Microencapsulation of Anthocyanins from Zea mays and Solanum tuberosum: Impacts on Antioxidant, Antimicrobial, and Cytotoxic Activities
Abstract
1. Introduction
2. Materials and Methods
2.1. Chemicals and Reagents
2.2. Plant Material
2.3. Anthocyanin Extraction
2.4. Determination of Total Polyphenol Content (TPC) and Anthocyanin Content
2.5. Microencapsulation
Microencapsulation Process
2.6. Characterization by FTIR
2.7. Morphological Characterization by Scanning Electron Microscope (SEM)
2.8. Antioxidant Capacity
2.9. Antimicrobial Activity by Well Diffusion Agar
2.10. Cell Culture
2.11. MTT Assay
2.12. Determination of the Expression of Apoptosis-Associated Molecules
2.13. Calculation of Apoptotic Index
2.14. Statistical Analysis
3. Results and Discussion
3.1. Total Polyphenol Content (TPC) and Anthocyanin Content
3.2. Fourier Transform Infrared Spectroscopy (FTIR) Analysis
3.2.1. O-H Stretching (3200–3600 cm⁻1)
3.2.2. C-H Stretching (2800–3000 cm−1)
3.2.3. C=O Stretching (1700–1750 cm⁻1)
3.2.4. C=C Stretching (1500–1600 cm⁻1)
3.2.5. C-O and C-O-C Stretching (1000–1300 cm⁻1)
3.3. Morphological Analysis by Scanning Electron Microscope (SEM)
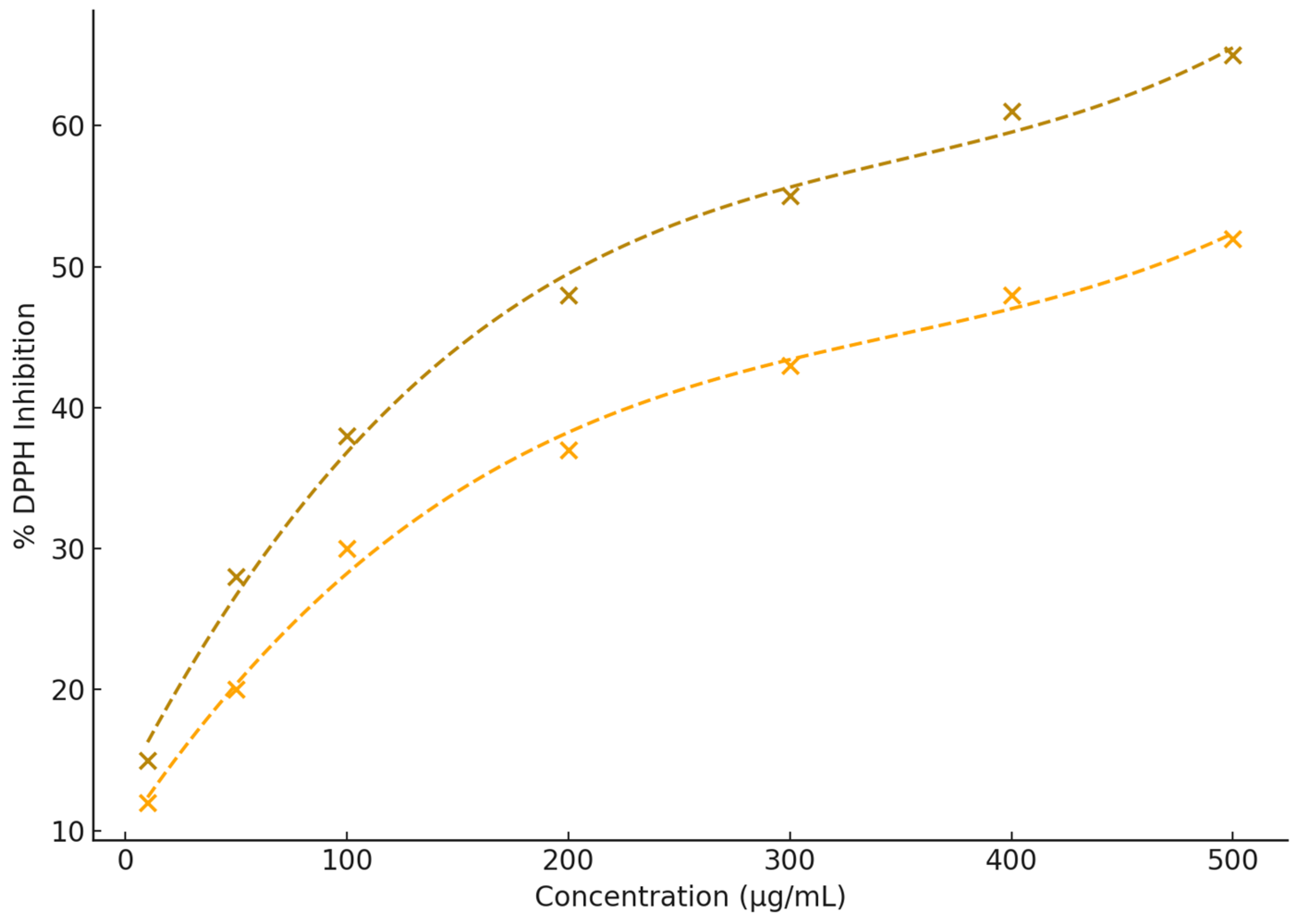
3.4. DPPH Radical Scavenging Activity
3.5. Antimicrobial Activity
3.6. Cytotoxic Activity and Induction of Apoptosis
4. Conclusions
Supplementary Materials
Author Contributions
Funding
Institutional Review Board Statement
Informed Consent Statement
Data Availability Statement
Conflicts of Interest
References
- Marchini, S.; D’Incalci, M.; Broggini, M. New molecules and strategies in the field of anticancer agents. Curr. Med. Chem. Anticancer. Agents 2004, 4, 247–262. [Google Scholar] [CrossRef] [PubMed]
- Gonçalves, A.C.; Nunes, A.R.; Falcão, A.; Alves, G.; Silva, L.R. Dietary effects of anthocyanins in human health: A comprehensive review. Pharmaceuticals 2021, 14, 690. [Google Scholar] [CrossRef] [PubMed]
- Liu, J.; Zhou, H.; Song, L.; Yang, Z.; Qiu, M.; Wang, J.; Shi, S. Anthocyanins: Promising Natural Products with Diverse Pharmacological Activities. Molecules 2021, 26, 3807. [Google Scholar] [CrossRef] [PubMed]
- Barba-Ostria, C.; Carrera-Pacheco, S.E.; Gonzalez-Pastor, R.; Zuñiga, J.; Mayorga-Ramos, A.; Tejera, E.; Guamán, L. Exploring the Multifaceted Biological Activities of Anthocyanins Isolated from Two Andean Berries. Foods 2024, 13, 2625. [Google Scholar] [CrossRef] [PubMed]
- Pappalardo, I.; Convertini, P.; Infantino, V. Anthocyanins. In Natural Molecules in Neuroprotection and Neurotoxicity; Elsevier: Amsterdam, The Netherlands, 2024; pp. 1221–1239. ISBN 9780443237638. [Google Scholar]
- Sangeeta, S.; Rai, S.; Bisht, S.; Nazim, M. Chemical Properties of Anthocyanins Sourced from Different Subtropical Fruits. In Anthocyanins in Subtropical Fruits: Chemical Properties, Processing, and Health Benefits; CRC Press: New York, NY, USA, 2023; pp. 33–58. ISBN 9781003242598. [Google Scholar]
- Guo, Y.; Zhang, H.; Shao, S.; Sun, S.; Yang, D.; Lv, S. Anthocyanin: A review of plant sources, extraction, stability, content determination and modifications. Int. J. Food Sci. Technol. 2022, 57, 7573–7591. [Google Scholar] [CrossRef]
- Teixeira, M.; Tao, W.; Fernandes, A.; Faria, A.; Ferreira, I.M.P.L.V.O.; He, J.; de Freitas, V.; Mateus, N.; Oliveira, H. Anthocyanin-rich edible flowers, current understanding of a potential new trend in dietary patterns. Trends Food Sci. Technol. 2023, 138, 708–725. [Google Scholar] [CrossRef]
- Oancea, S.; Oprean, L. Anthocyanins, from Biosynthesis in Plants to Human Health Benefits. 2011. Available online: https://saiapm.ulbsibiu.ro/cercetare/ACTA_E/AUCFT_2011_I_3_16.pdf (accessed on 12 October 2024).
- Herrera-Balandrano, D.D.; Chai, Z.; Beta, T.; Feng, J.; Huang, W. Blueberry anthocyanins: An updated review on approaches to enhancing their bioavailability. Trends Food Sci. Technol. 2021, 118, 808–821. [Google Scholar] [CrossRef]
- Oancea, S. A review of the current knowledge of thermal stability of anthocyanins and approaches to their stabilization to heat. Antioxidants 2021, 10, 1337. [Google Scholar] [CrossRef]
- Wu, X.; Yan, X.; Zhang, J.; Wu, X.; Zhang, Q.; Zhang, B. Intelligent films based on dual-modified starch and microencapsulated Aronia melanocarpa anthocyanins: Functionality, stability and application. Int. J. Biol. Macromol. 2024, 275, 134076. [Google Scholar] [CrossRef]
- Rocha, F.; de Paula Rezende, J.; Maciel Dos Santos Dias, M.; Rodrigues Arruda Pinto, V.; César Stringheta, P.; Clarissa Dos Santos Pires, A.; Cristina Teixeira Ribeiro Vidigal, M. Complexation of anthocyanins, betalains and carotenoids with biopolymers: An approach to complexation techniques and evaluation of binding parameters. Food Res. Int. 2023, 163, 112277. [Google Scholar] [CrossRef]
- Machado, M.H.; Almeida, A.d.R.; Maciel, M.V.d.O.B.; Vitorino, V.B.; Bazzo, G.C.; da Rosa, C.G.; Sganzerla, W.G.; Mendes, C.; Barreto, P.L.M. Microencapsulation by spray drying of red cabbage anthocyanin-rich extract for the production of a natural food colorant. Biocatal. Agric. Biotechnol. 2022, 39, 102287. [Google Scholar] [CrossRef]
- Cappellini, F.; Marinelli, A.; Toccaceli, M.; Tonelli, C.; Petroni, K. Anthocyanins: From mechanisms of regulation in plants to health benefits in foods. Front. Plant Sci. 2021, 12, 748049. [Google Scholar] [CrossRef] [PubMed]
- Burton-Freeman, B.; Sandhu, A.; Edirisinghe, I. Anthocyanins. In Nutraceuticals; Elsevier: Amsterdam, The Netherlands, 2016; pp. 489–500. ISBN 9780128021477. [Google Scholar]
- Ockermann, P.; Headley, L.; Lizio, R.; Hansmann, J. A review of the properties of anthocyanins and their influence on factors affecting cardiometabolic and cognitive health. Nutrients 2021, 13, 2831. [Google Scholar] [CrossRef] [PubMed]
- Yánez, G.C.; Zambrano Mendoza, J.L.; Caicedo, M.; Heredia, J.; Sangoquiza Caiza, C.A.; Villacrés, E.; Racines Jaramillo, M.R.; Caballero, D. Ficha Técnica de la Variedad de Maíz Negro INIAP-199 “Racimo de Uva”; INIAP, Estación Experimental Santa Catalina, Programa de Maíz; INIAP: Quito, Ecuador, 2016. [Google Scholar]
- Monteros, J.C.; Yumisaca Jiménez, S.F.; Tello Torres, C.M.; Montesdeoca, L.; Reinoso, R.I.A.; Garófalo, J.; Carrera, E.; Andrade-Piedra, J.; Cuesta Subía, H.X. INIAP-Yana Shungo: Variedad Para Consumo en Fresco y Procesado. Boletín Plegable INAP. 2011. Available online: https://repositorioslatinoamericanos.uchile.cl/handle/2250/8270208 (accessed on 19 October 2024).
- Reyes, L.F.; Miller, J.C.; Cisneros-Zevallos, L. Antioxidant capacity, anthocyanins and total phenolics in purple-and red-fleshed potato (Solanum tuberosum L.) genotypes. Am. J. Pot Res. 2005, 82, 271–277. [Google Scholar] [CrossRef]
- Ponder, A.; Hallmann, E.; Kwolek, M.; Średnicka-Tober, D.; Kazimierczak, R. Genetic Differentiation in Anthocyanin Content among Berry Fruits. Curr. Issues Mol. Biol. 2021, 43, 36–51. [Google Scholar] [CrossRef]
- Connor, A.M.; Finn, C.E.; McGhie, T.K.; Alspach, P.A. Genetic and Environmental Variation in Anthocyanins and their Relationship to Antioxidant Activity in Blackberry and Hybridberry Cultivars. J. Am. Soc. Hort. Sci. 2005, 130, 680–687. [Google Scholar] [CrossRef]
- Salarbashi, D.; Bazeli, J.; Fahmideh Rad, E. An update on the new achievements in the nanocapsulation of anthocyanins. Nanomed. J. 2020, 7, 87–97. [Google Scholar]
- Pérez, B.P.; Endara, A.B.; Garrido, J.A.; Ramírez Cárdenas, L.d.L.Á. Extraction of anthocyanins from Mortiño (Vaccinium floribundum) and determination of their antioxidant capacity. Rev. Fac. Nac. Agron. Medellín 2021, 74, 9453–9460. [Google Scholar] [CrossRef]
- Singleton, V.L.; Orthofer, R.; Lamuela-Raventós, R.M. [14] Analysis of total phenols and other oxidation substrates and antioxidants by means of folin-ciocalteu reagent. In Oxidants and Antioxidants Part A; Methods in Enzymology; Elsevier: Amsterdam, The Netherlands, 1999; Volume 299, pp. 152–178. ISBN 9780121822002. [Google Scholar]
- Wrolstad, R.E.; Durst, R.W.; Lee, J. Tracking color and pigment changes in anthocyanin products. Trends Food Sci. Technol. 2005, 16, 423–428. [Google Scholar] [CrossRef]
- Righi da Rosa, J.; Nunes, G.L.; Motta, M.H.; Fortes, J.P.; Cezimbra Weis, G.C.; Rychecki Hecktheuer, L.H.; Muller, E.I.; Ragagnin de Menezes, C.; Severo da Rosa, C. Microencapsulation of anthocyanin compounds extracted from blueberry (Vaccinium spp.) by spray drying: Characterization, stability and simulated gastrointestinal conditions. Food Hydrocoll. 2019, 89, 742–748. [Google Scholar] [CrossRef]
- Laokuldilok, T.; Kanha, N. Microencapsulation of Black Glutinous Rice Anthocyanins Using Maltodextrins Produced from Broken Rice Fraction as Wall Material by Spray Drying and Freeze Drying. J. Food Process. Preserv. 2017, 41, e12877. [Google Scholar] [CrossRef]
- Schindelin, J.; Arganda-Carreras, I.; Frise, E.; Kaynig, V.; Longair, M.; Pietzsch, T.; Preibisch, S.; Rueden, C.; Saalfeld, S.; Schmid, B.; et al. Fiji: An open-source platform for biological-image analysis. Nat. Methods 2012, 9, 676–682. [Google Scholar] [CrossRef] [PubMed]
- Brand-Williams, W.; Cuvelier, M.E.; Berset, C. Use of a free radical method to evaluate antioxidant activity. LWT Food Sci. Technol. 1995, 28, 25–30. [Google Scholar] [CrossRef]
- Cutler, R.R.; Wilson, P. Antibacterial activity of a new, stable, aqueous extract of allicin against methicillin-resistant Staphylococcus aureus. Br. J. Biomed. Sci. 2004, 61, 71–74. [Google Scholar] [CrossRef] [PubMed]
- Barone, D.; Cito, L.; Tommonaro, G.; Abate, A.A.; Penon, D.; De Prisco, R.; Penon, A.; Forte, I.M.; Benedetti, E.; Cimini, A.; et al. Antitumoral potential, antioxidant activity and carotenoid content of two Southern Italy tomato cultivars extracts: San Marzano and Corbarino. J. Cell. Physiol. 2018, 233, 1266–1277. [Google Scholar] [CrossRef]
- Gao, C.; Wang, A.-Y. Significance of increased apoptosis and Bax expression in human small intestinal adenocarcinoma. J. Histochem. Cytochem. 2009, 57, 1139–1148. [Google Scholar] [CrossRef]
- Vaskivuo, T.E.; Stenbäck, F.; Tapanainen, J.S. Apoptosis and apoptosis-related factors Bcl-2, Bax, tumor necrosis factor-alpha, and NF-kappaB in human endometrial hyperplasia and carcinoma. Cancer 2002, 95, 1463–1471. [Google Scholar] [CrossRef]
- Čeryová, N. Monitoring of Selected Heavy Metals and Bioactive Compounds in Potato (Solanum tuberosum L.) Tubers. Agrobiodivers. Improv. Nutr. Health Life Qual. 2022, 6, 213–219. [Google Scholar] [CrossRef]
- Volnová, B.; Musilová, J.; Kopernická, M.; Kavalcová, P.; Harangozo, Ľ.; Medvecký, M. The content of total polyphenols in different varieties of Solanum tuberosum grow in Spiš area. Potravinarstvo Slovak. J. Food Sci. 2016, 10, 72–77. [Google Scholar] [CrossRef]
- Rodriguez-Saona, L.E.; Giusti, M.M.; Wrolstad, R.E. Anthocyanin pigment composition of red-fleshed potatoes. J. Food Sci. 1998, 63, 458–465. [Google Scholar] [CrossRef]
- Neciosup-Puican, A.A.; Barreda, E.F.; Quinayá, C.P. Stability and content of anthocyanins in Peruvian purple potato INIA 328—Kulli Papa. LWT 2024, 199, 116125. [Google Scholar] [CrossRef]
- Riveros-Loaiza, L.M.; Benhur-Cardona, N.; Lopez-Kleine, L.; Soto-Sedano, J.C.; Pinzón, A.M.; Mosquera-Vásquez, T.; Roda, F. Uncovering anthocyanin diversity in potato landraces (Solanum tuberosum L. Phureja) using RNA-seq. PLoS ONE 2022, 17, e0273982. [Google Scholar] [CrossRef] [PubMed]
- Sun, Y.; Chi, J.; Ye, X.; Wang, S.; Liang, J.; Yue, P.; Xiao, H.; Gao, X. Nanoliposomes as delivery system for anthocyanins: Physicochemical characterization, cellular uptake, and antioxidant properties. LWT 2021, 139, 110554. [Google Scholar] [CrossRef]
- Wang, N.; Li, X.-J.; Wang, L.; Li, B.; Tian, J.-L. Design of a liposome casein hydrogel as an efficient front-end homeostatic anthocyanin loading system. Int. J. Biol. Macromol. 2024, 278, 134928. [Google Scholar] [CrossRef]
- Aldiyeva, A.B.; Khamitova, D.D. Influence of freeze-drying parameters on the content of polyphenols and anthocyanins in strawberries. J. Almaty Technol. Univ. 2023, 1, 52–56. [Google Scholar] [CrossRef]
- Mohammadalinejhad, S.; Kurek, M.A. Microencapsulation of anthocyanins—Critical review of techniques and wall materials. Appl. Sci. 2021, 11, 3936. [Google Scholar] [CrossRef]
- Gulin-Sarfraz, T.; Kalantzopoulos, G.N.; Haugen, J.-E.; Axelsson, L.; Raanaas Kolstad, H.; Sarfraz, J. Controlled Release of Volatile Antimicrobial Compounds from Mesoporous Silica Nanocarriers for Active Food Packaging Applications. Int. J. Mol. Sci. 2022, 23, 7032. [Google Scholar] [CrossRef]
- Fangueiro, J.F.; Souto, E.B.; Silva, A.M. Encapsulation of nutraceuticals in novel delivery systems. In Nutraceuticals; Elsevier: Amsterdam, The Netherlands, 2016; pp. 305–342. ISBN 9780128043059. [Google Scholar]
- Alemzadeh, I.; Hajiabbas, M.; Pakzad, H.; Dehkordi, S.S.; Vossoughi, A. Encapsulation of food components and bioactive ingredients and targeted release. Int. J. Eng. 2020, 33, 1–11. [Google Scholar] [CrossRef]
- Patil, S.; Chaudhari, B.; Acharya, M. Emerging Nano-Formulation Strategies for Nutraceutical Delivery. Adv. Food Process. Technol. 2023, 4, 127. [Google Scholar] [CrossRef]
- Boggia, R.; Zunin, P.; Turrini, F. Functional foods and food supplements. Appl. Sci. 2020, 10, 8538. [Google Scholar] [CrossRef]
- Chen, T.; Zhang, M.; Bhandari, B.; Yang, Z. Micronization and nanosizing of particles for an enhanced quality of food: A review. Crit. Rev. Food Sci. Nutr. 2018, 58, 993–1001. [Google Scholar] [CrossRef] [PubMed]
- Catalkaya, G.; Guldiken, B.; Capanoglu, E. Encapsulation of anthocyanin-rich extract from black chokeberry (Aronia melanocarpa) pomace by spray drying using different coating materials. Food Funct. 2022, 13, 11579–11591. [Google Scholar] [CrossRef] [PubMed]
- Takahata, Y.; Kai, Y.; Tanaka, M.; Nakayama, H.; Yoshinaga, M. Enlargement of the variances in amount and composition of anthocyanin pigments in sweetpotato storage roots and their effect on the differences in DPPH radical-scavenging activity. Sci. Hortic. 2011, 127, 469–474. [Google Scholar] [CrossRef]
- Frestasya, L.; Pangsibidang, R.C.A. Purple sweet potato antioxidants for oxidative stress caused by intense physical exercise. Pharm. Educ. 2024, 24, 128–133. [Google Scholar] [CrossRef]
- Shi, Y.; Chen, X.; Gao, Q.; Zou, Y.; Xing, D.; Chen, R.; He, X.; Li, Q. Preparation and chemical properties of microencapsulation developed with mulberry anthocyanins and silk fibroin. Ind. Crops Prod. 2024, 212, 118383. [Google Scholar] [CrossRef]
- Baysal, E.; Kazan, A. Microencapsulation of black carrot anthocyanins for enhanced thermal stability. J. Innov. Sci. Eng. 2024, 8, 92–102. [Google Scholar] [CrossRef]
- Yuan, G.; Xia, X.; Guan, Y.; Yi, H.; Lai, S.; Sun, Y.; Cao, S. The antimicrobial quantitative relationship and mechanism of plant flavonoids to gram-positive bacteria. Res. Sq. 2022, 15, 1190. [Google Scholar] [CrossRef]
- Tallam, A.K.; Sahithi, A.; Nuli, M.V. Evaluation of antibacterial property of anthyocyanin extracted from brassica oleracea against gram positive and gram negative bacteria by using erythromycin as a standard drug. Int. J. Indig. Herb. Drug. 2023. [Google Scholar] [CrossRef]
- Álvarez-Martínez, F.J.; Barrajón-Catalán, E.; Encinar, J.A.; Rodríguez-Díaz, J.C.; Micol, V. Antimicrobial Capacity of Plant Polyphenols against Gram-positive Bacteria: A Comprehensive Review. Curr. Med. Chem. 2020, 27, 2576–2606. [Google Scholar] [CrossRef]
- Bouarab-Chibane, L.; Forquet, V.; Lantéri, P.; Clément, Y.; Léonard-Akkari, L.; Oulahal, N.; Degraeve, P.; Bordes, C. Antibacterial Properties of Polyphenols: Characterization and QSAR (Quantitative Structure-Activity Relationship) Models. Front. Microbiol. 2019, 10, 829. [Google Scholar] [CrossRef]
- Zhao, X.; Zhang, C.; Guigas, C.; Ma, Y.; Corrales, M.; Tauscher, B.; Hu, X. Composition, antimicrobial activity, and antiproliferative capacity of anthocyanin extracts of purple corn (Zea mays L.) from China. Eur. Food Res. Technol. 2009, 228, 759–765. [Google Scholar] [CrossRef]
- Pan, F.; Liu, Y.; Liu, J.; Wang, E. Stability of blueberry anthocyanin, anthocyanidin and pyranoanthocyanidin pigments and their inhibitory effects and mechanisms in human cervical cancer HeLa cells. RSC Adv. 2019, 9, 10842–10853. [Google Scholar] [CrossRef] [PubMed]
- Lazzè, M.C.; Savio, M.; Pizzala, R.; Cazzalini, O.; Perucca, P.; Scovassi, A.I.; Stivala, L.A.; Bianchi, L. Anthocyanins induce cell cycle perturbations and apoptosis in different human cell lines. Carcinogenesis 2004, 25, 1427–1433. [Google Scholar] [CrossRef] [PubMed]
- Navarro, M.; Arnaez, E.; Moreira, I.; Quesada, S.; Azofeifa, G.; Wilhelm, K.; Vargas, F.; Chen, P. Polyphenolic Characterization, Antioxidant, and Cytotoxic Activities of Mangifera indica Cultivars from Costa Rica. Foods 2019, 8, 384. [Google Scholar] [CrossRef]
- Wang, L.; Li, X.; Wang, B. The cytotoxicity activity of Hohenbuehelia serotina polyphenols on HeLa cells via induction of cell apoptosis and cell cycle arrest. Food Chem. Toxicol. 2019, 124, 239–248. [Google Scholar] [CrossRef]
- Koss-Mikołajczyk, I.; Bartoszek, A. Relationship between Chemical Structure and Biological Activity Evaluated In Vitro for Six Anthocyanidins Most Commonly Occurring in Edible Plants. Molecules 2023, 28, 6156. [Google Scholar] [CrossRef]
- Janseerat; Kolekar, M.; Reddy, C.S.; Sharma, S.; Roy, S. Anthocyanin-Based Natural Color Induced Intelligent Food Packaging Sensor: A Review. Curr. Food Sci. Technol. Rep. 2024, 2, 157–167. [Google Scholar] [CrossRef]
- Koop, B.L.; Soares, L.S.; Cesca, K.; Souza, V.G.L.; Valencia, G.A.; Monteiro, A.R. Enhancing the stability of anthocyanins extracts through adsorption into nanoclays—Development of a smart biohybrid sensor for intelligent food packaging or as natural food additive/preservative. Food Bioprod. Process. 2024, 147, 315–326. [Google Scholar] [CrossRef]
- Selvamuthukumaran, M. Natural Anthocyanins from Subtropical Fruits for Cancer Prevention. In Anthocyanins in Subtropical Fruits: Chemical Properties, Processing, and Health Benefits; CRC Press: New York, NY, USA, 2023; pp. 97–103. ISBN 9781003242598. [Google Scholar]
- Kim, M.J.; Paramanantham, A.; Lee, W.S.; Yun, J.W.; Chang, S.H.; Kim, D.C.; Park, H.S.; Choi, Y.H.; Kim, G.S.; Ryu, C.H.; et al. Anthocyanins Derived from Vitis coignetiae Pulliat Contributes Anti-Cancer Effects by Suppressing NF-κB Pathways in Hep3B Human Hepatocellular Carcinoma Cells and In Vivo. Molecules 2020, 25, 5445. [Google Scholar] [CrossRef]








| Parameter | S. tuberosum | Z. mays |
|---|---|---|
| TPC (mg of gallic acid equivalents (GAE) per kg of fresh weight (fw)) | 554 * ± 25.16 | 494 * ± 24.03 |
| Anthocyanin content (mg C3G/100 g) | 71.40 | 63.5 |
| Wavenumber (cm⁻1) | Functional Group | Non-Microencapsulated (Qualitative Intensity) | Microencapsulated (Qualitative Intensity) |
|---|---|---|---|
| 3200–3600 | O-H stretching (hydroxyl) | High | Medium |
| 2800–3000 | C-H stretching (alkanes) | Medium | Low |
| 1700–1750 | C=O stretching (carbonyl) | High | Low |
| 1500–1600 | C=C stretching (aromatic rings) | Medium | Low |
| 1000–1300 | C-O, C-O-C stretching (ethers, glycosidic bonds) | Medium | Low |
| 1027 | C-O-C stretching (polysaccharides, matrix interactions) | - | Medium |
| 840–760 | New peaks (maltodextrin matrix vibrations) | - | Medium |
| Wavenumber (cm⁻1) | Functional Group | Non-Microencapsulated (Qualitative Intensity) | Microencapsulated (Qualitative Intensity) |
|---|---|---|---|
| 3200–3600 | O-H stretching (hydroxyl) | High | Medium |
| 2800–3000 | C-H stretching (alkanes) | Low | Medium |
| 1700–1750 | C=O stretching (carbonyl) | High | Low |
| 1500–1600 | C=C stretching (aromatic rings) | Medium | Low |
| 1000–1300 | C-O, C-O-C stretching (ethers, glycosidic bonds) | Medium | Low |
| 1027 | C-O-C stretching (polysaccharides, matrix interactions) | - | Medium |
| 840–760 | New peaks (maltodextrin matrix vibrations) | - | Medium |
| Bacterial Strain | MIC (mg/mL) | |
|---|---|---|
| S. tuberosum | Z. mays | |
| S. aureus | 53.4 | 53.4 |
| L. monocytogenes | 53.4 | 53.4 |
| P. aeruginosa | 53.4 | 53.4 |
| B. cereus | 26.7 | 26.7 |
| E. coli | 53.4 | 53.4 |
Disclaimer/Publisher’s Note: The statements, opinions and data contained in all publications are solely those of the individual author(s) and contributor(s) and not of MDPI and/or the editor(s). MDPI and/or the editor(s) disclaim responsibility for any injury to people or property resulting from any ideas, methods, instructions or products referred to in the content. |
© 2024 by the authors. Licensee MDPI, Basel, Switzerland. This article is an open access article distributed under the terms and conditions of the Creative Commons Attribution (CC BY) license (https://creativecommons.org/licenses/by/4.0/).
Share and Cite
Barba-Ostria, C.; Carrero, Y.; Guamán-Bautista, J.; López, O.; Aranda, C.; Debut, A.; Guamán, L.P. Microencapsulation of Anthocyanins from Zea mays and Solanum tuberosum: Impacts on Antioxidant, Antimicrobial, and Cytotoxic Activities. Nutrients 2024, 16, 4078. https://doi.org/10.3390/nu16234078
Barba-Ostria C, Carrero Y, Guamán-Bautista J, López O, Aranda C, Debut A, Guamán LP. Microencapsulation of Anthocyanins from Zea mays and Solanum tuberosum: Impacts on Antioxidant, Antimicrobial, and Cytotoxic Activities. Nutrients. 2024; 16(23):4078. https://doi.org/10.3390/nu16234078
Chicago/Turabian StyleBarba-Ostria, Carlos, Yenddy Carrero, Jéssica Guamán-Bautista, Orestes López, Christian Aranda, Alexis Debut, and Linda P. Guamán. 2024. "Microencapsulation of Anthocyanins from Zea mays and Solanum tuberosum: Impacts on Antioxidant, Antimicrobial, and Cytotoxic Activities" Nutrients 16, no. 23: 4078. https://doi.org/10.3390/nu16234078
APA StyleBarba-Ostria, C., Carrero, Y., Guamán-Bautista, J., López, O., Aranda, C., Debut, A., & Guamán, L. P. (2024). Microencapsulation of Anthocyanins from Zea mays and Solanum tuberosum: Impacts on Antioxidant, Antimicrobial, and Cytotoxic Activities. Nutrients, 16(23), 4078. https://doi.org/10.3390/nu16234078

