Iodine Bioavailability and Biochemical Effects of Brassica oleracea var. sabellica L. Biofortified with 8-Hydroxy-7-iodo-5-quinolinesulfonic Acid in Wistar Rats
Highlights
- Iodine from kale biofortified with 8-hydroxy-7-iodo-5-quinolinesulfonic acid 5QSA has a good bioavailability in Wistar rats.
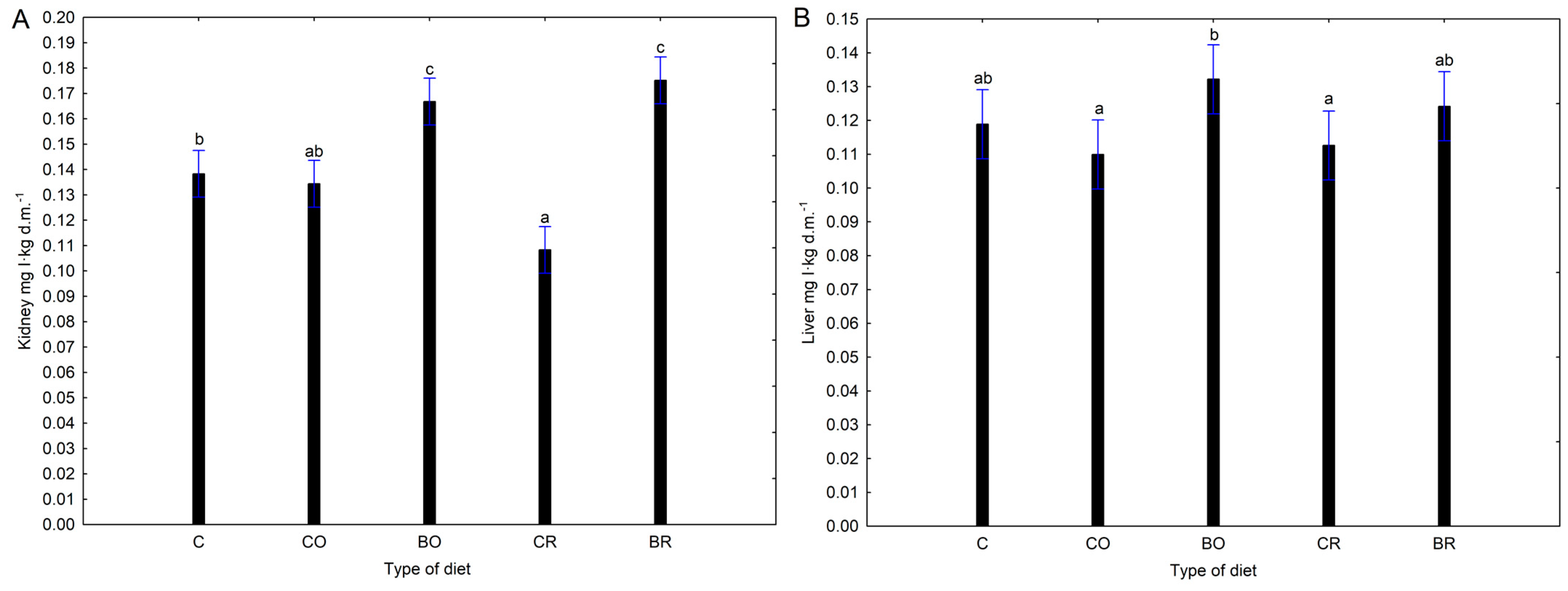
- Rats fed kale biofortified with iodoquinoline had higher iodine levels in their urine and kidneys.
- Dietary intake of kale biofortified with 8-OH-7-I-5QSA significantly increased the total antioxidant status in rat serum.
- Dietary intake of kale biofortified with 8-OH-7-I-5QSA had a positive effect on study blood parameters.
- Biofortified kale Brassica oleracea var. sabellica L. can be considered a potential source of iodine in the daily diet.
Abstract
1. Introduction
2. Materials and Methods
2.1. Analysis of Plant Material
2.2. Animal Study
2.3. Iodine Content in Urine, Faeces, and Selected Tissues
2.4. Analysis of Serum
2.5. Statistical Analysis
3. Results
3.1. Iodine Content and Basic Chemical Composition in Plant Material
3.2. Body Weight Gain, Weight of Selected Organs
3.3. Iodine Excretion in Urine, Faeces, and Selected Organs
3.4. Selected Biochemical Parameters
4. Discussion
5. Conclusions
6. Patents
Author Contributions
Funding
Institutional Review Board Statement
Informed Consent Statement
Data Availability Statement
Conflicts of Interest
References
- Delange, F. The role of iodine in brain development. Proc. Nutr. Soc. 2000, 59, 75–79. [Google Scholar] [CrossRef] [PubMed]
- Andersson, M.; Takkouche, B.; Egli, I.; Allen, H.E.; Benoist, B. Current global iodine status and progress over the last decade towards the elimination of iodine deficiency. Bull. World Health Organ. 2005, 83, 518–525. [Google Scholar] [PubMed] [PubMed Central]
- Grasberger, H.; Refetoff, S. Genetic causes of congenital hypothyroidism due to dyshormonogenesis. Curr. Opin. Pediatr. 2011, 23, 421–428. [Google Scholar] [CrossRef] [PubMed]
- Han, X.; Ding, S.; Lu, J.; Li, Y. Global, regional, and national burdens of common micronutrient deficiencies from 1990 to 2019: A secondary trend analysis based on the Global Burden of Disease 2019 study. eClinicalMedicine 2022, 44, 101299. [Google Scholar] [CrossRef]
- Walker, S.P.; Wachs, T.D.; Gardner, J.M.; Lozoff, B.; Wasserman, G.A.; Pollitt, E.; Carter, J.A. Child development: Risk factors for adverse outcomes in developing countries. Lancet 2007, 369, 145–157. [Google Scholar] [CrossRef]
- Melse-Boonstra, A.; Jaiswal, N. Iodine deficiency in pregnancy, infancy and childhood and its consequences for brain development. Best Pract. Res. Clin. Endocrinol. Metab. 2010, 24, 29–38. [Google Scholar] [CrossRef]
- Skeaff, S. Iodine deficiency in pregnancy: The effect on neurodevelopment in the child. Nutrients 2011, 3, 265–273. [Google Scholar] [CrossRef]
- Zimmermann, M.B.; Jooste, P.L.; Pandav, C.S. Iodine-deficiency disorders. Lancet 2008, 372, 1251–1262. [Google Scholar] [CrossRef]
- O’donnell, M.; Mente, A.; Alderman, M.H.; Brady, A.J.B.; Diaz, R.; Gupta, R.; López-Jaramillo, P.; Luft, F.C.; Lüscher, T.F.; Mancia, G.; et al. Salt and cardiovascular disease: Insufficient evidence to recommend low sodium intake. Eur. Heart J. 2020, 41, 3363–3373. [Google Scholar] [CrossRef]
- World Health Organization. People in the WHO European Region at Greater Risk of Iodine Deficiency Due to Changing Diets. Available online: https://www.who.int/azerbaijan/news/item/28-06-2024-people-in-the-who-european-region-at-greater-risk-of-iodine-deficiency-due-to-changing-diets (accessed on 24 June 2024).
- Meharg, A. Marschner’s Mineral Nutrition of Higher Plants, 3rd ed.; Marschner, P., Ed.; Elsevier: Amsterdam, The Netherlands; Academic Press: Amsterdam, The Netherlands, 2011; p. 684. [Google Scholar] [CrossRef]
- Kiferle, C.; Gonzali, S.; Holwerda, H.T.; Real Ibaceta, R.; Perata, P. Tomato fruits: A good target for iodine biofortification. Front. Plant Sci. 2013, 4, 205. [Google Scholar] [CrossRef]
- Incrocci, L.; Carmassi, G.; Maggini, R.; Poli, C.; Saidov, D.; Tamburini, C.; Kiferle, C.; Perata, P.; Pardossi, A. Iodine accumulation and tolerance in sweet basil (Ocimum basilicum L.) with green or purple leaves grown in floating system technique. Front. Plant Sci. 2019, 10, 1494. [Google Scholar] [CrossRef] [PubMed]
- Sabatino, L.; D’Anna, F.; Iapichino, G.; Moncada, A.; D’Anna, E.; De Pasquale, C. Interactive effects of genotype and molybdenum supply on yield and overall fruit quality of tomato. Front. Plant Sci. 2019, 9, 1922. [Google Scholar] [CrossRef] [PubMed]
- Sabatino, L.; Ntatsi, G.; Iapichino, G.; D’Anna, F.; De Pasquale, C. Effect of selenium enrichment and type of application on yield, functional quality and mineral composition of curly endive grown in a hydroponic system. Agronomy 2019, 9, 207. [Google Scholar] [CrossRef]
- Sabatino, L.; Consentino, B.B.; Rouphael, Y.; De Pasquale, C.; Iapichino, G.; D’anna, F.; La Bella, S. Protein hydrolysates and mo-biofortification interactively modulate plant performance and quality of ‘canasta’ lettuce grown in a protected environment. Agronomy 2021, 11, 1023. [Google Scholar] [CrossRef]
- Sabatino, L.; La Bella, S.; Ntatsi, G.; Iapichino, G.; D’anna, F.; De Pasquale, C.; Consentino, B.B.; Rouphael, Y. Selenium biofortification and grafting modulate plant performance and functional fures of cherry tomato grown in a soilless system. Sci. Hortic. 2021, 285, 110095. [Google Scholar] [CrossRef]
- Sabatino, L.; Di Gaudio, F.; Consentino, B.B.; Rouphael, Y.; El-Nakhel, C.; La Bella, S.; Vasto, S.; Mauro, R.P.; D’anna, F.; Iapichino, G.; et al. Iodine biofortification counters micronutrient deficiency and improve functional quality of open field grown curly endive. Horticulturae 2021, 7, 58. [Google Scholar] [CrossRef]
- La Bella, S.; Consentino, B.B.; Rouphael, Y.; Ntatsi, G.; De Pasquale, C.; Iapichino, G.; Sabatino, L. Impact of ecklonia maxima seaweed extract and mo foliar trments on biofortification, spinach yield, quality and NUE. Plants 2021, 10, 1139. [Google Scholar] [CrossRef]
- Puccinelli, M.; Landi, M.; Maggini, R.; Pardossi, A.; Incrocci, L. Iodine biofortification of sweet basil and lettuce grown in two hydroponic systems. Sci. Hortic. 2021, 276, 109783. [Google Scholar] [CrossRef]
- Garg, M.; Sharma, N.; Sharma, S.; Kapoor, P.; Kumar, A.; Chunduri, V.; Arora, P. Biofortified crops generated by breeding, agronomy, and transgenic approaches are improving lives of millions of people around the world. Front. Nutr. 2018, 5, 12. [Google Scholar] [CrossRef]
- Bouis, H.E.; Welch, R.M. Biofortification—A sustainable agricultural strategy for reducing micronutrient malnutrition in the global south. Crop Sci. 2010, 50, 20–32. [Google Scholar] [CrossRef]
- Gómez-Galera, S.; Rojas, E.; Sudhakar, D.; Zhu, C.; Pelacho, A.M.; Capell, T.; Christou, P. Critical evaluation of strategies for mineral fortification of staple food crops. Transgenic Res. 2010, 19, 165–180. [Google Scholar] [CrossRef] [PubMed]
- Basharat, A.; Asghar, A.; Muhammad, T.; Shafaqat, A. Growth, seed yield and quality of mungbean as influenced by foliar application of iron sulphate. Pak. J. Life Soc. Sci. 2014, 12, 20–25. [Google Scholar]
- Smoleń, S.; Sady, W. Influence of iodine form and application method on the effectiveness of iodine biofortification, nitrogen metabolism as well as the content of mineral nutrients and heavy metals in spinach plants (Spinacia oleracea L.). Sci. Hortic. 2012, 143, 176–183. [Google Scholar] [CrossRef]
- Medrano-Macias, J.; Leija-Martínez, P.; González-Morales, S.; Juárez-Maldonado, A.; Benavides Mendoza, A. Use of iodine to biofortify and promote growth and stress tolerance in crops. Front. Plant Sci. 2016, 7, 1146. [Google Scholar] [CrossRef]
- Golob, A.; Novak, T.; Maršić, N.K.; Šircelj, H.; Stibilj, V.; Jerše, A.; Kroflič, A.; Germ, M. Biofortification with selenium and iodine changes morphological properties of Brassica oleracea L. var. gongylodes) and increases their contents in tubers. Plant Physiol. Biochem. 2020, 150, 234–243. [Google Scholar] [CrossRef]
- Sularz, O.; Smoleń, S.; Koronowicz, A.; Kowalska, I.; Leszczyńska, T. Chemical composition of lettuce (Lactuca sativa L.) biofortified with iodine by KIO3, 5-Iodo-, 3.5-Diiodosalicylic acid in a Hydrophonic Cultivation. Agronomy 2020, 10, 1022. [Google Scholar] [CrossRef]
- Smoleń, S.; Kowalska, I.; Skoczylas, Ł.; Tabaszewska, M.; Pitala, J.; Mrożek, J.; Kovacik, P. Effectiveness of enriching lettuce with iodine using 5-iodosalicylic and 3,5-diiodosalicylic acids and the chemical composition of plants depending on the type of soil in a pot experiment. Food Chem. 2022, 382, 132347. [Google Scholar] [CrossRef]
- Halka, M.; Smoleń, S.; Czernicka, M.; Klimek-Chodacka, M.; Pitala, J.; Tutaj, K. Iodine biofortification through expression of HMT, SAMT and S3H genes in Solanum lycopersicum L. Plant Physiol. Biochem. 2019, 144, 35–48. [Google Scholar] [CrossRef]
- Halka, M.; Smoleń, S.; Ledwożyw-Smoleń, I.; Sady, W. Iodosalicylates and iodobenzoates supplied to tomato plants affect the antioxidative and sugar metabolism differently than potassium iodide. Folia Hortic. 2019, 31, 385–400. [Google Scholar] [CrossRef]
- Dyląg, A.; Smoleń, S.; Wisła-Świder, A.; Kowalska, I.; Sularz, O.; Krzemińska, J.; Pitala, J.; Koronowicz, A. Evaluation of the chemical composition and nutritional value of lettuce (Lactuca sativa L.) biofortified in hydroponics with iodine in the form of iodoquinolines. Front. Plant Sci. 2023, 14, 1288773. [Google Scholar] [CrossRef]
- Krzemińska, J.; Smoleń, S.; Kowalska, I.; Pitala, J.; Sularz, O.; Koronowicz, A. Effect of Biofortification with Iodine by 8-Hydroxy-7-iodo-5-quinolinesulfonic Acid and 5-Chloro-7-iodo-8-quinolinol on the Chemical Composition and Antioxidant Properties of Potato Tubers (Solanum tuberosum L.) in a Pot Experiment. Appl. Sci. 2023, 13, 4659. [Google Scholar] [CrossRef]
- Krawczyk, K.; Smoleń, S.; Wisła-Świder, A.; Kowalska, I.; Kiełbasa, D.; Pitala, J.; Krzemińska, J.; Waśniowska, J.; Koronowicz, A. Kale (Brassica oleracea L. var. sabellica) biofortified with iodoquinolines: Effectiveness of enriching with iodine and influence on chemical composition. Sci. Hortic. 2024, 323, 112519. [Google Scholar] [CrossRef]
- Waśniowska, J.; Leszczyńska, T.; Kopeć, A.; Piątkowska, E.; Smoleń, S.; Krzemińska, J.; Kowalska, I.; Słupski, J.; Piasna-Słupecka, E.; Krawczyk, K.; et al. Curly Kale (Brassica oleracea var. Sabellica L.) Biofortified with 5,7-Diiodo-8-quinolinol: The Influence of Heat Treatment on Iodine Level, Macronutrient Composition and Antioxidant Content. Nutrients 2023, 15, 4730. [Google Scholar] [CrossRef] [PubMed]
- Krzemińska, J.; Kapusta-Duch, J.; Smoleń, S.; Kowalska, I.; Słupski, J.; Skoczeń-Słupska, R.; Krawczyk, K.; Waśniowska, J.; Koronowicz, A. Iodine enriched kale (Brassica oleracea var. sabellica L.)—The influence of heat treatments on its iodine content, 765 basic composition and antioxidative properties. PLoS ONE 2024, 19, e0304005. [Google Scholar] [CrossRef]
- Matada, B.S.; Pattanashettar, R.; Yernale, N.G. A comprehensive review on the biological interest of quinoline and its derivatives. Bioorganic Med. Chem. 2021, 32, 115973. [Google Scholar] [CrossRef]
- Satheesh, N.; Workneh Fanta, S.; Yildiz, F. Kale: Review on nutritional composition, bio-active compounds, anti-nutritional factors, health beneficial properties and value-added products. Cogent Food Agric. 2020, 6. [Google Scholar] [CrossRef]
- Šamec, D.; Urlić, B.; Salopek-Sondi, B. Kale (Brassica oleracea var. acephala) as a superfood: Review of the scientific dvidence behind the statement. Crit. Rev. Food Sci. Nutr. 2019, 59, 2411–2422. [Google Scholar] [CrossRef]
- Total Dietary Fiber—Assay Procedure—Megazyme. Available online: https://www.megazyme.com/documents/Assay_Protocol/K-TDFR-200A_DATA.pdf (accessed on 1 February 2024).
- AOAC. Official Methods of Analysis, 18th ed.; Association of Official Analytical Chemists International: Gaithersburg, MD, USA, 2006. [Google Scholar]
- Standard Operation Procedure. Ref. Ares(2020)1848056. 31 March 2020. Available online: https://ec.europa.eu/research/participants/documents/downloadPublic?documentIds=080166e5cd8d669b&appId=PPGMS (accessed on 1 February 2024).
- Smoleń, S.; Kowalska, I.; Kovácik, P.; Sady, W.; Grzanka, M.; Kutman, U.B. Changes in the Chemical Composition of Six Lettuce Cultivars (Lactuca sativa L.) in Response to Biofortification with Iodine and Selenium Combined with Salicylic Acid Application. Agronomy 2019, 9, 660. [Google Scholar] [CrossRef]
- PN-EN: 15111:2008; Foodstuffs—Determination of Trace Elements—Determination of Iodine Content by ICP-MS (Inductively Coupled Plasma Mass Spectrometry). Polish Committee for Standardisation: Warsaw, Poland, 2008. Available online: https://sklep.pkn.pl/pn-en-15111-2008p.html (accessed on 22 January 2024).
- Reeves, P.G. Components of the AIN-93 diets as improvements in the AIN-76A diet. J. Nutr. 1997, 127, 838–841. [Google Scholar] [CrossRef]
- Friedewald, W.T.; Fredrick, D.S.; Levy, R.I. Estimation of concentration of low-density lipoprotein cholesterol in plasma, without use of preparative ultracentrifuge. Clin. Chem. 1972, 18, 499–502. [Google Scholar] [CrossRef]
- Ohkawa, H.; Ohishi, N.; Yagi, K. Assay for lipid peroxides in animal tissues by thiobarbituric acid reaction. Anal. Biochem. 1979, 95, 351–358. [Google Scholar] [CrossRef] [PubMed]
- Kopeć, A.; Piątkowska, E.; Bieżanowska-Kopeć, R.; Pysz, M.; Koronowicz, A.; Kapusta-Duch, J.; Smoleń, S.; Rakoczy, R.; Skoczylas, Ł.; Leszczyńska, T.; et al. Effect of lettuce biofortified with iodine by soil fertilization on iodine concentration in various tissues and selected biochemical parameters in serum of Wistar rats. J. Funct. Foods 2015, 14, 479–486. [Google Scholar] [CrossRef]
- Ayaz, F.A.; Glew, R.H.; Millson, M.; Huang, H.S.; Chuang, L.T.; Sanz, C.; Hayirlioglu-Ayaz, S. Nutrient contents of kale (Brassica oleraceae L. var. acephala DC). Food Chem. 2006, 96, 572–579. [Google Scholar] [CrossRef]
- Zhang, B.; Hu, Z.; Zhang, Y.; Li, Y.; Zhou, S.; Chen, G. A putative functional MYB transcription factor induced by low temperature regulates anthocyanin biosynthesis in purple kale (Brassica Oleracea var. acephala f. tricolor). Plant Cell Rep. 2012, 31, 281–289. [Google Scholar] [CrossRef]
- Prade, T.; Muneer, F.; Berndtsson, E.; Nynäs, A.L.S.; Svensson, S.E.; Newson, W.R.; Johansson, E. Protein fractionation of broccoli (Brassica oleracea, var. Italica) and kale (Brassica oleracea, var. Sabellica) residual leaves—A pre-feasibility assessment and evaluation of fraction phenol and fibre content. Food Bioprod. Process. 2021, 130, 229–243. [Google Scholar] [CrossRef]
- Pitura, K.; Jarosz, Z. Chemical composition and biological value of kale depending on the varied mineral fertilization. Agron. Sci. 2020, 78, 97–107. [Google Scholar] [CrossRef]
- Korus, A. Kale: A Valuable Brassica Vegetable. Part II. The nutritional Value of kale. Ferment. Fruit Veg. Ind. 2015, 2, 13–15. [Google Scholar] [CrossRef]
- Weickert, M.O.; Pfeiffer, A.F.H. Metabolic Effects of Dietary Fiber and Prevention of Diabetes. J. Nutr. 2008, 138, 439–442. [Google Scholar] [CrossRef]
- Piątkowska, E.; Kopeć, A.; Bieżanowska-Kopeć, R.; Pysz, M.; Kapusta-Duch, J.; Koronowicz, A.A.; Smoleń, S.; Skoczylas, Ł.; Ledwożyw-Smoleń, I.; Rakoczy, R.; et al. The Impact of Carrot Enriched in Iodine through Soil Fertilization on Iodine Concentration and Selected Biochemical Parameters in Wistar Rats. PLoS ONE 2016, 11, e0152680. [Google Scholar] [CrossRef]
- Rakoczy, R.; Kopeć, A.; Piątkowska, E.; Smoleń, S.; Skoczylas, Ł.; Leszczyńska, T.; Sady, W. The Iodine Content in Urine, Faeces and Selected Organs of Rats Fed Lettuce Biofortified with Iodine Through Foliar Application. Biol. Trace Elem. Res. 2016, 174, 347–355. [Google Scholar] [CrossRef]
- Sherer, T.T.; Thrall, K.D.; Bull, R.J. Comparison of toxicity induced by iodine and iodide in male and female rats. J. Toxicol. Environ. Health 1991, 32, 89–101. [Google Scholar] [CrossRef] [PubMed]
- Kanno, J.; Matsuoka, C.; Furuta, K.; Onodera, H.; Miyajima, H.; Maekawa, A.; Hayashi, Y. Tumor Promoting Effect of Goitrogens on the Rat Thyroid. Toxicol. Pathol. 1990, 18, 239–246. [Google Scholar] [CrossRef] [PubMed]
- WHO/UNICEF. Iodine Deficiency in Europe: A Continuing Public Health Problem; WHO/UNICEF: Geneva, Switzerland, 2007; ISBN 9789241593960. [Google Scholar]
- Kirchgessner, M.; He, J.; Windisch, W. Homeostatic adjustments of iodine metabolism and tissue iodine to widely varying iodine supply in 125I labeled rats. J. Anim. Physiol. Anim. Nutr. 1999, 82, 238–250. [Google Scholar] [CrossRef]
- Winger, R.J.; König, J.; House, D.A. Technological issues related to food enrichment with iodine. Trends Food Sci. Technol. 2008, 19, 94–101. [Google Scholar] [CrossRef]
- Cai, J.; Fang, Y.; Jing, D.; Xu, S.; Ming, J.; Gau, B.; Shen, H.; Zhang, R.; Ji, Q. Reference intervals of thyroid hormones in a previously iodine-deficient but presently more than adequate area of Western China: A population-based survey. Endocr. J. 2016, 63, 381–388. [Google Scholar] [CrossRef]
- Konturek, S. Human Physiology. Gastrointestinal Tract and Endocrine Glands; Scientific Publishing House: DWN: Kraków, Poland, 1994; Volume 5. (In Polish) [Google Scholar]
- Schneider, M.J.; Fiering, S.N.; Thai, B.; Wu, S.Y.; St Germain, E.; Parlow, A.F.; St Germain, D.L.; Galton, V.A. Targeted disruption of the type 1 selenodeiodinase Gene (Dio1) results in marked changes in thyroid hormone economy in mice. Endocrinology 2006, 147, 580–589. [Google Scholar] [CrossRef]
- Bianco, A.C.; Kim, B.W. Deiodinases: Implications of the local control of thyroid hormone action. J. Clin. Investig. 2014, 116, 2571–2579. [Google Scholar] [CrossRef]
- George, C.; Leslie, S.W.; Minter, D.A. Hyperuricemia. In Stat Pearls; Stat Pearls Publishing: Treasure Island, FL, USA, 2023. Available online: https://www.ncbi.nlm.nih.gov/books/NBK459218/ (accessed on 25 May 2024).
- Mital, A. Amoebiasis Revisited. In Infectious Diseases and Your Health; Singh, P., Ed.; Springer: Singapore, 2018. [Google Scholar] [CrossRef]
- Pal, S.; Khossousi, A.; Binns, C.; Dhaliwal, S.; Ellis, V. The effect of a fibre supplement compared to a healthy diet on body composition, lipids, glucose, insulin and other metabolic syndrome risk factors in overweight and obese individuals. Br. J. Nutr. 2011, 105, 90–100. [Google Scholar] [CrossRef]
- Pippi, B.; Reginatto, P.; Machado, G.d.R.M.; Bergamo, V.Z.; Lana, D.F.D.; Teixeira, M.L.; Franco, L.L.; Alves, R.J.; Andrade, S.F.; Fuentefria, A.M. Evaluation of 8-Hydroxyquinoline Derivatives as Hits for Antifungal Drug Design. Med. Mycol. 2011, 55, 763–773. [Google Scholar] [CrossRef]
- Tkaczewska, J.; Jamróz, E.; Piątkowska, E.; Borczak, B.; Kapusta-Duch, J.; Morawska, M. Furcellaran-Coated Microcapsules as Carriers of Cyprinus carpio Skin-Derived Antioxidant Hydrolysate: An In Vitro and In Vivo Study. Nutrients 2019, 11, 2502. [Google Scholar] [CrossRef]
- Iwai, K. Antidiabetic and antioxidant effects of polyphenols in brown alga Ecklonia stolonifera in genetically diabetic KK-Ay mice. Plant Foods Hum. Nutr. 2008, 63, 163–169. [Google Scholar] [CrossRef]



| Ingredient (g·kg−1) | C | CO | BO | CR | BR |
|---|---|---|---|---|---|
| Corn starch | 532.49 | 524.72 | 525.00 | 526.04 | 526.62 |
| Saccharose | 100 | 100 | 100 | 100 | 100 |
| Casein | 200 | 200 | 200 | 200 | 200 |
| Soybean oil | 70 | 70 | 70 | 70 | 70 |
| Fibre | 50 | 47.02 | 47.19 | 46.47 | 47 |
| Vitamin mix a | 10 | 10 | 10 | 10 | 10 |
| Mineral mix a | 35 | 35 | 35 b | 35 | 35 b |
| Choline | 2.5 | 2.5 | 2.5 | 2.5 | 2.5 |
| TBHQ c | 0.014 | 0.014 | 0.014 | 0.014 | 0.014 |
| Biofortified kale d | - | - | 10.3 | - | 8.87 |
| Control kale d | - | 10.75 | - | 9.98 | - |
| Control Raw Kale “Oldenbor F1” | Raw Biofortified with 8-OH-7-I-5QSA Kale “Oldenbor F1” | Control Raw Kale “Redbor F1” | Raw Biofortified with 8-OH-7-I-5QSA Kale “Redbor F1” | |
|---|---|---|---|---|
| Iodine (mg·kg d.m.−1) | 0.18 ± 0.02 a | 2.10 ± 0.04 b | 0.20 ± 0.01 a | 2.43 ± 0.08 c |
| Basic chemical composition | ||||
| Protein | 32.98 ± 0.06 b | 30.74 ± 1.06 b | 26.03 ± 2.31 a | 25.71 ± 0.88 a |
| Crude fat | 5.46 ± 0.13 b | 5.46 ± 0.26 b | 3.24 ± 0.13 a | 3.16 ± 0.15 a |
| Digestible carbohydrates | 17.39 ± 0.77 a | 20.39 ± 0.16 c | 15.53 ± 0.43 b | 18.35 ± 0.86 a |
| Dietary fibre | 29.06 ± 0.82 a | 28.45 ± 0.11 a | 36.39 ± 0.33 c | 34.71 ± 0.81 b |
| Ash | 20.06 ± 0.23 b | 19.21 ± 0.19 a | 21.33 ± 0.09 d | 20.76 ± 0.03 c |
| Type of Diet | C | CO | BO | CR | BR |
|---|---|---|---|---|---|
| Body gain (g) | 302.38 ± 27.43 b | 280.88 ± 26.62 ab | 277.50 ± 17.65 a | 273.38 ± 15.32 a | 293.25 ± 20.10 ab |
| FER | 0.202 ± 0.02 b | 0.187 ± 0.02 ab | 0.185 ± 0.01 a | 0.182 ± 0.01 a | 0.195 ± 0.01 ab |
| Liver (g) | 16.14 ± 2.17 c | 14.14 ± 1.52 b | 13.04 ± 1.35 ab | 12.32 ± 0.98 a | 13.54 ± 1.80 ab |
| Kidney ** (g) | 2.68 ± 0.14 a | 2.47 ± 0.14 ab | 2.55 ± 0.24 ab | 2.29 ± 0.48 b | 2.65 ± 0.24 a |
| Heart (g) | 1.27 ± 0.09 b | 1.18 ± 0.08 ab | 1.22 ± 0.08 ab | 1.14 ± 0.07 a | 1.22 ± 0.08 ab |
| Thyroid gland (g) | 0.23 ± 0.06 a | 0.26 ± 0.03 ab | 0.24 ± 0.04 ab | 0.27 ± 0.03 ab | 0.28 ± 0.03 b |
| Visceral fat (g) | 4.39 ± 0.80 a | 3.88 ± 0.68 a | 4.18 ± 0.77 a | 3.52 ± 1.06 a | 3.77 ± 0.58 a |
| Type of Diet | C | CO | BO | CR | BR |
|---|---|---|---|---|---|
| Liver panel | |||||
| AST (U·L−1) | 36.11 ± 9.11 a | 33.53 ± 12.39 a | 30.54 ± 10.49 ab | 31.11 ± 5.03 ab | 19.79 ± 8.35 b |
| ALT (U·L−1) | 26.55 ± 7.84 a | 25.09 ± 6.81 a | 23.74 ± 6.72 a | 15.85 ± 4.84 b | 13.93 ± 4.8 b |
| Bilirubin | |||||
| Total bilirubin (µmol·L−1) | 10.38 ± 6.08 b | 3.73 ± 1.84 a | 3.15 ± 3.17 a | 5.34 ± 3.47 a | 4.28 ± 2.79 a |
| Direct bilirubin (µmol·L−1) | 7.59 ± 3.85 b | 3.35 ± 2.40 a | 2.13 ± 1.27 a | 4.53 ± 4.56 ab | 4.27 ± 1.87 a |
| Uric acid | |||||
| Uric acid (µmol·L−1) | 166.04 ± 62.01 a | 132.35 ± 69.70 a | 116.11 ± 67.30 a | 112.50 ± 48.74 a | 108.29 ± 19.76 a |
| Lipid profile | |||||
| TC (mmol·L−1) | 3.01 ± 0.53 a | 2.94 ± 0.22 a | 2.77 ± 0.30 a | 2.64 ± 0.34 a | 2.55 ± 0.65 a |
| HDL (mmol·L−1) | 1.89 ± 0.18 b | 1.71 ± 0.22 ab | 1.76 ± 0.34 ab | 1.54 ± 0.27 a | 1.64 ± 0.17 ab |
| LDL + VLDL (mmol·L−1) | 1.12 ± 0.37 a | 1.23 ± 0.31 a | 1.01 ± 0.42 a | 1.10 ± 0.20 a | 0.91 ± 0.55 a |
| TG (mmol·L−1) | 1.45 ± 0.62 b | 1.35 ± 0.36 ab | 0.99 ± 0.16 a | 1.15 ± 0.44 ab | 1.05 ± 0.22 ab |
| Antioxidant activity | |||||
| Glutathione reductase (U·L−1) | 375.72 ± 205.75 a | 348.31 ± 174.47 a | 444.23 ± 83.52 a | 378.96 ± 148.61 a | 438.01 ± 68.74 a |
| TAS (mmol·L−1) | 0.89 ± 0.20 ab | 0.87 ± 0.08 a | 1.04 ± 0.08 c | 0.99 ± 0.10 abc | 1.02 ± 0.10 bc |
| TBARs (nmol MDA·mL−1) | 554.52 ±27.36 c | 535.31 ± 88.82 bc | 513.88 ± 49.46 abc | 474.93 ± 63.19 ab | 459.47 ± 66.32 a |
| Hormones | |||||
| TSH (ng·mL−1) | 2.18 ± 0.21 b | 2.02 ± 0.13 a | 1.99 ± 0.08 a | 2.10 ± 0.17 ab | 2.07 ± 0.11 ab |
| T3 (pg·mL−1) | 3.81 ± 0.19 ab | 3.92 ± 0.15 b | 3.73 ± 0.06 a | 3.68 ± 0.09 a | 3.84 ± 0.07 ab |
| T4 (ng·mL−1) | 2.75 ± 0.59 a | 2.87 ± 0.44 a | 2.51 ± 0.53 a | 2.59 ± 1.10 a | 2.24 ± 0.84 a |
Disclaimer/Publisher’s Note: The statements, opinions and data contained in all publications are solely those of the individual author(s) and contributor(s) and not of MDPI and/or the editor(s). MDPI and/or the editor(s) disclaim responsibility for any injury to people or property resulting from any ideas, methods, instructions or products referred to in the content. |
© 2024 by the authors. Licensee MDPI, Basel, Switzerland. This article is an open access article distributed under the terms and conditions of the Creative Commons Attribution (CC BY) license (https://creativecommons.org/licenses/by/4.0/).
Share and Cite
Krzemińska, J.; Piątkowska, E.; Kopeć, A.; Smoleń, S.; Leszczyńska, T.; Koronowicz, A. Iodine Bioavailability and Biochemical Effects of Brassica oleracea var. sabellica L. Biofortified with 8-Hydroxy-7-iodo-5-quinolinesulfonic Acid in Wistar Rats. Nutrients 2024, 16, 3578. https://doi.org/10.3390/nu16213578
Krzemińska J, Piątkowska E, Kopeć A, Smoleń S, Leszczyńska T, Koronowicz A. Iodine Bioavailability and Biochemical Effects of Brassica oleracea var. sabellica L. Biofortified with 8-Hydroxy-7-iodo-5-quinolinesulfonic Acid in Wistar Rats. Nutrients. 2024; 16(21):3578. https://doi.org/10.3390/nu16213578
Chicago/Turabian StyleKrzemińska, Joanna, Ewa Piątkowska, Aneta Kopeć, Sylwester Smoleń, Teresa Leszczyńska, and Aneta Koronowicz. 2024. "Iodine Bioavailability and Biochemical Effects of Brassica oleracea var. sabellica L. Biofortified with 8-Hydroxy-7-iodo-5-quinolinesulfonic Acid in Wistar Rats" Nutrients 16, no. 21: 3578. https://doi.org/10.3390/nu16213578
APA StyleKrzemińska, J., Piątkowska, E., Kopeć, A., Smoleń, S., Leszczyńska, T., & Koronowicz, A. (2024). Iodine Bioavailability and Biochemical Effects of Brassica oleracea var. sabellica L. Biofortified with 8-Hydroxy-7-iodo-5-quinolinesulfonic Acid in Wistar Rats. Nutrients, 16(21), 3578. https://doi.org/10.3390/nu16213578

