The Effect of Passive Dehydration on Phase Angle and Body Composition: A Bioelectrical Impedance Analysis
Abstract
1. Introduction
2. Methods
2.1. Trial Design
2.2. Participants
2.3. Procedures
2.4. Passive Dehydration
2.5. Statistical Analysis
3. Results
4. Discussion
Limitations and Future Directions
5. Conclusions
Author Contributions
Funding
Institutional Review Board Statement
Informed Consent Statement
Data Availability Statement
Conflicts of Interest
References
- Khalil, S.F.; Mohktar, M.S.; Ibrahim, F. The theory and fundamentals of bioimpedance analysis in clinical status monitoring and diagnosis of diseases. Sensors 2014, 14, 10895–10928. [Google Scholar] [CrossRef]
- Alvero-Cruz, J.; Correas, G.L.; Ronconi, M.; Fernández, V.; Porta, M. La bioimpedancia eléctrica como método de estimación de la composición corporal: Normas prácticas de utilización. Rev. Andal. Med. Deport. 2011, 4, 167–174. [Google Scholar]
- Kumar, S.; Dutt, A.; Hemraj, S.; Bhat, S.; Manipadybhima, B. Phase angle measurement in healthy human subjects through bio-Impedance analysis. Iran. J. Basic. Med. Sci. 2012, 15, 1180–1184. [Google Scholar]
- Sardinha, L.B. Physiology of exercise and phase angle: Another look at BIA. Eur. J. Clin. Nutr. 2018, 72, 1323–1327. [Google Scholar] [CrossRef] [PubMed]
- Selberg, O.; Selberg, D. Norms and correlates of bioimpedance phase angle in healthy human subjects, hospitalized patients, and patients with liver cirrhosis. Eur. J. Appl. Physiol. 2002, 86, 509–516. [Google Scholar] [CrossRef]
- Silva, A.M.; Nunes, C.L.; Matias, C.N.; Rocha, P.M.; Minderico, C.S.; Heymsfield, S.B.; Lukaski, H.; Sardinha, L.B. Usefulness of raw bioelectrical impedance parameters in tracking fluid shifts in judo athletes. Eur. J. Sport Sci. 2020, 20, 734–743. [Google Scholar] [CrossRef]
- Matias, C.N.; Monteiro, C.P.; Santos, D.A.; Martins, F.; Silva, A.M.; Laires, M.J.; Sardinha, L.B. Magnesium and phase angle: A prognostic tool for monitoring cellular integrity in judo athletes. Magnes. Res. 2015, 28, 92–98. [Google Scholar] [CrossRef]
- Moonen, H.P.F.X.; van Zanten, F.J.L.; Driessen, L.; de Smet, V.; Slingerland-Boot, R.; Mensink, M.; van Zanten, A.R.H. Association of bioelectric impedance analysis body composition and disease severity in COVID-19 hospital ward and ICU patients: The BIAC-19 study. Clin. Nutr. 2021, 40, 2328–2336. [Google Scholar] [CrossRef] [PubMed]
- Schwenk, A.; Beisenherz, A.; Römer, K.; Kremer, G.; Salzberger, B.; Elia, M. Phase angle from bioelectrical impedance analysis remains an independent predictive marker in HIV-infected patients in the era of highly active antiretroviral treatment. Am. J. Clin. Nutr. 2000, 72, 496–501. [Google Scholar] [CrossRef]
- Ishrat, S.; Khan, S.A.; Shoeb, M.; Bose, S. Anthropometric predictors of Bio-impedance analysis (BIA) phase angle in healthy adults. J. Clin. Diagn. Res. 2016, 10, CC01–CC04. [Google Scholar] [CrossRef]
- Hetherington-Rauth, M.; Leu, C.G.; Júdice, P.B.; Correia, I.R.; Magalhães, J.P.; Sardinha, L.B. Whole body and regional phase angle as indicators of muscular performance in athletes. Eur. J. Sport Sci. 2021, 21, 1684–1692. [Google Scholar] [CrossRef] [PubMed]
- Uemura, K.; Yamada, M.; Okamoto, H. Association of bioimpedance phase angle and prospective falls in older adults. Geriatr. Gerontol. Int. 2019, 19, 503–507. [Google Scholar] [CrossRef] [PubMed]
- Campa, F.; Piras, A.; Raffi, M.; Trofè, A.; Perazzolo, M.; Mascherini, G.; Toselli, S. The effects of dehydration on metabolic and neuromuscular functionality during cycling. Int. J. Environ. Res. Public Health 2020, 17, 1161. [Google Scholar] [CrossRef] [PubMed]
- Gatterer, H.; Schenk, K.; Laninschegg, L.; Schlemmer, P.; Lukaski, H.; Burtscher, M. Bioimpedance identifies body fluid loss after exercise in the heat: A pilot study with body cooling. PLoS ONE 2014, 9, e109729. [Google Scholar] [CrossRef] [PubMed]
- Campa, F.; Toselli, S.; Mazzilli, M.; Gobbo, L.A.; Coratella, G. Assessment of body composition in athletes: A narrative review of available methods with special reference to quantitative and qualitative bioimpedance analysis. Nutrients 2021, 13, 1620. [Google Scholar] [CrossRef] [PubMed]
- Davydov, D.M.; Boev, A.; Gorbunov, S. Making the choice between bioelectrical impedance measures for body hydration status assessment. Sci. Rep. 2021, 11, 7685. [Google Scholar] [CrossRef] [PubMed]
- Boutron, I.; Altman, D.G.; Moher, D.; Schulz, K.F.; Ravaud, P. CONSORT Statement for randomized Trials of nonpharmacologic treatments: A 2017 update and a CONSORT extension for nonpharmacologic Trial Abstracts. Ann. Intern. Med. 2017, 167, 40–47. [Google Scholar] [CrossRef] [PubMed]
- Association, W.M. World Medical Association declaration of Helsinki. Ethical principles for medical research involving human subjects. JAMA 2013, 310, 2191–2194. [Google Scholar] [CrossRef]
- Green, J.M.; Miller, B.; Simpson, J.; Dubroc, D.; Keyes, A.; Neal, K.; Gann, J.; Andre, T. Effects of 2% dehydration on lactate concentration during constant-load cycling. J. Strength. Cond. Res. 2017, 32, 2066–2071. [Google Scholar] [CrossRef]
- Zhang, N.; Du, S.M.; Zhang, J.F.; Ma, G.S. Effects of dehydration and rehydration on cognitive performance and mood among male college students in Cangzhou, China: A self-controlled trial. Int. J. Environ. Res. Public. Health 2019, 16, 1891. [Google Scholar] [CrossRef]
- Armstrong, L.E. Assessing hydration status: The elusive gold standard. J. Am. Coll. Nutr. 2007, 26, 575S–584S. [Google Scholar] [CrossRef]
- American College of Sports Medicine. ACSM’s Guidelines for Exercise Testing and Prescription, 11th ed.; American College of Sports Medicine: Indianapolis, IN, USA, 2021. [Google Scholar]
- Đorđević, S.; Hadžović, M.; Lilić, A.; Jorgić, B.; Jelenković, L.; Stojiljković, N.; Katanić, B.; Stanković, M. Effects of non-compliance with the protocol on InBody 770 in students of different training. Sport Mont. 2024, 22, 23–29. [Google Scholar] [CrossRef]
- Barley, O.R.; Chapman, D.W.; Blazevich, A.J.; Abbiss, C.R. Acute dehydration impairs endurance without modulating neuromuscular function. Front. Physiol. 2018, 9, 1–10. [Google Scholar] [CrossRef]
- Muñoz, C.X.; Johnson, E.C.; Demartini, J.K.; Huggins, R.A.; McKenzie, A.L.; Casa, D.J.; Maresh, C.M.; Armstrong, L.E. Assessment of hydration biomarkers including salivary osmolality during passive and active dehydration. Eur. J. Clin. Nutr. 2013, 67, 1257–1263. [Google Scholar] [CrossRef]
- Thurlow, S.; Taylor-Covill, G.; Sahota, P.; Oldroyd, B.; Hind, K. Effects of procedure, upright equilibrium time, sex and BMI on the precision of body fluid measurements using bioelectrical impedance analysis. Eur. J. Clin. Nutr. 2018, 72, 148–153. [Google Scholar] [CrossRef] [PubMed]
- Więch, P.; Wołoszyn, F.; Trojnar, P.; Skórka, M.; Bazaliński, D. Does body position influence bioelectrical impedance? An observational pilot study. Int. J. Environ. Res. Public Health 2022, 19, 9908. [Google Scholar] [CrossRef]
- Lakens, D. Calculating and reporting effect sizes to facilitate cumulative science: A practical primer for t-tests and ANOVAs. Front. Psychol. 2013, 4, 1–12. [Google Scholar] [CrossRef] [PubMed]
- Bartz, A.E. Basic Statistical Concepts, 4th ed.; Merrill: Upper Saddle River, NJ, USA, 1999. [Google Scholar]
- Currell, K.; Jeukendrup, A.E. Validity, reliability and sensitivity of measures of sporting performance. Sports Med. 2008, 38, 297–316. [Google Scholar] [CrossRef] [PubMed]
- Hopkins, W.G. Measures of reliability in sports medicine and science. Sports Med. 2000, 30, 1–15. [Google Scholar] [CrossRef]
- Cannataro, R.; Cione, E.; Gallelli, L.; Marzullo, N.; Bonilla, D.A. Acute effects of supervised making weight on health markers, hormones and body composition in muay thai fighters. Sports 2020, 8, 137. [Google Scholar] [CrossRef]
- Tinsley, G.M.; Stratton, M.T.; Harty, P.S.; Williams, A.D.; White, S.J.; Rodriguez, C.; Dellinger, J.R.; Johnson, B.A.; Smith, R.W.; Trexler, E.T. Influence of acute water ingestion and prolonged standing on raw bioimpedance and subsequent body fluid and composition estimates. J. Electr. Bioimpedance 2022, 13, 10–20. [Google Scholar] [CrossRef] [PubMed]
- Algül, S.; Özçelik, O. Evaluation of effects of hydration and dehydration status on body composition analysis using bioelectrical impedance method. East. J. Med. 2022, 27, 258–263. [Google Scholar] [CrossRef]
- Dixon, C.B.; Ramos, L.; Fitzgerald, E.; Reppert, D.; Andreacci, J.L. The effect of acute fluid consumption on measures of impedance and percent body fat estimated using segmental bioelectrical impedance analysis. Eur. J. Clin. Nutr. 2009, 63, 1115–1122. [Google Scholar] [CrossRef]
- Dixon, C.B.; LoVallo, S.J.; Andreacci, J.L.; Goss, F.L. The effect of acute fluid consumption on measures of impedance and percent body fat using leg-to-leg bioelectrical impedance analysis. Eur. J. Clin. Nutr. 2006, 60, 142–146. [Google Scholar] [CrossRef] [PubMed]
- Schierbauer, J.; Günther, S.; Haupt, S.; Zimmer, R.T.; Herz, D.; Voit, T.; Zimmermann, P.; Wachsmuth, N.B.; Aberer, F.; Moser, O. Acute fluid intake impacts assessment of body composition via Bioelectrical Impedance Analysis. A randomized, controlled crossover pilot trial. Metabolites 2023, 13, 473. [Google Scholar] [CrossRef] [PubMed]
- Di Vincenzo, O.; Marra, M.; Sacco, A.M.; Pasanisi, F.; Scalfi, L. Bioelectrical impedance (BIA)-derived phase angle in adults with obesity: A systematic review. Clin. Nutr. 2021, 40, 5238–5248. [Google Scholar] [CrossRef]
- Ward, L.C.; Brantlov, S. Bioimpedance basics and phase angle fundamentals. Rev. Endocr. Metab. Disord. 2023, 24, 381–391. [Google Scholar] [CrossRef] [PubMed]
- Mattiello, R.; Amaral, M.A.; Mundstock, E.; Ziegelmann, P.K. Reference values for the phase angle of the electrical bioimpedance: Systematic review and meta-analysis involving more than 250,000 subjects. Clin. Nutr. 2020, 39, 1411–1417. [Google Scholar] [CrossRef]
- Kutáč, P. The effect of intake of water on the final values of body composition parameters in active athletes using two different bioimpedance analyzers. Acta Gymnica 2014, 44, 107–116. [Google Scholar] [CrossRef]
- Ugras, S. Evaluating of altered hydration status on effectiveness of body composition analysis using bioelectric impedance analysis. Libyan J. Med. 2020, 15, 1–5. [Google Scholar] [CrossRef]
- Cho, C.; Lee, S. Effects of urination, aerobic exercise, food and water ingestion on body composition measured by segmental bioelectrical impedance analysis. Exerc. Sci. 2021, 30, 472–480. [Google Scholar] [CrossRef]
- Androutsos, O.; Gerasimidis, K.; Karanikolou, A.; Reilly, J.J.; Edwards, C.A. Impact of eating and drinking on body composition measurements by bioelectrical impedance. J. Human. Nutr. Diet. 2015, 28, 165–171. [Google Scholar] [CrossRef] [PubMed]
- Marra, M.; Di Vincenzo, O.; Sammarco, R.; Morlino, D.; Scalfi, L. Bioimpedance phase angle in elite male athletes: A segmental approach. Physiol. Meas. 2020, 41, 125007. [Google Scholar] [CrossRef] [PubMed]
- Antonio, J.; Kenyon, M.; Ellerbroek, A.; Carson, C.; Tyler-Palmer, D.; Burgess, V.; Angeli, G.; Silver, T.; Jiannine, L.; Peacock, C. Body composition assessment: A comparison of the Bod Pod, InBody 770, and DXA. J. Exerc. Nutr. 2019, 2, 11. [Google Scholar]
- McLester, C.N.; Nickerson, B.S.; Kliszczewicz, B.M.; McLester, J.R. Reliability and agreement of various InBody body composition analyzers as compared to Dual-Energy X-Ray Absorptiometry in healthy men and women. J. Clin. Densitom. 2020, 23, 443–450. [Google Scholar] [CrossRef] [PubMed]
- Barnes, K.A.; Anderson, M.L.; Stofan, J.R.; Dalrymple, K.J.; Reimel, A.J.; Roberts, T.J.; Randell, R.K.; Ungaro, C.T.; Baker, L.B. Normative data for sweating rate, sweat sodium concentration, and sweat sodium loss in athletes: An update and analysis by sport. J. Sports Sci. 2019, 37, 2356–2366. [Google Scholar] [CrossRef] [PubMed]
- Aldobali, M.; Pal, K. Bioelectrical impedance analysis for evaluation of body composition: A review. In Proceedings of the 2021 International Congress of Advanced Technology and Engineering, ICOTEN 2021, Taiz, Yemen, 4–5 July 2021; Institute of Electrical and Electronics Engineers Inc.: Piscataway, NJ, USA, 2021. [Google Scholar] [CrossRef]
- O’Brien, C.; Young, A.J.; Sawka, M.N. Bioelectrical impedance to estimate changes in hydration status. Int. J. Sports Med. 2002, 23, 361–363. [Google Scholar] [CrossRef] [PubMed]
- Forejt, M.; Pokorová, K.; Uher, M.; Novák, J.; Čermáková, E. Changes in segmental impedances and selected body composition parameters assessed by multi-frequency bioimpedance analysis after fluid consumption in healthy young population. Int. J. Med. Sci. 2023, 20, 1783–1790. [Google Scholar] [CrossRef] [PubMed]
- Matthews, E.L.; Hosick, P.A. Bioelectrical impedance analysis does not detect an increase in total body water following isotonic fluid consumption. Appl. Physiol. Nutr. Metab. 2019, 44, 1116–1120. [Google Scholar] [CrossRef]
- Barley, O.R.; Chapman, D.W.; Abbiss, C.R. Reviewing the current methods of assessing hydration in athletes. J. Int. Soc. Sports Nutr. 2020, 17, 52. [Google Scholar] [CrossRef]
- Carpio-Rivera, E.; Chacón-Araya, Y.; Moncada-Jiménez, J. Effect of exercise-induced body fluid redistribution on body composition in males using dual energy X-ray absorptiometry. J. Sports Sci. 2024, 42, 255–262. [Google Scholar] [CrossRef] [PubMed]
- Isacco, L.; Ennequin, G.; Boisseau, N. Influence of the different hormonal status changes during their life on fat mass localisation in women: A narrative review. Arch. Physiol. Biochem. 2023, 129, 1229–1234. [Google Scholar] [CrossRef] [PubMed]
- Bongiovanni, T.; Rossi, A.; Trecroci, A.; Martera, G.; Iaia, F.; Alberti, G.; Pasta, G.; Lacome, M. Regional bioelectrical phase angle is more informative than whole-body phase angle for monitoring neuromuscular performance: A pilot study in elite young soccer players. Access J. 2022, 2022, 66. [Google Scholar] [CrossRef] [PubMed]
- Zhang, J.; Zhang, N.; Du, S.; Liu, S.; Ma, G. Acute water supplementation improved the body composition of young female adults after water restriction of 12 h in Baoding, China: A randomized controlled trial (RCT). Front. Nutr. 2022, 9, 880630. [Google Scholar] [CrossRef]
- Campa, F.; Gatterer, H.; Lukaski, H.; Toselli, S. Stabilizing bioimpedance-vector-analysis measures with a 10-minute cold shower after running exercise to enable assessment of body hydration. Int. J. Sports Physiol. Perform. 2019, 14, 1006–1009. [Google Scholar] [CrossRef]



| Variable | Pre-Test | Post-Test | MDiff | p | Effect Size | 95% CI for Effect Size | n | % | 95% CI MDiff | ||
|---|---|---|---|---|---|---|---|---|---|---|---|
| Lower | Upper | Lower | Upper | ||||||||
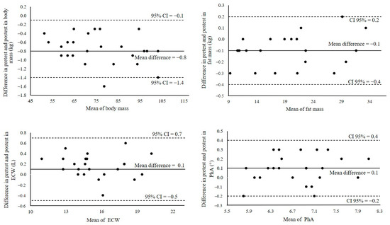
| Body mass (kg) | 76.7 ± 15.9 | 75.9 ± 15.8 a | −0.8 | <0.001 | 2.25 | 1.50 | 2.99 | 24 | 96 | −1.4 | −0.1 |
| Fat mass (kg) | 18.4 ± 8.0 | 17.5 ± 8.1 a | −0.9 | <0.001 | 0.83 | 0.62 | 0.93 | 25 | 100 | 0.2 | −0.4 |
| SMM (kg) | 33.1 ± 5.7 | 33.0 ± 5.9 a | 0.1 | 0.463 | −0.15 | −0.54 | 0.25 | 24 | 96 | −1.0 | 1.1 |
| TBW (L) | 42.5 ± 6.8 | 42.7 ± 6.6 b | 0.2 | 0.059 | −0.43 | −0.72 | −0.02 | 25 | 100 | −1.1 | 1.5 |
| ICW (L) | 26.9 ± 4.4 | 27.0 ± 4.2 a | 0.1 | 0.492 | −0.14 | −0.53 | 0.26 | 24 | 96 | −0.7 | 0.8 |
| ECW (L) | 15.6 ± 2.5 | 15.7 ± 2.4 b | 0.1 | 0.021 | −0.58 | −0.82 | −0.17 | 25 | 100 | −0.5 | 0.7 |
| PhA (°) | 6.76 ± 0.6 | 6.85 ± 0.6 a | 0.1 | 0.005 | −0.61 | −1.04 | −0.18 | 25 | 100 | −0.2 | 0.4 |
| Variable | TEM | CV (%) | SWC | MAPE (%) |
|---|---|---|---|---|
| BM (kg) | 0.24 | 0.31 | 0.07 | 1.0 |
| FM (kg) | 0.62 | 3.43 | 0.17 | 1.6 |
| SMM (kg) | 0.38 | 1.14 | 0.11 | 1.6 |
| TBW (L) | 0.48 | 1.12 | 0.13 | 1.3 |
| ICW (L) | 0.28 | 1.05 | 0.08 | 1.2 |
| ECW (L) | 0.21 | 1.36 | 0.06 | 1.6 |
| PhA (°) | 0.10 | 1.52 | 0.03 | 2.1 |
Disclaimer/Publisher’s Note: The statements, opinions and data contained in all publications are solely those of the individual author(s) and contributor(s) and not of MDPI and/or the editor(s). MDPI and/or the editor(s) disclaim responsibility for any injury to people or property resulting from any ideas, methods, instructions or products referred to in the content. |
© 2024 by the authors. Licensee MDPI, Basel, Switzerland. This article is an open access article distributed under the terms and conditions of the Creative Commons Attribution (CC BY) license (https://creativecommons.org/licenses/by/4.0/).
Share and Cite
Aburto-Corona, J.A.; Calleja-Núñez, J.J.; Moncada-Jiménez, J.; de Paz, J.A. The Effect of Passive Dehydration on Phase Angle and Body Composition: A Bioelectrical Impedance Analysis. Nutrients 2024, 16, 2202. https://doi.org/10.3390/nu16142202
Aburto-Corona JA, Calleja-Núñez JJ, Moncada-Jiménez J, de Paz JA. The Effect of Passive Dehydration on Phase Angle and Body Composition: A Bioelectrical Impedance Analysis. Nutrients. 2024; 16(14):2202. https://doi.org/10.3390/nu16142202
Chicago/Turabian StyleAburto-Corona, Jorge A., Juan J. Calleja-Núñez, José Moncada-Jiménez, and José Antonio de Paz. 2024. "The Effect of Passive Dehydration on Phase Angle and Body Composition: A Bioelectrical Impedance Analysis" Nutrients 16, no. 14: 2202. https://doi.org/10.3390/nu16142202
APA StyleAburto-Corona, J. A., Calleja-Núñez, J. J., Moncada-Jiménez, J., & de Paz, J. A. (2024). The Effect of Passive Dehydration on Phase Angle and Body Composition: A Bioelectrical Impedance Analysis. Nutrients, 16(14), 2202. https://doi.org/10.3390/nu16142202

