Next Article in Journal
Visible Light Induced Nano-Photocatalysis Trimetallic Cu0.5Zn0.5-Fe: Synthesis, Characterization and Application as Alcohols Oxidation Catalyst
Next Article in Special Issue
Abatement of Naphthalene by Persulfate Activated by Goethite and Visible LED Light at Neutral pH: Effect of Common Ions and Organic Matter
Previous Article in Journal
Electro-Catalytic Properties of Palladium and Palladium Alloy Electro-Catalysts Supported on Carbon Nanofibers for Electro-Oxidation of Methanol and Ethanol in Alkaline Medium
Previous Article in Special Issue
Photocatalytic Degradation of Recalcitrant Pollutants of Greywater
 
 
Font Type:
Arial Georgia Verdana
Font Size:
Aa Aa Aa
Line Spacing:
Column Width:
Background:
Article

Facile Synthesis of Various ZrO2 Phases and ZrO2-MO2 (M = Ti, Hf) by Thermal Decomposition of a Single UiO-66 Precursor for Photodegradation of Methyl Orange

by
Ira Nur Arba’atul Jannah
1,
Hanu Fiorena Sekarsari
1,
Sri Mulijani
2,
Karna Wijaya
3,
Arief Cahyo Wibowo
4,*,† and
Aep Patah
1,*
1
Division of Inorganic and Physical Chemistry, Faculty of Mathematics and Natural Sciences, Institut Teknologi Bandung, Jl. Ganesha 10, Bandung 40132, Indonesia
2
Department of Chemistry, Faculty of Mathematics and Natural Sciences, Institut Pertanian Bogor, Campus of IPB Dramaga, Bogor 16680, Indonesia
3
Department of Chemistry, Faculty of Mathematics and Natural Sciences, Universitas Gadjah Mada, Bulaksumur Bls. 21, Yogyakarta 55281, Indonesia
4
School of Advanced Technology and Multidiscipline, Universitas Airlangga, Campus C Mulyorejo, Surabaya 60115, Indonesia
*
Authors to whom correspondence should be addressed.
Present address: Department of Applied Sciences, College of Arts and Sciences, Abu Dhabi University, Abu Dhabi 59911, United Arab Emirates.
Catalysts 2022, 12(6), 609; https://doi.org/10.3390/catal12060609
Submission received: 16 April 2022 / Revised: 22 May 2022 / Accepted: 30 May 2022 / Published: 2 June 2022

Abstract

:
A zirconia-based catalyst with controlled crystalline phases is synthesized through a simple thermal decomposition of a parent UiO-66 single precursor. The introduction of Ti(IV) and Hf(IV) cation into the Zr(IV) framework has been successfully obtained to tune the photocatalytic activity over methyl orange (MO) solution. Their resulting crystalline phases, morphologies, elemental analysis, band gap values, surface area, and photocatalytic degradation study over MO dye are presented and discussed. The tetragonal zirconia (t-ZrO2) catalyst exhibits the highest photocatalytic activity with 89% decoloration efficiency under UV irradiation (λ = 254 nm) for 300 min compared to m-ZrO2 (67%), the mixed phases (t-ZrO2 and m-ZrO2), as well as the synthesized mixed oxides ZrO2-MO2 (M = Ti or Hf), where the photocatalytic activities are 74% and 63%, respectively. This result is on par with commercially available anatase TiO2 and other reported t-ZrO2 catalysts.

1. Introduction

Zirconium(IV) oxide (ZrO2) is a very interesting semiconductor with a myriad of cutting-edge applications, such as a catalyst [1], a sensor of chemical species [2], corrosion-resistant coatings [3], and solid oxide fuel cells [4]. ZrO2 exhibits three different phases: monoclinic (m-ZrO2), tetragonal (t-ZrO2), and cubic (c-ZrO2). The crystalline phases of interest in catalysis are the crystalline phases of m-ZrO2, low temperature stabilized t-ZrO2, and a mix of monoclinic and tetragonal phases [5]. Having a wide band gap value and a high negative value of the conduction band potential, ZrO2 has been widely studied as a photocatalyst in different chemical reactions [6]. The reported band gap energy of ZrO2 ranges between 3.25 and 5.1 eV, depending on the preparation technique of the sample [7].
Methyl orange (MO), as one of the widespread carcinogenic water pollutants, is one of the very common water-soluble azo dyes that is extensively used in several industries such as textiles, paper, printing, and food [8,9,10]. One simple method to mitigate such water pollutants is photocatalytic degradation using photoactive catalysts, such as zirconia (ZrO2). Based on the existing literature, we note that the photocatalytic degradation activity of zirconia depends on its adopted synthetic route and the resulting crystalline phase(s). Basahel et al. [11] reported nanosized ZrO2 powders with near pure monoclinic (m-ZrO2), tetragonal (t-ZrO2), and cubic (c-ZrO2) structures synthesized by varied methods, using different precursors. In their paper, MO photodegradation reached 99% within 110 min using m-ZrO2 nanoparticles, while the t-ZrO2 and c-ZrO2 nanocatalysts showed 90% and 80% degradation, respectively. Reddy et al. [12] showcased that photodecomposition of MO decreased with increasing irradiation time using t-ZrO2. On the other hand, a low percentage (37%) of MO removal was presented by Mansouri et al. [13], where the ZrO2 nanoparticle was synthesized by the sol–gel method.
Another widely adopted route for synthesizing nano oxide catalysts is using Metal–Organic Frameworks (MOFs) as a sacrificial template. The morphology of the parent MOF can be retained after a certain degree of controlled calcination. Using the optimized condition, specific crystalline phase(s) can also be easily isolated [14]. MOFs can easily be modified in three different ways to achieve high photocatalytic activity and stability, such as (i) through the introduction of metal sites; (ii) through an indirect route (post-synthetic modification), e.g., as a sacrificial template to make nano oxide catalysts; and (iii) through the creation of defects [15]. There are some reports showing nano ZrO2-derived MOFs for photocatalytic degradation [8,10,16]. The 50% TiO2-ZrO2 binary oxide catalyst exhibited a high phenol degradation (99%) and a high reaction rate (0.73 mg L−1 min−1), as reported by Kambur et al. [17]. Gota and Suresh obtained the Zr/Ti ratio (6.3), which degraded 88.72% of reactive red dye after 70 min [18]. Porous TiO2/ZrO2 obtained by calcining TiO2/UiO-66 nanocomposites, reported by Abdi [8], displayed the excellent RhB photocatalytic degradation performance of 95% after 180 min.
Apart from the studies mentioned above, research on isolating crystalline phases of ZrO2 and their effect on photocatalytic degradation of dyes is scarce. Herein, we report a simple route for isolating highly photoactive t-ZrO2, m-ZrO2, mixed t- and m-ZrO2 with and without MO2 (M = Ti or Hf) using UiO-66 as a single sacrificial template, without the use of additional precursors. All synthesized catalysts are photocatalytic active, and t-ZrO2 showcases the highest photocatalytic degradation of MO, comparable to commercially available anatase TiO2 and other reported t-ZrO2 catalysts.

2. Results

A phase-pure, zirconium-based MOF, UiO-66, was obtained through the solvothermal method. The process of dissolving ZrCl4 with DMF needs to be carried out under relatively inert conditions to avoid the form of irreversibly zirconyl chloride (Zr(OH)2(H2O)4Cl). At the same time, DMF deprotonates H2O, accelerating the formation of UiO-66 [19]. Apart from DMF, acetic acid was employed to increase the solubility of ZrCl4 in DMF and functioned as a modulator [20]. The as-synthesized UiO-66 displays typical UiO-66 peaks at 7.32° and 8.46° 2θ without any unidentified peak, confirming the successful formation of phase-pure UiO-66, Figure S1a. The expected morphology of UiO-66 is shown in Figure S1b with a particle size of 420 nm, as observed using ImageJ® software.

2.1. Tetragonal and Monoclinic ZrO2

The synthesis of t-ZrO2, m-ZrO2, mixed phases (t- and m-ZrO2), and ZrO2-MO2 (M = Ti or Hf) was successfully carried out through a facile optimized calcination process using UiO-66 as a sacrificial template. Overall, calcination at 500 °C for 2 h obtained the nearly pure tetragonal ZrO2 phase (t-ZrO2). Elevating the time (and temperature) of calcination increases monoclinic phase composition. The close-to-pure m-ZrO2 is obtained at 800 °C for 24 h. Therefore, the mixed-phase of t- and m-ZrO2 can be easily obtained by using conditions between the two aforementioned conditions.
To find the optimum calcination condition referenced above for isolating near-pure t- and m-ZrO2, we conducted experiments at two calcination temperatures of 800 °C (for 2, 8, and 24 h) and 500 °C (for 2, 6, and 8 h). The synthesized ZrO2 is denoted as ZrO2-A-B, where A indicates the calcination temperature and B represents the calcination time. The patterns of t-ZrO2 have many peaks at 30.2°, 34.6°, 35.3°, 50.2°, 50.7°, and 60.2°, which were assigned to the (101), (002), (110), (112), (200), and (211) planes; thus, t-ZrO2 has three facets of {101}, {002}, and {112}. Meanwhile, m-ZrO2 has typical peaks at 28.3°, 31.6°, 34.3°, 35.3°, 40.9°, and 44.8°, attributed to the ( 11 1 ¯ ), (111), (020), (200), (21 1 ¯ ), and (112) planes, with three crystal facets of {111}, {020}, and {112}. As shown in Figure 1, a mixture of monoclinic dominant phase (JCPDS 78-1807) and tetragonal (JCPDS 79-1769) ZrO2 is already formed even in the shortest calcination time of 2 h when calcining at 800 °C. Elevating the calcination time at 8 and 24 h shifts the mixture of tetragonal and monoclinic phases to nearly pure monoclinic, as indicated by the disappearing 30.2° 2θ peak. Furthermore, increasing the calcination time increases the peak intensity, indicating an increase in crystallinity and particle size of ZrO2. Thus, close-to-pure m-ZrO2 is obtained at 800 °C calcination for 24 h. Therefore, the dominant tetragonal phase would be observed below 800 °C, as reported by Basahel et al. [11] and Li et al. [21]. Lowering the calcination temperature to 500 °C isolates more t-ZrO2, with the near-pure pattern showing a 2 h calcination time. To obtain the ratio of the tetragonal-to-monoclinic phase, we use Toraya’s method, which calculated the volume ratio by X-ray diffraction [22]. Table 1 showcases the yield of t-ZrO2 and m-ZrO2 for each sample obtained from the varying calcination temperatures and times above. The table shows that different calcination temperatures and time variations can gradually transform the ZrO2 phase.
In general, the morphology of the UiO-66 particle after calcination did not differ from that of pristine UiO-66, yet appeared denser and agglomerated, with a lighter color due to the expected change in chemical composition, giving a solid ZrO2. It is observed that the ZrO2 (the calcined UiO-66) size was much smaller than that of the UiO-66, Figure 2, as expected, due to organic linker decompositions. The approximate particle size of ZrO2 was only about 116 nm, compared to parent UiO-66 420 nm in size.

2.2. ZrO2-MO2 (M = Ti or Hf) Composites

Aside from investigating ZrO2 phases against MO photocatalytic degradation, we also studied the composite of ZrO2 with other oxides of the same group (Ti and Hf). HfO2 has not been reported as a photocatalytic active material due to having a wide band gap; however, mixing HfO2 with ZrO2 has mixed results in a favorable photocatalytic band gap. Further, tuning the ZrO2 band gap can also be completed by adding notorious photoactive TiO2 by making a ZrO2-TiO2 composite. We have successfully synthesized these composites, ZrO2-MO2 (M = Ti or Hf), by a simple thermal decomposition of Ti- or Hf-substituted Zr-UiO-66 as a single precursor.
The process of forming the composites starts with partially replacing the Zr(IV) cations with Ti(IV) in a post-synthetic exchange (PSE) reaction of UiO-66 with TiBr4 at 85 °C for 1, 3, and 5 days. The post-synthetic cation exchange process of Ti4+ to UiO-66 generates a proportion of Ti4+ to Zr4+ of around 2:1. This process did not cause the changes, even for the structure in which Hf 4+ exists. There is no change in either PXRD patterns or morphology of UiO-66(Zr/Ti) compared to those of UiO-66, indicating a successful partial substitution of Zr(IV) by Ti(IV), Figures S2–S4. The Ti(IV) cation amount was 0.04, 0.05, and 2 % atom for 1, 3, and 5 days, respectively, as observed by SEM-EDS.
ZrO2-MO2 composites are shown in Figure 3, denoted as (Zr/M)-Xd-A-B, where X represents the reaction time. From that figure, it is known that anatase TiO2 starts to form under the decomposition process at 500 °C for 2 h, with a sharp anatase TiO2 peak (JCPDS 21-1272) appearing at 25.4°, with 2θ characteristics to {100} facet, observed for the sample with PSE reaction for 5 d. The amount of TiO2 increases as we increase reaction times (1, 3, and 5 d) during UiO-66(Zr/Ti), Table 2. The highest t/m-ZrO2 ratio with the highest percentage of TiO2 is 1.58, observed in the (Zr/Ti)-5d-500-2 sample. It is noteworthy from our results that anatase TiO2 can provide stability to the tetragonal structure of ZrO2 as shown in Figure 4, which is susceptible to forming a monoclinic phase. We observe such a phase of pure t-ZrO2 formation in the presence of anatase TiO2 in our (Zr/Ti)-5d-500-2 sample, Table 2. Re-heating the sample further to 800 °C for 24 h did not transform the sample into pure m-ZrO2, confirming our hypothesis above on the role of TiO2 in stabilizing the tetragonal phase of ZrO2.
Like Ti(IV) substitutions, Hf(IV) doping does not significantly affect the diffraction pattern of UiO-66, as shown in Figure S5. The Hf(IV) cation exchange lasted for 5 and 7 days. The binary oxide ZrO2-HfO2 composites were obtained by calcining UiO-66(Zr/Hf) at 500 °C for 2 h, featuring overlapping patterns between monoclinic and tetragonal phases for both ZrO2 and HfO2. The observed broad peaks resulted from mixing two metal oxides (ZrO2 and HfO2) with the same phases with similar diffraction patterns, Figure 3. In Table 2, the ratios of t/m-ZrO2 are 0.53 and 0.61 in (Zr/Hf)-5d-500-2 and -7d-500-2, respectively.
Shifting peaks in PXRD patterns were observed for different metal dopants, Figure 3, as expected in accordance with the atomic radius of the dopant. With the same PSE reaction time for 5 days, a slight change of the {101} facet from 35.3° to 35.2° was observed for Ti(IV) doping. Hf(IV) doping showed a different character, where there was a left shift from 35.3° to 35.0° for {101} facet. According to Takeuchi and Inoue [23], due to a larger ionic radius, Hf(IV) doping tends to expand the crystallite size diameter of the {101} facet more significantly than Ti(IV) doping, as observed in our result.

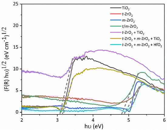
2.3. Band Gap Characterization

The estimated band gap values for different catalysts and anatase TiO2 are shown in Figure 5. The pristine TiO2 anatase has a band gap of 3.16 eV. The ZrO2-TiO2 composite derived from UiO-66 (Zr/Ti) reduces the band gap of ZrO2 from 4.81–5.01 eV to 3.01–3.14 eV, Figure 5 (purple line). Despite having a more significant concentration of electron density on oxygen atoms than that of ZrO2, which would be advantageous for photocatalysis purposes because such defect levels would serve as electron-trapping sites for accelerated transfer of photogenerated electrons, the band gap of HfO2 is generally too wide, 5.68 eV, to be an excellent photocatalyst [24]. Alloying with a lower band gap could lower the composite band gap to become photoactive. However, the introduction of Hf to form the ZrO2-HfO2 composite did not change the band gap of ZrO2 significantly (from 5.68 eV to 5.01 eV). We conclude from the above band gap values that all catalysts are photoactive in the UV region. Therefore, we proceed with their measurements in the photocatalytic degradation of MO. The band absorption of all t-ZrO2-containing compounds is less sharp than those of m-ZrO2-containing compounds. This may indicate the existence of an indirect band gap within all t-ZrO2-containing combinations.

2.4. Photocatalysis Activity of ZrO2, ZrO2-TiO2, and ZrO2-HfO2

The performance of different catalysts in the photocatalytic degradation of MO is summarized in Figure 6. MO has two characteristics of the UV-visible absorption spectrum, i.e., the peaks at 464 nm and 272 nm. The first maximum peak of 464 nm indicates the azo groups (-N=N-), while the lower-intensity peak at 272 nm represents aromatic substances from benzene rings, Figure 6a. Typical catalysts are more likely to destroy the azo groups than benzene rings. TiO2 and t-ZrO2 catalysts can simultaneously break both the azo and aromatic rings [25].
The decoloration efficiency observed in Figure 6b is divided into two regions, i.e., before the UV light is on (dark condition) and after the UV light is on. Each catalyst has a different decoloration value during dark conditions due to different catalyst adsorption capacities. The highest adsorption percentage, above 20%, occurred for (t-ZrO2 + m-ZrO2 + HfO2) and t-ZrO2. This may be due to a larger surface area and pore volume, as observed for t-ZrO2, than for m-ZrO2 and pristine TiO2 [26], as summarized in Table 3. After the first photocatalytic test, the t-ZrO2 catalyst was re-characterized by PXRD to investigate its phase stability and reusability, Figure S6. The PXRD pattern remained unchanged with no additional peak, which supports the stability of the t-ZrO2 catalyst.

3. Discussion

The photoactivity of t-ZrO2 in degrading MO is eminently higher than other catalysts, reaching a maximum decoloration efficiency of 89% within 300 min. The concentration of MO decreases rapidly with the reaction rate constant of 0.0063 min−1 for t-ZrO2. Other catalysts exhibit moderate MO decoloration efficiency (63–74%), with reaction rate constants ranging from 0.031 to 0.042 min−1, Figure 6 and Figure 7 and Table 4. The photocatalytic degradation reactions of all catalysts follow pseudo-first-order kinetics, as pointed out in Figure 7b.
Table 4 summarizes the properties of each catalyst and their MO photodegradation performance. The catalyst with the largest-to-smallest rate constant is TiO2 > t-ZrO2 > t-ZrO2 + m-ZrO2 + TiO2 > t-ZrO2+TiO2 > t/m-ZrO2 > m-ZrO2 > t-ZrO2 + m-ZrO2 + HfO2. Basahel et al. [11] reported that a photocatalyst with a high surface area, pore volume, and pore size enhances dye adsorption and subsequent photocatalytic activity. This may partly explain the highest MO photocatalytic degradation observed for t-ZrO2. We further observe that within the same t/m ratio, the substitutions of Ti(IV) to Zr(IV) to form ZrO2+TiO2 composites improve, in general, the photodegradation activity of t/m-ZrO2. Moderate photocatalytic degradation activity is observed for the ZrO2-HfO2 composite, following its relatively wide band gap (5.1 eV).
Sakfali et al. [27], Kumar and Ojha [28], and Yu et al. [29] reported the correlation between calcination temperature, the resulting ZrO2 phases, and their corresponding midgap states and oxygen vacancies, as well as their photocatalytic properties in the degradation of various compounds under UV irradiation. Such studies stressed the significance of ZrO2 phases to photodegrade a compound under UV irradiation, similar to our study. They used the photoluminescence (PL) technique to determine the charge carrier separation and recombination efficiency correlated to the photodegradation activity of ZrO2 phases. More investigations for the PL spectrum analysis will be conducted in the near future to gain a deeper insight into the recombined efficiency contribution of conduction band electrons and valence band holes to the photocatalytic degradation activity of our ZrO2 phases and ZrO2-MO2 composites.
We further compared our highest photocatalytic-active t-ZrO2 with other studies for MO photodegradation and found that our result is on par with other reported t-ZrO2 and other catalysts, Table 5. Because we only completed a simple thermal decomposition of a bulk UiO-66, we believe that we can further enhance the photocatalytic activity by using a variety of nano UiO-66 shapes as sacrificial templates. Such investigation of resulting nano oxides morphologies vs. photocatalytic activity will be conducted in the near future in our lab.

4. Materials and Methods

Methyl orange solutions 100 ppm were made by mixing 25 mg of powdered methyl orange with demineralized aqua in a 250 mL volumetric flask. The MO solutions of 2, 4, 5, 6, 8, and 10 ppm were diluted from 100 ppm. The 10% acetic acid solution was also made by diluting 10 mL of acetic acid glacial in a 100 mL volumetric flask. Other substances were zirconium(IV) chloride, titanium(IV) bromide, and hafnium(IV) chloride, bought from the Aldrich company. At the same time, terephthalic (1,4-benzene dicarboxylate) acid 98%, titanium(IV) oxide, dimethylformamide, chloroform, acetic acid glacial, and methyl orange were purchased from the Merck company.
Synthesis of ZrO2 was carried out through UiO-66 as a sacrificial template. The synthesis of UiO-66 was conducted according to Cavka et al. with some modifications [36]. A total of 7 mmol of ZrCl4 was dissolved in 70 mL of DMF inside a Glove Box. Then, 7 mmol of H2BDC (terephthalic acid) and 0.7 mL of acetic acid were added. The mixture was dispersed by sonication for 45 min, then heated at 120 °C for 24 h under a solvothermal setup. The resulting solids were washed with chloroform. The white powders then dried to produce UiO-66. The m-ZrO2 was obtained by calcination of UiO-66 at 800 °C for 24 h, labeled as UiO-66-800-24. At the same time, t-ZrO2 was obtained by calcination at 500 °C for 2 h, named UiO-66-500-2. The mixed phases were obtained within the time variations above.
The binary oxide was obtained from UiO-66, doped by Ti(IV) and Hf(IV). UiO-66(Zr/Ti) was synthesized by dissolving 0.3 mmol of TiBr4 salts with 6 mL of DMF in a Glove Box. The dispersion process was assisted through sonication, and UiO-66 was added to the solution and then heated at 85 °C for 1, 3, and 5 days. The mixture was centrifuged and washed with 3 × 10 mL of DMF and 10 mL of methanol. The solids were left to immerse in methanol for 3 days and exchanged with fresh methanol [37]. The solids were then dried under a vacuum at 50 °C for 2 h. The UiO-66(Zr/Hf) was produced like UiO-66(Zr/Ti) but using HfCl4 and different reaction times of 5 and 7 days. The powder of UiO-66(Zr/Ti) and UiO-66(Zr/Hf) was then calcined at the optimum temperature to obtain photocatalyst ZrO2-TiO2 and ZrO2-HfO2 composites. Labeling examples of UiO-66 precursor to making ZrO2-MO2 (M = Ti or Hf) composites: (Zr/Ti)-1d-500-2 indicates UiO-66 underwent PSE with TiBr4 for 1 d, followed by calcination at 500 °C for 2 h; (Zr/Hf)-5d-500-2 indicates UiO-66 underwent PSE with HfCl4 for 5 d, followed by calcination at 500 °C for 2 h.
The crystalline phase identification of as-synthesized materials of UiO-66 (Zr), UiO-66 (Zr/Ti), UiO-66 (Zr/Hf), ZrO2, ZrO2-TiO2, and ZrO2-HfO2 was carried out using powder X-ray diffractometer, a Rigaku Miniflex 600 instrument with Cu-Kα radiation (λ = 0.1540593 nm). The morphological analysis of the product was observed using Scanning Electron Microscopy (SEM) measurement SU3500 JEOL/EO version 1.0, and the element composition analysis was observed using EDS mapping. Band gap measurements of photocatalyst materials were completed using a Thermo Scientific Evolution 220 UV-vis spectrophotometer. The nitrogen sorption method performed surface area and pore size measurements using a Quantachrome Instruments Nova 3200e. The multipoint Brunauer–Emmett–Teller (BET) method was employed to analyze the surface area of samples.
The diffraction pattern of different samples was measured using Toraya’s method [22]. The integrated intensity ratio Xm can be expressed by Equation (1) as
X m = I m ( 1 ¯ 11 ) + I m ( 111 )   I m ( 1 ¯ 11 ) + I m ( 111 ) + I t ( 101 )
where Im and It represent the intensity of monoclinic and tetragonal phases on each plane. Intensity was measured using OriginLab software. The volume fraction, Vm, can be obtained by Equation (2) [38]. The volume fraction of TiO2 and HfO2 was calculated on the plane with the highest diffraction pattern.
V m = 1.311 X m 1 + 0.311 X m
Each photocatalyst was dissolved in 90 mL methyl orange solution using ultrasonication for 10 min with a 1:1 (m/v) ratio and then stirred for 30 min before the UV light was turned on. This procedure was according to Zhang et al. [31]. The degradation experiment was recorded with a UV lamp (λmax = 254 nm). At 0, 30, 60, 90, 120, 180, 240, and 300 min, the solution was taken out, centrifuged, and analyzed further using a Thermo Scientific Genesys 10S UV-Vis spectrophotometer to see how the photocatalyst performed either on UV or visible light. The measured samples are TiO2 pristine, t-ZrO2 (UiO-66-500-2), m-ZrO2 (UiO-66-800-24), t/m-ZrO2 (UiO-66-500-8), the binary oxide t-ZrO2+TiO2 ((Zr/Ti)-5d-500-2), and the mixing phase of binary oxide from t-ZrO2+m-ZrO2+TiO2 ((Zr/Ti)-5d-500-2-800-24) and t-ZrO2+m-ZrO2+HfO2 ((Zr/Hf)-5d-500-2).

5. Conclusions

A simple synthetic route for making a ZrO2 catalyst comprising nearly phase-pure, tetragonal, monoclinic, mixed t/m-ZrO2, and ZrO2-MO2 (M = Ti or Hf) composites has been effectively prepared by using only a single precursor, namely UiO-66, as a sacrificial template. All the synthesized catalysts are photoactive against MO dye degradation, with t-ZrO2 showcasing the highest photodegradation activity, with 89% decoloration efficiency under UV irradiation for 300 min with a reaction rate constant of 0.0063 min−1. Decoloration efficiencies for the m-ZrO2 phase and ZrO2-MO2 (M = Ti or Hf) are 67%, 74%, and 63%, respectively. This result places this catalyst among the best photocatalysts for photocatalytic degradation activity.

Supplementary Materials

The following supporting information can be downloaded at: https://www.mdpi.com/article/10.3390/catal12060609/s1, Figure S1: PXRD pattern (a) and SEM images (b) of UiO-66; Figure S2: PXRD patterns of UiO-66(Zr/Ti) 1, 3, and 5d; Figure S3: SEM images of UiO-66(Zr/Ti) 1, 3, and 5d; Figure S4: Elemental mapping and EDS spectrum of UiO-66(Zr/Ti) 1, 3, and 5d; Figure S5: PXRD patterns of UiO-66 (Zr/Hf) 5 and 7d; Figure S6: PXRD patterns of t-ZrO2 before and after successive catalytic cycle; Table S1: SEM-EDS analysis of % atomic of UiO-66(Zr/Ti).

Author Contributions

Writing—original draft preparation, formal analysis, investigation, visualization, validation, I.N.A.J. and H.F.S.; supervision, project administration, S.M. and K.W.; conceptualization, methodology, resources, supervision, writing—review and editing, funding acquisition, project administration, A.P. and A.C.W. All authors have read and agreed to the published version of the manuscript.

Funding

This research was funded by Institut Teknologi Bandung and Universitas Airlangga, grant number 165/UN3.15/PT/2021.

Acknowledgments

The authors acknowledge Riset Kolaborasi Indonesia 2021 (Institut Teknologi Bandung, Universitas Airlangga, Institut Pertanian Bogor, and Universitas Gadjah Mada) for supporting this research. A.P. acknowledges P2MI FMIPA ITB FY 2022 for financial support. The authors are grateful to Yessi Permana and Laela Mukaromah for PXRD measurements.

Conflicts of Interest

The authors declare no conflict of interest.

References

  1. Kaddouri, A.; Mazzocchia, C.; Tempesti, E.; Anouchinsky, R. On the Activity of ZrO2 Prepared by Different Methods. J. Therm. Anal. 1998, 53, 97–109. [Google Scholar] [CrossRef]
  2. Gannavarapu, K.P.; Ganesh, V.; Thakkar, M.; Mitra, S.; Dandamudi, R.B. Nanostructured Diatom-ZrO2 Composite as a Selective and Highly Sensitive Enzyme Free Electrochemical Sensor for Detection of Methyl Parathion. Sens. Actuators B Chem. 2019, 288, 611–617. [Google Scholar] [CrossRef] [PubMed]
  3. Yu, J.; Ji, G.; Shi, Z.; Wang, X. Corrosion Resistance of ZrO2 Films under Different Humidity Coal Gas Conditions at High Temperature. J. Alloys Compd. 2019, 783, 371–378. [Google Scholar] [CrossRef]
  4. Cha, S.W.; Cho, G.Y.; Lee, Y.; Park, T.; Kim, Y.; Lee, J. Effects of Carbon Contaminations on Y2O3-Stabilized ZrO2 Thin Film Electrolyte Prepared by Atomic Layer Deposition for Thin Film Solid Oxide Fuel Cells. CIRP Ann. Manuf. Technol. 2016, 65, 515–518. [Google Scholar] [CrossRef]
  5. Campa, M.C.; Ferraris, G.; Gazzoli, D.; Pettiti, I.; Pietrogiacomi, D. Rhodium Supported on Tetragonal or Monoclinic ZrO2 as Catalyst for the Partial Oxidation of Methane. Appl. Catal. B Environ. 2013, 142, 423–431. [Google Scholar] [CrossRef]
  6. Navío, J.A.; Hidalgo, M.C.; Colón, G.; Botta, S.G.; Litter, M.I. Preparation and Physicochemical Properties of ZrO2 and Fe/ZrO2 Prepared by a Sol-Gel Technique. Langmuir 2001, 17, 202–210. [Google Scholar] [CrossRef]
  7. Botta, S.G.; Navío, J.A.; Hidalgo, M.C.; Restrepo, G.M.; Litter, M.I. Photocatalytic Properties of ZrO2 and Fe/ZrO2 Semiconductors Prepared by a Sol-Gel Technique. J. Photochem. Photobiol. A Chem. 1999, 129, 89–99. [Google Scholar] [CrossRef]
  8. Abdi, J.; Yahyanezhad, M.; Sakhaie, S.; Vossoughi, M.; Alemzadeh, I. Synthesis of Porous TiO2/ZrO2 Photocatalyst Derived from Zirconium Metal Organic Framework for Degradation of Organic Pollutants under Visible Light Irradiation. J. Environ. Chem. Eng. 2019, 7, 103096. [Google Scholar] [CrossRef]
  9. Butova, V.V.; Soldatov, M.A.; Guda, A.A.; Lomachenko, K.A.; Lamberti, C. Metal-organic Frameworks: Structure, properties, methods of synthesis and characterization. Russ. Chem. Rev. 2016, 85, 280–307. [Google Scholar] [CrossRef]
  10. Zhang, X.; Zhang, M.; Zhang, J.; Zhang, Q.; Tsubaki, N.; Tan, Y.; Han, Y. Methane Decomposition and Carbon Deposition over Ni/ZrO2 Catalysts: Comparison of Amorphous, Tetragonal, and Monoclinic Zirconia Phase. Int. J. Hydrogen Energy 2019, 44, 17887–17899. [Google Scholar] [CrossRef]
  11. Basahel, S.N.; Ali, T.T.; Mokhtar, M.; Narasimharao, K. Influence of Crystal Structure of Nanosized ZrO2 on Photocatalytic Degradation of Methyl Orange. Nanoscale Res. Lett. 2015, 10, 1–13. [Google Scholar] [CrossRef] [PubMed] [Green Version]
  12. Reddy, C.V.; Babu, B.; Reddy, I.N.; Shim, J. Synthesis and Characterization of Pure Tetragonal ZrO2 Nanoparticles with Enhanced Photocatalytic Activity. Ceram. Int. 2018, 44, 6940–6948. [Google Scholar] [CrossRef]
  13. Mansouri, M.; Mozafari, N.; Bayati, B.; Setareshenas, N. Photo-Catalytic Dye Degradation of Methyl Orange Using Zirconia–Zeolite Nanoparticles. Bull. Mater. Sci. 2019, 42, 230. [Google Scholar] [CrossRef] [Green Version]
  14. Yan, X.; Lu, N.; Fan, B.; Bao, J.; Pan, D.; Wang, M.; Li, R. Synthesis of Mesoporous and Tetragonal Zirconia with Inherited Morphology from Metal–Organic Frameworks. Cryst. Eng. Comm. 2015, 17, 6426–6433. [Google Scholar] [CrossRef]
  15. Bavykina, A.; Kolobov, N.; Khan, I.S.; Bau, J.A.; Ramirez, A.; Gascon, J. Metal–Organic Frameworks in Heterogeneous Catalysis: Recent Progress, New Trends, and Future Perspectives. Chem. Rev. 2020, 120, 8468–8535. [Google Scholar] [CrossRef] [PubMed] [Green Version]
  16. Butova, V.V.; Budnyk, A.P.; Charykov, K.M.; Vetlitsyna-Novikova, K.S.; Lamberti, C.; Soldatov, A.V. Water as a Structure-Driving Agent between the UiO-66 and MIL-140A Metal–Organic Frameworks. Chem. Commun. 2019, 55, 901–904. [Google Scholar] [CrossRef]
  17. Kambur, A.; Pozan, G.S.; Boz, I. Preparation, Characterization and Photocatalytic Activity of TiO2-ZrO2 Binary Oxide Nanoparticles. Appl. Catal. B Environ. 2012, 115–116, 149–158. [Google Scholar] [CrossRef]
  18. Gota, K.R.; Suresh, S. Preparation and Its Application of TiO2/ZrO2 and TiO2/Fe Photocatalysts: A Perspective Study. Asian J. Chem. 2014, 26, 7087–7101. [Google Scholar] [CrossRef]
  19. Greer, H.F.; Liu, Y.; Greenaway, A.; Wright, P.A.; Zhou, W. Synthesis and Formation Mechanism of Textured MOF-5. Cryst. Growth Des. 2016, 16, 2104–2111. [Google Scholar] [CrossRef] [Green Version]
  20. Katz, M.J.; Brown, Z.J.; Colón, Y.J.; Siu, P.W.; Scheidt, K.A.; Snurr, R.Q.; Hupp, J.T.; Farha, O.K. A Facile Synthesis of UiO-66, UiO-67 and Their Derivatives. Chem. Commun. 2013, 49, 9449–9451. [Google Scholar] [CrossRef]
  21. Li, W.; Wang, K.; Huang, J.; Liu, X.; Fu, D.; Huang, J.; Li, Q.; Zhan, G. M x O y –ZrO2 (M = Zn, Co, Cu) Solid Solutions Derived from Schiff Base-Bridged UiO-66 Composites as High-Performance Catalysts for CO2 Hydrogenation. ACS Appl. Mater. Interfaces 2019, 11, 33263–33272. [Google Scholar] [CrossRef] [PubMed]
  22. Toraya, H.; Yoshimura, M.; Somiya, S. Calibration Curve for Quantitative Analysis of the Monoclinic-Tetragonal ZrO2 System by X-Ray Diffraction. J. Am. Ceram. Soc. 1984, 67, C119–C121. [Google Scholar] [CrossRef]
  23. Takeuchi, A.; Inoue, A. Classification of Bulk Metallic Glasses by Atomic Size Difference, Heat of Mixing and Period of Constituent Elements and Its Application to Characterization of the Main Alloying Element. Mater. Trans. 2005, 46, 2817–2829. [Google Scholar] [CrossRef] [Green Version]
  24. Balog, M.; Schieber, M.; Michman, M.; Patai, S. The Chemical Vapour Deposition and Characterization of ZrO2 Films from Organometallic Compounds. Thin Solid Film 1977, 47, 109–120. [Google Scholar] [CrossRef]
  25. Yang, S.; Jin, R.; He, Z.; Qiao, Y.; Shi, S.; Kong, W.; Wang, Y.; Liu, X. An Experimental Study on the Degradation of Methyl Orange by Combining Hydrodynamic Cavitation and Chlorine Dioxide Treatments. Chem. Eng. Trans. 2017, 59, 289–294. [Google Scholar] [CrossRef]
  26. Nainani, R.; Thakur, P.; Chaskar, M. Synthesis of Silver Doped TiO2 Nanoparticles for the Improved Photocatalytic Degradation of Methyl Orange. J. Mater. Sci. Eng. B 2012, 2, 52–58. [Google Scholar]
  27. Sakfali, J.; Ben Chaabene, S.; Akkari, R.; Dappozze, F.; Berhault, G.; Guillard, C.; Saïd Zina, M. High Photocatalytic Activity of Aerogel Tetragonal and Monoclinic ZrO2 Samples. J. Photochem. Photobiol. A Chem. 2022, 430, 113970. [Google Scholar] [CrossRef]
  28. Kumar, S.; Ojha, A.K. Oxygen Vacancy Induced Photoluminescence Properties and Enhanced Photocatalytic Activity of Ferromagnetic ZrO2 Nanostructures on Methylene Blue Dye under Ultra-Violet Radiation. J. Alloys Compd. 2015, 644, 654–662. [Google Scholar] [CrossRef]
  29. Yu, D.; Li, L.; Wu, M.; Crittenden, J.C. Enhanced Photocatalytic Ozonation of Organic Pollutants Using an Iron-Based Metal-Organic Framework. Appl. Catal. B Environ. 2019, 251, 66–75. [Google Scholar] [CrossRef]
  30. Fu, M.; Li, Y.; Wu, S.; Lu, P.; Liu, J.; Dong, F. Sol-Gel Preparation and Enhanced Photocatalytic Performance of Cu-Doped ZnO Nanoparticles. Appl. Surf. Sci. 2011, 258, 1587–1591. [Google Scholar] [CrossRef]
  31. Zhang, J.; Li, L.; Xiao, Z.; Liu, D.; Wang, S.; Zhang, J.; Hao, Y.; Zhang, W. Hollow Sphere TiO2-ZrO2 Prepared by Self-Assembly with Polystyrene Colloidal Template for Both Photocatalytic Degradation and H2 Evolution from Water Splitting. ACS Sustain. Chem. Eng. 2016, 4, 2037–2046. [Google Scholar] [CrossRef]
  32. Cai, R.; Zhang, B.; Shi, J.; Li, M.; He, Z. Rapid Photocatalytic Decolorization of Methyl Orange under Visible Light Using VS4/Carbon Powder Nanocomposites. ACS Sustain. Chem. Eng. 2017, 5, 7690–7699. [Google Scholar] [CrossRef]
  33. Haryanto, A.; Mukaromah, L.; Permana, Y.; Patah, A. Photocatalytic Activity of CuBDC and UiO-66 MOFs for Methyl Orange Degradation. J. Chem. Technol. Metall. 2021, 56, 791–795. [Google Scholar]
  34. Liu, G.; Pan, X.; Li, J.; Li, C.; Ji, C. Facile Preparation and Characterization of Anatase TiO2/Nanocellulose Composite for Photocatalytic Degradation of Methyl Orange. J. Saudi Chem. Soc. 2021, 25, 101383. [Google Scholar] [CrossRef]
  35. Farhan Hanafi, M.; Sapawe, N. Remarkable Degradation of Methyl Orange by Tetragonal Zirconia Catalyst. Mater. Today Proc. 2018, 5, 21849–21852. [Google Scholar] [CrossRef]
  36. Cavka, J.H.; Jakobsen, S.; Olsbye, U.; Guillou, N.; Lamberti, C.; Bordiga, S.; Lillerud, K.P. A New Zirconium Inorganic Building Brick Forming Metal Organic Frameworks with Exceptional Stability. J. Am. Chem. Soc. 2008, 130, 13850–13851. [Google Scholar] [CrossRef] [PubMed]
  37. Kim, M.; Cahill, J.F.; Fei, H.; Prather, K.A.; Cohen, S.M. Postsynthetic Ligand and Cation Exchange in Robust Metal–Organic Frameworks. J. Am. Chem. Soc. 2012, 134, 18082–18088. [Google Scholar] [CrossRef]
  38. Aboulayt, A.; Onfroy, T.; Travert, A.; Clet, G.; Maugé, F. Relationship between Phosphate Structure and Acid-Base Properties of Phosphate-Modified Zirconia—Application to Alcohol Dehydration. Appl. Catal. A Gen. 2017, 530, 193–202. [Google Scholar] [CrossRef]
Figure 1. PXRD patterns of ZrO2 at different calcination temperatures and times.
Figure 1. PXRD patterns of ZrO2 at different calcination temperatures and times.
Catalysts 12 00609 g001
Figure 2. SEM images of UiO-66 particle after calcination at 500 °C.
Figure 2. SEM images of UiO-66 particle after calcination at 500 °C.
Catalysts 12 00609 g002
Figure 3. PXRD patterns of ZrO2-TiO2 and ZrO2-HfO2 composites.
Figure 3. PXRD patterns of ZrO2-TiO2 and ZrO2-HfO2 composites.
Catalysts 12 00609 g003
Figure 4. SEM image of ZrO2-TiO2 composite for (Zr/Ti)-5d-500-2.
Figure 4. SEM image of ZrO2-TiO2 composite for (Zr/Ti)-5d-500-2.
Catalysts 12 00609 g004
Figure 5. The plot of the Jacobian corrected Kubelka-Munk function for all catalysts.
Figure 5. The plot of the Jacobian corrected Kubelka-Munk function for all catalysts.
Catalysts 12 00609 g005
Figure 6. UV-vis spectra (a) and decoloration efficiency (b) of photocatalytic degradation MO with different catalysts.
Figure 6. UV-vis spectra (a) and decoloration efficiency (b) of photocatalytic degradation MO with different catalysts.
Catalysts 12 00609 g006
Figure 7. The concentration changes over measuring time (a) and the kinetics of photocatalytic degradation MO with different catalysts (b).
Figure 7. The concentration changes over measuring time (a) and the kinetics of photocatalytic degradation MO with different catalysts (b).
Catalysts 12 00609 g007
Table 1. Phase ratio of ZrO2.
Table 1. Phase ratio of ZrO2.
Sample ZrO2% Phase
t-ZrO2m-ZrO2
ZrO2-800-243.9096.1
ZrO2-800-86.9093.1
ZrO2-800-215.784.3
ZrO2-500-860.040.0
ZrO2-500-671.128.9
ZrO2-500-284.415.6
Table 2. The volume ratio of binary oxide catalysts.
Table 2. The volume ratio of binary oxide catalysts.
ZrO2-MO2% Phase
t-ZrO2m-ZrO2TiO2 Anatase
(Zr/Hf)-7d-500-237.962.1-
(Zr/Hf)-5d-500-234.665.4-
(Zr/Ti)-5d-500-2-800-2429.754.615.7
(Zr/Ti)-5d-500-244.228.027.8
(Zr/Ti)-3d-500-281.0-19.0
(Zr/Ti)-1d-500-278.921.1-
Table 3. Surface area, pore radius, and pore volume of ZrO2.
Table 3. Surface area, pore radius, and pore volume of ZrO2.
SampleSBET (m2 g−1)Pore Radius (nm)Pore Volume (cm3 g−1)
TiO26.40--
t-ZrO257.388152.450.0942
m-ZrO23.656154.320.0623
Table 4. Properties of catalysts and their photocatalytic degradation of MO.
Table 4. Properties of catalysts and their photocatalytic degradation of MO.
Samplet/m-ZrO2 RatioCrystallite Size (nm)Band Gap (eV)Photo-degradation
(%)
Rate Constant (min−1)
TiO2-41.73.1696.140.0074
t-ZrO25.427.604.8189.420.0063
m-ZrO20.0432.95.0367.230.0035
t/m-ZrO21.5020.24.8367.720.0037
t-ZrO2 + TiO21.588.403.0171.420.0039
t-ZrO2 + m-ZrO2 + TiO20.5423.73.1474.620.0042
t-ZrO2 + m-ZrO2 + HfO20.536.605.0163.290.0031
Table 5. Comparison of the present study with other reported photodegradations of methyl orange.
Table 5. Comparison of the present study with other reported photodegradations of methyl orange.
Catalyst[MO]
(mg L−1)
Catalyst Dosage (g/L)UV Source (nm)Time (min)Photo-
Degradation
(%)
Ref.
Cu/ZnO201.0UV light24088[30]
t-ZrO2
m-ZrO2
c-ZrO2
101.0350-40012092
95
85
[11]
TiO2-ZrO2 hollow spheres501.0313.2608[31]
VS4/CP101.0Xe lamp3067[32]
Cu-BDC
UiO-66
200.5UV light403.3
36.4
[33]
TiO2 nanocellulose401.03653099.7[34]
t-ZrO2100.1Florescent lamp (20 W)6018 (pH 7)
28 (pH 3)
[35]
t-ZrO251.025412053this work
Publisher’s Note: MDPI stays neutral with regard to jurisdictional claims in published maps and institutional affiliations.

Share and Cite

MDPI and ACS Style

Jannah, I.N.A.; Sekarsari, H.F.; Mulijani, S.; Wijaya, K.; Wibowo, A.C.; Patah, A. Facile Synthesis of Various ZrO2 Phases and ZrO2-MO2 (M = Ti, Hf) by Thermal Decomposition of a Single UiO-66 Precursor for Photodegradation of Methyl Orange. Catalysts 2022, 12, 609. https://doi.org/10.3390/catal12060609

AMA Style

Jannah INA, Sekarsari HF, Mulijani S, Wijaya K, Wibowo AC, Patah A. Facile Synthesis of Various ZrO2 Phases and ZrO2-MO2 (M = Ti, Hf) by Thermal Decomposition of a Single UiO-66 Precursor for Photodegradation of Methyl Orange. Catalysts. 2022; 12(6):609. https://doi.org/10.3390/catal12060609

Chicago/Turabian Style

Jannah, Ira Nur Arba’atul, Hanu Fiorena Sekarsari, Sri Mulijani, Karna Wijaya, Arief Cahyo Wibowo, and Aep Patah. 2022. "Facile Synthesis of Various ZrO2 Phases and ZrO2-MO2 (M = Ti, Hf) by Thermal Decomposition of a Single UiO-66 Precursor for Photodegradation of Methyl Orange" Catalysts 12, no. 6: 609. https://doi.org/10.3390/catal12060609

APA Style

Jannah, I. N. A., Sekarsari, H. F., Mulijani, S., Wijaya, K., Wibowo, A. C., & Patah, A. (2022). Facile Synthesis of Various ZrO2 Phases and ZrO2-MO2 (M = Ti, Hf) by Thermal Decomposition of a Single UiO-66 Precursor for Photodegradation of Methyl Orange. Catalysts, 12(6), 609. https://doi.org/10.3390/catal12060609

Note that from the first issue of 2016, this journal uses article numbers instead of page numbers. See further details here.

Article Metrics

Back to TopTop