Sign in to use this feature.

Years

Between: -

Subjects

remove_circle_outline
remove_circle_outline
remove_circle_outline
remove_circle_outline
remove_circle_outline
remove_circle_outline
remove_circle_outline
remove_circle_outline
remove_circle_outline

Journals

remove_circle_outline
remove_circle_outline
remove_circle_outline
remove_circle_outline
remove_circle_outline
remove_circle_outline
remove_circle_outline
remove_circle_outline
remove_circle_outline
remove_circle_outline
remove_circle_outline
remove_circle_outline
remove_circle_outline
remove_circle_outline
remove_circle_outline

Article Types

Countries / Regions

remove_circle_outline
remove_circle_outline
remove_circle_outline
remove_circle_outline
remove_circle_outline

Search Results (926)

Search Parameters:
Keywords = methyl orange

Order results
Result details
Results per page
Select all
Export citation of selected articles as:
37 pages, 6431 KB  
Article
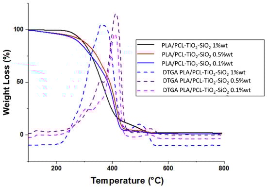
Synthesis of Poly(lactide)/Poly(ε-caprolactone) Systems Functionalized with Titanium Dioxide–Silicon Dioxide for Photocatalytic Applications
by Gamaliel Alvarado-Molina, Pamela Nair Silva-Holguin, Nahum A. Medellín-Castillo, Manuel Sánchez Polo, Ericka Berenice Herrera-Ríos, Claudia Alejandra Hernández-Escobar, Mónica Elvira Mendoza-Duarte, Armando Erasto Zaragoza-Contreras and Simón Yobanny Reyes-López
Processes 2026, 14(8), 1324; https://doi.org/10.3390/pr14081324 - 21 Apr 2026
Viewed by 204
Abstract
Biodegradable poly(lactide)/poly(ε-caprolactone) (PLA/PCL) systems functionalized with TiO2-SiO2 were synthesized via in situ ring-opening polymerization of a eutectic L-lactide/ε-caprolactone system. This work introduces a TiO2-SiO2 composite with a dual function, acting as a catalytic initiator that governs polymerization [...] Read more.
Biodegradable poly(lactide)/poly(ε-caprolactone) (PLA/PCL) systems functionalized with TiO2-SiO2 were synthesized via in situ ring-opening polymerization of a eutectic L-lactide/ε-caprolactone system. This work introduces a TiO2-SiO2 composite with a dual function, acting as a catalytic initiator that governs polymerization and microstructure, while simultaneously serving as a reinforcing and photocatalytic phase. The system exhibits high polymerization efficiency, reaching conversions up to 99% with low filler loadings (0.1–1.0 wt%). Structural analyses confirm polymer formation and reveal modifications in ester groups associated with coordination-driven mechanisms. Notably, the presence of TiO2-SiO2 promotes increased PLA tacticity, directly influencing mechanical performance. The resulting materials show enhanced tensile strength (~250,000 Pa) and Young’s modulus (1.5–2.0 MPa) compared to conventional systems. In addition, excellent photocatalytic activity was achieved, with up to 99.7% degradation of methyl orange. These findings demonstrate a synergistic strategy to simultaneously control polymer structure and functionality, positioning PLA/PCL–TiO2-SiO2 systems as promising multifunctional materials for environmental applications. Full article
(This article belongs to the Section Catalysis Enhanced Processes)
Show Figures

Figure 1

16 pages, 11682 KB  
Article
Synthesis of RE3+ (RE = Ho, Tb, Pr)-Doped Alumina Ceramic Coatings by Plasma Electrolytic Oxidation of Aluminum: Investigation of Photocatalytic Performance
by Stevan Stojadinović, Darwin Augusto Torres-Ceron, Sebastian Amaya-Roncancio and Nenad Radić
Ceramics 2026, 9(4), 42; https://doi.org/10.3390/ceramics9040042 - 21 Apr 2026
Viewed by 195
Abstract
Porous, crystalline gamma-Al2O3 coatings with a thickness of (6 ± 0.5) μm and a uniform distribution of rare earth (RE) dopants are synthesized by plasma electrolytic oxidation of aluminum at a current density of 150 mA/cm2 in a boric [...] Read more.
Porous, crystalline gamma-Al2O3 coatings with a thickness of (6 ± 0.5) μm and a uniform distribution of rare earth (RE) dopants are synthesized by plasma electrolytic oxidation of aluminum at a current density of 150 mA/cm2 in a boric acid and borax (BB) solution containing added RE oxide particles (Ho2O3, Tb4O7, and Pr6O11) at concentrations of 1, 2, and 4 g/L. The concentration of RE oxide particles in the BB solution determines the amount of RE elements incorporated into the coatings but does not significantly affect their surface morphology, crystal structure, or light absorption properties. The coatings exhibit high absorption in the middle/near-ultraviolet region, characteristic of Al2O3. Typical 4f-4f transitions of Ho3+, Tb3+, and Pr3+ are observed in the photoluminescence spectra. Photocatalytic evaluations using methyl orange degradation under simulated solar irradiation show that RE doping significantly enhances photocatalytic efficiency. Peak degradation efficiencies are achieved at a concentration of 4 g/L for all RE oxides. After 8 h of irradiation, maximum degradation reaches 88%, 92%, and 85% with pseudo-first-order rate constants (kapp) of about 0.274 h−1, 0.339 h−1, and 0.232 h−1 for coatings synthesized in BB with 4 g/L Ho2O3, Tb4O7, or Pr6O11, respectively. In comparison, the pristine Al2O3 coating achieves only about 50% degradation (kapp ≈ 0.087 h−1). Photoluminescence indicates that RE3+ ions serve as effective charge-carrier traps, suppressing electron–hole pair recombination. RE-doped Al2O3 coatings demonstrate exceptional structural stability and reusability over six cycles, highlighting their potential for sustainable wastewater remediation. Full article
Show Figures

Figure 1

12 pages, 1829 KB  
Article
Multifunctional ZnO Nanomaterials with Broad-Spectrum Defect-State Absorption for Enhancing the Photocatalytic Degradation of Organic Dyes
by Ai Zhou, Hongyun Li and Jie Fang
Materials 2026, 19(8), 1657; https://doi.org/10.3390/ma19081657 - 21 Apr 2026
Viewed by 147
Abstract
Zinc oxide (ZnO) nanomaterials have attracted widespread attention from researchers due to their morphology-dependent properties, eco-friendly characteristics, and potential as a sustainable photocatalyst with a broad range of applications. Therefore, in this study, three different ZnO nanostructures—nanosheets (NSs), nanoflowers (NFs), and nanorods (NBs)—were [...] Read more.
Zinc oxide (ZnO) nanomaterials have attracted widespread attention from researchers due to their morphology-dependent properties, eco-friendly characteristics, and potential as a sustainable photocatalyst with a broad range of applications. Therefore, in this study, three different ZnO nanostructures—nanosheets (NSs), nanoflowers (NFs), and nanorods (NBs)—were synthesized via a controlled precipitation method. Among these, NFs exhibited the highest photocatalytic efficiency. The obtained samples exhibited broad optical absorption edges extending into the visible region (corresponding to apparent energies of 1.81–2.09 eV), which is attributed to the sub-bandgap states induced by oxygen vacancies rather than intrinsic bandgap narrowing—far lower than the bandgap of bulk ZnO (3.37 eV). Their photocatalytic performance was evaluated by the degradation of Methyl Blue (MB), Methyl Orange (MO), and Rhodamine B (RhB) under UV or sunlight. Notably, the NFs achieved rapid degradation of MB and RhB within 90 min under UV irradiation without the addition of any H2O2, demonstrating their effectiveness and cost-effectiveness for practical applications. Although H2O2 inhibited the degradation of MB and RhB, it promoted the decomposition of MO. Furthermore, the ZnO NFs exhibited excellent recyclability in five consecutive degradation cycles. The self-synthesized ZnO nanomaterials in this study, with their broad-spectrum absorption, high stability, and eco-friendly properties, demonstrate their potential as an efficient and low-cost photocatalyst for large-scale wastewater treatment. Full article
Show Figures

Graphical abstract

22 pages, 5010 KB  
Article
Synthesis and Optimization of TiO2 Photocatalyst Using Biomass-Derived Activated Carbon for Photocatalytic Degradation of Methyl Orange
by Justine Auene, Veikko Uahengo, Habauka M. Kwaambwa, Tobias Plessing and Andy Gradel
Photochem 2026, 6(2), 18; https://doi.org/10.3390/photochem6020018 - 17 Apr 2026
Viewed by 172
Abstract
TiO2 is normally a preferred photocatalyst; however, its photocatalytic performance is constrained by its low surface area, wide band gap, and high electron–hole pair recombination rates. The objective of this study was to optimize the photocatalytic efficiency of TiO2 by impregnating [...] Read more.
TiO2 is normally a preferred photocatalyst; however, its photocatalytic performance is constrained by its low surface area, wide band gap, and high electron–hole pair recombination rates. The objective of this study was to optimize the photocatalytic efficiency of TiO2 by impregnating it onto activated carbon derived from Senegalia mellifera biomass. The quantitative study involved synthesizing TiO2 using the precipitation technique and preparing AC through both chemical and physical activation methods. The prepared AC samples were impregnated with TiO2 NPs using the wet impregnation method. The physicochemical properties of the samples were examined using several characterization techniques, namely, FTIR, EDS, Raman, UV reflectance, STA, SEM, and BET. The photocatalytic efficiency of AC/TiO2 composites was evaluated through methyl orange degradation. The results showed significant improvement in photocatalytic performance when TiO2 was supported on AC. The modified photocatalyst exhibited enhanced surface area, thus increased active sites for photocatalysis, improving electron–hole separation and reducing recombination. The 50%CO2/AC-0.5TiO2 composite demonstrated superior photocatalytic activity under both UV and visible light irradiation. It showed 52.1% MO removal under visible light and 76.1% MO removal under UV light. The study concludes that biomass-derived AC/TiO2 composites present a promising, cost-effective and sustainable approach of enhancing photocatalytic activities. Full article
Show Figures

Figure 1

23 pages, 3585 KB  
Review
Photocatalytic Wastewater Treatment Using Oxide Coatings with Immobilized Zeolites Obtained by Plasma Electrolytic Oxidation—A Review
by Kristina Mojsilović, Srna Stojanović, Rastko Vasilić and Ljiljana Damjanović-Vasilić
Minerals 2026, 16(4), 406; https://doi.org/10.3390/min16040406 - 15 Apr 2026
Viewed by 247
Abstract
This review presents recent results focused on immobilization of zeolites onto inexpensive aluminum substrate using plasma electrolytic oxidation (PEO) processing in various electrolyte solutions applying different electrical regimes. PEO is recognized as a useful technique for the formation of oxide coatings with photocatalytic [...] Read more.
This review presents recent results focused on immobilization of zeolites onto inexpensive aluminum substrate using plasma electrolytic oxidation (PEO) processing in various electrolyte solutions applying different electrical regimes. PEO is recognized as a useful technique for the formation of oxide coatings with photocatalytic properties on various metals and alloys. Thin film photocatalysts are more practical than powder/nanoparticle photocatalysts because the photocatalyst does not need to be filtered/separated after the wastewater degradation treatment, which is an expensive and time-consuming process. Addition of zeolites to supporting electrolyte solutions influences structural, morphological and chemical properties of formed oxide coatings. Furthermore, introduction of zeolites loaded with cerium through an ion-exchange procedure is investigated. It is shown that the addition of both parent zeolites and Ce-exchanged zeolites is beneficial for photocatalytic decomposition of model organic pollutant (methyl orange). The most promising results are obtained under ultra-low duty cycle electrical conditions with Ce-exchanged 13X zeolite added to the electrolyte, where about 60% of the model organic pollutant is decomposed during 6 h of treatment under simulated sunlight irradiation (16,000 lx) for 3 cm2 surface area of sample exposed to irradiation. Full article
Show Figures

Figure 1

21 pages, 3610 KB  
Article
Efficient Adsorptive Removal of Methyl Orange from Aqueous Solutions Using a Cu2O/CuO Nanocomposite
by Yordani Arce-Argote, Antonella Soncco, Rodrigo Rios-Cabala, Albeniz Huaracallo, Marcelo Rodriguez and Rivalino Guzmán
Appl. Sci. 2026, 16(8), 3713; https://doi.org/10.3390/app16083713 - 10 Apr 2026
Viewed by 370
Abstract
The persistence of azo dyes in industrial effluents poses significant environmental risks; therefore, there is a need to develop effective adsorbents. This study investigates the efficiency of a Cu2O/CuO nanocomposite as an adsorbent for the removal of a model dye, methyl [...] Read more.
The persistence of azo dyes in industrial effluents poses significant environmental risks; therefore, there is a need to develop effective adsorbents. This study investigates the efficiency of a Cu2O/CuO nanocomposite as an adsorbent for the removal of a model dye, methyl orange (MO), from aqueous solutions. The material was characterized by XRD, SEM and BET analyses, revealing a dominant Cu2O phase (96 wt%) with CuO fractions, and an average particle size of ~18 nm paired with a specific surface area of 19.54 m2 g−1. FTIR and TOC assays revealed the adsorption and degradation of MO by action of the nanocomposite. Operational parameters such as adsorbent dosage, initial dye concentration, pH, and the point of zero charge (PZC) were investigated. Under the optimized conditions, the nanocomposite achieved a dye removal efficiency of 97.0%. The kinetic results showed a strong correlation with the pseudo-second-order model. Furthermore, isotherm analysis revealed that the adsorption process is best described by the Langmuir–Freundlich model, demonstrating an outstanding maximum theoretical adsorption capacity (qmax) of 254.76 mg g−1, which closely aligns with the experimental value (249.48 mg g−1). The findings demonstrated that the synthesized Cu2O/CuO nanocomposite acts as an efficient and promising adsorbent for the remediation of dye-contaminated waters. Full article
(This article belongs to the Section Nanotechnology and Applied Nanosciences)
Show Figures

Graphical abstract

19 pages, 3874 KB  
Article
Real-Time pH Monitoring in Microreactor Channels Using Sol–Gel Thin-Film Coatings
by Elizabeta Forjan, Marijan-Pere Marković and Domagoj Vrsaljko
Coatings 2026, 16(4), 447; https://doi.org/10.3390/coatings16040447 - 8 Apr 2026
Viewed by 481
Abstract
Sol–gel-based optical functional sensor coatings were developed for real-time monitoring of multiphase saponification reactions in microreactors. Various pH-sensitive indicator mixtures, including bromocresol green and bromocresol purple (BCG and BCP) and methyl red–methyl orange, were incorporated into sol–gel coatings and evaluated on test plates [...] Read more.
Sol–gel-based optical functional sensor coatings were developed for real-time monitoring of multiphase saponification reactions in microreactors. Various pH-sensitive indicator mixtures, including bromocresol green and bromocresol purple (BCG and BCP) and methyl red–methyl orange, were incorporated into sol–gel coatings and evaluated on test plates across pH range of 2–12. Coatings with BCG and BCP 1:3 demonstrated the most pronounced color change at high pH (11–12), with distinct hue (H) transitions providing a reliable measure of local pH. These optimized coatings were integrated into microreactor channels to track the passage of oil and NaOH slugs under varying flow rates. Hue analysis produced reproducible plateaus corresponding to NaOH-rich (H = 50°) and oil-rich (H = 41°) phases, enabling droplet-level resolution of slug flow and detection of flow-regime transitions. The sensor response was fully reversible, highlighting the robustness and reusability of the coatings. Unlike previous high-resolution fluorescence-based systems, this approach relies on simple visible-light imaging and low-cost data extraction, leaving the reaction chemistry unaltered. The results demonstrate that sol–gel coatings coupled with hue-based analysis provide a practical, noninvasive, and real-time monitoring strategy for multiphase reactions in microreactors, with potential for implementation in industrial or IoT-enabled process control systems. Full article
(This article belongs to the Special Issue Advances in 3D Printing for Functional Coatings and Materials)
Show Figures

Figure 1

16 pages, 1714 KB  
Article
Enhancing Photocatalytic Performance of ZnO Nanoparticles Through Er/Al Co-Doping for Solar-Driven Environmental Remediation
by Raúl Bahamonde Soria, Jefferson Estupiñan, Irma Gonza, Monserrat Naranjo, Billy D. Chinchin-Piñan, Lucia E. Manangón, Katherine Vaca, Martha Romero-Bastidas, Henry Pupiales, Verónica Taco and Patricia Luis
Clean Technol. 2026, 8(2), 53; https://doi.org/10.3390/cleantechnol8020053 - 7 Apr 2026
Viewed by 518
Abstract
Improving the absorption of visible light in photocatalysts could enhance photocatalytic reactions and reduce energy consumption, particularly in sunny regions like Ecuador. This study reports the synthesis of ZnO and ZnO nanoparticles doped with 1.5 at.% Er, 5 at.% Al, and 1.5 at.% [...] Read more.
Improving the absorption of visible light in photocatalysts could enhance photocatalytic reactions and reduce energy consumption, particularly in sunny regions like Ecuador. This study reports the synthesis of ZnO and ZnO nanoparticles doped with 1.5 at.% Er, 5 at.% Al, and 1.5 at.% Er, 5 at.% Al using the sol–gel method. The effect of doping on the structure, morphology, absorption spectra, and photocatalytic properties was analyzed by XRD, SEM, EDS, and UV-Vis spectrophotometry. XRD confirmed the presence of the wurtzite ZnO structure, and UV-Vis diffuse reflection spectra showed a red shift in the band gap for doped ZnO compared to pristine ZnO. Photocatalytic activity was evaluated through the degradation of methyl orange (MO) under artificial visible light and natural sunlight in Quito, Ecuador. ZnO doped with Er/Al nanoparticles exhibited significantly enhanced photocatalytic performance under solar light, suggesting the potential for replacing artificial light and reducing operating costs in photocatalytic processes. Moreover, all doped samples retained the antibacterial properties of ZnO against B. subtilis, and Er/Al co-doping improved the inhibition of E. coli compared to undoped ZnO. Full article
Show Figures

Figure 1

28 pages, 7657 KB  
Article
N-Succinylated Canonical vs. Dehydropeptides: Contrasting Self-Assembly Pathways and Hydrogel Properties
by Teresa Pereira, André F. Carvalho, Filipe Teixeira, Andreia Patrícia Magalhães, David M. Pereira, Loic Hilliou, Antero Abrunhosa, Manuel Bañobre-López, Paula M. T. Ferreira and José A. Martins
Gels 2026, 12(4), 299; https://doi.org/10.3390/gels12040299 - 1 Apr 2026
Viewed by 453
Abstract
Limited mechanical robustness and prompt proteolytic degradation preclude wider biomedical application of supramolecular peptide hydrogels. Low-molecular-weight dehydropeptides represent a promising class of hydrogelators, owing to their enhanced proteolytic stability, high self-assembly propensity, biocompatibility, and tunable rheological and drug-release properties. Herein, we prepared a [...] Read more.
Limited mechanical robustness and prompt proteolytic degradation preclude wider biomedical application of supramolecular peptide hydrogels. Low-molecular-weight dehydropeptides represent a promising class of hydrogelators, owing to their enhanced proteolytic stability, high self-assembly propensity, biocompatibility, and tunable rheological and drug-release properties. Herein, we prepared a small library of N-succinylated dehydrotripeptides (Suc-L-Xaa-L-Phe-Z-ΔPhe-OMe/-OH; Xaa = Phe or Val), together with the canonical analogs (Suc-L-Phe-L-Phe-L-Phe-OMe/-OH), to assess whether in addition to proteolytic resistance, dehydropeptides offer clear advantages over canonical peptides in terms of self-assembly, gelation efficacy, mechanical performance, and cargo release. Peptide self-assembly, hydrogel formation, and supramolecular organization were investigated by fluorescence and circular dichroism (CD) spectroscopy, molecular dynamic (MD) simulations, Thioflavin T hydrogel staining, ATR-FTIR spectroscopy, transmission electron microscopy (TEM), and rheological measurements. Drug-release performance was evaluated using methyl orange as a model cargo. Overall, the dehydropeptide-based hydrogels displayed enhanced gelation efficacy, improved mechanical properties, and sustained release profiles compared to canonical analogs. Spectroscopic analysis (CD and ATR-FTIR) and molecular dynamic simulations indicated that the dehydropeptides preferentially self-assemble into more ordered supramolecular fibrils, with extended β-sheet-like packing, whereas the canonical peptides predominantly populate more disordered backbone environments. Proteolysis assays with α-chymotrypsin revealed that both canonical and dehydropeptide methyl esters underwent chymotrypsin-catalyzed ester hydrolysis. Importantly, only the canonical dicarboxylic acid underwent further proteolytic degradation. The dehydropeptide dicarboxylic acids revealed fully resistant to proteolysis over extended time periods. These results demonstrate that the incorporation of dehydroamino acid into peptides enables control over supramolecular packing, nanofibrillar network architecture, rheology, and cargo release. This report raises the profile of relatively underexplored dehydropeptide-based soft materials as promising high-performance biomaterials for technological and biomedical applications. Full article
(This article belongs to the Special Issue Research and Application of Injectable Hydrogels)
Show Figures

Graphical abstract

16 pages, 3495 KB  
Article
Eco-Friendly Cellulose/Polyaniline Sponge for Water Remediation
by Juan C. Medina-Llamas, Fátima D. G. Rodríguez-Flores, Isaac Olvera-López, José García-Elías, María Medina-Llamas and Alicia E. Chávez-Guajardo
Materials 2026, 19(7), 1381; https://doi.org/10.3390/ma19071381 - 31 Mar 2026
Viewed by 352
Abstract
This work describes the fabrication of an eco-friendly sponge for the removal of dyes from aqueous solutions. For this purpose, a reused cellulose sponge (CS) that is commercially sold for makeup was covered with polyaniline (PANI), a conductive polymer that allows the addition [...] Read more.
This work describes the fabrication of an eco-friendly sponge for the removal of dyes from aqueous solutions. For this purpose, a reused cellulose sponge (CS) that is commercially sold for makeup was covered with polyaniline (PANI), a conductive polymer that allows the addition of functional groups that are compatible with dyes present in aqueous solutions. An SEM analysis showed the successful deposition of PANI over CS fibers and confirmed that the porosity of the sponge remained after the polymerization step. The adsorption performance of the PANI-CS was evaluated in batch mode using methyl orange (MO). The adsorption capacity was 308 mg/g at pH 4.0 and after 110 min. PANI-CS achieved an adsorption percentage of 84% (Co = 25 mg/L MO) after only 20 min. The experimental data were adjusted to different isotherm adsorption models; the best fit was obtained using the Halsey model. Furthermore, the adsorption performance of PANI-CS was studied in continuous mode using a bespoke adsorption column with recirculation. The results indicated that after 5 min of interaction time, 59% of the initial MO concentration (25 mg/L) was adsorbed. These results show the potential of PANI-CS as an inexpensive adsorbent for large-scale adsorption of dyes from aqueous media. Full article
Show Figures

Figure 1

18 pages, 2073 KB  
Article
Epigenetic Landscape of the Citrus Greek National Germplasm Collection and Its Association with Genetic and Fitness-Related Data
by Fani G. Lyrou, Vasiliki Maria Kotina, Andreas G. Doulis, Nikolaos Tourvas, Vasileios Ziogas, Ioannis Ganopoulos and Filippos A. Aravanopoulos
Biology 2026, 15(7), 546; https://doi.org/10.3390/biology15070546 - 29 Mar 2026
Viewed by 744
Abstract
Epigenetic diversity contributes to phenotypic plasticity and environmental responsiveness in Citrus spp. In this work, genome-wide DNA methylation was analyzed in 49 accessions representing six Citrus species, hybrids, varieties, and cultivars from the Greek National Germplasm Collection. Substantial variation in global DNA methylation [...] Read more.
Epigenetic diversity contributes to phenotypic plasticity and environmental responsiveness in Citrus spp. In this work, genome-wide DNA methylation was analyzed in 49 accessions representing six Citrus species, hybrids, varieties, and cultivars from the Greek National Germplasm Collection. Substantial variation in global DNA methylation was detected, while the epigenetic diversity indices did not differ significantly among taxa. The highest values were observed in Citrus × aurantium var. sinensis (orange) varieties (Pepi = 77.33%, Na = 1.55, h = 0.14, Iepi = 0.24), whereas the lowest were recorded in Citrus × aurantifolia (lime) (Pepi = 18.67%, Na = 0.37, h = 0.09, Iepi = 0.13), reflecting potential methylation restructuring impacted by hybridization and selection. Epigenetic and genetic diversity were significantly different. Principal coordinate analyses (PCoA) of epigenetic data revealed limited concordance to taxonomy, except for unmethylated loci, the latter exhibiting similar data to genetic (SSR) results in which groups reflected the taxonomic genealogy. Epigenetic and genetic distances were uncoupled, and associations between epigenetic diversity (Pepi, h, Iepi) and traits directly or indirectly related to fitness (fruit weight, dry matter content, ascorbic acid concentration), were weak. These findings indicate that epigenetic diversity represents an independent layer of variation in Citrus germplasm with potential relevance for breeding, conservation and environmental resilience. Full article
(This article belongs to the Section Plant Science)
Show Figures

Figure 1

39 pages, 4635 KB  
Article
Rice Husk Ash Geopolymers Modified with Fe3O4 or ZnTiO3/TiO2 Nanoparticles for the Adsorption and Photodegradation of Organic Dyes
by Ximena Jaramillo-Fierro, Juan-Pablo Cueva, John Ramón and Eduardo Valarezo
Nanomaterials 2026, 16(7), 413; https://doi.org/10.3390/nano16070413 - 29 Mar 2026
Viewed by 529
Abstract
Hybrid nanomaterials integrating magnetic and semiconductor phases offer promising multifunctional platforms for wastewater remediation; however, their stabilization and recovery remain challenging. In this study, Fe3O4 and ZnTiO3/TiO2 nanoparticles were incorporated into a rice husk ash-based geopolymer matrix [...] Read more.
Hybrid nanomaterials integrating magnetic and semiconductor phases offer promising multifunctional platforms for wastewater remediation; however, their stabilization and recovery remain challenging. In this study, Fe3O4 and ZnTiO3/TiO2 nanoparticles were incorporated into a rice husk ash-based geopolymer matrix to develop hybrid nanocomposites for synergistic adsorption–photodegradation of methylene blue (MB) and methyl orange (MO). The materials were synthesized via alkaline activation followed by nanoparticle incorporation, and characterized by XRD, XRF, FTIR, SEM, EDX, BET surface area analysis, and pHPZC determination. XRD confirmed the presence of nanocrystalline Fe3O4 and ZnTiO3/TiO2 phases while preserving the amorphous aluminosilicate framework. Modified powders exhibited higher specific surface areas (up to 198 m2 g−1) compared to the unmodified geopolymer. Adsorption followed the Langmuir isotherm and pseudo-second-order kinetics, with spontaneous and exothermic behavior. Under UV irradiation, the ZnTiO3/TiO2-modified composite achieved photodegradation efficiencies up to 94% for MB and 92% for MO, whereas the Fe3O4-modified material combined adsorption capacity with magnetic recoverability. These results demonstrate that nanoparticle incorporation enables multifunctional performance while maintaining structural integrity of the geopolymeric matrix. Full article
(This article belongs to the Section Nanocomposite Materials)
Show Figures

Figure 1

20 pages, 1743 KB  
Article
Mechanisms of Electrochemical Degradation of Low-Concentration Azo Dye Wastewater by a Typical Binary Anion System
by Ming Chen, Kewen Li, Huanzhong Deng, Chuanhan Chen, Junjie Chen, Chao Yang and Lianpeng Sun
Water 2026, 18(7), 769; https://doi.org/10.3390/w18070769 - 24 Mar 2026
Viewed by 244
Abstract
The secondary effluent from printing and dyeing wastewater contains recalcitrant organic pollutants, such as azo dye derivatives. Their persistence in aquatic environments not only creates ecological risks but also hampers the high-value reuse of reclaimed water. This study investigated the influence of typical [...] Read more.
The secondary effluent from printing and dyeing wastewater contains recalcitrant organic pollutants, such as azo dye derivatives. Their persistence in aquatic environments not only creates ecological risks but also hampers the high-value reuse of reclaimed water. This study investigated the influence of typical binary anions on the degradation performance of low-concentration azo dye wastewater using a Ti/RuO2-IrO2 anode electrochemical oxidation system. The results demonstrated that maximum COD removal efficiency could reach 50.22%, and the controlling factors synergistically regulated the contribution and competition between Reactive Chlorine Species and free radicals. This led to a characteristic “rapid rise–decline–slow rebound” phenomenon in the COD removal rate, with the inflection points co-influenced by the current density, conductivity, and binary anion ratio of the electrochemical process. Furthermore, it alters the degradation pathway of the azo dye to “azo bond cleavage → demethylation/desulfonation → dehydroxylation/deamination oxidation → benzene ring opening”. Within a fixed duration of 60 min, the Response Surface Methodology model identified the optimal COD degradation conditions as follows: current density of 19.72 mA/cm2, Cl/SO42− ratio of 5.40, and conductivity of 8.30 mS/cm. This research elucidates the differences between the electrochemical oxidation degradation pathway of low-concentration azo dye wastewater under the regulation of typical binary anions and the conventional pathway. It also reveals the regulatory effects of current density, conductivity, and binary anion ratio on the degradation patterns. Full article
(This article belongs to the Section Wastewater Treatment and Reuse)
Show Figures

Figure 1

16 pages, 3140 KB  
Article
In Situ Growth of Copper Metal–Organic Frameworks (MOFs) into Ceramics for Catalytic Hydrogenation of Organic Dyes
by Hani Nasser Abdelhamid and Saad A. Aljlil
Catalysts 2026, 16(3), 282; https://doi.org/10.3390/catal16030282 - 21 Mar 2026
Viewed by 740
Abstract
In this study, the in situ solvothermal synthesis of a copper-based metal–organic framework (Cu-BTC MOF) into two porous ceramic substrates with a 10 cm diameter and 2 cm thickness was reported. X-ray diffraction (XRD), Fourier transform infrared (FT-IR) spectroscopy, diffuse reflectance spectroscopy (DRS), [...] Read more.
In this study, the in situ solvothermal synthesis of a copper-based metal–organic framework (Cu-BTC MOF) into two porous ceramic substrates with a 10 cm diameter and 2 cm thickness was reported. X-ray diffraction (XRD), Fourier transform infrared (FT-IR) spectroscopy, diffuse reflectance spectroscopy (DRS), Tauc plot analysis, optical microscopy, scanning electron microscopy (SEM), and transmission electron microscopy (TEM) were the techniques that were utilized to verify the formation and incorporation of the MOF into ceramics (two samples, with different SiO2 particles; 500 µm (Ceramic 1), and 150 µm (Ceramic 2)). The synthesized Cu-MOF exhibited a crystalline structure. Both the composites and the Cu-MOF exhibited visible-light absorption, with optical band gaps of 2.5 eV and 2.4 eV, respectively, as determined by DRS. TEM images demonstrated that crystalline MOF domains were successfully included inside the ceramics. Methyl orange (MO), Congo red (CR), and methylene blue (MB) were used to assess the composites’ ability to remove dyes. Catalytic hydrogenation, powered by in situ hydrogen production from NaBH4 hydrolysis, demonstrated high removal efficiencies of 91–97% after 60 min. Adsorption, on the other hand, was ineffective. Despite undergoing four consecutive cycles without performance degradation, the materials demonstrated remarkable recyclability. Cu-MOF@ceramic composites are effective, durable, and practically applicable for improved wastewater treatment. Full article
(This article belongs to the Section Catalytic Materials)
Show Figures

Graphical abstract

11 pages, 258 KB  
Article
Visual and Olfactory Cues for Monitoring Lobesia botrana in Vineyards Under Mating Disruption
by Yasir Islam, Constanza Castillo, Marco Tasin and Eduardo Fuentes-Contreras
Agronomy 2026, 16(6), 648; https://doi.org/10.3390/agronomy16060648 - 19 Mar 2026
Viewed by 414
Abstract
Lobesia botrana is a major pest in grapevine, monitored using sex pheromone as a standard practice. However, when the sex pheromone is used in mating disruption (MD), monitoring becomes ineffective. A blend of 2-phenylethanol (2-PET) and acetic acid (AA) was identified as an [...] Read more.
Lobesia botrana is a major pest in grapevine, monitored using sex pheromone as a standard practice. However, when the sex pheromone is used in mating disruption (MD), monitoring becomes ineffective. A blend of 2-phenylethanol (2-PET) and acetic acid (AA) was identified as an attractant for L. botrana in MD vineyards. With the aim of increasing the attraction of 2-PET/AA, we evaluated whether terpenoid-based attractants and trap color could enhance the catches of L. botrana in traps baited with 2-PET/AA. First, we assessed the attraction to 2-PET/AA in combination with two terpenoid mixtures. Grape Mimic Mixture 1 (GMM1) contained a 100:78:9 proportion of (E)-β-caryophyllene, (E)-4,8-dimethyl-1,3,7-nonatriene, and (E)-β-farnesene, and Grape Mimic Mixture 2 (GMM2) was composed of a 10:1:1:1:1:1 proportion of limonene, (E)-4,8-dimethyl-1,3,7-nonatriene, (±)-linalool, (E)-caryophyllene, farnesene, and methyl salicylate. Furthermore, we assessed whether traps of different colors (blue, green, orange, red, white, and transparent) could enhance L. botrana catches. Neither GMM1 nor GMM2 improved L. botrana catches over 2-PET/AA alone. In addition, the proportion of mated L. botrana females was similar across treatments. Transparent traps caught more moths than other colors. Our results suggest a modification in the color and odor of traps to improve the monitoring of L. botrana in vineyards treated with MD. Full article
(This article belongs to the Special Issue Plant–Insect Interactions in the Agroecosystem)
Back to TopTop