Sign in to use this feature.

Years

Between: -

Subjects

remove_circle_outline
remove_circle_outline
remove_circle_outline
remove_circle_outline
remove_circle_outline
remove_circle_outline
remove_circle_outline
remove_circle_outline
remove_circle_outline

Journals

remove_circle_outline
remove_circle_outline
remove_circle_outline
remove_circle_outline
remove_circle_outline
remove_circle_outline
remove_circle_outline
remove_circle_outline

Article Types

Countries / Regions

remove_circle_outline
remove_circle_outline
remove_circle_outline
remove_circle_outline
remove_circle_outline

Search Results (1,752)

Search Parameters:
Keywords = stomatal conductance

Order results
Result details
Results per page
Select all
Export citation of selected articles as:
14 pages, 1604 KB  
Article
Decoupled Leaf Physiology and Branch-Level BVOC Emissions in Two Tree Species Under Water and Nitrogen Treatments
by Shuangjiang Li, Diao Yan, Xuemei Liu, Maozi Lin and Zhigang Yi
Forests 2025, 16(11), 1708; https://doi.org/10.3390/f16111708 - 9 Nov 2025
Viewed by 183
Abstract
Soil water availability and nitrogen (N) deposition critically influence biogenic volatile organic compound (BVOC) emissions, thereby affecting atmospheric chemistry. However, their differential short- and long-term effects remain unclear. Here, Ormosia pinnata and Pinus massoniana seedlings were exposed to three water regimes (moderate drought, [...] Read more.
Soil water availability and nitrogen (N) deposition critically influence biogenic volatile organic compound (BVOC) emissions, thereby affecting atmospheric chemistry. However, their differential short- and long-term effects remain unclear. Here, Ormosia pinnata and Pinus massoniana seedlings were exposed to three water regimes (moderate drought, MD; normal irrigation, NI; near-saturated irrigation, NSI) and two nitrogen (N0; 0 kg N ha−1 yr−1; N80; 80 kg N ha−1 yr−1) treatments for 20 months. Branch-level BVOC emissions and leaf physiological and biochemical traits were examined after 8 months (short term) and 16 months (long term). In the short term, P. massoniana predominantly emitted α-pinene, β-pinene, and γ-terpinene, whereas O. pinnata emitted isoprene (ISO). After prolonged exposure, ISO became the dominant in both species. Short-term MD and NSI conditions stimulated ISO emissions in O. pinnata, with N80 addition further amplifying this effect. In contrast, long-term treatments tended to suppress ISO emissions in O. pinnata, particularly under N80. Short-term water treatments had no significant effect on monoterpene (MT) emissions in P. massoniana. Under long-term water treatments, N80 suppressed ISO emissions; nevertheless, ISO emission rates (ISOrate) progressively increased with increasing soil water availability. Although leaf intercellular CO2 concentration (Ci), stomatal conductance (gs), and photosynthesis-related enzymes exhibited partial correlations with BVOC emissions, an overall decoupling between leaf traits and emission patterns was evident. Our findings demonstrate the significant changes in both BVOC composition and emission magnitudes under the joint effects of water availability and nitrogen deposition, providing important implications for improving regional air quality modeling and BVOC emission predictions. Full article
Show Figures

Figure 1

22 pages, 3022 KB  
Article
Microorganism-Based Biostimulants for Alleviating Water Deficit in ‘Formosa’ Papaya: Physiological Indices and Growth
by Maíla Vieira Dantas, Reynaldo Teodoro de Fátima, Geovani Soares de Lima, Hans Raj Gheyi, Lauriane Almeida dos Anjos Soares, Josélio dos Santos da Silva, Iara Almeida Roque, Cassiano Nogueira de Lacerda, Jean Telvio Andrade Ferreira, Luderlândio de Andrade Silva, Daniel da Conceição Almeida, Rafaela Aparecida Frazão Torres, Adriana Silva Lima and Fernandes Antônio de Almeida
Horticulturae 2025, 11(11), 1348; https://doi.org/10.3390/horticulturae11111348 - 9 Nov 2025
Viewed by 134
Abstract
Papaya is an economically important crop, but its production in semiarid regions is severely limited by water scarcity. However, microorganism-based biostimulants have been studied as a promising strategy to mitigate water stress and support plant growth. Therefore, the objective of this study was [...] Read more.
Papaya is an economically important crop, but its production in semiarid regions is severely limited by water scarcity. However, microorganism-based biostimulants have been studied as a promising strategy to mitigate water stress and support plant growth. Therefore, the objective of this study was to evaluate the effect of microorganism-based biostimulants on gas exchange, photochemical efficiency, and growth of ‘Formosa’ papaya under water deficit in a semiarid area. The experimental design was a randomized complete block design with split plots. The plots considered three irrigation depths (100, 75, and 50% of crop evapotranspiration-ETc) and the subplots the application of four biostimulants (control (no biostimulant application); Trichoderma harzianum; Ascophyllum nodosum; Bacillus aryabhattai), with three plants per plot and four replicates. B. aryabhattai mitigated the effects of deficit irrigation at 50% ETc on ‘Formosa’ papaya, increasing transpiration, CO2 assimilation rate, and instantaneous carboxylation efficiency. Under irrigation at 50% ETc, T. harzianum provided beneficial effects on water use efficiency, instantaneous carboxylation efficiency, and photosystem II quantum efficiency. A. nodosum stimulated chlorophyll a synthesis in ‘Formosa’ papaya plants irrigated at 75% ETc during the fruiting stage, but reduced the absolute and relative growth rate in stem diameter under 50% ETc. Irrigation at 50% ETc reduced stomatal conductance and growth of ‘Formosa’ papaya plants 235 days after transplanting. We conclude that the application of B. aryabhattai and T. harzianum is a viable strategy to increase the tolerance of ‘Formosa’ papaya to the adverse effects of water deficit in semiarid regions. Full article
(This article belongs to the Section Biotic and Abiotic Stress)
Show Figures

Graphical abstract

21 pages, 6032 KB  
Article
Characterization of With-No-Lysine Kinase Family Genes and Roles of CaWNK6 in the Heat Tolerance of Pepper (Capsicum annuum L.)
by Jianwei Zhang, Libo Liu, Jianxin Fan, Yao Jiang, Xianjun Chen, Qin Yang and Huanxiu Li
Plants 2025, 14(22), 3430; https://doi.org/10.3390/plants14223430 - 9 Nov 2025
Viewed by 118
Abstract
With-No-Lysine (WNK) kinases constitute a subgroup within the serine/threonine protein kinase family, characterized by the absence of a catalytic lysine residue in the kinase subdomain II located in their N-terminal region. These kinases play critical roles in regulating plant growth, development, and responses [...] Read more.
With-No-Lysine (WNK) kinases constitute a subgroup within the serine/threonine protein kinase family, characterized by the absence of a catalytic lysine residue in the kinase subdomain II located in their N-terminal region. These kinases play critical roles in regulating plant growth, development, and responses to abiotic stressors. However, members of the WNK and their responses to heat stress in pepper (Capsicum annuum L.) remain unexplored. In the present study, we identified eleven WNK genes within the genome of pepper cultivar ‘UCD-10X-F1’ and designated them CaWNK1 to CaWNK11 according to their chromosomal positions. Comprehensive analyses were conducted to elucidate their phylogenetic relationships, chromosomal distribution, collinearity, gene structure, protein properties, and cis-acting elements within promoter regions. The findings revealed that the CaWNK gene family segregates into five distinct subgroups. Comparative genomic analysis identified eleven and nine segmental duplication gene pairs between pepper and tomato and between pepper and Arabidopsis, respectively. Within the pepper genome, two pairs of segmentally duplicated genes and two pairs of tandemly repeated genes were also detected. The CaWNK gene sequences in pepper exhibited a high degree of conservation; however, variations were observed in the number of introns and exons. Analysis of the promoter regions revealed an abundance of cis-acting elements associated with growth and development, stress responses, and hormone regulation. Subsequent transcriptomic analyses demonstrated that CaWNK genes displayed tissue-specific expression patterns and differential expression levels following treatments with exogenous plant hormones and abiotic stresses. Notably, the expression of CaWNK6 was significantly up-regulated under heat stress conditions. To elucidate the functional role of CaWNK6, virus-induced gene silencing (VIGS) was employed to suppress its expression in pepper seedlings. Silencing of CaWNK6 resulted in disrupted tissue architecture, stomatal closure, and diminished heat tolerance. These phenotypic changes correlated with excessive accumulation of reactive oxygen species (ROS), reduced activity of antioxidant enzymes, and down-regulation of heat shock factor (HSF) genes in the silenced plants. Collectively, these findings offer valuable insights into the functional roles of CaWNK genes and hold significant implications for the development of novel heat-tolerant pepper cultivars. Full article
(This article belongs to the Section Plant Response to Abiotic Stress and Climate Change)
Show Figures

Figure 1

24 pages, 6226 KB  
Article
Melatonin Improves Drought Tolerance in Zinnia elegans Through Osmotic Adjustment and Stomatal Regulation
by Ester dos Santos Coêlho, João Everthon da Silva Ribeiro, Elania Freire da Silva, John Victor Lucas Lima, Ingrid Justino Gomes, Pablo Henrique de Almeida Oliveira, Antonio Gideilson Correia da Silva, Bruno Caio Chaves Fernandes, Ana Paula Rodrigues, Lindomar Maria da Silveira and Aurélio Paes Barros Júnior
Agronomy 2025, 15(11), 2571; https://doi.org/10.3390/agronomy15112571 - 7 Nov 2025
Viewed by 286
Abstract
Water stress is the main abiotic factor that limits the development and commercial quality of ornamental plants, such as Zinnia elegans. This study aimed to evaluate the ability of exogenous melatonin (MEL) to attenuate the deleterious effects of water deficit by modulating [...] Read more.
Water stress is the main abiotic factor that limits the development and commercial quality of ornamental plants, such as Zinnia elegans. This study aimed to evaluate the ability of exogenous melatonin (MEL) to attenuate the deleterious effects of water deficit by modulating stomatal physiological, biochemical and structural parameters. Z. elegans plants were subjected to four water regimes (80% FC, 20% FC, early stress and late stress) with (1.0 mM) and without MEL application. Severe water stress (20% FC) drastically reduced the rate of CO2 assimilation (A) by 43.81% and stomatal conductance (gs) by 68.96%. However, the application of MEL significantly mitigated this damage, resulting in an increase in A of 26.99% gs of 43.75%, and relative water content of 28% in plants under severe stress compared with those in untreated stressed plants. The mechanism of action of MEL involves the modulation of stomatal motion and, as suggested, the promotion of osmotic fit and the protection of membrane integrity and photochemical efficiency. Exogenous melatonin acts as an effective bioregulator, improving the tolerance of Z. elegans to water deficit and sustaining its physiological performance and ornamental potential under stress conditions. Full article
(This article belongs to the Section Water Use and Irrigation)
Show Figures

Figure 1

17 pages, 1570 KB  
Article
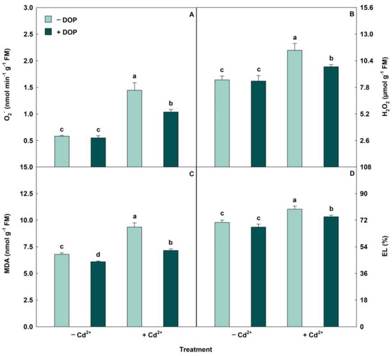
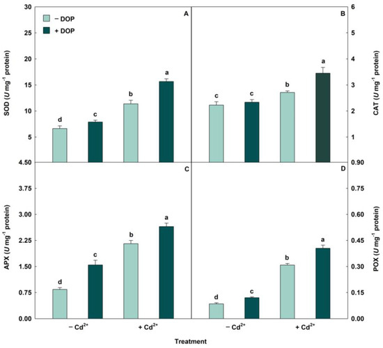
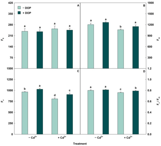
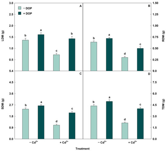
Dopamine Spraying Protects Against Cadmium-Induced Oxidative Stress and Stimulates Photosynthesis in Soybean Plants
by Andreza Sousa Carmo, Caio Victor da Silva Pontes, Caroline Cristine Augusto, Bruno Lemos Batista and Allan Klynger da Silva Lobato
Plants 2025, 14(22), 3411; https://doi.org/10.3390/plants14223411 - 7 Nov 2025
Viewed by 242
Abstract
Cadmium (Cd) is a non-essential element that induces reactive oxygen species (ROS) production and damages the photosynthetic apparatus. Dopamine (DOP) is a neurotransmitter that plays a role in metabolism as an antioxidant. This research aimed to investigate whether exogenous DOP mitigates Cd-induced oxidative [...] Read more.
Cadmium (Cd) is a non-essential element that induces reactive oxygen species (ROS) production and damages the photosynthetic apparatus. Dopamine (DOP) is a neurotransmitter that plays a role in metabolism as an antioxidant. This research aimed to investigate whether exogenous DOP mitigates Cd-induced oxidative stress in soybean by assessing antioxidant metabolism, stress indicators, nutritional status, pigments, chlorophyll fluorescence, gas exchange, and biomass. The experiment was randomized with four treatments: two with Cd concentrations (0 and 500 µM Cd, described as—Cd and +Cd, respectively) and two DOP levels (0 and 100 µM DOP described as—DOP and +DOP, respectively). DOP mitigated Cd-induced damage by enhancing the antioxidant system and protecting the photosynthetic apparatus. This neurotransmitter positively modulated the enzymes superoxide dismutase (38%), catalase (27%), ascorbate peroxidase (23%), and peroxidase (31%), alleviating Cd-induced oxidative stress. In addition, DOP promoted increases in the effective quantum yield of PSII photochemistry (26%), photochemical quenching coefficient (18%), and electron transport rate (26%). Simultaneously, the neurotransmitter stimulated increases in the net photosynthetic rate (29%), stomatal conductance (35%), water use efficiency (38%), and instantaneous carboxylation efficiency (39%). Our results indicate that DOP exogenous increases tolerance to Cd-induced stress in soybean plants. Full article
(This article belongs to the Special Issue In Vivo and In Vitro Studies on Heavy Metal Tolerance in Plants)
Show Figures

Figure 1

13 pages, 1835 KB  
Article
The Sprayed Application of Recombinantly Expressed CpRap2.4A Confers Protective Activity Against Heat Stress in Nicotiana tabacum
by Diobel González-Stewart, Francisco Guillén-Chable, Miguel Ángel Herrera-Alamillo, Roberth Armando Us Santamaría, José Luis Andrade, Anne C. Gschaedler Mathis, Enrique Castaño, Luis Joel Figueroa-Yáñez and Luis Carlos Rodríguez-Zapata
Crops 2025, 5(6), 80; https://doi.org/10.3390/crops5060080 - 6 Nov 2025
Viewed by 99
Abstract
Drastic changes in temperature, salinity of soils and drought are some of the most studied abiotic stressors in important crops. Plants have developed various biochemical mechanisms to counteract these conditions. Transcription factors play a significant role in regulating stress responses. Previously, in our [...] Read more.
Drastic changes in temperature, salinity of soils and drought are some of the most studied abiotic stressors in important crops. Plants have developed various biochemical mechanisms to counteract these conditions. Transcription factors play a significant role in regulating stress responses. Previously, in our lab, it was identified that the CpRap2.4a protein, which belongs to the AP2/ERF superfamily, is related to the response to abiotic stress from extreme temperature, and confers thermal tolerance to Carica papaya CV. This study presents a randomized experimental strategy for the analysis of the physiological and biochemical responses of Nicotiana tabacum plants subjected to heat stress, and how the foliar application of the recombinantly expressed CpRap2.4a can modulate beneficial responses. Plants subjected to heat stress present a healthier physiology, as clearly shown by biochemical parameters. Moreover, physiological parameters also suggest an improvement of heat tolerance compared with the control group. Scanning electron microscopy suggests that stomatal aperture and conductance are the key mechanisms for how recombinantly expressed CpRap2.4a can act as a regulatory player to heat stress. Full article
(This article belongs to the Topic Applications of Biotechnology in Food and Agriculture)
Show Figures

Figure 1

26 pages, 1398 KB  
Review
Gibberellic Acid Improves Photosynthetic Electron Transport and Stomatal Function in Crops That Are Adversely Affected by Salinity Exposure
by Jyoti Mani Tripathi, Bibi Rafeiza Khan, Rajarshi Gaur, Dinesh Yadav, Krishan K. Verma and Ramwant Gupta
Plants 2025, 14(21), 3388; https://doi.org/10.3390/plants14213388 - 5 Nov 2025
Viewed by 687
Abstract
Soil salinity poses a critical threat to global agricultural productivity, exacerbating food security challenges in arid and semi-arid regions. This review synthesizes current knowledge on the physiological and biochemical impacts of salinity stress in plants, with a focus on the role of gibberellic [...] Read more.
Soil salinity poses a critical threat to global agricultural productivity, exacerbating food security challenges in arid and semi-arid regions. This review synthesizes current knowledge on the physiological and biochemical impacts of salinity stress in plants, with a focus on the role of gibberellic acid (GA3) in mitigating these effects. Salinity disrupts ion homeostasis, induces osmotic stress, and generates reactive oxygen species (ROS), leading to reduced chlorophyll content, impaired photosynthesis, and stunted growth across all developmental stages, i.e., from seed germination to flowering. Excess sodium (Na+) and chloride (Cl) accumulation disrupts nutrient uptake, destabilizes membranes, and inhibits enzymes critical for carbon fixation, such as Rubisco. GA3 emerges as a key regulator of salinity resilience, enhancing stress tolerance through various mechanisms like scavenging ROS, stabilizing photosynthetic machinery, modulating stomatal conductance, and promoting osmotic adjustment via osmolyte accumulation (e.g., proline). Plant hormone’s interaction with DELLA proteins and cross-talk with abscisic acid, ethylene, and calcium signaling pathways further fine-tune stress responses. However, gaps persist in understanding GA3-mediated floral induction under salinity and its precise role in restoring photosynthetic efficiency. While exogenous GA3 application improves growth parameters, its efficacy depends on the concentration- and species-dependent, with lower doses often proving beneficial and optimum doses potentially inhibitory. Field validation of lab-based findings is critical, given variations in soil chemistry and irrigation practices. Future research must integrate biotechnological tools (CRISPR, transcriptomics) to unravel GA3 signaling networks, optimize delivery methods, and develop climate-resilient crops. This review underscores the urgency of interdisciplinary approaches to harness GA3’s potential in sustainable salinity management, ensuring food security and safety in the rapidly salinizing world. Full article
Show Figures

Figure 1

16 pages, 2273 KB  
Article
Can Environmental Conditions Alter the Physiological and Photochemical Plasticity of Cacti (Opuntia and Nopalea) in Semiarid Environments?
by Lady Daiane Costa de Sousa Martins, Alexandre Maniçoba da Rosa Ferraz Jardim, Luciana Sandra Bastos de Souza, Lara Rosa de Lima e Silva, Wagner Martins dos Santos, Márcia Bruna Marim de Moura, Wilma Roberta dos Santos, Adriano Nascimento Simões, Sérgio Luiz Ferreira-Silva, Hugo Rafael Bentzen Santos, João L. M. P. de Lima and Thieres George Freire da Silva
Environments 2025, 12(11), 418; https://doi.org/10.3390/environments12110418 - 4 Nov 2025
Viewed by 409
Abstract
Cacti of the genera Opuntia and Nopalea exhibit morphophysiological and biochemical characteristics that favor their adaptation to semiarid environments, such as crassulacean acid metabolism (CAM) and cladode succulence. These strategies reduce water loss and allow the maintenance of photosynthesis under stress conditions. In [...] Read more.
Cacti of the genera Opuntia and Nopalea exhibit morphophysiological and biochemical characteristics that favor their adaptation to semiarid environments, such as crassulacean acid metabolism (CAM) and cladode succulence. These strategies reduce water loss and allow the maintenance of photosynthesis under stress conditions. In this study, we evaluated the seasonal variation in the physiological and photochemical responses of forage cactus clones grown in semiarid environments, considering the rainy, dry, and transition seasons. The net photosynthetic rate (Pn) and chlorophyll fluorescence parameters varied significantly as a function of water availability and microclimatic conditions. We found higher CO2 assimilation rates during the rainy season, while the dry season resulted in a strong impairment of photosynthetic activity, with reductions of 65% in stomatal conductance, 37% in transpiration, 20% in maximum quantum efficiency of photosystem II, and 19% in the electron transport rate. Furthermore, during these periods, we observed an increase in initial fluorescence and non-photochemical dissipation, demonstrating the activation of photoprotective mechanisms against excess light energy. During the transition seasons, the cacti exhibited rapid adjustments in gas exchange and energy dissipation, indicating the adaptive plasticity of CAM pathway. The MIU (Nopalea cochenillifera (L.) Salm-Dyck), OEM (Opuntia stricta (Haw.) Haw.), and IPA (Nopalea cochenillifera (L.) Salm-Dyck) clones demonstrated greater resilience, maintaining greater stability in Pn, instantaneous water use efficiency, and photochemical parameters during the drought. In contrast, the OEA (Opuntia undulata Griffiths) clone showed high sensitivity to water and heat stress, with marked reductions in physiological and photochemical performance. In summary, the photosynthetic efficiency and chlorophyll fluorescence of CAM plants result from the interaction between water availability, air temperature, radiation, and genotypic traits. This study provides a new scientific basis for exploring the effects of environmental conditions on the carbon and biochemical metabolism of cacti grown in a semiarid environment. Full article
Show Figures

Figure 1

22 pages, 3835 KB  
Article
Planting Date and Cultivar Selection Effects on Cauliflower Growth, Physiology, and Yield Performance in North Dakota Growing Conditions
by Ajay Dhukuchhu, Ozkan Kaya and Harlene Hatterman-Valenti
Horticulturae 2025, 11(11), 1314; https://doi.org/10.3390/horticulturae11111314 - 1 Nov 2025
Viewed by 378
Abstract
Investigating the optimal planting strategies for brassica vegetables under variable climatic conditions is essential for developing sustainable production systems in northern agricultural regions. However, comprehensive knowledge about how planting timing modulates growth, physiological responses, and yield parameters across different cultivars remains limited. We [...] Read more.
Investigating the optimal planting strategies for brassica vegetables under variable climatic conditions is essential for developing sustainable production systems in northern agricultural regions. However, comprehensive knowledge about how planting timing modulates growth, physiological responses, and yield parameters across different cultivars remains limited. We investigated vegetative development, root morphology, physiological efficiency, and marketable yield in six cauliflower cultivars (‘Amazing’, ‘Cheddar’, ‘Clementine’, ‘Flame Star’, ‘Snow Crown’, and ‘Vitaverde’) subjected to four planting dates (May 1, May 15, June 1, and June 15) across two growing seasons (2023–2024), followed by detailed morphological and physiological profiling. Planting date, cultivar selection, and seasonal variation significantly influenced all measured parameters (p < 0.001), with notable interaction effects observed for fresh root weight, stomatal conductance, water use efficiency, and yield components. Early planted cultivars consistently demonstrated superior performance under variable environmental conditions, maintaining higher growth rates, enhanced root development, and improved physiological efficiency, particularly ‘Flame Star’, ‘Snow Crown’, and ‘Cheddar’, compared to late-planted treatments. Recovery of optimal plant development was most pronounced at May planting dates, with early-established crops showing better maintenance of vegetative growth patterns and enhanced yield potential, including higher curd weights (585.7 g for ‘Flame Star’) and superior marketable grades. Morphological profiling revealed distinct clustering patterns, with early-planted cultivars forming separate groups characterized by elevated root biomass, enhanced physiological parameters, and superior yield characteristics. In contrast, late-planted crops showed reduced performance, indicative of environmental stress responses. We conclude that strategic early planting significantly enhances cauliflower production resilience through comprehensive optimization of growth, physiological, and yield parameters, particularly under May establishment conditions. The differential performance responses between planting dates provide insights for timing-based management strategies, while the quantitative morphological and physiological profiles offer valuable parameters for assessing crop adaptation and commercial viability potential under variable climatic scenarios in northern agricultural systems. Full article
(This article belongs to the Special Issue Advances in Sustainable Cultivation of Horticultural Crops)
Show Figures

Figure 1

16 pages, 2438 KB  
Article
Design and Analysis of a Two-Degree-of-Freedom Inertial Piezoelectric Platform
by Qingbing Chang, Yicheng Xu, Xian Deng, Xuan Liu, Liangkuan Zhu, Jian Li and Yingxiang Liu
Materials 2025, 18(21), 4995; https://doi.org/10.3390/ma18214995 - 31 Oct 2025
Viewed by 267
Abstract
Leaf stomatal density directly regulates the rates of gas exchange and water loss and is a core indicator of plants’ water-retention capacity and drought adaptability. Because detecting leaves over a macroscopic range requires large-stroke motion, whereas accurate identification of stomata demands high-precision positioning, [...] Read more.
Leaf stomatal density directly regulates the rates of gas exchange and water loss and is a core indicator of plants’ water-retention capacity and drought adaptability. Because detecting leaves over a macroscopic range requires large-stroke motion, whereas accurate identification of stomata demands high-precision positioning, the operational platform for stomatal-density detection faces the dual challenge of large strokes and high resolution. This paper proposes a novel two-degree-of-freedom (2-DOF) cross-scale piezoelectric platform that employs a new three-degree-of-freedom (3-DOF) piezoelectric stator to address the backlash issue in inertial drive and combines it with finite-element simulation for verification. The prototype of the 2-DOF cross-scale piezoelectric positioning platform is developed, and a series of experiments are conducted to evaluate its performance. The experimental results show a motion range of 15 mm × 15 mm; the displacement backlash rates in the X and Y directions range from 0% to 9.84% and 0% to 28.42%, respectively; and the displacement resolutions reach 11.39 nm and 13.61 nm, respectively. In addition, an application experiment on leaf stomatal-density detection is carried out on the developed 2-DOF platform, demonstrating its potential for botanical micro-detection. Full article
(This article belongs to the Section Materials Simulation and Design)
Show Figures

Figure 1

18 pages, 2402 KB  
Article
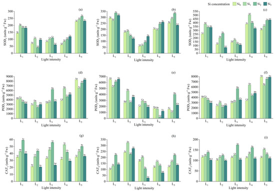
Silicon Addition Alleviates Light Stress on Seedlings: Evidence from Plantation of Liquidambar formosana
by Siying Cai, Minqian Zheng, Tingting Li, Youlu Hong, Yifei Chen, Zhihui Li, Junyi Lin, Xiaoli Liao, Shaofei Jin and Dexiang Zheng
Plants 2025, 14(21), 3346; https://doi.org/10.3390/plants14213346 - 31 Oct 2025
Viewed by 266
Abstract
Excessive light intensity, often resulting from anthropogenic disturbances, poses a threat to light-sensitive Liquidambar formosana seedlings. This study examined the effects of five light intensity levels and three silicon (Si) application rates on photosynthetic performance, oxidative stress responses, and seedling growth. Results indicated [...] Read more.
Excessive light intensity, often resulting from anthropogenic disturbances, poses a threat to light-sensitive Liquidambar formosana seedlings. This study examined the effects of five light intensity levels and three silicon (Si) application rates on photosynthetic performance, oxidative stress responses, and seedling growth. Results indicated that full sunlight significantly reduced ground diameter, chlorophyll content, specific leaf area, and stomatal conductance. Meanwhile, it increased the activities of superoxide dismutase and peroxidase, and led to higher accumulation of malondialdehyde (MDA). Application of Si enhanced seedling height, biomass accumulation, and antioxidant enzyme activity under high-light conditions, while reducing MDA content, stomatal CO2 conductance, and transpiration rate, and maintaining a stable net photosynthetic rate. However, excessive Si (3000 mg·kg−1) led to decreased catalase activity, chlorophyll content, and leaf area under intense light. These findings suggest that L. formosana seedlings perform best under moderate shade (11,000–46,000 lx) and moderate Si application (1000–2000 mg·kg−1), which together mitigate photoinhibition damage. Optimal physiological responses thus require balanced Si concentrations. Further investigation is warranted to elucidate the mechanisms underlying the interactive effects of shading and Si application for improved seedling resilience. Full article
(This article belongs to the Special Issue Effect of Light on Plant Growth and Development)
Show Figures

Figure 1

19 pages, 2441 KB  
Article
Effects of Organic Fertilizer Type and Application Rate on Soil–Microbe Interactions, Yield, and Quality of Greenhouse Tomato
by Jingshi Lu, Xiaoming Zhang, Yingtong Mu, Jiahui Gao, Fengyan Yi, Ping Wang, Doudou Jin, Fang Tang and Wenqiang Fan
Plants 2025, 14(21), 3333; https://doi.org/10.3390/plants14213333 - 31 Oct 2025
Viewed by 397
Abstract
Soil nutrient imbalance and the decline of microbial diversity threaten the long-term sustainability of crop production in intensive agriculture. Organic fertilizers provide a promising means to improve soil–microbe–plant interactions, yet the combined effects of fertilizer type and application rate on soil function and [...] Read more.
Soil nutrient imbalance and the decline of microbial diversity threaten the long-term sustainability of crop production in intensive agriculture. Organic fertilizers provide a promising means to improve soil–microbe–plant interactions, yet the combined effects of fertilizer type and application rate on soil function and crop productivity remain insufficiently understood. In this study, we investigated the agronomic and ecological responses of greenhouse tomato (Solanum lycopersicum L.) to three organic fertilizers—bone calcium fertilizer (BCF), bone mud fertilizer (BMF), and bio-organic fertilizer (BOF)—each applied at four rates (7500, 15,000, 30,000, and 45,000 kg·ha−1). The highest tested BOF rate (45,000 kg·ha−1) significantly increased net photosynthesis by 29.5%, stomatal conductance by 50.0%, and fruit yield by 40.8% compared with the unfertilized control. It also enhanced soil organic matter by 42.6% and total nitrogen by 82.0%, while increasing the relative abundance of Proteobacteria, a phylum closely associated with nutrient cycling and plant growth promotion. Network and path modeling revealed that changes in microbial diversity were positively associated with improved soil properties, which were subsequently linked to higher photosynthetic efficiency and yield formation, suggesting a potential microbiome-mediated pathway from fertilization to productivity. These effects were statistically consistent across measured endpoints. Our findings highlight that optimizing both the type and rate of organic fertilizer—particularly bio-organic fertilizer under greenhouse conditions—can enhance soil fertility, microbial function, and crop yield simultaneously. This study provides an evidence-based framework for precision fertilization strategies aimed at improving agroecosystem resilience and advancing sustainable tomato production. Full article
Show Figures

Figure 1

28 pages, 14858 KB  
Article
Effects of Intercropping Long- and Short-Season Varieties on the Photosynthetic Characteristics and Yield Formation of Maize in High-Latitude Cold Regions
by Shanshan Xiao, Liwei Ming, Yifei Zhang, Zhongye Wang, Fengming Li, Tonghao Wang, Chunyu Zhang, Kejun Yang, Song Yu, Mukai Li, Shiqiang Yu, Junjun Hou, Jinyu An, Mingjia Guo, Xinjie Tian and Junhao Liu
Agronomy 2025, 15(11), 2505; https://doi.org/10.3390/agronomy15112505 - 28 Oct 2025
Viewed by 227
Abstract
The high-latitude cold regions of northeastern China present scarce thermal resources, exhibit a short frost-free period, and lack high-yielding maize (Zea mays L.) varieties suitable for dense planting. These factors have long constrained the realization of maize yield potential under dense planting [...] Read more.
The high-latitude cold regions of northeastern China present scarce thermal resources, exhibit a short frost-free period, and lack high-yielding maize (Zea mays L.) varieties suitable for dense planting. These factors have long constrained the realization of maize yield potential under dense planting conditions. This study investigated the effects of intercropping maize varieties with different growth periods on the photosynthetic performance, yield formation, and interspecific competition. The long-season varieties Zhengdan958 (ZD958) and Xianyu335 (XY335), which are representative of the region, were intercropped with the shorter-season variety Yinongyu10 (YNY10), six intercropping row ratios (6:6, 4:4, 2:2, 1:1, 0:1, and 1:0) were set, and monoculture plots (0:1 and 1:0) were used as the controls. The results indicated that as the row ratio decreased in the intercropped plots, the leaf area index, relative leaf chlorophyll content, photosynthetic rate, stomatal conductance, and transpiration rate increased while the intercellular CO2 concentration gradually decreased compared with those in the monoculture plots. Simultaneously, dry matter accumulation, allocation, transport efficiency, 100-kernel weight, number of kernels per ear, and grain yield progressively increased, reaching maximum values at a 1:1 intercropping row ratio. Conversely, YNY10 in the intercropped plots exhibited opposite trends in these parameters. The land equivalent ratios for all intercropped row ratios exceeded 1. During the 2023–2024 growing season, the composite population grain yield was significantly higher (p < 0.05) at an intercropping row ratio of 1:1 for ZD958 (4.11–4.26%) and XY335 (3.54–3.65%) compared with the monoculture treatments, demonstrating the strong yield advantage of intercropping. Furthermore, in the intercropping systems, ZD958 and XY335 exhibited positive aggressivity and a competitive ratio greater than 1, thus showing stronger competitive ability than YNY10. Moreover, the increased grain yield of ZD958 and XY335 effectively compensated for the ecological disadvantages of YNY10, thereby leveraging the synergistic effects of close planting and intercropping patterns to promote improvements in maize composite population productivity. Full article
(This article belongs to the Section Farming Sustainability)
Show Figures

Figure 1

25 pages, 5442 KB  
Article
Physiological, Biochemical and Gene Expression Analyses of Halimodendron halodendron Responding to Drought Stress
by Huanqiong Hu, Panpan Zhang, Ling Wang, Hailian Liang, Jiye Liang and Ruiheng Lyu
Genes 2025, 16(11), 1274; https://doi.org/10.3390/genes16111274 - 28 Oct 2025
Viewed by 293
Abstract
Background: As a typical xerophyte, H. halodendron can not only grow in desert sandy areas but also serves as an excellent nectar source and ornamental plant. However, research on its molecular and physiological mechanisms underlying drought tolerance remains limited. Methods: This study [...] Read more.
Background: As a typical xerophyte, H. halodendron can not only grow in desert sandy areas but also serves as an excellent nectar source and ornamental plant. However, research on its molecular and physiological mechanisms underlying drought tolerance remains limited. Methods: This study systematically investigated its drought resistance characteristics by integrating physiological parameters and Illumina transcriptome sequencing, and further validated key genes involved in the drought resistance mechanisms. Results: A total of 46,305 functional genes were identified, among which 6561 were differentially expressed genes (DEGs). These DEGs were significantly enriched in chloroplast function, photosynthesis, proline biosynthesis, and peroxidase activity. Under drought stress, the net photosynthetic rate, stomatal conductance, chlorophyll content, and transpiration rate decreased. Under severe drought conditions, only 5 out of 80 photosynthesis-related DEGs were up-regulated, while the rest were down-regulated, indicating that reduced chlorophyll content impaired light absorption, carbon reactions, and photosynthetic efficiency. Additionally, the contents of proline, soluble sugars, and soluble proteins, as well as the activities of superoxide dismutase (SOD), catalase (CAT), and peroxidase (POD), increased. The identification of 35 osmotic regulation-related and 39 antioxidant enzyme-related DEGs suggests that H. halodendron enhances osmotic adjustment substance synthesis and reactive oxygen species (ROS) scavenging capacity to counteract osmotic stress. Conclusions: Physiological, biochemical and gene expression analyses under drought stress provide a basis for the study of the drought tolerance characteristics of H. halodendron, which is of great significance for ecological environment governance using H. halodendron. Full article
(This article belongs to the Section Plant Genetics and Genomics)
Show Figures

Figure 1

16 pages, 1592 KB  
Article
Novel Model for Stomatal Conductance: Enhanced Accuracy Under Variable Irradiance and CO2 in C3 Plant Species
by Zipiao Ye, Ting An, Xiaolong Yang, Huajing Kang and Fubiao Wang
Biology 2025, 14(11), 1501; https://doi.org/10.3390/biology14111501 - 27 Oct 2025
Viewed by 315
Abstract
This study analyzes stomatal conductance (gsc) in Trifolium repens L., Lolium perenne L., and Triticum aestivum L. under varying environmental conditions. Light-response curves for photosynthesis (AnI) at 420 μmol mol−1 CO2 were used [...] Read more.
This study analyzes stomatal conductance (gsc) in Trifolium repens L., Lolium perenne L., and Triticum aestivum L. under varying environmental conditions. Light-response curves for photosynthesis (AnI) at 420 μmol mol−1 CO2 were used to determine saturating irradiance (Isat) using a light-response model for photosynthesis, and CO2-response curves for photosynthesis (AnCi) were measured at Isat and half Isat for these C3 plant species. The Ball–Woodrow–Berry (BWB) model, Medlyn model, and a new model were compared for their ability to describe the net photosynthetic rate (An) relative to gsc under changing irradiance or CO2. The BWB model overestimated gsc response, simplifying stomatal behavior, while the Medlyn model deviated at high An values, indicating limitations in dynamic responses. The new model showed a better empirical fit under the tested conditions, achieving high R2 values and low AIC values across all three species, and demonstrated a strong alignment with empirical data. Our findings highlight the complexity of gsc regulation and the need for improved models to better represent stomatal dynamics under different environmental conditions. This research is vital for optimizing water use efficiency, enhancing crop productivity, and understanding plant resilience to climate change. Full article
(This article belongs to the Section Plant Science)
Show Figures

Figure 1

Back to TopTop