Sign in to use this feature.

Years

Between: -

Subjects

remove_circle_outline
remove_circle_outline
remove_circle_outline
remove_circle_outline
remove_circle_outline
remove_circle_outline
remove_circle_outline
remove_circle_outline
remove_circle_outline

Journals

remove_circle_outline
remove_circle_outline
remove_circle_outline
remove_circle_outline
remove_circle_outline
remove_circle_outline
remove_circle_outline
remove_circle_outline
remove_circle_outline
remove_circle_outline
remove_circle_outline
remove_circle_outline
remove_circle_outline
remove_circle_outline
remove_circle_outline
remove_circle_outline
remove_circle_outline
remove_circle_outline

Article Types

Countries / Regions

remove_circle_outline
remove_circle_outline
remove_circle_outline
remove_circle_outline
remove_circle_outline
remove_circle_outline

Search Results (3,068)

Search Parameters:
Keywords = thermal decomposition

Order results
Result details
Results per page
Select all
Export citation of selected articles as:
17 pages, 4102 KB  
Article
Fully Thermally Decomposable CO2-Based Thermoplastic Polyurethane Encapsulation Films for Photovoltaic Cells: Mechanical, Barrier and Recycling Aspects
by Yuting Ouyang, Jizhi Ai, Min Xiao, Dongmei Han, Sheng Huang, Shuanjin Wang and Yuezhong Meng
Nanomaterials 2026, 16(9), 503; https://doi.org/10.3390/nano16090503 - 22 Apr 2026
Abstract
The development of sustainable encapsulation materials with tunable thermomechanical properties remains a critical challenge for photovoltaic reliability. Currently, the mainstream encapsulant for polycrystalline silicon solar cells is crosslinked EVA (Ethylene-Vinyl Acetate), which complicates the end-of-life recycling and reuse of modules. There is an [...] Read more.
The development of sustainable encapsulation materials with tunable thermomechanical properties remains a critical challenge for photovoltaic reliability. Currently, the mainstream encapsulant for polycrystalline silicon solar cells is crosslinked EVA (Ethylene-Vinyl Acetate), which complicates the end-of-life recycling and reuse of modules. There is an urgent need to develop a novel encapsulant that combines excellent barrier properties with thermoplastic recyclability. Herein, we report a novel series of thermally decomposable CO2-based thermoplastic polyurethane (PPC-TE) films engineered through the rational design of soft and hard segments. Utilizing polycarbonate diol (PPCDL) and polyether glycol (PEG) as soft segments, we systematically tailor material properties by modulating PEG-to-PPCDL ratios (5–20 wt%) and PEG molecular weights (1000–4000 g/mol). The optimized PPC-TE films exhibit excellent transmittance (>90%), adjustable glass transition temperature (Tg: 35.1 °C~11.6 °C), and remarkable mechanical adaptability (51~92 HA). The PPC-TE films exhibit water vapor permeability (WVP) as low as 14.8 g·mm·m−2·day−1 and oxygen permeability (OP) of 4.13 cc·mm·m−2 day−1 at 15 wt% PEG content, surpassing commercial ethylene–vinyl acetate (EVA) encapsulants. Notably, these films demonstrate fully thermal decomposition above 350 °C, facilitating eco-friendly photovoltaic device recycling. Superior adhesion to glass substrates is evidenced by peel strengths up to 37 N/cm (PPC-TE2000-20) and the shrinkage rate is as low as 3%. This work contributes to improving the long-term stability of solar cells and has the potential for large-scale production. Full article
(This article belongs to the Special Issue New Trends in Nanoscale Materials Applied to Photovoltaic Research)
Show Figures

Figure 1

70 pages, 5036 KB  
Review
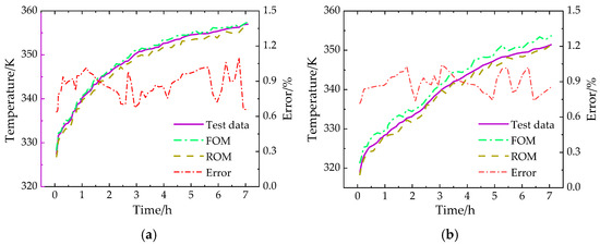
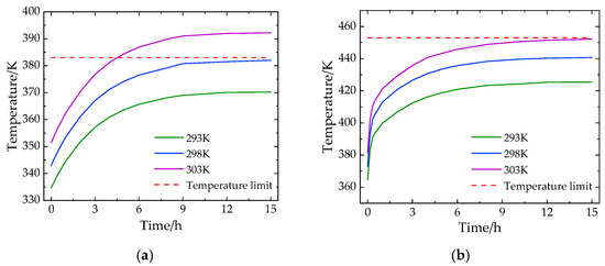
A Review of Mathematical Reduced-Order Modeling of PCM-Based Latent Heat Storage Systems
by John Nico Omlang and Aldrin Calderon
Energies 2026, 19(9), 2017; https://doi.org/10.3390/en19092017 - 22 Apr 2026
Abstract
Phase change material (PCM)-based latent heat storage (LHS) systems help address the mismatch between renewable energy supply and thermal demand. However, their practical implementation is constrained by the strongly nonlinear and multiphysics nature of phase change, which makes high-fidelity simulations and real-time applications [...] Read more.
Phase change material (PCM)-based latent heat storage (LHS) systems help address the mismatch between renewable energy supply and thermal demand. However, their practical implementation is constrained by the strongly nonlinear and multiphysics nature of phase change, which makes high-fidelity simulations and real-time applications computationally expensive. This review examines mathematical reduced-order modeling (ROM) as an effective strategy to overcome this limitation by combining physics-based simplifications, projection methods, interpolation techniques, and data-driven models for PCM-based LHS systems. While physical simplifications (such as dimensional reduction and effective property approximations) represent an important first layer of model reduction, the primary focus of this work is on the mathematical ROM methodologies that operate on the governing equations after such physical simplifications have been applied. The review covers approaches including two-temperature non-equilibrium and analytical thermal-resistance models, Proper Orthogonal Decomposition (POD), CFD-derived look-up tables, kriging and ε-NTU grey/black-box metamodels, and machine-learning methods such as artificial neural networks and gradient-boosted regressors trained from CFD data. These ROM techniques have been applied to packed beds, PCM-integrated heat exchangers, finned enclosures, triplex-tube systems, and solar thermal components, achieving speed-ups from tens to over 80,000 times faster than full CFD simulations while maintaining prediction errors typically below 5% or within sub-Kelvin temperature deviations. A critical comparative analysis exposes the fundamental trade-off between interpretability, data dependence, and computational efficiency, leading to a practical decision-making framework that guides method selection for specific applications such as design optimization, real-time control, and system-level simulation. Remaining challenges—including accurate representation of phase change nonlinearity, moving phase boundaries, multi-timescale dynamics, generalization across geometries, experimental validation, and integration into industrial workflows—motivate a structured roadmap for future hybrid physics–machine learning developments, standardized validation protocols, and pathways toward industrial deployment. Full article
(This article belongs to the Section D: Energy Storage and Application)
Show Figures

Figure 1

21 pages, 5355 KB  
Article
Flunarizine-Loaded Hydrogels: A Novel Formulation and Physicochemical Characterization
by Camelia Daniela Ionaș, Dorinel Okolišan, Camelia Epuran, Ion Frățilescu, Gabriela Vlase, Alexandru Pahomi, Raul Ștefan-Pantiș, Mihaela Maria Budiul, Mădălina Grădinaru and Titus Vlase
Polymers 2026, 18(9), 1014; https://doi.org/10.3390/polym18091014 - 22 Apr 2026
Abstract
Flunarizine is a calcium channel blocker widely used in neurological disorders; however, its low aqueous solubility may influence formulation stability and drug dispersion in polymer-based systems. The present study aimed to evaluate the compatibility of flunarizine with selected excipients and to investigate its [...] Read more.
Flunarizine is a calcium channel blocker widely used in neurological disorders; however, its low aqueous solubility may influence formulation stability and drug dispersion in polymer-based systems. The present study aimed to evaluate the compatibility of flunarizine with selected excipients and to investigate its incorporation into polymeric hydrogel matrices. Binary mixtures of flunarizine with excipients such as hydroxypropyl-β-cyclodextrin, polyethylene glycol (PEG 6000), Tween 20, gelatin, and citric acid were prepared and characterized using Fourier-transform infrared spectroscopy (FTIR), thermogravimetric analysis (TG/DTG), and high-performance liquid chromatography (HPLC). The FTIR spectra of the analyzed samples do not reveal the appearance of new absorption bands that may indicate chemical interactions; instead, minor spectral variations were observed due to weak intermolecular interactions within the polymer network. Thermal analysis revealed decomposition patterns consistent with those of the individual components, suggesting the absence of significant incompatibilities. A validated RP-HPLC method enabled sensitive and reliable quantification of flunarizine in the analyzed systems, with a limit of detection (LOD) of 0.05 µg/mL and a limit of quantitation (LOQ) of 0.16 µg/mL. Accuracy testing showed average recovery rates of 100% across 80–120% spiking levels. Overall, the results support the compatibility of flunarizine with the investigated excipients and the suitability of the studied hydrogels as potential drug delivery matrices. Full article
(This article belongs to the Special Issue Polymers and Their Role in Drug Delivery, 3rd Edition)
Show Figures

Figure 1

23 pages, 1118 KB  
Article
A Simplified Temperature Field Calculation Model for Oil-Immersed Transformers Based on the FVM-POD Field–Circuit Coupling Method
by Yanan Yuan, Hao Yang, Shijun Wang and Linhong Yue
Energies 2026, 19(8), 2003; https://doi.org/10.3390/en19082003 - 21 Apr 2026
Abstract
In the context of new-type power system construction, digital twin has become the core technology for power transformers, supporting their full-life cycle intelligent operation and maintenance. The real-time, high-precision calculation of the internal temperature field serves as the core supporting element for realizing [...] Read more.
In the context of new-type power system construction, digital twin has become the core technology for power transformers, supporting their full-life cycle intelligent operation and maintenance. The real-time, high-precision calculation of the internal temperature field serves as the core supporting element for realizing the real-time mapping between the physical transformer entity and its virtual twin. Aiming at the inherent defects of traditional temperature rise calculation methods, such as insufficient accuracy and an excessively long computation time, this paper proposes a simplified calculation model for the transformer temperature field. In this model, the transformer oil tank is simplified into a two-dimensional axisymmetric thermal–fluid coupled field model solved by the finite volume method (FVM). The Proper Orthogonal Decomposition (POD) technique is adopted to perform order reduction on the matrices involved in the governing equations, so as to reduce the computational degrees of freedom. Meanwhile, the radiator is equivalent to a one-dimensional thermal circuit model, and the field–circuit coupled solution is achieved through bidirectional data mapping. Temperature field calculation is carried out for a 220 kV oil-immersed transformer based on the proposed model. The results show that the average relative error between the calculated results and the experimental data is around 0.86%, while the computation time is merely 0.04% of that of the traditional three-dimensional full-scale model. Furthermore, taking the real-time overload capacity evaluation of the transformer as a case, it is verified that the proposed model can successfully support the requirements of practical engineering applications. Full article
16 pages, 3556 KB  
Article
Degradation Pathways and Energy Efficiency on Non-Thermal Plasma for Sulfonamide Antibiotics Removal: A Comparative Study
by Hee-Jun Kim, Donggwan Lee, Sanghoon Han, Jae-Cheol Lee and Hyun-Woo Kim
Processes 2026, 14(8), 1312; https://doi.org/10.3390/pr14081312 - 20 Apr 2026
Abstract
The non-thermal plasma (NTP) process is a promising advanced oxidation process (AOP) for removing non-biodegradable organics from wastewater, owing to the efficient formation of reactive chemicals. Despite its effective oxidizing capability, the decomposition mechanism of organic pollutants is not well understood. This study [...] Read more.
The non-thermal plasma (NTP) process is a promising advanced oxidation process (AOP) for removing non-biodegradable organics from wastewater, owing to the efficient formation of reactive chemicals. Despite its effective oxidizing capability, the decomposition mechanism of organic pollutants is not well understood. This study evaluates NTP for two representative sulfonamides (SMZ and STZ) and reports on (i) time-resolved removal to the method detection limit, (ii) transformation mapping using LC-ESI/MS/MS, which confirmed previously proposed hydroxylation and bond-cleavage pathways and further identified additional hydroxylated intermediates formed on the thiazole and benzene rings under NTP conditions, and (iii) energy evaluation through energy per order (EEO) within a single, reproducible operating window. The EEO values for SMZ and STZ degradation via NTP were calculated at 22.4 and 7.5 kWh/m3/order, respectively. These values are up to 37- and 118-fold lower than those reported for comparable AOPs, quantitatively confirming that the proposed NTP process achieves superior energy efficiency for sulfonamide degradation. Degradation is primarily attributed to reactive oxygen species (ROS) generated by plasma, which initiate the breakdown of the antibiotic structure. Overall, this study demonstrates that NTP is a highly effective AOP for driving the rapid primary degradation and intermediate structural transformation of recalcitrant sulfonamide antibiotics. Full article
Show Figures

Figure 1

31 pages, 19415 KB  
Article
Integration of Multi-Gas Sensors and Aerial Thermography into UAVs for Environmental Monitoring of a Landfill
by Juan Francisco Escudero-Villegas, Macaria Hernández-Chávez, Bertha Nelly Cabrera-Sánchez, Gilgamesh Luis-Raya, Josué Daniel Rivera-Fernández and Diego Adrián Fabila-Bustos
Appl. Sci. 2026, 16(8), 3970; https://doi.org/10.3390/app16083970 - 19 Apr 2026
Viewed by 150
Abstract
Landfills are a significant source of atmospheric emissions associated with the decomposition of organic waste; however, conventional monitoring methods typically have limited spatial coverage. This study evaluates the use of an UAV-based system for the spatial characterization of gases associated with biogas emissions [...] Read more.
Landfills are a significant source of atmospheric emissions associated with the decomposition of organic waste; however, conventional monitoring methods typically have limited spatial coverage. This study evaluates the use of an UAV-based system for the spatial characterization of gases associated with biogas emissions at a municipal landfill. A DJI Matrice 350 RTK platform equipped with a Sniffer4D Mini2 multi-gas station and a Zenmuse H20T thermal camera were used. Four flight campaigns were conducted at an altitude of 20 m, with an acquisition frequency of approximately 1 Hz, recording total hydrocarbons (CxHy) as an indirect indicator of methane (CH4), carbon dioxide (CO2), carbon monoxide (CO), nitrogen dioxide (NO2), ozone (O3), sulfur dioxide (SO2), oxygen (O2), temperature, and relative humidity. The results showed a marked transition around 13:10 h, characterized by a simultaneous increase in CH4 equivalent and CO2, along with a decrease in NO2, O3, and SO2. Furthermore, CH4 equivalent and CO2 showed the highest positive correlation among the variables (r = 0.96). Spatial maps generated using ordinary kriging revealed more heterogeneous patterns, while the qualitative thermal orthophoto confirmed the site’s surface variability. Overall, the results demonstrate that the integration of multi-gas sensors and aerial thermography on UAVs is viable for the spatial monitoring of landfills. Full article
Show Figures

Figure 1

15 pages, 2774 KB  
Article
High-Sensitivity Terahertz Time-Domain Spectroscopic Characterization of the Thermal Evolution of Hydrated Copper Sulfate
by Yuqiu Jiao, Xinyu Li, Yuqi Zhang, Qingying Xie and Yuhong Xia
Molecules 2026, 31(8), 1342; https://doi.org/10.3390/molecules31081342 - 19 Apr 2026
Viewed by 148
Abstract
To elucidate the influence of water on terahertz (THz) spectral responses, terahertz time-domain spectroscopy (THz-TDS) was employed to monitor the thermal decomposition of copper(II) sulfate pentahydrate in this study. Continuous dehydration of the hydrate induces pronounced variations in the THz signal. At the [...] Read more.
To elucidate the influence of water on terahertz (THz) spectral responses, terahertz time-domain spectroscopy (THz-TDS) was employed to monitor the thermal decomposition of copper(II) sulfate pentahydrate in this study. Continuous dehydration of the hydrate induces pronounced variations in the THz signal. At the initial stage of thermal decomposition, these changes primarily originate from the evolving state and amount of water confined within the CuSO4·5H2O lattice. After detaching from the crystalline framework, the released water molecules do not evaporate immediately; instead, they transiently reside near the copper sulfate as free water. When the temperature reaches approximately 60 °C, a dynamic equilibrium is established between crystalline water and free water. The THz spectral data reveal that the sample exhibits its strongest THz absorption at this temperature. Consequently, the THz signal during decomposition displays a characteristic trend: an initial decrease followed by an enhancement. These findings demonstrate that THz-TDS represents a promising approach for probing the state and content of water, thereby contributing to the development of a powerful analytical tool for fundamental studies in mineralogy. Full article
(This article belongs to the Special Issue 30th Anniversary of Molecules—Recent Advances in Physical Chemistry)
Show Figures

Figure 1

22 pages, 4245 KB  
Article
A Non-Intrusive Thermal Fault Inversion Method for GIS Using a POD-Kriging Surrogate Model and the Grey Wolf Optimizer
by Linhong Yue, Hao Yang, Congwei Yao, Yanan Yuan and Kunyu Song
Energies 2026, 19(8), 1962; https://doi.org/10.3390/en19081962 - 18 Apr 2026
Viewed by 144
Abstract
To address the inverse identification of contact-related thermal faults in gas-insulated switchgear (GIS), this study proposes a method for contact resistance inversion and internal temperature field reconstruction. The proposed method enables the estimation of faulty internal contact resistance using external enclosure temperature data, [...] Read more.
To address the inverse identification of contact-related thermal faults in gas-insulated switchgear (GIS), this study proposes a method for contact resistance inversion and internal temperature field reconstruction. The proposed method enables the estimation of faulty internal contact resistance using external enclosure temperature data, while simultaneously reconstructing the internal temperature field. First, a forward numerical model of GIS is established, and a POD-Kriging surrogate model is developed to achieve second-level rapid prediction of the forward problem. Based on this surrogate model, the thermal fault inversion problem is formulated as an optimization problem of fault parameters and solved using the Grey Wolf Optimizer. GIS temperature-rise experiments are performed to validate the numerical model, and a real GIS contact fault case is further analyzed. The results indicate that the proposed method yields an average inversion error of 9.5% for degraded contact resistance, with the maximum error at internal temperature monitoring points remaining below 8%. The total inversion time is approximately 30 s. These findings demonstrate that the proposed method is capable of effective online inversion and diagnosis of contact-related thermal faults in GIS equipment. Full article
(This article belongs to the Section F6: High Voltage)
Show Figures

Figure 1

16 pages, 2287 KB  
Article
Phase Transformation and Magnetic Properties of Rapidly Solidified Mn-Al Alloys
by Marco A. Camacho-Peralta, Israel Betancourt and Jose T. Elizalde-Galindo
Condens. Matter 2026, 11(2), 12; https://doi.org/10.3390/condmat11020012 - 17 Apr 2026
Viewed by 151
Abstract
Mn54Al46 alloys with τ-phase as their main component were successfully obtained in a reproducible processing window combining melt-spinning, annealing at intermediate temperatures (450 °C) and low-energy milling. The complete ε → τ phase transformation was driven by thermal decomposition of [...] Read more.
Mn54Al46 alloys with τ-phase as their main component were successfully obtained in a reproducible processing window combining melt-spinning, annealing at intermediate temperatures (450 °C) and low-energy milling. The complete ε → τ phase transformation was driven by thermal decomposition of ε-phase and favored by high grain boundary density inherent to the melt-spun microstructure. An improved magnetic response of the melt-spun Mn54Al46 alloys was observed, as they exhibited saturation magnetization values between 80 and 90 emu/g, together with intrinsic coercivities around 2000 Oe and Curie temperatures between 640 and 648 K. Significant coercivity enhancement over 6000 Oe was predicted, by means of micromagnetic calculations, for alloys with grain size refinement below 100 nm. The efficient, single-step experimental phase transformation with no additional stabilizers for the τ-phase was explained in terms of microstructural features, whereas magnetic enhancement was attributed to lattice distortions promoted by the milling process. This integrated approach introduces a pathway to achieve τ-phase Mn-Al with tunable magnetic performance useful for applications. Full article
(This article belongs to the Section Magnetism)
Show Figures

Figure 1

16 pages, 1558 KB  
Article
Construction of a Multifunctional Separator Based on Poly(Terephthaloyl-Melamine) for the Thermally Safe Regulation of Lithium-Ion Batteries
by Yiwei Yu, Yongshun Liang, Dan You, Wenhao Yang, Ziyi Zhu, Yingjie Zhang, Linqiang Duan, Xue Li and Yiyong Zhang
Molecules 2026, 31(8), 1304; https://doi.org/10.3390/molecules31081304 - 16 Apr 2026
Viewed by 174
Abstract
The poor thermal stability of commercial polyethylene (PE) separators hinders the further application of lithium-ion batteries (LIBs), yet previous modifications struggle to balance between safety and electrochemical performance. This study proposes an interface modification strategy by forming a poly(melamine terephthalamide) (PTM) coating on [...] Read more.
The poor thermal stability of commercial polyethylene (PE) separators hinders the further application of lithium-ion batteries (LIBs), yet previous modifications struggle to balance between safety and electrochemical performance. This study proposes an interface modification strategy by forming a poly(melamine terephthalamide) (PTM) coating on the PE separator surface, constructing a “thermal–mechanical–electrochemical synergistic barrier”. The PTMs@PE separator achieves synergistic improvements in thermal shutdown behavior, thermal stability, mechanical strength, and electrochemical compatibility by taking advantage of the temperature-sensitive response of the PE separator, the flame-retardants of the rigid conjugated skeleton with the high nitrogen of PTM, and the electrolyte-affinity of its functional groups. Importantly, the principles between the molecular structure of the PTM coating and the thermal behavior is verified. The results demonstrate that PTM participates in the decomposition process of the PE separator and slows down the degradation rate of the PE chain structure, thereby resulting in a wide-temperature-range thermal shutdown temperature. The PTMs@PE effectively reduces the risk of runaway. The PTMs@PE separator achieves outstanding electrochemical compatibility, achieving a capacity retention rate of 99.27% at 2 C for 500 cycles. Notably, the separator shows high potential for scalable fabrication. This work provides a novel material system and technical pathway for developing highly safe and high-performance LIB separators. Full article
(This article belongs to the Special Issue 30th Anniversary of Molecules—Recent Advances in Electrochemistry)
18 pages, 7962 KB  
Article
Optimal Sensor Placement via a POD-QR Framework for High-Fidelity 3D Temperature Field Reconstruction in Large-Scale Ultra-Low Temperature Chest Freezers
by Yisha Chen, Jianguo Qu, Yunfeng Xue, Baolin Liu, Jiecheng Tang and Jianxin Wang
Sensors 2026, 26(8), 2441; https://doi.org/10.3390/s26082441 - 16 Apr 2026
Viewed by 144
Abstract
Reliable temperature distribution measurement in ultra-low temperature (ULT) chest freezers is crucial for preserving biospecimen integrity in cryopreservation, but dense sensor arrays required for accuracy are often impractical due to space constraints and cost limitations. To address this critical challenge, this work presents [...] Read more.
Reliable temperature distribution measurement in ultra-low temperature (ULT) chest freezers is crucial for preserving biospecimen integrity in cryopreservation, but dense sensor arrays required for accuracy are often impractical due to space constraints and cost limitations. To address this critical challenge, this work presents a systematic data-driven framework for optimal sensor placement in large-scale (3 m3) ULT chest freezers under stable operating conditions. To our knowledge, it is the first realization of high-fidelity cryogenic temperature field reconstruction coupled with sparse sensor layout optimization tailored to large-volume ULT chest freezers. First, high-resolution reference temperature fields were constructed via universal kriging interpolation, validated with leave-one-out cross-validation (LOOCV) to achieve mean absolute error (MAE) 0.67 °C and coefficient of determination R2>0.92. Principal component analysis (PCA) was then applied to training data to extract a tailored proper orthogonal decomposition (POD) basis. The first three principal components captured 99.8% of cumulative energy. Optimal sensor locations were determined via QR-column pivoting on the rank-3 POD basis, converging to a minimal configuration of 3 sensors (a 94% reduction from the 48-sensor full-scale setup). This sparse sensor network achieved exceptional reconstruction performance: grid-level MAE 0.079 °C and root mean squared error (RMSE) 0.093 °C against reference fields (R20.999), while point-level validation against experimental measurements yielded MAE 0.502 °C and RMSE 0.842 °C (R20.971). The results demonstrate that, for large-scale ULT chest freezers, the proposed data-driven approach is capable of automatically determining an optimal sparse sensor subset and enabling reliable 3D cryogenic temperature field reconstruction for efficient thermal monitoring. By resolving the trade-off between monitoring accuracy, space efficiency, and cost-effectiveness, this framework provides a scientifically rigorous alternative to empirical sensor deployment standards, offering practical scalability for cryogenic biobanking applications. Full article
(This article belongs to the Section Sensor Networks)
Show Figures

Figure 1

22 pages, 1865 KB  
Article
Water-Soluble Inclusion Complexation of Naphthyl-Containing Thiosemicarbazides and Thioureas with β-Cyclodextrin
by Oralgazy A. Nurkenov, Zainulla M. Muldakhmetov, Serik D. Fazylov, Anel Zh. Mеndibayeva, Irina A. Pustolaikina, Akmaral Zh. Sarsenbekova, Olzhas T. Seilkhanov, Ardak K. Syzdykov, Saule K. Kabiyeva and Zhangeldy S. Nurmaganbetov
Molecules 2026, 31(8), 1290; https://doi.org/10.3390/molecules31081290 - 15 Apr 2026
Viewed by 246
Abstract
The paper presents the synthesis of new naphthyl-containing derivatives of thiosemicarbazide and thiourea, their water-soluble inclusion complexes with β-cyclodextrin, as well as an assessment of their potential antiviral and hemorheological activity. As a criterion for the specific antiviral effect of new compounds, their [...] Read more.
The paper presents the synthesis of new naphthyl-containing derivatives of thiosemicarbazide and thiourea, their water-soluble inclusion complexes with β-cyclodextrin, as well as an assessment of their potential antiviral and hemorheological activity. As a criterion for the specific antiviral effect of new compounds, their chemotherapeutic indices were calculated using predictive analytics tools driven by artificial intelligence and molecular docking methods. Molecular docking studies with three protein targets PknB (2FUM), DprE1 (6HEZ), and InhA (1ENY) confirmed strong and specific ligand–protein interactions. The effects of structural features of new compounds on the rheological characteristics of blood were considered, and the most promising samples were identified for further in-depth in vitro study of their specific biological activity. The performed thermoanalytical study showed that the structure of the included ligand, as well as the shape of the receptor, significantly affect the thermal stability and kinetic parameters of the decomposition of the inclusion complex. In silico evaluation of the newly synthesized compounds revealed promising biological activity profiles, with all compounds demonstrating predicted antimycobacterial and antituberculosis potential. In silico analysis of the newly synthesized compounds revealed favorable biological activity profiles, with all candidates demonstrating predicted antimycobacterial and antituberculosis potential. Full article
(This article belongs to the Section Applied Chemistry)
Show Figures

Graphical abstract

21 pages, 34432 KB  
Article
Diffusion of PeV Cosmic Rays in the Turbulent and Multiphase Interstellar Medium
by Yue Hu
Galaxies 2026, 14(2), 33; https://doi.org/10.3390/galaxies14020033 - 15 Apr 2026
Viewed by 198
Abstract
Galactic cosmic rays (CRs) are a fundamental non-thermal component of the interstellar medium (ISM). Understanding the transport of super-high-energy particles is essential for interpreting observations of Galactic PeVatrons. Classical diffusion models assuming a homogeneous and isothermal medium oversimplify the multiphase ISM. We utilize [...] Read more.
Galactic cosmic rays (CRs) are a fundamental non-thermal component of the interstellar medium (ISM). Understanding the transport of super-high-energy particles is essential for interpreting observations of Galactic PeVatrons. Classical diffusion models assuming a homogeneous and isothermal medium oversimplify the multiphase ISM. We utilize high-resolution three-dimensional magnetohydrodynamic simulations to self-consistently generate a multiphase ISM—comprising the warm (WNM), unstable (UNM), and cold neutral medium (CNM)—and investigate 1.5–15 PeV particle transport using a test-particle approach. We find that thermal phase transitions induce steep magnetic field strength gradients at phase boundaries, creating localized magnetic fluctuations that act as efficient sites for adiabatic mirror reflections and non-adiabatic pitch-angle scattering, strongly enhancing cross-field transport at these interfaces. However, because phase boundaries occupy only a small volume fraction and particles spend most of their trajectory in the weakly scattering WNM and UNM, the global pitch-angle scattering coefficient in the multiphase ISM is smaller than in an equivalent isothermal medium. This locally strong scattering nevertheless drives both parallel and perpendicular spatial diffusion coefficients to ∼1030 cm2 s−1 at 1.5 PeV, with the perpendicular component exceeding its isothermal counterpart (∼1028 cm2 s−1) by two orders of magnitude. Using a phase–phase diffusion matrix decomposition, we show that global CR transport is governed by the volume-filling, trans-Alfvénic WNM and UNM, where particles stream along stochastically wandering field lines. Cross-phase displacement correlations are universally positive, indicating cooperative transport between thermal phases. In contrast, the super-Alfvénic CNM acts as an efficient confinement that substantially suppresses local diffusion. Full article
(This article belongs to the Special Issue Astrophysical Magnetohydrodynamics, Plasma Physics and Cosmic Rays)
Show Figures

Figure 1

23 pages, 2400 KB  
Article
Variational Physics-Informed Neural Network for 3D Transient Melt Pool Thermal Modeling
by Zhenghao Xu, Xin Wang, Yuan Meng, Mingwei Wang and Xianglong Wang
Appl. Sci. 2026, 16(8), 3829; https://doi.org/10.3390/app16083829 - 14 Apr 2026
Viewed by 246
Abstract
Accurate prediction of transient melt pool thermal fields in Laser Powder Bed Fusion (LPBF) is essential for understanding melt pool geometry and defect formation mechanisms, yet conventional finite element methods (FEM) impose prohibitive computational costs for parametric process exploration. A variational physics-informed neural [...] Read more.
Accurate prediction of transient melt pool thermal fields in Laser Powder Bed Fusion (LPBF) is essential for understanding melt pool geometry and defect formation mechanisms, yet conventional finite element methods (FEM) impose prohibitive computational costs for parametric process exploration. A variational physics-informed neural network (VPINN) framework is presented for 3D transient thermal modeling of a GH3536 single-track LPBF scan. The framework incorporates a continuously differentiable Goldak double-ellipsoid moving heat source, temperature-dependent thermophysical property surrogates, and an effective heat-capacity treatment of latent heat associated with solid–liquid phase change and vaporization. These components are embedded in a weak-form residual-minimization scheme with octree-adaptive domain decomposition, hierarchical Legendre test functions, and sequential sliding-window time marching. Effective absorptivity is inferred jointly with the network parameters, using sparse experimental melt pool profiles as supervision. Within a parametric study covering laser powers from 100 to 140 W and scan speeds from 1000 to 1500 mm/s, the predicted melt pool width, depth, and aspect ratio agree closely with FEM benchmarks and cross-sectional optical micrograph measurements across both supervised and held-out interpolation conditions, with total relative L2 nodal temperature errors ranging from 3.23% to 6.75%. Following a one-time offline training investment of 15,323 s that simultaneously resolves the full parametric space, surrogate inference reduces per-condition query time from 3000–4000 s (FEM) to merely 4–5 s, delivering a speedup of two to three orders of magnitude and making the framework increasingly cost-effective for high-throughput parametric studies and digital-twin integration as the number of queried conditions grows. Full article
17 pages, 11332 KB  
Article
Research on Impact-Induced Reaction Characteristics of Al2Ce/AP Reactive Material
by Shoujia Li, Beichen Zhang, Lin Peng, Yan Liu, Hongwei Zhao, Xiaoxia Lu and Pengyu Bi
Nanomaterials 2026, 16(8), 463; https://doi.org/10.3390/nano16080463 - 14 Apr 2026
Viewed by 241
Abstract
To overcome the low strength of conventional polytetrafluoroethylene/aluminum (PTFE/Al) reactive materials and the insufficient reaction efficiency of aluminum, this study introduces highly reactive aluminum–cerium alloys (Al-Ce-1#, -2#, and -3#, with Ce contents of 30, 50, and 70%, respectively; the primary phase in Al-Ce-3# [...] Read more.
To overcome the low strength of conventional polytetrafluoroethylene/aluminum (PTFE/Al) reactive materials and the insufficient reaction efficiency of aluminum, this study introduces highly reactive aluminum–cerium alloys (Al-Ce-1#, -2#, and -3#, with Ce contents of 30, 50, and 70%, respectively; the primary phase in Al-Ce-3# is Al2Ce) with a multiscale structural design (comprising both micron-sized and nano-sized particles) into an ammonium perchlorate (AP) matrix. Al/AP reactive materials and Al-Ce/AP reactive materials with varying Ce contents were prepared. The thermal decomposition characteristics, dynamic mechanical properties, and impact ignition behavior were systematically investigated using differential scanning calorimetry (DSC) and split Hopkinson pressure bar (SHPB) experiments. The results demonstrate that the addition of Al2Ce significantly alters the thermal decomposition process of AP, substantially lowering its decomposition temperature (by approximately 69 °C) and promoting concentrated exothermic decomposition. SHPB tests reveal that Al2Ce/AP composites exhibit higher dynamic yield strength and flow stress than the Al/AP, accumulating faster strain energy density under impact loading, which indicates a more violent fragmentation failure mode. This enhanced mechanical failure behavior, which provides highly reactive interfaces and promotes hotspot formation, synergizes with the catalytic effect of Al2Ce on AP decomposition. Together, these mechanisms jointly improve the impact ignition sensitivity of the material, significantly lowering its ignition threshold and shortening its combustion duration. This study confirms that Al2Ce/AP is a novel reactive material combining excellent dynamic mechanical properties with outstanding impact reactivity, providing theoretical and technical support for the application of highly reactive rare-earth aluminum alloys in aluminum-based reactive materials. Full article
(This article belongs to the Special Issue Advances in Nanostructured Alloys: From Design to Applications)
Show Figures

Figure 1

Back to TopTop