Predictive Glycaemic Response of Pasta Enriched with Juice, Puree, and Pomace from Red Cabbage and Spinach
Abstract
1. Introduction
2. Materials and Methods
2.1. Materials
2.2. Vegetable Preparation
2.3. Pasta Preparation
2.4. Total Starch and Dietary Fibre Analysis
2.5. In Vitro Digestion
2.6. Sample Extraction for Antioxidant Analysis and α-Amylase Inhibition
2.7. Antioxidant Analysis
2.8. Determination of α-Amylase Inhibition
2.9. Sample Extraction for β-Carotene Analysis
2.10. HPLC Analysis of β-Carotene
2.11. Statistical Analysis
3. Results and Discussion
3.1. In Vitro Starch Digestion Versus Total Starch Content
3.2. In Vitro Starch Digestion Versus α-Amylase Inhibition Effect
3.3. In Vitro Starch Digestion Versus Dietary Fibre
3.4. Total Phenolic Contents (TPC)
3.5. β-Carotene Content of Spinach Pasta and Raw Material
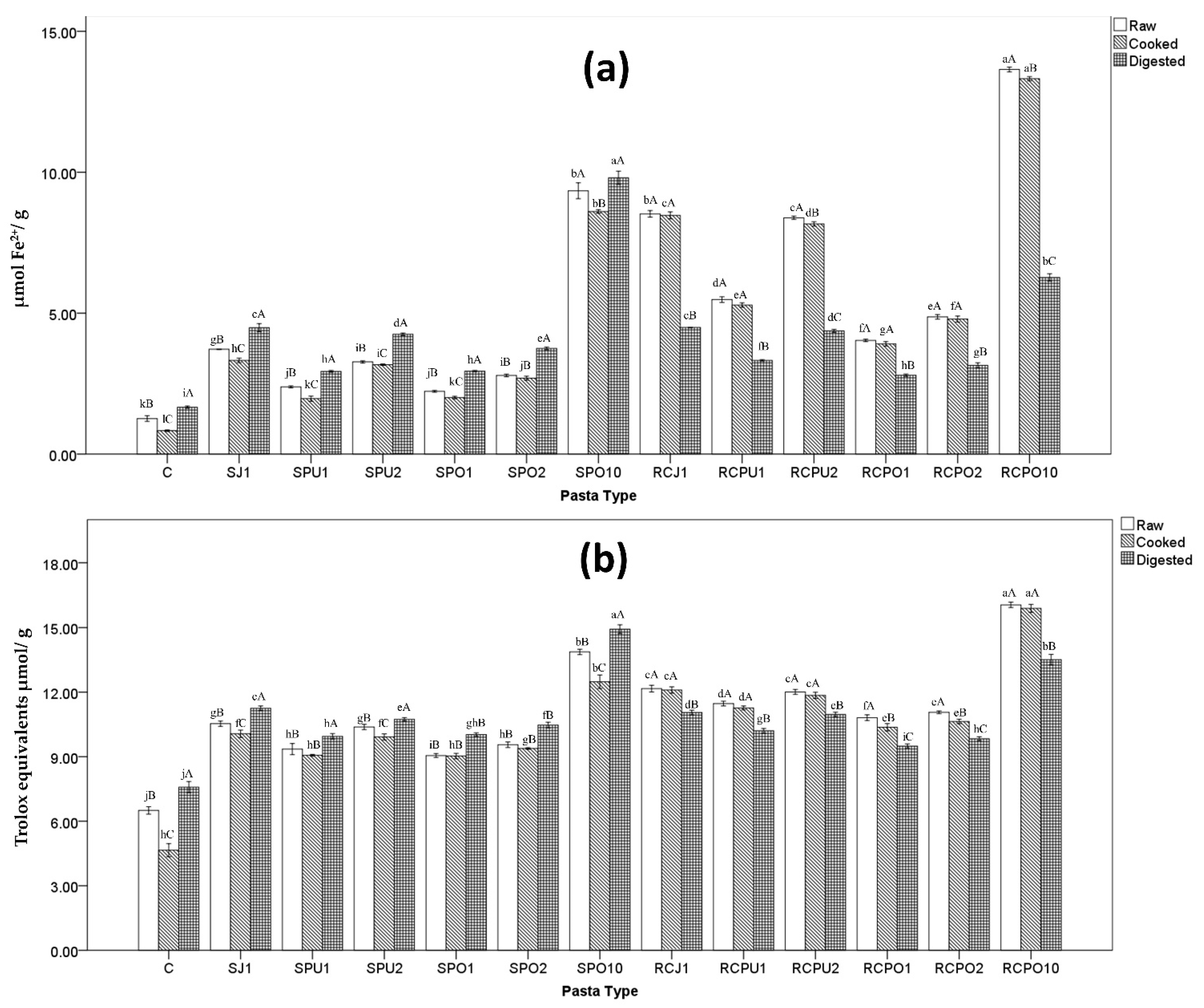
3.6. Antioxidant Capacities
4. Conclusions
Supplementary Materials
Author Contributions
Funding
Institutional Review Board Statement
Informed Consent Statement
Data Availability Statement
Acknowledgments
Conflicts of Interest
References
- Simonato, B.; Trevisan, S.; Tolve, R.; Favati, F.; Pasini, G. Pasta fortification with olive pomace: Effects on the technological characteristics and nutritional properties. LWT 2019, 114, 108368. [Google Scholar] [CrossRef]
- Rachman, A.; Brennan, M.A.; Morton, J.; Brennan, C.S. Effect of Egg White Protein and Soy Protein Isolate Addition on Nutritional Properties and In-Vitro Digestibility of Gluten-Free Pasta Based on Banana Flour. Foods 2020, 9, 589. [Google Scholar] [CrossRef] [PubMed]
- Zou, W.; Sissons, M.; Gidley, M.J.; Gilbert, R.G.; Warren, F.J. Combined techniques for characterising pasta structure reveals how the gluten network slows enzymic digestion rate. Food Chem. 2015, 188, 559–568. [Google Scholar] [CrossRef] [PubMed]
- Papoutsis, K.; Zhang, J.; Bowyer, M.C.; Brunton, N.; Gibney, E.R.; Lyng, J. Fruit, vegetables, and mushrooms for the preparation of extracts with α-amylase and α-glucosidase inhibition properties: A review. Food Chem. 2020, 338, 128119. [Google Scholar] [CrossRef]
- Mu, J.; Wu, G.; Chen, Z.; Klosek, A.; Brennan, M.A.; Hui, X.; Brennan, C.S. The effects of blackcurrant and strawberry powder on the physicochemical and in vitro glycaemic response of starches derived from sweet potato (Ipomoea batatas) and potato (Solanum tuberosum). Int. J. Food Sci. Technol. 2021, 56, 6062–6072. [Google Scholar] [CrossRef]
- Dhingra, D.; Michael, M.; Rajput, H.; Patil, R.T. Dietary fibre in foods: A review. J. Food Sci. Technol. 2012, 49, 255–266. [Google Scholar] [CrossRef]
- Marinelli, V.; Padalino, L.; Conte, A.; Del Nobile, M.A.; Briviba, K. Red Grape Marc Flour as Food Ingredient in Durum Wheat Spaghetti: Nutritional Evaluation and Bioaccessibility of Bioactive Compounds. Food Sci. Technol. Res. 2018, 24, 1093–1100. [Google Scholar] [CrossRef]
- Jalgaonkar, K.; Jha, S.K.; Mahawar, M.K. Influence of incorporating defatted soy flour, carrot powder, mango peel powder, and moringa leaves powder on quality characteristics of wheat semolina-pearl millet pasta. J. Food Process. Preserv. 2018, 42, e13575. [Google Scholar] [CrossRef]
- Sant’Anna, V.; Christiano, F.D.P.; Marczak, L.D.F.; Tessaro, I.C.; Thys, R.C.S. The effect of the incorporation of grape marc powder in fettuccini pasta properties. LWT 2014, 58, 497–501. [Google Scholar] [CrossRef]
- Gaita, C.; Alexa, E.; Moigradean, D.; Conforti, F.; Poiana, M.-A. Designing of high value-added pasta formulas by incorporation of grape pomace skins. Romanian Biotechnol. Lett. 2020, 25, 1607–1614. [Google Scholar] [CrossRef]
- Kowalczewski, P.; Lewandowicz, G.; Makowska, A.; Knoll, I.; Błaszczak, W.; Białas, W.; Kubiak, P. Pasta Fortified with Potato Juice: Structure, Quality, and Consumer Acceptance. J. Food Sci. 2015, 80, S1377–S1382. [Google Scholar] [CrossRef] [PubMed]
- Sun-Waterhouse, D.; Jin, D.; Waterhouse, G. Effect of adding elderberry juice concentrate on the quality attributes, polyphenol contents and antioxidant activity of three fibre-enriched pastas. Food Res. Int. 2013, 54, 781–789. [Google Scholar] [CrossRef]
- Reißner, A.; Struck, S.; Alba, K.; Proserpio, C.; Foschino, R.; Turner, C.; Hernando, I.; Zahn, S.; Rohm, H. Cross-national differences in consumer responses to savoury crackers containing blackcurrant pomace. Int. J. Food Sci. Technol. 2021, 56, 5007–5016. [Google Scholar] [CrossRef]
- Vyas, M. Nutritional profile of spinach and its antioxidant & antidiabetic evaluation. Int. J. Green Pharm. 2017, 11, 1125. [Google Scholar] [CrossRef][Green Version]
- Wu, J.S.; Shen, S.-C.; Sinha, N.; Hui, Y. Processing of vegetable juice and blends. In Handbook of Vegetables and Vegetable Processing; Wiley Online Library: Hoboken, NJ, USA, 2011; pp. 335–350. [Google Scholar]
- AOAC. AOAC Offical Method 911.43 Total, Soluble, and Insoluble Dietary Fiber in Foods. In AOAC Offical Methods of Analysis; Oxford University Press Inc.: Oxford, UK, 2005. [Google Scholar]
- Peressini, D.; Cavarape, A.; Brennan, M.A.; Gao, J.; Brennan, C.S. Viscoelastic properties of durum wheat doughs enriched with soluble dietary fibres in relation to pasta-making performance and glycaemic response of spaghetti. Food Hydrocoll. 2019, 102, 105613. [Google Scholar] [CrossRef]
- Lu, X.; Brennan, M.A.; Serventi, L.; Liu, J.; Guan, W.; Brennan, C.S. Addition of mushroom powder to pasta enhances the antioxidant content and modulates the predictive glycaemic response of pasta. Food Chem. 2018, 264, 199–209. [Google Scholar] [CrossRef]
- Sultana, R.; Alashi, A.M.; Islam, K.; Saifullah, M.; Haque, C.E.; Aluko, R.E. Inhibitory Activities of Polyphenolic Extracts of Bangladeshi Vegetables against α-Amylase, α-Glucosidase, Pancreatic Lipase, Renin, and Angiotensin-Converting Enzyme. Foods 2020, 9, 844. [Google Scholar] [CrossRef]
- Van Leeuwe, M.; Villerius, L.; Roggeveld, J.; Visser, R.; Stefels, J. An optimized method for automated analysis of algal pigments by HPLC. Mar. Chem. 2006, 102, 267–275. [Google Scholar] [CrossRef]
- Cleary, L.; Brennan, C. The influence of a (1→3)(1→4)-β-d-glucan rich fraction from barley on the physico-chemical properties and in vitro reducing sugars release of durum wheat pasta. Int. J. Food Sci. Technol. 2006, 41, 910–918. [Google Scholar] [CrossRef]
- Chusak, C.; Chanbunyawat, P.; Chumnumduang, P.; Chantarasinlapin, P.; Suantawee, T.; Adisakwattana, S. Effect of gac fruit (Momordica cochinchinensis) powder on in vitro starch digestibility, nutritional quality, textural and sensory characteristics of pasta. LWT 2019, 118, 108856. [Google Scholar] [CrossRef]
- Biney, K.; Beta, T. Phenolic profile and carbohydrate digestibility of durum spaghetti enriched with buckwheat flour and bran. LWT 2014, 57, 569–579. [Google Scholar] [CrossRef]
- Jayawardena, S.R.; Morton, J.D.; Brennan, C.S.; Bekhit, A.E.-D.A. Utilisation of beef lung protein powder as a functional ingredient to enhance protein and iron content of fresh pasta. Int. J. Food Sci. Technol. 2019, 54, 610–618. [Google Scholar] [CrossRef]
- Tazrart, K.; Zaidi, F.; Lamacchia, C.; Haros, M. Effect of durum wheat semolina substitution with broad bean flour (Vicia faba) on the Maccheronccini pasta quality. Eur. Food Res. Technol. 2015, 242, 477–485. [Google Scholar] [CrossRef]
- Barkat, N.; Singh, J.; Jayaprakasha, G.K.; Patil, B.S. Effect of harvest time on the levels of phytochemicals, free radical-scavenging activity, α -amylase inhibition and bile acid-binding capacity of spinach (Spinacia oleracea). J. Sci. Food Agric. 2018, 98, 3468–3477. [Google Scholar] [CrossRef]
- McDougall, G.J.; Shpiro, F.; Dobson, P.; Smith, P.; Blake, A.A.; Stewart, D. Different Polyphenolic Components of Soft Fruits Inhibit α-Amylase and α-Glucosidase. J. Agric. Food Chem. 2005, 53, 2760–2766. [Google Scholar] [CrossRef] [PubMed]
- Yusuf, E.; Wojdyło, A.; Oszmiański, J.; Nowicka, P. Nutritional, Phytochemical Characteristics and In Vitro Effect on α-Amylase, α-Glucosidase, Lipase, and Cholinesterase Activities of 12 Coloured Carrot Varieties. Foods 2021, 10, 808. [Google Scholar] [CrossRef]
- Barrett, A.H.; Farhadi, N.F.; Smith, T.J. Slowing starch digestion and inhibiting digestive enzyme activity using plant flavanols/tannins—A review of efficacy and mechanisms. LWT 2018, 87, 394–399. [Google Scholar] [CrossRef]
- Takahama, U.; Hirota, S. Interactions of flavonoids with α-amylase and starch slowing down its digestion. Food Funct. 2017, 9, 677–687. [Google Scholar] [CrossRef]
- Sobota, A.; Zarzycki, P. Effect of Pasta Cooking Time on the Content and Fractional Composition of Dietary Fiber. J. Food Qual. 2013, 36, 127–132. [Google Scholar] [CrossRef]
- Chau, C.-F.; Chen, C.-H.; Lee, M.-H. Comparison of the characteristics, functional properties, and in vitro hypoglycemic effects of various carrot insoluble fiber-rich fractions. LWT 2004, 37, 155–160. [Google Scholar] [CrossRef]
- Brennan, C.S.; Tudorica, C.M. Evaluation of potential mechanisms by which dietary fiber additions reduce the predicted glycaemic index of fresh pastas. Int. J. Food Sci. Technol. 2008, 43, 2151–2162. [Google Scholar] [CrossRef]
- Tudoricǎ, C.M.; Kuri, V.; Brennan, C.S. Nutritional and Physicochemical Characteristics of Dietary Fiber Enriched Pasta. J. Agric. Food Chem. 2002, 50, 347–356. [Google Scholar] [CrossRef] [PubMed]
- Vignola, M.B.; Bustos, M.C.; Pérez, G.T. Comparison of quality attributes of refined and whole wheat extruded pasta. LWT 2018, 89, 329–335. [Google Scholar] [CrossRef]
- Foschia, M.; Peressini, D.; Sensidoni, A.; Brennan, C. The effects of dietary fibre addition on the quality of common cereal products. J. Cereal Sci. 2013, 58, 216–227. [Google Scholar] [CrossRef]
- Fares, C.; Codianni, P.; Nigro, F.; Platani, C.; Scazzina, F.; Pellegrini, N. Processing and cooking effects on chemical, nutritional and functional properties of pasta obtained from selected emmer genotypes. J. Sci. Food Agric. 2008, 88, 2435–2444. [Google Scholar] [CrossRef]
- Koehnlein, E.A.; Koehnlein, M.; Corrêa, R.C.G.; Nishida, V.S.; Correa, V.G.; Bracht, A.; Peralta, R.M. Analysis of a whole diet in terms of phenolic content and antioxidant capacity: Effects of a simulated gastrointestinal digestion. Int. J. Food Sci. Nutr. 2016, 67, 614–623. [Google Scholar] [CrossRef]
- Gawlik-Dziki, U.; Dziki, D.; Baraniak, B.; Lin, R. The effect of simulated digestion in vitro on bioactivity of wheat bread with Tartary buckwheat flavones addition. LWT Food Sci. Technol. 2009, 42, 137–143. [Google Scholar] [CrossRef]
- Yuan, X.; Xiao, J.; Liu, X.; McClements, D.J.; Cao, Y.; Xiao, H. The gastrointestinal behavior of emulsifiers used to formulate excipient emulsions impact the bioavailability of β-carotene from spinach. Food Chem. 2018, 278, 811–819. [Google Scholar] [CrossRef]
- Hiranvarachat, B.; Suvarnakuta, P.; Devahastin, S. Isomerisation kinetics and antioxidant activities of β-carotene in carrots undergoing different drying techniques and conditions. Food Chem. 2008, 107, 1538–1546. [Google Scholar] [CrossRef]
- Marx, M. Effects of thermal processing on trans–cis-isomerization of β-carotene in carrot juices and carotene-containing preparations. Food Chem. 2003, 83, 609–617. [Google Scholar] [CrossRef]
- Courraud, J.; Berger, J.; Cristol, J.-P.; Avallone, S. Stability and bioaccessibility of different forms of carotenoids and vitamin A during in vitro digestion. Food Chem. 2013, 136, 871–877. [Google Scholar] [CrossRef] [PubMed]
- Wootton-Beard, P.C.; Moran, A.; Ryan, L. Stability of the total antioxidant capacity and total polyphenol content of 23 commercially available vegetable juices before and after in vitro digestion measured by FRAP, DPPH, ABTS and Folin–Ciocalteu methods. Food Res. Int. 2011, 44, 217–224. [Google Scholar] [CrossRef]
- Podsędek, A.; Redzynia, M.; Klewicka, E.; Koziołkiewicz, M. Matrix Effects on the Stability and Antioxidant Activity of Red Cabbage Anthocyanins under Simulated Gastrointestinal Digestion. BioMed. Res. Int. 2014, 2014, 365738. [Google Scholar] [CrossRef] [PubMed]
- McDougall, G.J.; Fyffe, S.; Dobson, P.; Stewart, D. Anthocyanins from red cabbage—Stability to simulated gastrointestinal digestion. Phytochemistry 2007, 68, 1285–1294. [Google Scholar] [CrossRef] [PubMed]


| Pasta Type | Semolina g | Water g | Vegetable Amount g | Dry Matter from Vegetable g |
|---|---|---|---|---|
| C | 100 | 30 | 0 | 0 |
| Spinach Pasta | ||||
| SJ1 | 99 | 21 | 10 | 1 |
| SPU1 | 99 | 12 | 19 | 1 |
| SPU2 | 98 | 23 | 9 | 2 |
| SPO1 | 99 | 30 | 1 | 1 * |
| SPO2 | 98 | 30 | 2 | 2 * |
| SPO10 | 90 | 30 | 10 | 10 * |
| Red Cabbage Pasta | ||||
| RCJ1 | 99 | 24 | 7 | 1 |
| RCPU1 | 99 | 23 | 9 | 1 |
| RCPU2 | 98 | 23 | 9 | 2 |
| RCPO1 | 99 | 30 | 1 | 1 * |
| RCPO2 | 98 | 30 | 2 | 2 * |
| RCPO10 | 90 | 30 | 10 | 10 * |
| Pasta Type | Total Starch g/100 g | Total Dietary Fibre g/100 g | Soluble Dietary Fibre g/100 g | Insoluble Dietary Fibre g/100 g |
|---|---|---|---|---|
| Spinach Pasta | ||||
| C | 70.2 ± 0.3 a | 3.72 ± 0.30 d | 1.46 ± 0.18 c | 2.26 ± 0.12 d |
| SJ1 | 69.5 ± 0.5 b | 3.88 ± 0.28 cd | 1.58 ± 0.01 c | 2.30 ± 0.29 d |
| SPU1 | 69.5 ± 0.5 b | 3.95 ± 0.07 cd | 1.58 ± 0.03 c | 2.37 ± 0.04 cd |
| SPU2 | 68.4 ± 0.5 c | 4.26 ± 0.11 c | 1.63 ± 0.05 bc | 2.63 ± 0.06 bc |
| SPO1 | 69.3 ± 0.4 b | 4.17 ± 0.09 c | 1.66 ± 0.07 bc | 2.51 ± 0.03 cd |
| SPO2 | 68.6 ± 0.5 c | 4.74 ± 0.09 b | 1.89 ± 0.12 b | 2.93 ± 0.0 4 b |
| SPO10 | 60.8 ± 0.36 d | 9.01 ± 0.11 a | 3.13 ± 0.02 a | 5.89 ± 0.13 a |
| Red Cabbage Pasta | ||||
| C | 70.2 ± 0.3 a | 3.72 ± 0.30 f | 1.46 ± 0.18 d | 2.26 ± 0.12 f |
| RCJ1 | 68.4 ± 0.5 b | 4.04 ± 0.09 ef | 1.65 ± 0.18 bcd | 2.40 ± 0.15 ef |
| RCPU1 | 68.5 ± 0.4 b | 4.16 ± 0.08 de | 1.57 ± 0.04 cd | 2.58 ± 0.04 de |
| RCPU2 | 67.3 ± 0.6 c | 4.47 ± 0.14 cd | 1.77 ± 0.08 bc | 2.86 ± 0.05 c |
| RCPO1 | 68.4 ± 0.4 b | 4.63± 0.04 c | 1.68 ± 0.11 bcd | 2.78 ± 0.03 cd |
| RCPO2 | 67.3 ± 0.4 c | 5.29 ± 0.07 b | 1.87 ± 0.03 b | 3.43 ± 0.10 b |
| RCPO10 | 60.0 ± 0.5 d | 12.07 ± 0.11 a | 3.57 ± 0.18 a | 8.51 ± 0.07 a |
| Sample | Inhibition IC50 Value |
|---|---|
| Raw Material | |
| Spinach juice | 0.05 mg/ml |
| Spinach puree | 0.05 mg/ml |
| Spinach pomace | 0.24 mg/ml |
| Red cabbage juice | 4.59 mg/ml |
| Red cabbage puree | 3.02 mg/ml |
| Red cabbage pomace | 12.5 mg/ml |
| Pasta Sample | |
| SJ1 | 6.57 mg/ml |
| SPO10 | 3.12 mg/ml |
| RCJ1 | >100 mg/ml |
| RCPO10 | >100 mg/ml |
| TPC (mg GAE/100 g) | |||
|---|---|---|---|
| Pasta Type | Raw | Cooked | Digested |
| Spinach pasta | |||
| C | 441 ± 4 e | 232 ± 3 d | 1725 ± 33 d |
| SJ1 | 571 ± 18 b | 317 ± 4 b | 1866 ± 14 b |
| SPU1 | 490 ± 8 d | 273 ± 4 c | 1788 ± 18 c |
| SPU2 | 522 ± 3 c | 327 ± 9 b | 1869 ± 35 b |
| SPO1 | 456 ± 8 e | 266 ± 2 c | 1781 ± 21 c |
| SPO2 | 499 ± 14 cd | 315 ± 6 b | 1854 ± 49 b |
| SPO10 | 850 ± 29 a | 621 ± 14 a | 2023 ± 23 a |
| Red cabbage pasta | |||
| C | 441 ± 4 g | 231 ± 3 f | 1725 ± 33 d |
| RCJ1 | 804 ± 4 b | 532 ± 4 b | 1934 ± 26 b |
| RCPU1 | 713 ± 10 d | 367 ± 2 d | 1897 ± 26 bc |
| RCPU2 | 779 ± 7 c | 497 ± 11 c | 1922 ± 43 b |
| RCPO1 | 549 ± 3 f | 285 ± 5 e | 1832 ± 29 c |
| RCPO2 | 600 ± 5 e | 369 ± 5 d | 1894 ± 67 bc |
| RCPO10 | 1140 ± 7 a | 791 ± 8 a | 2070 ± 27 a |
| Spinach Raw Material μg/g | |||
|---|---|---|---|
| Spinach juice | 27.6 ± 0.8 a | ||
| Spinach puree | 28.2 ± 0.8 a | ||
| Spinach pomace | 17.9 ± 0.6 b | ||
| Spinach Pasta | |||
| Pasta Type | Raw μg/g | Cooked μg/g | Digested μg/g |
| C | 0.03 ± 0.00 fA | 0.03 ± 0.00 eA | 0.03 ± 0.00 fB |
| SJ1 | 0.32 ± 0.01 dA | 0.31 ± 0.01 cA | 0.24 ± 0.01 dB |
| SPU1 | 0.31 ± 0.01 dA | 0.30 ± 0.01 cA | 0.23 ± 0.01 dB |
| SPO1 | 0.19 ± 0.01 eA | 0.18 ± 0.01 dA | 0.14 ± 0.01 eB |
| SPU2 | 0.58 ± 0.01 bA | 0.57 ± 0.01 bA | 0.42 ± 0.01 bB |
| SPO2 | 0.36 ± 0.01 cA | 0.36 ± 0.01 cA | 0.27 ± 0.01 cB |
| SPO10 | 1.99 ± 0.01 aA | 2.00 ± 0.15 aA | 1.50 ± 0.03 aB |
Publisher’s Note: MDPI stays neutral with regard to jurisdictional claims in published maps and institutional affiliations. |
© 2022 by the authors. Licensee MDPI, Basel, Switzerland. This article is an open access article distributed under the terms and conditions of the Creative Commons Attribution (CC BY) license (https://creativecommons.org/licenses/by/4.0/).
Share and Cite
Wang, J.; Brennan, M.A.; Brennan, C.S.; Serventi, L. Predictive Glycaemic Response of Pasta Enriched with Juice, Puree, and Pomace from Red Cabbage and Spinach. Nutrients 2022, 14, 4575. https://doi.org/10.3390/nu14214575
Wang J, Brennan MA, Brennan CS, Serventi L. Predictive Glycaemic Response of Pasta Enriched with Juice, Puree, and Pomace from Red Cabbage and Spinach. Nutrients. 2022; 14(21):4575. https://doi.org/10.3390/nu14214575
Chicago/Turabian StyleWang, Jinghong, Margaret Anne Brennan, Charles Stephen Brennan, and Luca Serventi. 2022. "Predictive Glycaemic Response of Pasta Enriched with Juice, Puree, and Pomace from Red Cabbage and Spinach" Nutrients 14, no. 21: 4575. https://doi.org/10.3390/nu14214575
APA StyleWang, J., Brennan, M. A., Brennan, C. S., & Serventi, L. (2022). Predictive Glycaemic Response of Pasta Enriched with Juice, Puree, and Pomace from Red Cabbage and Spinach. Nutrients, 14(21), 4575. https://doi.org/10.3390/nu14214575

