. Exp. Bot. 2007, 58, 147–159. [Google Scholar] [CrossRef]
- Evans, R.G.; Sadler, E.J. Methods and technologies to improve efficiency of water use. Water Resour. Res. 2008, 44, 1–15. [Google Scholar] [CrossRef]
- Annandale, J.; Stirzaker, R.; Singels, A.; Van der Laan, M.; Laker, M. Irrigation scheduling research: South African experiences and future prospects. Water SA 2011, 37, 751–764. [Google Scholar] [CrossRef]
- Du, T.; Kang, S.; Zhang, J.; Davies, W.J. Deficit irrigation and sustainable water-resource strategies in agriculture for China’s food security. J. Exp. Bot. 2015, 66, 2253–2269. [Google Scholar] [CrossRef]
- Olivera-Guerra, L.-E.; Laluet, P.; Altés, V.; Ollivier, C.; Pageot, Y.; Paolini, G.; Chavanon, E.; Rivalland, V.; Boulet, G.; Villar, J.-M.; et al. Modeling actual water use under different irrigation regimes at district scale: Application to the FAO-56 dual crop coefficient method. Agric. Water Manag. 2023, 278, 108119. [Google Scholar] [CrossRef]
- Kim, H.-H.; Goins, G.D.; Wheeler, R.M.; Sager, J.C. Stomatal Conductance of Lettuce Grown Under or Exposed to Different Light Qualities. Ann. Bot. 2004, 94, 691–697. [Google Scholar] [CrossRef]
- Schapendonk, A.H.C.M.; Spitters, C.J.T.; Groot, P.J. Effects of water stress on photosynthesis and chlorophyll fluorescence of five potato cultivars. Potato Res. 1989, 32, 17–32. [Google Scholar] [CrossRef]
- Pirasteh-Anosheh, H.; Saed-Moucheshi, A.; Pakniyat, H.; Pessarakli, M. Stomatal responses to drought stress. In Water Stress and Crop Plants: A Sustainable Approach; Wiley: Hoboken, NJ, USA, 2016; Volume 1–2. [Google Scholar] [CrossRef]
- Tanaka, A.; Makino, A. Photosynthetic Research in Plant Science. Plant Cell Physiol. 2009, 50, 681–683. [Google Scholar] [CrossRef] [PubMed]
- Hnilička, F.; Koudela, M.; Martinková, J.; Svozilová, L. Effects of deficit irrigation and straw mulching on gas exchange of cucumber plants (Cucumis sativus L.). Acta Univ. Agric. Et Silvic. Mendel. Brun. 2013, 60, 43–50. [Google Scholar] [CrossRef]
- Palta, J.P. Leaf chlorophyll content. Remote Sens. 1990, 5, 207–213. [Google Scholar] [CrossRef]
- Ercoli, L.; Mariotti, M.; Masoni, A.; Massantini, F. Relationship between nitrogen and chlorophyll content and spectral properties in maize leaves. Eur. J. Agron. 1993, 2, 113–117. [Google Scholar] [CrossRef]
- Bojović, B.; Marković, A. Correlation between nitrogen and chlorophyll content in wheat (Triticum aestivum L.). Kragujev. J. Sci. 2009, 31, 69–74. [Google Scholar]
- Boussadia, O.; Steppe, K.; Zgallai, H.; Ben El Hadj, S.; Braham, M.; Lemeur, R.; Van Labeke, M. Effects of nitrogen deficiency on leaf photosynthesis, carbohydrate status and biomass production in two olive cultivars ‘Meski’ and ‘Koroneiki’. Sci. Hortic. 2009, 123, 336–342. [Google Scholar] [CrossRef]
- Ngwenya, Z.D.; Mohammed, M.; Dakora, F.D. Monocropping and Intercropping of Maize with Six Food Legumes at Malkerns in Eswatini: Their Effects on Plant Growth, Grain Yield and N2 Fixation, Measured using the 15N Natural Abundance and Ureide Techniques. Symbiosis 2024, 92, 257–269. [Google Scholar] [CrossRef]
- Nasar, J.; Ahmad, M.; Gitari, H.; Tang, L.; Chen, Y.; Zhou, X.-B. Maize/soybean intercropping increases nutrient uptake, crop yield and modifies soil physio-chemical characteristics and enzymatic activities in the subtropical humid region based in Southwest China. BMC Plant Biol. 2024, 24, 434. [Google Scholar] [CrossRef] [PubMed]
- Wang, M.; Shi, W.; Kamran, M.; Chang, S.; Jia, Q.; Hou, F. Effects of intercropping and regulated deficit irrigation on the yield, water and land resource utilization, and economic benefits of forage maize in arid region of forage maize in arid region of Northwest China. Agricultural Water Management. Agric. Water Manag. 2024, 298, 108876. [Google Scholar] [CrossRef]
- Kebede, E. Grain legumes production and productivity in Ethiopian smallholder agricultural system, contribution to livelihoods and the way forward. Cogent Food Agric. 2020, 6, 1–20. [Google Scholar] [CrossRef]
- Stagnari, F.; Maggio, A.; Galieni, A.; Pisante, M. Multiple Benefits of Legumes for Agriculture Sustainability: An Overview. Chem. Biol. Technol. Agric. 2017, 4, 2–15. [Google Scholar] [CrossRef]
- Dlamini, T.; Nalley, L.; Tsiboe, F.; Barkley, A.; Shew, A. The Economic Impact of the South African Agricultural Research Council’s Dry Beans Breeding Program. J. Agric. Appl. Econ. 2017, 49, 232–250. [Google Scholar] [CrossRef][Green Version]
- Shaik, R.S.; Burrows, G.E.; Urwin, N.A.; Gopurenko, D.; Lepschi, B.J.; Weston, L.A. The biology and management of prickly paddy melon (Cucumis myriocarpus L.), an important summer annual weed in Australia. Crop Prot. 2017, 92, 29–40. [Google Scholar] [CrossRef]
- Nwafor, I.; Nwafor, C.; Manduna, I. Constraints to Cultivation of Medicinal Plants by Smallholder Farmers in South Africa. Horticulturae 2021, 7, 531. [Google Scholar] [CrossRef]
- Akbarzadeh, A.; Shahnazari, A. The Effect of Deficit Irrigation Strategies on the Efficiency From Plant to Essential Oil Production in Peppermint (Mentha piperita L.). Front. Water 2021, 3, 1–10. [Google Scholar] [CrossRef]
- Oelofse, A.; Van Averbeke, W. Nutritional Value and Water Use of African Leafy Vegetables for Improved Livelihoods. 2012. Available online: https://www.wrc.org.za/wp-content/uploads/mdocs/TT%20535-12.pdf (accessed on 16 January 2025).
- Shadung, K.; Mashela, P.; Mulaudzi, V.; Mphosi, M.; Ncube, I. Optimum Harvest Time of Cucumis africanus Fruit Using Concentration of Cucurbitacin B as a Maturity Standard. J. Agric. Sci. 2015, 7, 181. [Google Scholar] [CrossRef]
- Pofu, K.M.; Mashela, P.W.; Mokgalong, N.M. Host-status and host-sensitivity of Cucumis africanus and Cucumis myriocarpus to Meloidogyne incognita race 2 under greenhouse conditions. Afr. Jourmal Agric. Res. 2010, 5, 1504–1508. [Google Scholar]
- Nkgapele, R.J.; Mphosi, M.S.; Mashela, P.W. Comparing Cucumis africanus and Cucumis myriocarpus using a classical growth analysis tool under five irrigation frequencies. WIT Trans. Ecol. Environ. 2011, 145, 565–570. [Google Scholar] [CrossRef]
- Oshingi, S.; Fekadu, F.D.; Emmanuel, O.O.; Traud, W.; Mary, O.A.-O. Cleome gynandra L. origin, taxonomy and morphology: A review. Afr. J. Agric. Res. 2019, 14, 1568–1583. [Google Scholar] [CrossRef]
- Imanirampa, L.; Alele, P.E. Antifungal activity of Cleome gynandra L. aerial parts for topical treatment of Tinea capitis: An in vitro evaluation. BMC Complement. Altern. Med. 2016, 16, 194. [Google Scholar] [CrossRef]
- Phadu, M. Bioavailability and Bioremediation of Heavy Metals and Nutrients in Cultivated and Fallowed Soils Following Irrigation with Treated Wastewater. 2019. Available online: https://www.academia.edu/download/75410047/phadu_ml_2019.pdf (accessed on 15 January 2025).
- Beiermann, C.W.; Miranda, J.W.; Creech, C.F.; Knezevic, S.Z.; Jhala, A.J.; Harveson, R.; Lawrence, N.C. Critical timing of weed removal in dry bean as influenced by the use of preemergence herbicides. Weed Technol. 2021, 36, 168–176. [Google Scholar] [CrossRef]
- Maseko, I.; Ncube, B.; Tesfay, S.; Fessehazion, M.; Modi, A.T.; Mabhaudhi, T. Productivity of Selected African Leafy Vegetables under Varying Water Regimes. Agronomy 2020, 10, 916. [Google Scholar] [CrossRef]
- Allen, R.G.; Pereira, L.S.; Raes, D.; Smith, M. Chapter 6—ETc–Single crop coefficient (Kc). In Crop Evapotranspiration–Guidelines for Computing Crop Water Requirements; Food Agricultural Organisation Irrigation and Drainage: Rome, Italy, 2015; No. 24. [Google Scholar]
- Bouyoucos, G.J. Hydrometer Method Improved for Making Particle Size Analyses of Soils1. Agron. J. 1962, 54, 464–465. [Google Scholar] [CrossRef]
- Lu, Y.; Horton, R.; Ren, T. Simultaneous determination of soil bulk density and water content: A heat pulse-based method. Eur. J. Soil Sci. 2018, 69, 947–952. [Google Scholar] [CrossRef]
- Bray, R.H.; Kurtz, L.T. Determination of total, organic, and available forms of phosphorus in soils. Soil Sci. 1945, 59, 39–46. [Google Scholar] [CrossRef]
- Jackson, M.L. Soil Chemical Analysis. J. Agric. Food Chem. 1959, 7, 1–20. [Google Scholar] [CrossRef]
- Mabapa, M.P.; Ayisi, K.K.; Mariga, I.K. Seasonal effect on Moringa oleifera gaseous exchange and water use efficiency under diverse planting densities. J. Appl. Bot. Food Qual. 2018, 91, 219–225. [Google Scholar]
- Chen, F.; Cui, N.; Jiang, S.; Zhang, W.; Li, H.; Li, X.; Lv, M.; Liu, C.; Qiu, R.; Wang, Z. Effects of deficit drip irrigation at different growth stages on citrus leaf physiology, fruit growth, yield, and water productivity in South China. Agriculural Water Manag. 2025, 307, 1–15. [Google Scholar] [CrossRef]
- Mwamlima, L.H.; Cheruiyot, E.K.; Ouma, J.P. Reduced stomatal conductance and irradiance account for soybean [Glycine max (L.) Merrill] yield decline in maize-soybean intercrop. J. Biosci. Agric. Res. 2020, 24, 1977–1989. [Google Scholar] [CrossRef]
- Hajlaoui, H.; Maatallah, S.; Guizani, M.; Boughattas, N.E.H.; Guesmi, A.; Ennajeh, M.; Dabbou, S.; Lopez-Lauri, F. Effect of Regulated Deficit Irrigation on Agronomic Parameters of Three Plum Cultivars (Prunus salicina L.) under Semi-Arid Climate Conditions. Plants 2022, 11, 1–15. [Google Scholar] [CrossRef]
- EL Sabagh, A.; Hossain, A.; Barutçular, C.; Gormus, O.; Ahmad, Z.; Hussain, S.; Islam, M.S.; Alharby, H.; Bamagoos, A.; Kumar, N.; et al. Effects of drought stress on the quality of major oilseed crops: Implications and possible mitigation strategies—A review. Appl. Ecol. Environ. Res. 2019, 17, 4019–4043. [Google Scholar] [CrossRef]
- Singh, A.; Schöb, C.; Iannetta, P.P.M. Nitrogen fixation by common beans in crop mixtures is influenced by growth rate of associated species. BMC Plant Biol. 2023, 23, 253. [Google Scholar] [CrossRef] [PubMed]
- Pierre, J.F.; Jacobsen, K.L.; Latournerie-Moreno, L.; Torres-Cab, W.J.; Chan-Canché, R.; Ruiz-Sánchez, E. A review of the impact of maize-legume intercrops on the diversity and abundance of entomophagous and phytophagous insects. PeerJ 2023, 11, e15640. [Google Scholar] [CrossRef] [PubMed]
- Ucar, Y.; Kadayifci, A.; Yilmaz, H.I.; Tuylu, G.I.; Yardimci, N. The effect of deficit irrigation on the grain yield of dry bean (Phaseolus vulgaris L.) in semiarid regions. Span. J. Agric. Res. 2009, 7, 474–485. [Google Scholar] [CrossRef]
- El-Mehy, A.A.; Shehata, M.A.; Mohamed, A.S.; Saleh, S.A.; Suliman, A.A. Relay intercropping of maize with common dry beans to rationalize nitrogen fertilizer. Front. Sustain. Food Syst. 2023, 7, 1052392. [Google Scholar] [CrossRef]
- Parkash, V.; Singh, S.; Deb, S.K.; Ritchie, G.L.; Wallace, R.W. Effect of deficit irrigation on physiology, plant growth, and fruit yield of cucumber cultivars. Plant Stress 2021, 1, 100004. [Google Scholar] [CrossRef]
- Eneke, E.B.; Agbor, N.O.; Kingsley, A.E. The effects of intercropping and plant densities on growth and yield of maize (Zea mays L.) and soybean (Glycine max) in the humid forest zone of Mount Cameroon. Afr. J. Agric. Res. 2018, 13, 574–587. [Google Scholar] [CrossRef]
- Baker, C.; Modi, A.T.; Nciizah, A.D. Weeding Frequency Effects on Growth and Yield of Dry Bean Intercropped with Sweet Sorghum and Cowpea under a Dryland Area. Sustainability 2021, 13, 12328. [Google Scholar] [CrossRef]
- Attia, A.; El-Hendawy, S.; Al-Suhaibani, N.; Alotaibi, M.; Tahir, M.U.; Kamal, K.Y. Evaluating deficit irrigation scheduling strategies to improve yield and water productivity of maize in arid environment using simulation. Agric. Water Manag. 2021, 249, 106812. [Google Scholar] [CrossRef]
- Hussain, S.; Malik, S.; Masud Cheema, M.; Ashraf, M.U.; Waqas, M.; Iqbal, M.; Ali, S.; Anjum, L.; Aslam, M.; Afzal, H. An overview on emerging water scarcity challenge in Pakistan, its consumption, causes, impacts and remedial measures. Big Data Water Resour. Eng. (BDWRE) 2020, 1, 22–31. [Google Scholar] [CrossRef]
- Akinola, R.; Pereira, L.M.; Mabhaudhi, T.; de Bruin, F.-M.; Rusch, L. A Review of Indigenous Food Crops in Africa and the Implications for more Sustainable and Healthy Food Systems. Sustainability 2020, 12, 3493. [Google Scholar] [CrossRef] [PubMed]






| Property | Units of Measurement | |
|---|---|---|
| Soil Texture | % | Loamy Sand (7.6% slit, 10.4% clay, 82% sand) |
| Soil Bulk Density | g/cm3 | 0.03 g cm−3 |
| pH (H2O) | - | 8.1 |
| pH (KCl) | - | 8.06 |
| Electrical Conductivity (EC) | µS/cm | 252 |
| Calcium (Ca) | mg/kg | 116 |
| Potassium (K) | mg/kg | 203 |
| Phosphorus (P) | mg/kg | 41 |
| Magnesium Mg | mg/kg | 147 |
| Treatments) Irrigation × Intercropping | Root Weight (g) | Root Diameter (cm) | Shoot Length (cm) | Biomass Plant Weight (g) | Stem Diameter (cm) | Plant Height (cm) |
|---|---|---|---|---|---|---|
| sole dry bean × full irrigation (FI) | 8.53 a | 9.06 a | 9.06 a | 248.33 a | 4.27 a | 57.66 a |
| sole dry bean × 75% DI | 8.37 ab | 8.5 ab | 8.5 ab | 245.5 a | 3.91 ab | 56.33 a |
| sole dry bean × 50% DI | 8.13 abc | 8.4 abc | 8.4 abc | 242.33 ab | 3.67 ab | 55 ab |
| dry bean + cucumis (dry bean) × full irrigation (FI) | 7.62 abcd | 8.2 abcde | 8.34 abcd | 242.33 ab | 3.52 abc | 50.26 abc |
| dry bean + cucumis (dry bean) × 75% DI | 7.46 abcde | 7.9 abcdef | 8.33 abcd | 239 ab | 3.39 abc | 49.67 abc |
| dry bean + cucumis (dry bean) × 50% DI | 7.3 bcdef | 7.66 abcdefg | 8.2 abcde | 238.67 ab | 3.36 abc | 34 cdef |
| dry bean + cucumis (cucumis) × full irrigation (FI) | 7.3 bcdef | 7.5 abcdefgh | 6.7 efgh | 236 abc | 3.34 abc | 31.33 def |
| dry bean + cucumis (cucumis) × 75% DI | 7.28 bcdef | 7.4 bcdefgh | 6.63 efgh | 231 abc | 3.32 abc | 30.33 def |
| dry bean + cucumis (cucumis) × 50% DI | 7.2 cdef | 7.33 bcdefgh | 6.53 fgh | 226.67 abcd | 3.3 abc | 29.66 def |
| cucumis × full irrigation (FI) | 7.17 cdef | 7.23 bcdefgh | 6.3 gh | 225.67 abcd | 3.13 abc | 26.66 ef |
| cucumis × 75% DI | 6.97 def | 7.06 bcdefgh | 6.80 defgh | 221.13 abcd | 3.1 abc | 23 f |
| cucumis × 50% DI | 6.8 defg | 6.96 bcdefgh | 5.96 h | 217.67 abcd | 3.08 abc | 23 f |
| dry bean + cleome (dry bean) × full irrigation (FI) | 6.73 defgh | 8.34 abcd | 7.9 abcdef | 213.67 abcd | 2.9 abc | 48 abc |
| dry bean + cleome (dry bean) × 75% DI | 6.7 defgh | 8.33 abcd | 7.67 abcdefg | 206.33 abcd | 2.79 abc | 45 abcd |
| dry bean + cleome (dry bean) × 50% DI | 6.53 defg | 6.86 cdefgh | 7.5 abcdefgh | 200.67 abcd | 2.63 abc | 43.33 abcd |
| dry bean + cleome (cleome) × full irrigation (FI) | 6.33 efghi | 6.8033 defgh | 7.4 bcdefgh | 197.33 abcd | 2.33 abc | 42.66 abcde |
| dry bean + cleome (cleome) × 75% DI | 6.06 fghij | 6.7 efgh | 7.3 bcdefgh | 190.2 abcd | 2.24 abc | 41.67 abcde |
| dry bean + cleome (cleome) × 50% DI | 5.7 ghij | 6.63 efgh | 7.23 bcdefgh | 188.33 abcd | 2.2 abc | 39.67 bcde |
| cleome × full irrigation (FI) | 5.63 hij | 6.53 fgh | 7.06 bcdefgh | 181.33 bcd | 2.13 bc | 38.33 cdef |
| cleome × 75% DI | 5.27 ij | 6.3 gh | 6.96 bcdefgh | 174.67 cd | 2.03 bc | 35 cdef |
| cleome × 50% DI | 5.08 j | 5.96 h | 6.86 defghh | 168.33 d | 1.43 c | 34 cdef |
| Critical Value for Comparison | 1.293 | 1.786 | 4.394 | 70.232 | 2.376 | 18.46 |
| Response | * | * | * | * | * | ** |
| Treatments) Irrigation × Intercropping | Root Weight (g) | Root Diameter (cm) | Shoot Length (cm) | Biomass Plant Weight (g) | Stem Diameter (cm) | Plant Height (cm) |
|---|---|---|---|---|---|---|
| sole dry bean × full irrigation (FI) | 9.6 abc | 12.13 a | 11.6 ab | 240.67 a | 6.4 a | 58.33 ab |
| sole dry bean × 75% DI | 11.1 a | 12.46 a | 11.93 a | 238.33 a | 5.56 a | 62.66 a |
| sole dry bean × 50% DI | 9.3 abcde | 8.86 bc | 11.2 abc | 235.67 a | 4.2 b | 57 abc |
| dry bean + cucumis (dry bean) × full irrigation (FI) | 9.48 abcd | 10.76 ab | 11.4 a | 229.67 a | 4.16 bc | 56 abcd |
| dry bean + cucumis (dry bean) × 75% DI | 10.26 ab | 10.93 a | 11.56 ab | 207.33 b | 3.96 bc | 54.66 abcd |
| dry bean + cucumis (dry bean) × 50% DI | 8.73 bcdef | 8.7 c | 10.7 abc | 205.67 b | 3.93 bc | 54 abcde |
| dry bean + cucumis (cucumis) × full irrigation (FI) | 8.53 bcdefg | 8.6 bc | 9.3 abcdef | 203.33 bc | 3.86 bc | 37.66 cdef |
| dry bean + cucumis (cucumis) × 75% DI | 8.56 bcdegh | 8.46 cd | 8.86 bcdef | 195.67 bcd | 3.73 bcd | 36.66 def |
| dry bean + cucumis (cucumis) × 50% DI | 8.53 bcdefg | 8.46 cd | 8.4 cdef | 182.67 cde | 3.7 bcde | 34.66 ef |
| cucumis × full irrigation (FI) | 8.26 cdefghi | 8.23 cde | 7.76 def | 177 de | 3.63 bcde | 33 f |
| cucumis × 75% DI | 8.3 cdefgh | 7.93 cdef | 7.66 ef | 175 de | 3.56 bcde | 32.33 f |
| cucumis × 50% DI | 7.86 cdefghi | 7.56 cdefg | 6.76 f | 167 ef | 3.48 bcde | 26.33 f |
| dry bean + cleome (dry bean) × full irrigation (FI) | 7.8 cdefghi | 7.2 cdefh | 11.36 ab | 165.67 ef | 3.33 bcde | 53.33 abcde |
| dry bean + cleome (dry bean) × 75% DI | 7.63 defghi | 6.53 defgh | 11.46 ab | 165.67 ef | 3.1 cde | 42.66 bcdef |
| dry bean +cleome (dry bean) × 50% DI | 7.6 defghi | 6.36 efgh | 10.63 abcd | 162 ef | 3.003 cde | 42 bcdef |
| dry bean + cleome (cleome) × full irrigation (FI) | 7.433 efghi | 6.37 efgh | 10.56 abcde | 152 fg | 2.8 def | 40.66 bcdef |
| dry bean + cleome (cleome) × 75% DI | 6.83 fghi | 6.2 fgh | 10.5 abcde | 151.33 fg | 2.66 ef | 40.33 bcdef |
| dry bean + cleome (cleome) × 50% DI | 7.13 fghi | 5.9 gh | 10.26 abcde | 150.33 fg | 1.76 fg | 39.33 bcdef |
| cleome × full irrigation (FI) | 6.43 hi | 5.8 gh | 10.13 abcde | 150.33 fg | 1.3 g | 39 bcdef |
| cleome × 75% DI | 6.66 ghi | 5.56 h | 9.43 abcdef | 147 fg | 1.3 g | 38.66 cdef |
| cleome × 50% DI | 6.03 i | 5.56 h | 9.33 abcdef | 135.67 g | 1.267 g | 38 cdef |
| Critical Value for Comparison | 1.961 | 1.967 | 2.915 | 21.456 | 1.0628 | 19.697 |
| Response | * | * | ** | * | * | ** |
| Treatments) Irrigation × Intercropping | Root Weight (g) | Root Diameter (cm) | Shoot Length (cm) | Biomass Plant Weight (g) | Stem Diameter (cm) | Plant Height (cm) |
|---|---|---|---|---|---|---|
| sole dry bean × full irrigation (FI) | 9.53 b | 11.56 ab | 11.86 ab | 267 ab | 5.2 a | 61.33 ab |
| sole dry bean × 75% DI | 11.4 a | 13.06 a | 13.06 a | 273 a | 5.43 a | 64.33 a |
| sole dry bean × 50% DI | 9.43 bc | 11.16 b | 11.63 abc | 257.33 abc | 4.7 ab | 54 abc |
| dry bean + cucumis (dry bean) × full irrigation (FI) | 7.86 cde | 11.167 b | 9.66 bcdef | 247 abcd | 4.36 abcd | 39.66 bcdef |
| dry bean + cucumis (dry bean) × 75% DI | 8.53 bcd | 11.13 b | 9.33 bcdef | 255 abcd | 4.53 abc | 39 bcdef |
| dry bean + cucumis (dry bean) × 50% DI | 7.5 def | 11 b | 9.1 bcdef | 246 abcd | 3.93 bcd | 37 cdef |
| dry bean + cucumis (cucumis) × full irrigation (FI) | 7 defg | 10.2 bc | 8.7 bcdefg | 238.67 bcde | 3.83 bcde | 36.33 cdef |
| dry bean + cucumis (cucumis) × 75% DI | 7.05 defg | 9.9 bcd | 8.4 cdefg | 233.33 cde | 3.73 bcde | 29.66 def |
| dry bean + cucumis (cucumis) × 50% DI | 6.96 defg | 8.9 cde | 8.23 defg | 222.67 def | 3.53 cde | 29.33 def |
| cucumis × full irrigation (FI) | 6.86 efg | 8.66 cdef | 6.9 efg | 211.67 efg | 3.5 cde | 28.66 def |
| cucumis × 75% DI | 6.83 efgh | 8.53 cdef | 6.43 fg | 196.67 fgh | 3.5 cde | 28.33 ef |
| cucumis × 50% DI | 6.36 efghi | 8.46 cdef | 5.63 g | 196 fgh | 3.33 def | 27 f |
| dry bean + cleome (dry bean) × full irrigation (FI) | 6.33 efghi | 8.16 def | 11.63 abc | 181.67 ghi | 3.21 efg | 49.67 abcd |
| dry bean + cleome (dry bean) × 75% DI | 6.16 fghi | 8.13 def | 11.3 abcd | 169.67 hij | 3.2 efg | 51 abcd |
| dry bean + cleome (dry bean) × 50% DI | 5.96 fghi | 7.96 ef | 11.3 abcd | 156 ijk | 3.03 efgh | 46.33 abcdef |
| dry bean + cleome (cleome) × full irrigation (FI) | 5.83 ghij | 7.1 efg | 11.1 abcd | 153 ijk | 2.33 fghi | 44.67 abcdef |
| dry bean + cleome (cleome) × 75% DI | 5.73 ghij | 7.06 fg | 11.06 abcd | 145 jk | 2.13 ghi | 44.66 abcdef |
| dry bean + cleome (cleome) × 50% DI | 5.26 ghij | 6.06 fg | 11 abcd | 144 jk | 2.03 hi | 43 abcdef |
| cleome × full irrigation (FI) | 5.13 ij | 6 gh | 10.9 abcd | 137.67 jk | 1.8 i | 42 abcdef |
| cleome × 75% DI | 5.13 ij | 5.46 gh | 10.66 abcd | 136.67 k | 1.56 i | 41 bcdef |
| cleome × 50% DI | 4.66 j | 5.2 h | 10.133 abcde | 135.67 k | 1.53 i | 40 bcdef |
| Critical Value for Comparison | 1.5842 | 1.8271 | 3.2683 | 32.461 | 3.2683 | 1.8271 |
| Response | * | * | * | ** | * | ** |
| Treatments) Irrigation × Intercropping | Root Weight (g) | Root Diameter (cm) | Shoot Length (cm) | Biomass Plant Weight (g) | Stem Diameter (cm) | Plant Height (cm) |
|---|---|---|---|---|---|---|
| sole dry bean × full irrigation (FI) | 8.16 a | 11.16 a | 12 a | 207.67 a | 5.63 a | 66 a |
| sole dry bean × 75% DI | 7.85 ab | 10.2 ab | 10.66 ab | 204.33 ab | 5.43 ab | 56.33 ab |
| sole dry bean × 50% DI | 7.76 ab | 9.53 abc | 10.13 abc | 196.67 abc | 4.7 abc | 55.33 ab |
| dry bean + cucumis (dry bean) × full irrigation (FI) | 7.76 ab | 8.7 bcd | 5.53 e | 191 abc | 4.03 abcd | 53.33 abc |
| dry bean + cucumis (dry bean) × 75% DI | 7.46 abc | 8.46 bcd | 5.5 e | 182.67 abc | 3.69 abcd | 50 abc |
| dry bean + cucumis (dry bean) × 50% DI | 7.33 abc | 7.96 bcde | 5.5 e | 170 abcd | 3.68 abcd | 49.33 abc |
| dry bean + cucumis (cucumis) × full irrigation (FI) | 7.26 abcd | 7.467 cdef | 5.4 e | 168.67 abcd | 3.36 abcd | 48 abcd |
| dry bean + cucumis (cucumis) × 75% DI | 7 abcde | 7.23 cdef | 5.13 e | 162 abcd | 3.35 abcd | 47.66 abcd |
| dry bean + cucumis (cucumis) × 50% DI | 6.8 abcde | 6.933 defg | 5.13 e | 159 abcd | 3.08 abcd | 45 abcde |
| cucumis × full irrigation (FI) | 6.73 bcde | 6.83 defg | 5.1 e | 156 abcd | 3.06 abcd | 45 abcde |
| cucumis × 75% DI | 6.33 cdef | 6.63 defg | 5 e | 156 abcd | 2.99 abcd | 43 abcde |
| cucumis × 50% DI | 6.33 cdef | 6.56 defg | 4.93 e | 155.33 abcd | 2.94 abcd | 41.66 abcde |
| dry bean + cleome (dry bean) × full irrigation (FI) | 6.3 cdef | 6.4 defg | 8.93 bcd | 155 abcd | 2.79 abcd | 41 abcde |
| dry bean + cleome (dry bean) × 75% DI | 6.16 cdef | 5.96 efg | 7.5 cde | 154.67 abcd | 2.46 bcd | 40.33 bcde |
| dry bean + cleome (dry bean) × 50% DI | 5.93 defg | 5.76 efg | 7.4 cde | 152 abcd | 2.44 bcd | 37 bcde |
| dry bean + cleome (cleome) × full irrigation (FI) | 5.8 efg | 5.73 efg | 6.9 de | 151.67 abcd | 2.35 cd | 37 bcde |
| dry bean + cleome (cleome) × 75% DI | 5.73 efg | 5.73 efg | 6.73 de | 151.33 abcd | 2.15 cd | 34.33 bcde |
| dry bean + cleome (cleome) × 50% DI | 5.73 efg | 5.73 efg | 6.7 de | 144 abcd | 2.03 cd | 32.66 bcde |
| cleome × full irrigation (FI) | 5.13 fg | 5.46 fg | 6.43 de | 140.67 bcd | 2.01 cd | 29 cde |
| cleome × 75% DI | 4.73 g | 5.1 fg | 5.83 e | 136.67 cd | 1.76 cd | 23 de |
| cleome × 50% DI | 4.63 g | 4.96 g | 5.73 e | 109.67 d | 1.56 d | 20.66 e |
| Critical Value for Comparison | 1.394 | 2.3948 | 2.9092 | 64.872 | 3.0348 | 25.631 |
| Response | * | * | * | * | * | ** |
Disclaimer/Publisher’s Note: The statements, opinions and data contained in all publications are solely those of the individual author(s) and contributor(s) and not of MDPI and/or the editor(s). MDPI and/or the editor(s) disclaim responsibility for any injury to people or property resulting from any ideas, methods, instructions or products referred to in the content. |
© 2025 by the authors. Licensee MDPI, Basel, Switzerland. This article is an open access article distributed under the terms and conditions of the Creative Commons Attribution (CC BY) license (https://creativecommons.org/licenses/by/4.0/).
Share and Cite
Lekgoathi, B.P.; Kgopa, P.M.; Soundy, P. Effects of Deficit Irrigation and Intercropping of Dry Beans with Two African Leafy Vegetable Crops on Growth and Yield. Agronomy 2025, 15, 370. https://doi.org/10.3390/agronomy15020370
Lekgoathi BP, Kgopa PM, Soundy P. Effects of Deficit Irrigation and Intercropping of Dry Beans with Two African Leafy Vegetable Crops on Growth and Yield. Agronomy. 2025; 15(2):370. https://doi.org/10.3390/agronomy15020370
Chicago/Turabian StyleLekgoathi, Boitumelo Patience, Pholosho Mmateko Kgopa, and Puffy Soundy. 2025. "Effects of Deficit Irrigation and Intercropping of Dry Beans with Two African Leafy Vegetable Crops on Growth and Yield" Agronomy 15, no. 2: 370. https://doi.org/10.3390/agronomy15020370
APA StyleLekgoathi, B. P., Kgopa, P. M., & Soundy, P. (2025). Effects of Deficit Irrigation and Intercropping of Dry Beans with Two African Leafy Vegetable Crops on Growth and Yield. Agronomy, 15(2), 370. https://doi.org/10.3390/agronomy15020370

