Is Diet a Determining Factor in the Induction of Gingival Inflammation by Dental Plaque? A Secondary Analysis of Clinical Studies
Abstract
1. Introduction
2. Materials and Methods
2.1. Eligibility Criteria of Participants
2.1.1. Inclusion Criteria
- Written informed consent to participate;
- ≥20 teeth;
- Age ≥ 18.
2.1.2. Exclusion Criteria
- Periodontitis (CPITN by Ainamo et al. [31] two times ≥ 3 or 4);
- Smoking;
- Severe or life-threatening illnesses;
- Intake of antibiotics within 3/6 months before the start of or during the study period;
- Drugs influencing gingival inflammation or bleeding (e.g., anticoagulants, cortisone);
- Carbohydrate- or insulin-related diseases (e.g., diabetes);
- Pregnancy or breastfeeding.
2.2. Clinical Procedures
2.3. Nutritional Interventions
- Absence or avoidance of processed carbohydrates (such as sugar, white flour, juice, soft-drinks);
- Avoidance of processed meat and limited intake of white meat;
- Focused intake of marine omega-3 fatty acids (such as fish or fish/algae oil);
- Focused intake of whole foods (such as whole grains, fruits, vegetables, nuts, and seeds), with a high amount of dietary fibers;
- Duration of the dietary intervention for 4 weeks.
2.4. Statistical Analysis
3. Results
Relationship between Changes in Plaque and Bleeding Scores
4. Discussion
5. Conclusions
Author Contributions
Funding
Institutional Review Board Statement
Informed Consent Statement
Data Availability Statement
Conflicts of Interest
Appendix A
| Baumgartner et al., 2009 [15] | Woelber et al., 2016 [26] | Woelber et al., 2019 [27] | Bartha et al., 2021 [23] | |
|---|---|---|---|---|
| Inclusion criteria |
|
|
|
|
| Exclusion criteria |
|
|
|
| Study | Group | n | Age in Years At Baseline | Female n (%) |
|---|---|---|---|---|
| Bartha et al., 2021 [23] | C | 19 | 29.4 (±7.3) | 12 (63.2) |
| T | 18 | 33.0 (±9.1) | 8 (44.4) | |
| Baumgartner et al., 2009 [15] | T | 10 | 28.1 (±15.6) | 5 (50.0) |
| Woelber et al., 2016 [26] | C | 5 | 34.0 (±16.5) | 3 (30.0) |
| T | 10 | 34.4 (±14.1) | 6 (60.0) | |
| Woelber et al., 2019 [27] | C | 15 | 33.7 (±13.1) | 7 (46.7) |
| T | 15 | 27.2 (±4.7) | 9 (60.0) | |
| Overall | C | 39 | 31.6 (±11.1) | 22 (56.4) |
| T | 53 | 30.7 (±10.9) | 28 (52.8) |
References
- Chapple, I.L.C.; Mealey, B.L.; Van Dyke, T.E.; Bartold, P.M.; Dommisch, H.; Eickholz, P.; Geisinger, M.L.; Genco, R.J.; Glogauer, M.; Goldstein, M.; et al. Periodontal Health and Gingival Diseases and Conditions on an Intact and a Reduced Periodontium: Consensus Report of Workgroup 1 of the 2017 World Workshop on the Classification of Periodontal and Peri-Implant Diseases and Conditions. J. Periodontol. 2018, 89 (Suppl. S1), S74–S84. [Google Scholar] [CrossRef]
- Lang, N.P.; Schätzle, M.A.; Löe, H. Gingivitis as a Risk Factor in Periodontal Disease. J. Clin. Periodontol. 2009, 36 (Suppl. S10), 3–8. [Google Scholar] [CrossRef]
- Sanz, M.; Herrera, D.; Kebschull, M.; Chapple, I.; Jepsen, S.; Beglundh, T.; Sculean, A.; Tonetti, M.S.; EFP Workshop Participants and Methodological Consultants. Treatment of stage I–III periodontitis-The EFP S3 level clinical practice guideline. J. Clin. Periodontol. 2020, 47 (Suppl. S22), 4–60, Erratum in J. Clin. Periodontol. 2021, 48, 163. [Google Scholar] [CrossRef]
- Chapple, I.L.C.; Van der Weijden, F.; Doerfer, C.; Herrera, D.; Shapira, L.; Polak, D.; Madianos, P.; Louropoulou, A.; Machtei, E.; Donos, N.; et al. Primary Prevention of Periodontitis: Managing Gingivitis. J. Clin. Periodontol. 2015, 42 (Suppl. S16), S71–S76. [Google Scholar] [CrossRef]
- Li, Y.; Lee, S.; Hujoel, P.; Su, M.; Zhang, W.; Kim, J.; Zhang, Y.P.; DeVizio, W. Prevalence and Severity of Gingivitis in American Adults. Am. J. Dent. 2010, 23, 9–13. [Google Scholar]
- Löe, H.; Theilade, E.; Jensen, S.B. Experimental Gingivitis in Man. J. Periodontol. 1965, 36, 177–187. [Google Scholar] [CrossRef]
- Rosier, B.T.; De Jager, M.; Zaura, E.; Krom, B.P. Historical and Contemporary Hypotheses on the Development of Oral Diseases: Are We There Yet? Front. Cell. Infect. Microbiol. 2014, 4, 92. [Google Scholar] [CrossRef] [PubMed]
- Socransky, S.S.; Haffajee, A.D.; Cugini, M.A.; Smith, C.; Kent, R.L. Microbial Complexes in Subgingival Plaque. J. Clin. Periodontol. 1998, 25, 134–144. [Google Scholar] [CrossRef] [PubMed]
- Marsh, P.D. Microbial Ecology of Dental Plaque and Its Significance in Health and Disease. Adv. Dent. Res. 1994, 8, 263–271. [Google Scholar] [CrossRef] [PubMed]
- Hajishengallis, G. Immunomicrobial Pathogenesis of Periodontitis: Keystones, Pathobionts, and Host Response. Trends Immunol. 2014, 35, 3–11. [Google Scholar] [CrossRef] [PubMed]
- Nyvad, B.; Takahashi, N. Integrated Hypothesis of Dental Caries and Periodontal Diseases. J. Oral Microbiol. 2020, 12, 1710953. [Google Scholar] [CrossRef]
- Hajishengallis, G. The inflammophilic character of the periodontitis-associated microbiota. Mol. Oral Microbiol. 2014, 29, 248–257. [Google Scholar] [CrossRef]
- Donos, N.; Calciolari, E.; Brusselaers, N.; Goldoni, M.; Bostanci, N.; Belibasakis, G.N. The Adjunctive Use of Host Modulators in Non-Surgical Periodontal Therapy. A Systematic Review of Randomized, Placebo-Controlled Clinical Studies. J. Clin. Periodontol. 2020, 47 (Suppl. S22), 199–238. [Google Scholar] [CrossRef]
- Brecx, M.C.; Schlegel, K.; Gehr, P.; Lang, N.P. Comparison between Histological and Clinical Parameters during Human Experimental Gingivitis. J. Periodontal Res. 1987, 22, 50–57. [Google Scholar] [CrossRef] [PubMed]
- Baumgartner, S.; Imfeld, T.; Schicht, O.; Rath, C.; Persson, R.E.; Persson, G.R. The Impact of the Stone Age Diet on Gingival Conditions in the Absence of Oral Hygiene. J. Periodontol. 2009, 80, 759–768. [Google Scholar] [CrossRef] [PubMed]
- Woelber, J.P.; Al-Ahmad, A.; Alt, K.W. On the Pathogenicity of the Oral Biofilm: A Critical Review from a Biological, Evolutionary, and Nutritional Point of View. Nutrients 2022, 14, 2174. [Google Scholar] [CrossRef] [PubMed]
- Alt, K.W.; Al-Ahmad, A.; Woelber, J.P. Nutrition and Health in Human Evolution-Past to Present. Nutrients 2022, 14, 3594. [Google Scholar] [CrossRef] [PubMed]
- Adler, C.J.; Dobney, K.; Weyrich, L.S.; Kaidonis, J.; Walker, A.W.; Haak, W.; Bradshaw, C.J.A.; Townsend, G.; Sołtysiak, A.; Alt, K.W.; et al. Sequencing Ancient Calcified Dental Plaque Shows Changes in Oral Microbiota with Dietary Shifts of the Neolithic and Industrial Revolutions. Nat. Genet. 2013, 45, 450–455. [Google Scholar] [CrossRef]
- Konner, M.; Eaton, S.B. Paleolithic Nutrition: Twenty-Five Years Later. Nutr. Clin. Pract. 2010, 25, 594–602. [Google Scholar] [CrossRef] [PubMed]
- Van Woudenbergh, G.J.; Theofylaktopoulou, D.; Kuijsten, A.; Ferreira, I.; van Greevenbroek, M.M.; van der Kallen, C.J.; Schalkwijk, C.G.; Stehouwer, C.D.A.; Ocké, M.C.; Nijpels, G.; et al. Adapted Dietary Inflammatory Index and Its Association with a Summary Score for Low-Grade Inflammation and Markers of Glucose Metabolism: The Cohort Study on Diabetes and Atherosclerosis Maastricht (CODAM) and the Hoorn Study. Am. J. Clin. Nutr. 2013, 98, 1533–1542. [Google Scholar] [CrossRef]
- Hujoel, P. Dietary Carbohydrates and Dental-Systemic Diseases. J. Dent. Res. 2009, 88, 490–502. [Google Scholar] [CrossRef]
- Ottosson, F.; Hultgren, L.; Fernandez, C.; Engström, G.; Orho-Melander, M.; Kennbäck, C.; Persson, M.; Demmer, R.T.; Melander, O.; Klinge, B.; et al. The Inverse Association between a Fish Consumption Biomarker and Gingival Inflammation and Periodontitis: A Population-Based Study. J. Clin. Periodontol. 2022, 49, 353–361. [Google Scholar] [CrossRef]
- Bartha, V.; Exner, L.; Schweikert, D.; Woelber, J.P.; Vach, K.; Meyer, A.-L.; Basrai, M.; Bischoff, S.C.; Meller, C.; Wolff, D. Effect of the Mediterranean Diet on Gingivitis: A Randomized Controlled Trial. J. Clin. Periodontol. 2022, 49, 111–122. [Google Scholar] [CrossRef]
- Jenzsch, A.; Eick, S.; Rassoul, F.; Purschwitz, R.; Jentsch, H. Nutritional Intervention in Patients with Periodontal Disease: Clinical, Immunological and Microbiological Variables during 12 Months. Br. J. Nutr. 2009, 101, 879–885. [Google Scholar] [CrossRef]
- Widén, C.; Coleman, M.; Critén, S.; Karlgren-Andersson, P.; Renvert, S.; Persson, G.R. Consumption of Bilberries Controls Gingival Inflammation. Int. J. Mol. Sci. 2015, 16, 10665–10673. [Google Scholar] [CrossRef]
- Woelber, J.P.; Bremer, K.; Vach, K.; Koenig, D.; Hellwig, E.; Ratka-Krueger, P.; Al-Ahmad, A.; Tennert, C. An Oral Health Optimized Diet Can Reduce Gingival and Periodontal Inflammation in Humans—A Randomized Controlled Pilot Study. BMC Oral Health 2016, 17, 28. [Google Scholar] [CrossRef]
- Woelber, J.P.; Gärtner, M.; Breuninger, L.; Anderson, A.; König, D.; Hellwig, E.; Al-Ahmad, A.; Vach, K.; Dötsch, A.; Ratka-Krüger, P.; et al. The Influence of an Anti-Inflammatory Diet on Gingivitis. A Randomized Controlled Trial. J. Clin. Periodontol. 2019, 46, 481–490. [Google Scholar] [CrossRef]
- Löe, H.; Silness, J. Periodontal disease in pregnancy. I. Prevalence and severity. Acta Odontol. Scand. 1963, 21, 533–551. [Google Scholar] [CrossRef] [PubMed]
- Feinman, R.D.; Pogozelski, W.K.; Astrup, A.; Bernstein, R.K.; Fine, E.J.; Westman, E.C.; Accurso, A.; Frassetto, L.; Gower, B.A.; McFarlane, S.I.; et al. Dietary Carbohydrate Restriction as the First Approach in Diabetes Management: Critical Review and Evidence Base. Nutrition 2015, 31, 1–13. [Google Scholar] [CrossRef] [PubMed]
- Cena, H.; Calder, P.C. Defining a Healthy Diet: Evidence for The Role of Contemporary Dietary Patterns in Health and Disease. Nutrients 2020, 12, 334. [Google Scholar] [CrossRef] [PubMed]
- Ainamo, J.; Barmes, D.; Beagrie, G.; Cutress, T.; Martin, J.; Sardo-Infirri, J. Development of the World Health Organization (WHO) Community Periodontal Index of Treatment Needs (CPITN). Int. Dent. J. 1982, 32, 281–291. [Google Scholar]
- Silness, J.; Löe, H. Periodontal disease in pregnancy. II. Correlation between oral hygiene and periodontal condition. Acta Odontol. Scand. 1964, 22, 121–135. [Google Scholar] [CrossRef]
- Lang, N.P.; Joss, A.; Orsanic, T.; Gusberti, F.A.; Siegrist, B.E. Bleeding on Probing. A Predictor for the Progression of Periodontal Disease? J. Clin. Periodontol. 1986, 13, 590–596. [Google Scholar] [CrossRef]
- Bach-Faig, A.; Berry, E.M.; Lairon, D.; Reguant, J.; Trichopoulou, A.; Dernini, S.; Medina, F.X.; Battino, M.; Belahsen, R.; Miranda, G. Mediterranean Diet Pyramid Today. Science and Cultural Updates. Public Health Nutr. 2011, 14, 2274–2284. [Google Scholar] [CrossRef] [PubMed]
- Kashket, S.; Zhang, J.; Niederman, R. Gingival Inflammation Induced by Food and Short-Chain Carboxylic Acids. J. Dent. Res. 1998, 77, 412–417. [Google Scholar] [CrossRef]
- Tennert, C.; Reinmuth, A.-C.; Bremer, K.; Al-Ahmad, A.; Karygianni, L.; Hellwig, E.; Vach, K.; Ratka-Krüger, P.; Wittmer, A.; Woelber, J.P. An Oral Health Optimized Diet Reduces the Load of Potential Cariogenic and Periodontal Bacterial Species in the Supragingival Oral Plaque: A Randomized Controlled Pilot Study. Microbiologyopen 2020, 9, e1056. [Google Scholar] [CrossRef]
- Dommisch, H.; Kuzmanova, D.; Jönsson, D.; Grant, M.; Chapple, I. Effect of Micronutrient Malnutrition on Periodontal Disease and Periodontal Therapy. Periodontology 2000 2018, 78, 129–153. [Google Scholar] [CrossRef] [PubMed]
- Eberhard, J.; Ruiz, K.; Tan, J.; Jayasinghe, T.N.; Khan, S.; Eroglu, E.; Adler, C.; Simpson, S.J.; Le Couteur, D.G.; Raubenheimer, D.; et al. A Randomized Clinical Trial to Investigate the Effect of Dietary Protein Sources on Periodontal Health. J. Clin. Periodontol. 2022, 49, 388–400. [Google Scholar] [CrossRef] [PubMed]
- Hall, K.D.; Ayuketah, A.; Brychta, R.; Cai, H.; Cassimatis, T.; Chen, K.Y.; Chung, S.T.; Costa, E.; Courville, A.; Darcey, V.; et al. Ultra-Processed Diets Cause Excess Calorie Intake and Weight Gain: An Inpatient Randomized Controlled Trial of Ad Libitum Food Intake. Cell Metab. 2019, 30, 67–77.e3. [Google Scholar] [CrossRef]
- Grender, J.; Adam, R.; Zou, Y. The Effects of Oscillating-Rotating Electric Toothbrushes on Plaque and Gingival Health: A Meta-Analysis. Am. J. Dent. 2020, 33, 3–11. [Google Scholar]
- Sälzer, S.; Slot, D.E.; Van der Weijden, F.A.; Dörfer, C.E. Efficacy of Inter-Dental Mechanical Plaque Control in Managing Gingivitis—A Meta-Review. J. Clin. Periodontol. 2015, 42 (Suppl. S16), S92–S105. [Google Scholar] [CrossRef] [PubMed]
- Slot, D.E.; Dörfer, C.E.; Van der Weijden, G.A. The Efficacy of Interdental Brushes on Plaque and Parameters of Periodontal Inflammation: A Systematic Review. Int. J. Dent. Hyg. 2008, 6, 253–264. [Google Scholar] [CrossRef] [PubMed]
- Berchier, C.E.; Slot, D.E.; Haps, S.; Van der Weijden, G.A. The Efficacy of Dental Floss in Addition to a Toothbrush on Plaque and Parameters of Gingival Inflammation: A Systematic Review. Int. J. Dent. Hyg. 2008, 6, 265–279. [Google Scholar] [CrossRef] [PubMed]
- Jared, H.; Zhong, Y.; Rowe, M.; Ebisutani, K.; Tanaka, T.; Takase, N. Clinical Trial of a Novel Interdental Brush Cleaning System. J. Clin. Dent. 2005, 16, 47–52. [Google Scholar] [PubMed]
- Noorlin, I.; Watts, T.L.P. A Comparison of the Efficacy and Ease of Use of Dental Floss and Interproximal Brushes in a Randomised Split Mouth Trial Incorporating an Assessment of Subgingival Plaque. Oral. Health Prev. Dent. 2007, 5, 13–18. [Google Scholar]
- Sheiham, A.; Watt, R.G. The Common Risk Factor Approach: A Rational Basis for Promoting Oral Health. Community Dent. Oral. Epidemiol. 2000, 28, 399–406. [Google Scholar] [CrossRef]
- Omori, S.; Uchida, F.; Oh, S.; So, R.; Tsujimoto, T.; Yanagawa, T.; Sakai, S.; Shoda, J.; Tanaka, K.; Bukawa, H. Exercise Habituation Is Effective for Improvement of Periodontal Disease Status: A Prospective Intervention Study. Ther. Clin. Risk Manag. 2018, 14, 565–574. [Google Scholar] [CrossRef]
- Sabbah, W.; Gomaa, N.; Gireesh, A. Stress, Allostatic Load, and Periodontal Diseases. Periodontology 2000 2018, 78, 154–161. [Google Scholar] [CrossRef]






| Baumgartner et al., 2009 [15] | Woelber et al., 2016 [26] | Woelber et al., 2019 [27] | Bartha et al., 2021 [23] | |
|---|---|---|---|---|
| Applied diet concept |
|
| See [26] with the following modifications:
| According to [34]
|
| Duration of Intervention | Four weeks | Four weeks | Four weeks | Four weeks + first two weeks nutritional transition |
| Intervention method | “Participants lived in an environment, developed by anthropologists to be as similar as possible to what had been identified in archeologic findings in early Stone Age or between 4000 and 3500 BC” | “Dietary recommendations were delivered verbally (30 min) and by handing out an information brochure containing an additional list of restricted and recommended foods and meals. After one week, participants were asked about their experiences and possible problems. When more information was needed, participants had the chance to contact two of the authors at any time during the study” | “Detailed verbal introduction into the AID protocol for 30 min by one of two nutritional dentists specialized in nutritional medicine. The participants were informed to contact the study center for any help regarding the dietary recommendations.” | Participants had to participate in at least three of four Mediterranean training sessions, each lasting 45–60 min, supplemented with homework tasks and two information brochures. The sessions were provided by a dietician and a dentist specialized in clinical nutrition. The participants were able to contact the study center for any help regarding the Mediterranean diet. |
| Clinical parameters and measurements | BOP, PI, GI (GI-data provided from corresponding author) | BOP, GI, PI | BOP, GI, PI | BOP, GI, PI |
| Diet adherence recording | Participants lived for 4 weeks full time in a stone age environment, accompanied by the swiss television. | “Participants filled out a daily food diary throughout the study duration” | “Participants filled out a 24 h dietary diary for 1 week at the second, fifth and eighth week” | “Participants completed the German Health Interview and Examination Survey for Adults Food Frequency Questionnaire (DEGS-FFQ) (Robert-Koch-Institute, Berlin, Germany) and the Mediterranean Diet Adherence Screener (MEDAS)” |
| Oral hygiene restrictions | Only the use of twigs and any other natural material was allowed. | Tooth brushing without the use of interdental brushes or dental floss. | Tooth brushing without the use of interdental brushes or dental floss. | Tooth brushing without the use of interdental brushes or dental floss. |
| Study | Group | n | ΔGingiva Index | ΔPlaque Index | ΔBleeding on Probing |
|---|---|---|---|---|---|
| Bartha et al., 2021 [23] | C | 19 | −0.14 (±0.35) | 0.02 (±0.36) | −3.47 (±10.10) |
| T | 18 | −0.31 (±0.16) | −0.02 (±0.16) | −11.07 (±7.60) | |
| Baumgartner et al., 2009 [15] | T | 10 | 0.05 (±0.48) | 0.80 (±0.31) | −22.15 (±24.80) |
| Woelber et al., 2016 [26] | C | 5 | 0.18 (±0.10) | 0.16 (±0.45) | 17.60 (±12.42) |
| T | 10 | −0.67 (±0.19) | −0.04 (±0.32) | −29.30 (±12.38) | |
| Woelber et al., 2019 [27] | C | 15 | −0.09 (±0.16) | −0.09 (±0.16) | −1.47 (±7.78) |
| T | 15 | −0.31 (±0.26) | −0.08 (±0.16) | −6.80 (±11.01) | |
| Overall | C | 39 | −0.08 (±0.28) | −0.01 (±0.31) | −0.003 (±11.60) |
| T | 53 | −0.31 (±0.36) | 0.11 (±0.40) | −15.39 (±16.07) |
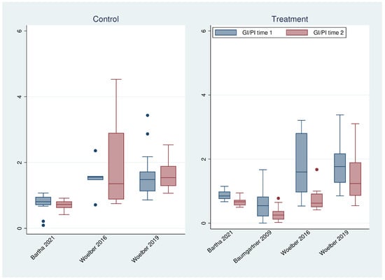
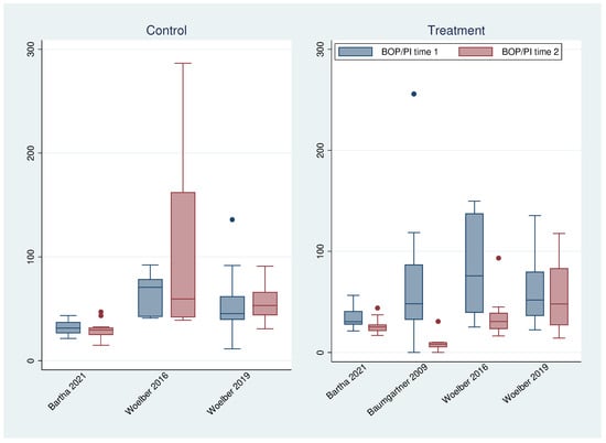
| Study | Group | n | Gingiva Index | Plaque Index | Bleeding on Probing | |||
|---|---|---|---|---|---|---|---|---|
| Time 1 | Time 2 | Time 1 | Time 2 | Time 1 | Time 2 | |||
| Bartha et al., 2021 [23] | C | 19 | 1.12 (±0.42) | 0.97 (±0.27) | 1.38 (±0.39) | 1.40 (±0.24) | 43.22 (±14.25) | 39.74 (±11.01) |
| T | 18 | 1.31 (±0.25) | 1.00 (±0.23) | 1.51 (±0.21) | 1.49 (±0.24) | 51.00 (±14.65) | 39.93 (±13.74) | |
| Baumgartner et al., 2009 [15] | T | 10 | 0.38 (±0.35) | 0.43 (±0.42) | 0.68 (±0.50) | 1.47 (±0.36) | 34.77 (±24.30) | 12.62 (±10.02) |
| Woelber et al., 2016 [26] | C | 5 | 1.04 (±0.17) | 1.22 (±0.17) | 0.81 (±0.46) | 0.97 (±0.70) | 46.46 (±15.61) | 64.06 (±11.27) |
| T | 10 | 1.20 (±0.30) | 0.54 (±0.30) | 0.88 (±0.49) | 0.84 (±0.47) | 53.50 (±18.68) | 24.20 (±11.39) | |
| Woelber et al., 2019 [27] | C | 15 | 0.83 (±0.22) | 0.74 (±0.18) | 0.57 (±0.19) | 0.48 (±0.12) | 28.39 (±13.31) | 26.92 (±9.90) |
| T | 15 | 0.92 (±0.14) | 0.61 (±0.29) | 0.56 (±0.18) | 0.48 (±0.13) | 30.35 (±11.07) | 23.55 (±13.62) | |
| Overall | C | 39 | 1.00 (±0.35) | 0.92 (±0.28) | 0.99 (±0.51) | 0.99 (±0.52) | 37.93 (±15.71) | 37.93 (±15.69) |
| T | 53 | 1.00 (±0.42) | 0.69 (±0.37) | 0.97 (±0.53) | 1.08 (±0.54) | 42.57 (±19.19) | 27.17 (±15.94) | |
Disclaimer/Publisher’s Note: The statements, opinions and data contained in all publications are solely those of the individual author(s) and contributor(s) and not of MDPI and/or the editor(s). MDPI and/or the editor(s) disclaim responsibility for any injury to people or property resulting from any ideas, methods, instructions or products referred to in the content. |
© 2024 by the authors. Licensee MDPI, Basel, Switzerland. This article is an open access article distributed under the terms and conditions of the Creative Commons Attribution (CC BY) license (https://creativecommons.org/licenses/by/4.0/).
Share and Cite
Woelber, J.P.; Bartha, V.; Baumgartner, S.; Tennert, C.; Schlagenhauf, U.; Ratka-Krüger, P.; Vach, K. Is Diet a Determining Factor in the Induction of Gingival Inflammation by Dental Plaque? A Secondary Analysis of Clinical Studies. Nutrients 2024, 16, 923. https://doi.org/10.3390/nu16070923
Woelber JP, Bartha V, Baumgartner S, Tennert C, Schlagenhauf U, Ratka-Krüger P, Vach K. Is Diet a Determining Factor in the Induction of Gingival Inflammation by Dental Plaque? A Secondary Analysis of Clinical Studies. Nutrients. 2024; 16(7):923. https://doi.org/10.3390/nu16070923
Chicago/Turabian StyleWoelber, Johan Peter, Valentin Bartha, Stefan Baumgartner, Christian Tennert, Ulrich Schlagenhauf, Petra Ratka-Krüger, and Kirstin Vach. 2024. "Is Diet a Determining Factor in the Induction of Gingival Inflammation by Dental Plaque? A Secondary Analysis of Clinical Studies" Nutrients 16, no. 7: 923. https://doi.org/10.3390/nu16070923
APA StyleWoelber, J. P., Bartha, V., Baumgartner, S., Tennert, C., Schlagenhauf, U., Ratka-Krüger, P., & Vach, K. (2024). Is Diet a Determining Factor in the Induction of Gingival Inflammation by Dental Plaque? A Secondary Analysis of Clinical Studies. Nutrients, 16(7), 923. https://doi.org/10.3390/nu16070923

