Association of Body Mass Index with Outcomes in Patients with Heart Failure with Reduced Ejection Fraction (HFrEF)
Abstract
1. Introduction
2. Materials and Methods
2.1. Study Design
2.2. Study Population and Data
2.3. Statistical Analysis
3. Results
3.1. Population Characteristics
3.2. Insights into the Two-Way Modulation of the Odds of Death—Based on Interaction Analysis
3.3. Interaction between Sex and BMI
3.4. Interaction between the Post-CS Status and BMI
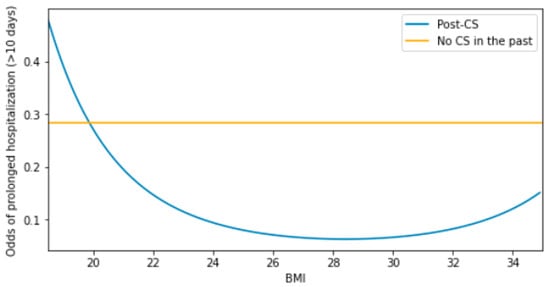
3.5. Insights into the Two-Way Modulation of the Odds of Prolonged In-Hospital Stay by BMI and the Post-CS Status
4. Discussion
4.1. Practical Implication
4.2. Study Limitation
5. Conclusions
Author Contributions
Funding
Institutional Review Board Statement
Informed Consent Statement
Data Availability Statement
Conflicts of Interest
References
- McDonagh, T.A.; Metra, M.; Adamo, M.; Gardner, R.S.; Baumbach, A.; Böhm, M.; Burri, H.; Butler, J.; Čelutkienė, J.; Chioncel, O.; et al. 2021 ESC Guidelines for the diagnosis and treatment of acute and chronic heart failure. Eur. Heart J. 2021, 42, 3599–3726. [Google Scholar] [CrossRef] [PubMed]
- Bielecka-Dabrowa, A.M.; Banach, M.; Wittczak, A.; Cicero, A.F.; Kallel, A.; Kubilius, R.; Mikhailidis, D.P.; Sahebkar, A.; Stoian, A.P.; Vinereanu, D.; et al. The role of nutraceuticals in heart failure muscle wasting as a result of inflammatory activity. The International Lipid Expert Panel (ILEP) Position Paper. Arch. Med. Sci. 2023, 19, 841–864. [Google Scholar] [CrossRef] [PubMed]
- Niedziela, J.T.; Rozentryt, P.; Nowak, J.; Szyguła-Jurkiewicz, B.; Pyka, Ł.; Cieśla, D.; Gąsior, M. Characteristics and outcomes for patients with heart failure diagnosed according to the universal definition and classification of heart failure: Data from a single-center registry. Pol. Heart J. Kardiol. Pol. 2024, 82, 391–397. [Google Scholar] [CrossRef] [PubMed]
- Suthahar, N.; Meems, L.M.; Groothof, D.; Bakker, S.J.; Gansevoort, R.T.; van Veldhuisen, D.J.; de Boer, R.A. Relationship between body mass index, cardiovascular biomarkers and incident heart failure. Eur. J. Heart Fail. 2021, 23, 396–402. [Google Scholar] [CrossRef] [PubMed]
- Bragazzi, N.L.; Zhong, W.; Shu, J.; Abu Much, A.; Lotan, D.; Grupper, A.; Younis, A.; Dai, H. Burden of heart failure and underlying causes in 195 countries and territories from 1990 to 2017. Eur. J. Prev. Cardiol. 2021, 28, 1682–1690. [Google Scholar] [CrossRef]
- Kałużna-Oleksy, M.; Krysztofiak, H.; Migaj, J.; Wleklik, M.; Dudek, M.; Uchmanowicz, I.; Lesiak, M.; Straburzyńska-Migaj, E. Relationship between Nutritional Status and Clinical and Biochemical Parameters in Hospitalized Patients with Heart Failure with Reduced Ejection Fraction, with 1-year Follow-Up. Nutrients 2020, 12, 2330. [Google Scholar] [CrossRef] [PubMed]
- Wleklik, M.; Uchmanowicz, I.; Jankowska-Polańska, B.; Andreae, C.; Regulska-Ilow, B. The Role of Nutritional Status in Elderly Patients with Heart Failure. J. Nutr. Health Aging. 2018, 22, 581–588. [Google Scholar] [CrossRef] [PubMed]
- Lavie, C.J.; De Schutter, A.; Patel, D.A.; Romero-Corral, A.; Artham, S.M.; Milani, R.V. Body composition and survival in stable coronary heart disease: Impact of lean mass index and body fat in the “obesity paradox”. J. Am. Coll. Cardiol. 2012, 60, 1374–1380. [Google Scholar] [CrossRef] [PubMed]
- Artham, S.M.; Lavie, C.J.; Milani, R.V.; Ventura, H.O. Obesity and Hypertension, Heart Failure, and Coronary Heart Disease—Risk Factor, Paradox, and Recommendations for Weight Loss. Ochsner J. 2009, 9, 124–132. [Google Scholar]
- Borlaug, B.A.; Jensen, M.D.; Kitzman, D.W.; Lam, C.S.P.; Obokata, M.; Rider, O.J. Obesity and heart failure with preserved ejection fraction: New insights and pathophysiological targets. Cardiovasc. Res. 2023, 118, 3434–3450. [Google Scholar] [CrossRef]
- Chi, M.; Nie, Y.; Su, Y.; Wang, N.; Li, A.; Ma, T.; Hou, Y. Effects of weight loss in heart failure patients with overweight and obesity: A systematic review and meta-analysis. Eur. J. Prev. Cardiol. 2023, 30, 1906–1921. [Google Scholar] [CrossRef] [PubMed]
- Powell-Wiley, T.M.; Poirier, P.; Burke, L.E.; Després, J.P.; Gordon-Larsen, P.; Lavie, C.J.; Lear, S.A.; Ndumele, C.E.; Neeland, I.J.; Sanders, P.; et al. Obesity and Cardiovascular Disease: A Scientific Statement from the American Heart Association. Circulation 2021, 143, e984–e1010. [Google Scholar] [CrossRef] [PubMed]
- Lembo, M.; Strisciuglio, T.; Fonderico, C.; Mancusi, C.; Izzo, R.; Trimarco, V.; Bellis, A.; Barbato, E.; Esposito, G.; Morisco, C.; et al. Obesity: The perfect storm for heart failure. ESC Heart Fail. 2024. [Google Scholar] [CrossRef] [PubMed]
- Larsen, T.S.; Jansen, K.M. Impact of Obesity-Related Inflammation on Cardiac Metabolism and Function. J. Lipid Atheroscler. 2021, 10, 8–23. [Google Scholar] [CrossRef] [PubMed]
- Wu, H.; Ballantyne, C.M. Metabolic Inflammation and Insulin Resistance in Obesity. Circ. Res. 2020, 126, 1549–1564. [Google Scholar] [CrossRef] [PubMed]
- Czesnikiewicz-Guzik, M.; D’Aiuto, F.; Deanfield, J.E. Understanding residual inflammatory risk sheds new light on the clinical importance of periodontitis in cardiovascular disease. Eur. Heart J. 2020, 41, 818–819. [Google Scholar] [CrossRef] [PubMed]
- Amdahl, M.B.; Sundaram, V.; Reddy, Y.N.V. Obesity in Heart Failure with Reduced Ejection Fraction: Time to Address the Elephant in the Room. Cardiol. Clin. 2023, 41, 537–544. [Google Scholar] [CrossRef] [PubMed]
- Rustenbach, C.J.; Reichert, S.; Salewski, C.; Schano, J.; Berger, R.; Nemeth, A.; Zdanyte, M.; Häberle, H.; Caldonazo, T.; Saqer, I.; et al. Influence of Obesity on Short-Term Surgical Outcomes in HFrEF Patients Undergoing CABG: A Retrospective Multicenter Study. Biomedicines 2024, 12, 426. [Google Scholar] [CrossRef] [PubMed]
- Shoar, S.; Manzoor, A.; Abdelrazek, A.S.; Ikram, W.; Hosseini, F.; Shoar, N.; Khavandi, S.; Shah, A.A. Parallel improvement of systolic function with surgical weight loss in patients with heart failure and reduced ejection fraction: A systematic review and patient-level meta-analysis. Surg. Obes. Relat. Dis. 2022, 18, 433–438. [Google Scholar] [CrossRef]
- Boukhris, M.; Aboyans, V. The “obesity paradox” in cardiovascular diseases: Age matters! Eur. J. Prev. Cardiol. 2022, 29, 1476–1478. [Google Scholar] [CrossRef]
- Butt, J.H.; Petrie, M.C.; Jhund, P.S.; Sattar, N.; Desai, A.S.; Køber, L.; Rouleau, J.L.; Swedberg, K.; Zile, M.R.; Solomon, S.D.; et al. Anthropometric measures and adverse outcomes in heart failure with reduced ejection fraction: Revisiting the obesity paradox. Eur. Heart J. 2023, 44, 1136–1153. [Google Scholar] [CrossRef]
- Sato, R.; von Haehling, S. Revisiting the obesity paradox in heart failure: What is the best anthropometric index to gauge obesity? Eur. Heart J. 2023, 44, 1154–1156. [Google Scholar] [CrossRef] [PubMed]
- Giustino, G.; Overbey, J.; Taylor, D.; Ailawadi, G.; Kirkwood, K.; DeRose, J.; Gillinov, M.A.; Dagenais, F.; Mayer, M.L.; Moskowitz, A.; et al. Sex-Based Differences in Outcomes After Mitral Valve Surgery for Severe Ischemic Mitral Regurgitation: From the Cardiothoracic Surgical Trials Network. JACC Heart Fail. 2019, 7, 481–490. [Google Scholar] [CrossRef]
- Lala, A.N.; Tayal, U.; Hamo, C.E.; Youmans, Q.; Al-Khatib, S.M.; Bozkurt, B.; Davis, M.B.; Januzzi, J.; Mentz, R.; Sauer, A.; et al. Differences in Heart Failure. J. Card. Fail. 2022, 28, 477–498. [Google Scholar] [CrossRef]
- Miličić, D.; Bergami, M.; Pavasović, S. Sex Differences in Therapies for Heart Failure. Curr. Pharm. Des. 2022, 28, 1295–1303. [Google Scholar] [CrossRef]
- Maidana, D.; Bonanad, C.; Ortiz-Cortés, C.; Arroyo-Álvarez, A.; Barreres-Martín, G.; Muñoz-Alfonso, C.; Maicas-Alcaine, E.; García-Pérez, C.; Aparici-Redal, A.; Freitas-Durks, V.; et al. Sex-Related Differences in Heart Failure Diagnosis. Curr. Heart Fail. Rep. 2023, 20, 254–262. [Google Scholar] [CrossRef]
- Murphy, S.P.; Ibrahim, N.E.; Januzzi, J.L. Heart Failure with Reduced Ejection Fraction: A Review. JAMA 2020, 324, 488–504. [Google Scholar] [CrossRef] [PubMed]
- Phelps, N.H.; Singleton, R.K.; Zhou, B.; Heap, R.A.; Mishra, A.; Bennett, J.E.; Paciorek, C.J.; Lhoste, V.P.F.; Carrillo-Larco, R.M.; Stevens, G.A.; et al. Worldwide trends in underweight and obesity from 1990 to 2022: A pooled analysis of 3663 population-representative studies with 222 million children, adolescents, and adults. Lancet 2024, 403, 1027–1050. [Google Scholar] [CrossRef] [PubMed]
- Del Pilar Falcón Fleytas, R.; Centurión, O.A.; Figueredo, J.G.; Saldivar, H.G.; Martínez, J.E. Profile and Prognostic Impact of Multimorbidity in Elderly Patients with Heart Failure: Are there Differences between Men and Women? Curr. Heart Fail. Rep. 2024. [Google Scholar] [CrossRef]
- Arcopinto, M.; Valente, V.; Giardino, F.; Marra, A.M.; Cittadini, A. What have we learned so far from the sex/gender issue in heart failure? An overview of current evidence. Intern. Emerg. Med. 2022, 17, 1589–1598. [Google Scholar] [CrossRef]
- Samuel, R.S.; Hausdorff, J.M.; Wei, J.Y. Congestive heart failure with preserved systolic function: Is it a woman’s disease? Womens Health Issues 1999, 9, 219–222. [Google Scholar] [CrossRef] [PubMed]
- Ho, J.E.; Enserro, D.; Brouwers, F.P.; Kizer, J.R.; Shah, S.J.; Psaty, B.M.; Bartz, T.M.; Santhanakrishnan, R.; Lee, D.S.; Chan, C.; et al. Predicting Heart Failure with Preserved and Reduced Ejection Fraction. Circ. Heart Fail. 2016, 9, e003116. [Google Scholar] [CrossRef]
- Stolfo, D.; Uijl, A.; Vedin, O.; Strömberg, A.; Faxén, U.L.; Rosano, G.M.; Sinagra, G.; Dahlström, U.; Savarese, G. Sex-Based Differences in Heart Failure Across the Ejection Fraction Spectrum: Phenotyping, and Prognostic and Therapeutic Implications. JACC Heart Fail. 2019, 7, 505–515. [Google Scholar] [CrossRef] [PubMed]
- Kałużna-Oleksy, M.; Krysztofiak, H.; Sawczak, F.; Kukfisz, A.; Szczechla, M.; Soloch, A.; Cierzniak, M.; Szubarga, A.; Przytarska, K.; Dudek, M.; et al. Sex differences in the nutritional status and its association with long-term prognosis in patients with heart failure with reduced ejection fraction: A prospective cohort study. Eur. J. Cardiovasc. Nurs. 2024, 23, zvad105. [Google Scholar] [CrossRef]
- Carbone, S.; Lavie, C.J.; Arena, R. Obesity and Heart Failure: Focus on the Obesity Paradox. Mayo Clin. Proc. 2017, 92, 266–279. [Google Scholar] [CrossRef]
- Mogensen, U.M.; Jhund, P.; Køber, L.; Desai, A.; Rouleau, J.; Solomon, S.; Swedberg, K.; Zile, M.; Lefkowitz, M.; Shi, V.; et al. Abstract 17986: Is There Really an “Obesity Paradox” in Heart Failure? An Analysis of PARADIGM-HF. Circulation 2016, 134 (Suppl. S1), A17986, https://www.ahajournals.org/doi/10.1161/circ.134.suppl_1.17986. [Google Scholar]
- Fröhlich, H.; Bossmeyer, A.; Kazmi, S.; Goode, K.M.; Agewall, S.; Atar, D.; Grundtvig, M.; Frey, N.; Cleland, J.G.; Frankenstein, L.; et al. Glycaemic control and insulin therapy are significant confounders of the obesity paradox in patients with heart failure and diabetes mellitus. Clin. Res. Cardiol. 2024, 113, 822–830. [Google Scholar] [CrossRef]
- Hobbach, A.J.; Feld, J.; Linke, W.A.; Sindermann, J.R.; Dröge, P.; Ruhnke, T.; Günster, C.; Reinecke, H. BMI-Stratified Exploration of the “Obesity Paradox”: Heart Failure Perspectives from a Large German Insurance Database. J. Clin. Med. 2024, 13, 2086. [Google Scholar] [CrossRef] [PubMed]
- Wang, S.; Ren, J. Obesity Paradox in Aging: From Prevalence to Pathophysiology. Prog. Cardiovasc. Dis. 2018, 61, 182–189. [Google Scholar] [CrossRef]
- Holland, S.A.; Wellwood, I.; Kuys, S. Effect of abnormal body weight on mortality and functional recovery in adults after stroke: An umbrella review. Int. J. Stroke 2024, 19, 397–405. [Google Scholar] [CrossRef]
- Alrob, O.A.; Sankaralingam, S.; Alazzam, S.; Nusairat, B.; Qattoum, M.; Nusair, M.B. Obesity Paradox among Heart Failure with Reduced Ejection Fraction Patients: A Retrospective Cohort Study. Med. Kaunas. Lith. 2022, 59, 60. [Google Scholar] [CrossRef] [PubMed]
- Kocabaş, U.; Kıvrak, T.; Yılmaz Öztekin, G.M.; Tanık, V.O.; Özdemir, İ.; Kaya, E.; Yüce, E.İ.; Avcı Demir, F.; Doğduş, M.; Altınsoy, M.; et al. Gender-related clinical and management differences in patients with chronic heart failure with reduced ejection fraction. Int. J. Clin. Pract. 2021, 75, e13765. [Google Scholar] [CrossRef] [PubMed]
- Swaraj, S.; Kozor, R.; Arnott, C.; Di Bartolo, B.A.; AFigtree, G. Heart Failure with Reduced Ejection Fraction—Does Sex Matter? Curr. Heart Fail. Rep. 2021, 18, 345–352. [Google Scholar] [CrossRef] [PubMed]
- Kannel, W.B.; Hjortland, M.; Castelli, W.P. Role of diabetes in congestive heart failure: The Framingham study. Am. J. Cardiol. 1974, 34, 29–34. [Google Scholar] [CrossRef] [PubMed]
- Lam, C.S.; Arnott, C.; Beale, A.L.; Chandramouli, C.; Hilfiker-Kleiner, D.; Kaye, D.M.; Ky, B.; Santema, B.T.; Sliwa, K.; Voors, A.A. Sex differences in heart failure. Eur. Heart J. 2019, 40, 3859–3868c. [Google Scholar] [CrossRef] [PubMed]
- Lavie, C.J.; Cahalin, L.P.; Chase, P.; Myers, J.; Bensimhon, D.; Peberdy, M.A.; Ashley, E.; West, E.; Forman, D.E.; Guazzi, M.; et al. Impact of cardiorespiratory fitness on the obesity paradox in patients with heart failure. Mayo Clin. Proc. 2013, 88, 251–258. [Google Scholar] [CrossRef] [PubMed]
- García-Hermoso, A.; Cavero-Redondo, I.; Ramírez-Vélez, R.; Ruiz, J.R.; Ortega, F.B.; Lee, D.C.; Martínez-Vizcaíno, V. Muscular Strength as a Predictor of All-Cause Mortality in an Apparently Healthy Population: A Systematic Review and Meta-Analysis of Data from Approximately 2 Million Men and Women. Arch. Phys. Med. Rehabil. 2018, 99, 2100–2113.e5. [Google Scholar] [CrossRef]
- Zheng, J.; Hu, Y.; Xu, H.; Lei, Y.; Zhang, J.; Zheng, Q.; Li, L.; Tu, W.; Chen, R.; Guo, Q.; et al. Normal-weight visceral obesity promotes a higher 10-year atherosclerotic cardiovascular disease risk in patients with type 2 diabetes mellitus-a multicenter study in China. Cardiovasc. Diabetol. 2023, 22, 137. [Google Scholar] [CrossRef]
- Albert, S.Y.; Pak, K.J.; Zhou, H.; Shaw, S.F.; Shi, J.; Broder, B.I.; Sim, J.J. All-Cause and Cardiovascular-Related Mortality in CKD Patients with and Without Heart Failure: A Population-Based Cohort Study in Kaiser Permanente Southern California. Kidney Med. 2023, 5, 100624. [Google Scholar] [CrossRef]
- Shi, Z.; Yun, M.; Bai, Y.; Li, X.; Zhang, X. Impact of age on obesity paradox in patients with heart failure with reduced ejection fraction: Assessment by brain 18F-FDG PET/CT imaging. J. Nucl. Med. 2023, 64 (Suppl. S1), P777. [Google Scholar]
- Bragagni, A.; Piani, F.; Borghi, C. Surprises in cardiology: Efficacy of gliflozines in heart failure even in the absence of diabetes. Eur. Heart J. Suppl. J. Eur. Soc. Cardiol. 2021, 23 (Suppl. SE), E40–E44. [Google Scholar] [CrossRef] [PubMed]
- Ussher, J.R.; Drucker, D.J. Glucagon-like peptide 1 receptor agonists: Cardiovascular benefits and mechanisms of action. Nat. Rev. Cardiol. 2023, 20, 463–474. [Google Scholar] [CrossRef] [PubMed]
- Salvino, N.F.A.; Sousa, L.T.D.; Abrahao, F.M.; Spineti, P.P.D.M.; Sales, A.L.F.; Neves de Albuquerque, F.; Bittencourt, M.I.; de Moraes, P.C.B.; Esporcatte, R.; Mourilhe-Rocha, R. Is the obesity paradox in outpatients with heart failure reduced ejection fraction real? Front. Cardiovasc. Med. 2023, 10, 1239722. [Google Scholar] [CrossRef] [PubMed]
- Pirson, F.A.V.; Hinsenveld, W.H.; Staals, J.; De Greef, B.T.; van Zwam, W.H.; Dippel, D.W.; Vos, J.A.; Schonewille, W.J.; van Oostenbrugge, R.J.; MR CLEAN investigators. The Effect of Body Mass Index on Outcome after Endovascular Treatment in Acute Ischemic Stroke Patients: A Post Hoc Analysis of the MR CLEAN Trial. Cerebrovasc. Dis. 2019, 48, 200–206. [Google Scholar] [CrossRef]
- Vemmos, K.; Ntaios, G.; Spengos, K.; Savvari, P.; Vemmou, A.; Pappa, T.; Manios, E.; Georgiopoulos, G.; Alevizaki, M. Association Between Obesity and Mortality After Acute First-Ever Stroke. Stroke 2011, 42, 30–36. [Google Scholar] [CrossRef]
- Ryu, W.S.; Lee, S.H.; Kim, C.K.; Kim, B.J.; Yoon, B.W. Body mass index, initial neurological severity and long-term mortality in ischemic stroke. Cerebrovasc. Dis. 2011, 32, 170–176. [Google Scholar] [CrossRef]
- Olsen, T.S.; Dehlendorff, C.; Petersen, H.G.; Andersen, K.K. Body mass index and poststroke mortality. Neuroepidemiology 2008, 30, 93–100. [Google Scholar] [CrossRef]
- Rywik, T.M.; Wiśniewska, A.; Cegłowska, U.; Drohomirecka, A.; Topór-Mądry, R.; Łazarczyk, H.; Połaska, P.; Zieliński, T.; Doryńska, A. Heart failure with reduced, mildly reduced, and preserved ejection fraction: Outcomes and predictors of prognosis. Pol. Arch. Intern. Med. 2023, 133, 16522. [Google Scholar] [CrossRef]
- Butler, J.; Yang, M.; Manzi, M.A.; Hess, G.P.; Patel, M.J.; Rhodes, T.; Givertz, M.M. Clinical Course of Patients with Worsening Heart Failure with Reduced Ejection Fraction. J. Am. Coll. Cardiol. 2019, 73, 935–944. [Google Scholar] [CrossRef]


| HFrEF (N = 425) | p | ||||||||
|---|---|---|---|---|---|---|---|---|---|
| Variable (Quant.) | Female (n = 90) | Male (n = 335) | |||||||
| n | Median | 25% | 75% | n | Median | 25% | 75% | ||
| Age | 90 | 70.00 | 62.00 | 79.00 | 335 | 66.00 | 59.00 | 74.00 | 0.013 |
| NT-pro-BNP [pg/mL] | 19 | 5550.00 | 2166.40 | 9433.00 | 75 | 6976.00 | 2716.50 | 16,851.00 | 0.556 |
| BNP [pg/mL] | 68 | 712.00 | 209.50 | 1852.25 | 243 | 691.20 | 217.20 | 1421.40 | 0.529 |
| TG [mg/dL] | 87 | 124.00 | 91.00 | 168.00 | 318 | 103.00 | 84.00 | 138.00 | 0.011 |
| LDL-Chol [mg/dL] | 84 | 91.00 | 72.50 | 114.50 | 315 | 83.00 | 65.00 | 113.00 | 0.050 |
| HDL-Chol [mg/dL] | 85 | 44.00 | 33.00 | 51.00 | 316 | 38.00 | 31.00 | 47.50 | 0.031 |
| TC [mg/dL] | 87 | 158.00 | 138.00 | 194.00 | 316 | 148.50 | 122.50 | 182.50 | 0.024 |
| hsCRP [mg/L] | 86 | 3.89 | 1.27 | 15.43 | 326 | 5.01 | 2.01 | 14.74 | 0.261 |
| Albumin [g/dL] | 26 | 3.40 | 2.70 | 3.90 | 79 | 3.40 | 2.90 | 3.70 | 0.605 |
| LOHS [days] | 90 | 6.50 | 4.00 | 10.00 | 335 | 7.00 | 4.00 | 10.00 | 0.946 |
| Variable:category (qual.) | Observed (n) | Frequency (%) | Observed (n) | Frequency (%) | p | ||||
| Mortality: Death | 6 | 6.67 | 15 | 4.48 | 0.395 | ||||
| NYHA: 1 | 8 | 9.64 | 40 | 12.23 | 0.897 | ||||
| NYHA: 2 | 28 | 33.73 | 112 | 34.25 | |||||
| NYHA: 3 | 23 | 27.71 | 90 | 27.52 | |||||
| NYHA: 4 | 24 | 28.92 | 85 | 25.99 | |||||
| BMI < 18.5 [kg/m2] | 2 | 2.22 | 7 | 2.09 | 0.971 | ||||
| BMI 18.5–24.9 [kg/m2] | 26 | 28.89 | 90 | 26.87 | |||||
| BMI 25–29.9 [kg/m2] | 30 | 33.33 | 120 | 35.82 | |||||
| BMI ≥ 30 [kg/m2] | 32 | 35.56 | 118 | 35.22 | |||||
| CKD: Yes | 45 | 50.00 | 128 | 38.21 | 0.043 | ||||
| HT: Yes | 59 | 65.56 | 219 | 65.37 | 0.974 | ||||
| DM: Yes | 33 | 36.67 | 157 | 46.87 | 0.084 | ||||
| CS: Yes | 8 | 8.89 | 41 | 12.24 | 0.377 | ||||
| MI: Yes | 33 | 36.67 | 127 | 37.91 | 0.829 | ||||
| NRS2002 < 3 | 85 | 94.44 | 320 | 95.52 | 0.668 | ||||
| NRS2002: ≥3 | 5 | 5.56 | 15 | 4.48 | |||||
| HFrEF (N = 425) | p | ||||||||
|---|---|---|---|---|---|---|---|---|---|
| Variable (Quant.) | Survival (N = 404) | Death (N = 21) | |||||||
| n | Median | 25% | 75% | n | Median | 25% | 75% | ||
| Age | 404 | 66.00 | 59.00 | 74.00 | 21 | 77.00 | 72.00 | 84.00 | <0.001 |
| NT-pro-BNP [pg/mL] | 94 | 6765.90 | 2716.50 | 16,611.00 | 0 | - | - | - | - |
| BNP [pg/mL] | 293 | 647.10 | 207.40 | 1334.20 | 18 | 1988.10 | 1251.50 | 3508.00 | <0.001 |
| TG [mg/dL] | 388 | 106.00 | 86.00 | 144.50 | 17 | 117.00 | 82.00 | 157.00 | 0.739 |
| LDL-Chol [mg/dL] | 382 | 85.50 | 67.00 | 114.00 | 17 | 72.00 | 39.00 | 86.00 | 0.016 |
| HDL-Chol [mg/dL] | 384 | 39.50 | 32.00 | 48.50 | 17 | 25.00 | 21.00 | 36.00 | <0.001 |
| TC [mg/dL] | 386 | 152.00 | 127.00 | 185.00 | 17 | 128.00 | 97.00 | 140.00 | 0.004 |
| hsCRP [mg/L] | 392 | 4.56 | 1.62 | 13.14 | 20 | 29.06 | 6.75 | 80.21 | <0.001 |
| Albumin [g/dL] | 91 | 3.50 | 3.10 | 3.80 | 14 | 2.80 | 2.50 | 3.10 | <0.001 |
| LOHS [days] | 404 | 6.00 | 3.00 | 10.00 | 21 | 13.00 | 6.00 | 16.00 | <0.001 |
| Variable:category (qual.) | Observed n | Frequency (%) | Observed n | Frequency (%) | p | ||||
| Sex: Male | 320 | 79.21 | 15 | 71.43 | 0.395 | ||||
| NYHA: 1 | 48 | 12.24 | 0 | 0.00 | <0.001 | ||||
| NYHA: 2 | 138 | 35.20 | 2 | 11.11 | |||||
| NYHA: 3 | 109 | 27.81 | 4 | 22.22 | |||||
| NYHA: 4 | 97 | 24.74 | 12 | 66.67 | |||||
| BMI < 18.5 | 6 | 1.49 | 3 | 14.29 | <0.001 | ||||
| BMI 18.5–24.9 | 111 | 27.48 | 5 | 23.81 | |||||
| BMI 25–29.9 | 141 | 34.90 | 9 | 42.86 | |||||
| BMI ≥ 30 | 146 | 36.14 | 4 | 19.05 | |||||
| CKD: Yes | 166 | 41.09 | 7 | 33.33 | 0.481 | ||||
| HT: Yes | 264 | 65.35 | 14 | 66.67 | 0.901 | ||||
| DM: Yes | 180 | 44.55 | 10 | 47.62 | 0.783 | ||||
| CS: Yes | 45 | 11.14 | 4 | 19.05 | 0.269 | ||||
| MI: Yes | 150 | 37.13 | 10 | 47.62 | 0.333 | ||||
| NRS2002 | 389 | 96.29 | 16 | 76.19 | <0.001 | ||||
| NRS2002: ≥3 | 15 | 3.71 | 5 | 23.81 | |||||
| A. Full factorial model with sex and BMI (LR1 p = 0.008) | |||||||
| Variable | Category | βi | βi SE | βi −95% CI | βi 95% CI | Estimate | p |
| Intercept (baseline value) | - | −4.061 | 0.502 | −5.046 | −3.077 | 0.017 | <0.001 |
| Sex | Female | 1.148 | 0.756 | −0.333 | 2.629 | - | 0.129 |
| log1.1(BMI) (centered at BMI 28.4) | - | −0.558 | 0.188 | −0.927 | −0.189 | 0.572 | 0.003 |
| Sex*log1.1(BMI) | - | 0.879 | 0.342 | 0.209 | 1.548 | 2.408 | 0.010 |
| B. Full factorial model with post-CS and BMI (LR1 p = 0.012) | |||||||
| Variable | Category | βi | βi SE | βi −95% CI | βi 95% CI | Estimate | p |
| Intercept (baseline value) | - | −4.042 | 1.359 | −6.706 | −1.378 | 0.018 | 0.003 |
| post-CS | Non-CS | 0.567 | 1.398 | −2.173 | 3.307 | - | 0.685 |
| log1.1(BMI) (centered at BMI 28.4) | - | −1.004 | 0.443 | −1.873 | −0.135 | 0.366 | 0.024 |
| post-CS*log1.1(BMI) | - | 0.948 | 0.475 | 0.018 | 1.879 | 2.581 | 0.046 |
| Variable | Category | βi | βi SE | βi −95% CI | βi 95% CI | Estimate | p |
|---|---|---|---|---|---|---|---|
| Intercept (baseline value) | - | −1.258 | 0.143 | −1.539 | −0.978 | 0.284 | <0.001 |
| post-CS | Post-CS | −1.502 | 0.750 | −2.973 | −0.032 | 0.223 | 0.045 |
| BMI2 | - | 0.002 | 0.002 | −0.001 | 0.006 | - | 0.166 |
| post-CS*BMI2 | - | 0.021 | 0.010 | 0.001 | 0.040 | 1.021 | 0.041 |
Disclaimer/Publisher’s Note: The statements, opinions and data contained in all publications are solely those of the individual author(s) and contributor(s) and not of MDPI and/or the editor(s). MDPI and/or the editor(s) disclaim responsibility for any injury to people or property resulting from any ideas, methods, instructions or products referred to in the content. |
© 2024 by the authors. Licensee MDPI, Basel, Switzerland. This article is an open access article distributed under the terms and conditions of the Creative Commons Attribution (CC BY) license (https://creativecommons.org/licenses/by/4.0/).
Share and Cite
Czapla, M.; Surma, S.; Kwaśny, A.; Lewandowski, Ł. Association of Body Mass Index with Outcomes in Patients with Heart Failure with Reduced Ejection Fraction (HFrEF). Nutrients 2024, 16, 2473. https://doi.org/10.3390/nu16152473
Czapla M, Surma S, Kwaśny A, Lewandowski Ł. Association of Body Mass Index with Outcomes in Patients with Heart Failure with Reduced Ejection Fraction (HFrEF). Nutrients. 2024; 16(15):2473. https://doi.org/10.3390/nu16152473
Chicago/Turabian StyleCzapla, Michał, Stanisław Surma, Adrian Kwaśny, and Łukasz Lewandowski. 2024. "Association of Body Mass Index with Outcomes in Patients with Heart Failure with Reduced Ejection Fraction (HFrEF)" Nutrients 16, no. 15: 2473. https://doi.org/10.3390/nu16152473
APA StyleCzapla, M., Surma, S., Kwaśny, A., & Lewandowski, Ł. (2024). Association of Body Mass Index with Outcomes in Patients with Heart Failure with Reduced Ejection Fraction (HFrEF). Nutrients, 16(15), 2473. https://doi.org/10.3390/nu16152473

