The Expansion of the Hellenic Food Thesaurus; Allergens Labelling and Allergens-Free Claims on Greek Branded Food Products
Abstract
:1. Introduction
2. Materials and Methods
2.1. Expanding the HelTH Structure
2.2. Curating Allergen Data and Allergen-Related Claims in the Expanded HelTH Database
- (A)
- For recording the presence of allergens in a given food in the variable “allergens used as ingredients”: an ingredient should be among the 14 allergens listed in the European Regulation [28] named and highlighted in the ingredient list or at the end of the list preceded by statement such as “contain”. Presence of milk allergens in the “traditional yogurts” subcategory and in some cheeses was recorded regardless of presence of ingredients list according to Regulation [35].
- (B)
- For recording the potential presence of allergens in a given food in the variable “allergens used in a precautionary statement”: an ingredient should be among the 14 allergens listed in the European regulation [28] and mentioned on the label with a statement such as “may contain traces of”, “manufactured in a facility that also processed”, “may be present”. Adventitious presence and presence of traces were grouped.
- (C)
2.3. Analysis of Prevalence of Allergens in the Greek Branded Foodscape
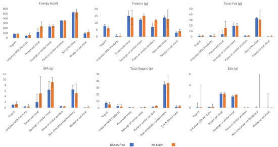
2.4. Comparison of the Nutritional Composition of Products Carrying Allergen-Free Claims to Their Corresponding Counterparts
3. Results
3.1. Introducing Allergen Data in the Expanded HelTH Database
3.2. Allergens in the Ingredient List of the Food
3.3. Allergens in a Precautionary Statement
3.4. Allergen-Free Claims
4. Discussion
5. Conclusions
Supplementary Materials
Author Contributions
Funding
Institutional Review Board Statement
Informed Consent Statement
Data Availability Statement
Conflicts of Interest
References
- Kretser, A.; Murphy, D.; Starke-Reed, P. A Partnership for Public Health: USDA Branded Food Products Database. J. Food Compos. Anal. 2017, 64, 10–12. [Google Scholar] [CrossRef]
- Menard, C.; Dumas, C.; Goglia, R.; Spiteri, M.; Gillot, N.; Combris, P.; Ireland, J.; Soler, L.G.; Volatier, J.L. OQALI: A French Database on Processed Foods. J. Food Compos. Anal. 2011, 24, 744–749. [Google Scholar] [CrossRef]
- Katidi, A.; Vlassopoulos, A.; Kapsokefalou, M. Development of the Hellenic Food Thesaurus (HelTH), a Branded Food Composition Database: Aims, Design and Preliminary Findings. Food Chem. 2021, 347, 129010. [Google Scholar] [CrossRef] [PubMed]
- Seeuws, C. Belgian Branded Food Products Database: Inform Consumers on a Healthy Lifestyle in a Public-Private Partnership. J. Food Compos. Anal. 2017, 64, 39–42. [Google Scholar] [CrossRef]
- Katidi, A.; Pavlopoulou, A.; Vlassopoulos, A.; Kapsokefalou, M. The Nutritional Composition of Natural and Organic Branded Food Products: A Cross-Sectional Analysis of the Greek Foodscape. Nutrients 2022, 14, 808. [Google Scholar] [CrossRef]
- Ahmed, M.; Schermel, A.; Lee, J.; Weippert, M.; Franco-Arellano, B.; L’Abbé, M. Development of the Food Label Information Program: A Comprehensive Canadian Branded Food Composition Database. Front. Nutr. 2022, 8, 825050. [Google Scholar] [CrossRef]
- Carter, M.C.; Hancock, N.; Albar, S.A.; Brown, H.; Greenwood, D.C.; Hardie, L.J.; Frost, G.S.; Wark, P.A.; Cade, J.E. Development of a New Branded UK Food Composition Database for an Online Dietary Assessment Tool. Nutrients 2016, 8, 480. [Google Scholar] [CrossRef]
- Kapsokefalou, M.; Roe, M.; Turrini, A.; Costa, H.S.; Martinez-Victoria, E.; Marletta, L.; Berry, R.; Finglas, P. Food Composition at Present: New Challenges. Nutrients 2019, 11, 1714. [Google Scholar] [CrossRef]
- Grunert, K.G. Trends in Food Choice and Nutrition. EAAP Sci. Ser. 2012, 133, 23–30. [Google Scholar] [CrossRef]
- Kearney, J. Food Consumption Trends and Drivers. Philos. Trans. R. Soc. B Biol. Sci. 2010, 365, 2793–2807. [Google Scholar] [CrossRef]
- The Global Food Economy: The Battle for the Future of Farming—Anthony John Weis, Tony Weis—Google Books. Available online: https://books.google.gr/books?hl=en&lr=&id=yxLblqMoBiEC&oi=fnd&pg=PA1&ots=5MXDi6vDtS&sig=wocFdo8vYSigbkH_eT2fvyDITeU&redir_esc=y#v=onepage&q&f=false (accessed on 28 June 2022).
- Battisti, C.; Chambefort, A.; Digaud, O.; Duplessis, B.; Perrin, C.; Volatier, J.L.; Gauvreau-Béziat, J.; Menard, C. Allergens Labeling on French Processed Foods—An Oqali Study. Food Sci. Nutr. 2017, 5, 881–888. [Google Scholar] [CrossRef]
- Food Allergies|FDA. Available online: https://www.fda.gov/food/food-labeling-nutrition/food-allergies (accessed on 28 June 2022).
- Lyons, S.A.; Clausen, M.; Knulst, A.C.; Ballmer-Weber, B.K.; Fernandez-Rivas, M.; Barreales, L.; Bieli, C.; Dubakiene, R.; Fernandez-Perez, C.; Jedrzejczak-Czechowicz, M.; et al. Prevalence of Food Sensitization and Food Allergy in Children Across Europe. J. Allergy Clin. Immunol. Pract. 2020, 8, 2736–2746. [Google Scholar] [CrossRef]
- Ontiveros, N.; Gallardo, J.A.L.; Arámburo-Gálvez, J.G.; Beltrán-Cárdenas, C.E.; Figueroa-Salcido, O.G.; Mora-Melgem, J.A.; Granda-Restrepo, D.M.; Rodríguez-Bellegarrigue, C.I.; Vergara-Jiménez, M.d.J.; Cárdenas-Torres, F.I.; et al. Characteristics of Allergen Labelling and Precautionary Allergen Labelling in Packaged Food Products Available in Latin America. Nutrients 2020, 12, 2698. [Google Scholar] [CrossRef]
- Jiang, J.; Warren, C.M.; Gupta, R.S. Epidemiology and Racial/Ethnic Differences in Food Allergy. In Pediatric Food Allergy; Springer: Berlin/Heidelberg, Germany, 2020; pp. 3–16. [Google Scholar] [CrossRef]
- Koumpagioti, D.; Boutopoulou, B.; Moriki, D.; Priftis, K.N.; Douros, K. Does Adherence to the Mediterranean Diet Have a Protective Effect against Asthma and Allergies in Children? A Systematic Review. Nutrients 2022, 14, 1618. [Google Scholar] [CrossRef]
- Antonogeorgos, G.; Priftis, K.N.; Panagiotakos, D.B.; Ellwood, P.; García-Marcos, L.; Liakou, E.; Koutsokera, A.; Drakontaeidis, P.; Moriki, D.; Thanasia, M.; et al. Exploring the Relation between Atopic Diseases and Lifestyle Patterns among Adolescents Living in Greece: Evidence from the Greek Global Asthma Network (GAN) Cross-Sectional Study. Children 2021, 8, 932. [Google Scholar] [CrossRef]
- Top 10 Functional Food Trends—IFT.Org. Available online: https://www.ift.org/news-and-publications/food-technology-magazine/issues/2022/april/features/top-10-functional-food-trends (accessed on 1 July 2022).
- Asioli, D.; Aschemann-Witzel, J.; Caputo, V.; Vecchio, R.; Annunziata, A.; Næs, T.; Varela, P. Making Sense of the “Clean Label” Trends: A Review of Consumer Food Choice Behavior and Discussion of Industry Implications. Food Res. Int. 2017, 99, 58–71. [Google Scholar] [CrossRef]
- Taetzsch, A.; Das, S.K.; Brown, C.; Krauss, A.; Silver, R.E.; Roberts, S.B. Are Gluten-Free Diets More Nutritious? An Evaluation of Self-Selected and Recommended Gluten-Free and Gluten-Containing Dietary Patterns. Nutrients 2018, 10, 1881. [Google Scholar] [CrossRef]
- Myhrstad, M.C.W.; Slydahl, M.; Hellmann, M.; Garnweidner-Holme, L.; Lundin, K.E.A.; Henriksen, C.; Telle-Hansen, V.H. Nutritional Quality and Costs of Gluten-Free Products: A Case-Control Study of Food Products on the Norwegian Marked. Food Nutr. Res. 2021, 65, 6121. [Google Scholar] [CrossRef]
- Do Nascimento, A.B.; Fiates, G.M.R.; dos Anjos, A.; Teixeira, E. Availability, Cost and Nutritional Composition of Gluten-Free Products. Br. Food J. 2014, 116, 1842–1852. [Google Scholar] [CrossRef]
- Suri, S.; Kumar, V.; Prasad, R.; Tanwar, B.; Goyal, A.; Kaur, S.; Gat, Y.; Kumar, A.; Kaur, J.; Singh, D. Considerations for Development of Lactose-Free Food. J. Nutr. Intermed. Metab. 2019, 15, 27–34. [Google Scholar] [CrossRef]
- Rodríguez, M.M.; Samaniego-Vaesken, M.d.L.; Alonso-Aperte, E. A New Food Composition Database of Lactose-Free Products Commercialized in Spain: Differences in Nutritional Composition as Compared to Traditional Products. Foods 2021, 10, 851. [Google Scholar] [CrossRef]
- EUR-Lex-32003L0089-EN-EUR-Lex. Available online: https://eur-lex.europa.eu/legal-content/EN/ALL/?uri=uriserv:OJ.L_.2003.308.01.0015.01.ENG (accessed on 23 May 2022).
- Regulation (Eu) No 1169/2011 of the European Parliament and of the Council of 25 October 2011. Available online: https://eur-lex.europa.eu/legal-content/EN/TXT/PDF/?uri=CELEX:32011R1169&from=IT (accessed on 23 May 2022).
- Turner, P.J.; Skypala, I.J.; Fox, A.T. Advice Provided by Health Professionals Regarding Precautionary Allergen Labelling. Pediatr. Allergy Immunol. 2014, 25, 290–292. [Google Scholar] [CrossRef]
- Soon, J.M. Food Allergen Labelling: “May Contain” Evidence from Malaysia. Food Res. Int. 2018, 108, 455–464. [Google Scholar] [CrossRef]
- Zurzolo, G.A.; Mathai, M.L.; Koplin, J.J.; Allen, K.J. Precautionary Allergen Labelling Following New Labelling Practice in Australia. J. Paediatr. Child Health 2013, 49, E306–E310. [Google Scholar] [CrossRef]
- Allen, K.J.; Taylor, S.L. The Consequences of Precautionary Allergen Labeling: Safe Haven or Unjustifiable Burden? J. Allergy Clin. Immunol. Pract. 2018, 6, 400–407. [Google Scholar] [CrossRef]
- Graham, F.; Caubet, J.C.; Eigenmann, P.A. Can My Child with IgE-Mediated Peanut Allergy Introduce Foods Labeled with “May Contain Traces”? Pediatric Allergy Immunol. 2020, 31, 601–607. [Google Scholar] [CrossRef]
- Hinojosa-Nogueira, D.; Pérez-Burillo, S.; Navajas-Porras, B.; Ortiz-Viso, B.; de la Cueva, S.P.; Lauria, F.; Fatouros, A.; Priftis, K.N.; González-Vigil, V.; Rufián-Henares, J.Á. Development of an Unified Food Composition Database for the European Project “Stance4Health”. Nutrients 2021, 13, 4260. [Google Scholar] [CrossRef]
- USDA. Foods in Schools: GS1 GDSN® Resources for USDA Foods Vendors. 2022. Available online: https://www.fns.usda.gov/usda-fis/usda-foods-schools-fact-sheet (accessed on 14 August 2022).
- EUR-Lex-32011R1169-EN-EUR-Lex. Available online: https://eur-lex.europa.eu/legal-content/EL/ALL/?uri=CELEX:32011R1169 (accessed on 25 May 2022).
- FMI|2020: Undeclared Allergens Continue to Be the Leading Cause of U.S. Food Recalls. Available online: https://www.fmi.org/blog/view/fmi-blog/2020/11/19/2020-undeclared-allergens-continue-to-be-the-leading-cause-of-u.s.-food-recalls (accessed on 1 July 2022).
- Étiquetage Des Denrées Alimentaires|Economie.Gouv.Fr. Available online: https://www.economie.gouv.fr/dgccrf/Publications/Vie-pratique/Fiches-pratiques/Etiquetage-des-denrees-alimentaires (accessed on 28 June 2022).


| Food Categories | Food Subcategories | Number of Products |
|---|---|---|
| Milk, milk product, or milk substitute | 690 | |
| Cream | 40 | |
| Milk | 172 | |
| Yogurts | 170 | |
| Cheese | 213 | |
| Milk imitation products | 49 | |
| Frozen dairy desserts | 46 | |
| Egg or egg product | 35 | |
| Egg fresh or processed | 35 | |
| Meat or meat product | 136 | |
| Canned meat | 80 | |
| Sausage or similar products | 35 | |
| Meat dish | 21 | |
| Seafood or seafood product | 75 | |
| Seafood product | 75 | |
| Fat or oil | 81 | |
| Vegetable fat or oil | 8 | |
| Margarine or mixed origin fat | 39 | |
| Butter or animal fat | 34 | |
| Grain or grain product | 1055 | |
| Cereal or cereal milling products | 51 | |
| Rice or similar product | 97 | |
| Pasta or similar product | 201 | |
| Breakfast cereals | 149 | |
| Bread or similar product | 212 | |
| Fine bakery ware | 259 | |
| Savoury cereal dish | 86 | |
| Nuts, seeds, or kernel | 128 | |
| Nuts | 66 | |
| Seeds or Kernel | 35 | |
| Nuts or seeds products | 27 | |
| Vegetable or vegetable product | 244 | |
| Vegetables (excluding potato) | 172 | |
| Starchy root or potato | 21 | |
| Pulse or pulse product | 51 | |
| Fruit or fruit product | 43 | |
| Processed fruit product | 43 | |
| Sugar or sugar product | 404 | |
| Sugar, honey, or syrup | 46 | |
| Marmalade | 83 | |
| Sugary products (no chocolate) | 68 | |
| Chocolate | 207 | |
| Beverages (non-milk) | 448 | |
| Juice or nectar | 165 | |
| Non-alcoholic beverage | 283 | |
| Miscellaneous food products | 442 | |
| Spices or condiments | 282 | |
| Prepared food product | 160 | |
| Meals | 78 | |
| Ready-to-eat meal | 38 | |
| Frozen, semi-ready meal | 40 | |
| Number of food products | 3859 |
| Allergen Category | Allergen Declaration in the Ingredient List | Allergen Declaration Only in a Precautionary Statement | Absence of Any Allergen Declaration |
|---|---|---|---|
| n (%) | n (%) | n (%) | |
| Milk (including lactose) | 1498 (38.8) | 469 (12.2) | 1892 (49.0) |
| Cereals including gluten | 1260 (32.7) | 352 (9.1) | 2247 (58.2) |
| Soybean | 673 (17.4) | 423 (11.0) | 2763 (71.6) |
| Eggs | 304 (7.9) | 507 (13.1) | 3048 (79.0) |
| Nuts | 251 (6.5) | 706 (18.3) | 2902 (75.2) |
| Sesame | 122 (3.2) | 485 (12.6) | 3252 (84.3) |
| Mustard | 120 (3.1) | 225 (5.8) | 3514 (91.1) |
| Sulphite | 105 (2.7) | 98 (2.5) | 3656 (94.7) |
| Fish | 86 (2.2) | 80 (2.1) | 3693 (95.7) |
| Celery | 85 (2.2) | 244 (6.3) | 3530 (91.5) |
| Peanuts | 63 (1.6) | 349 (9.1) | 3447 (89.3) |
| Molluscs | 10 (0.3) | 16 (0.4) | 3834 (99.4) |
| Crustaceans | 5 (0.1) | 17 (0.4) | 3837 (99.4) |
| Lupin | 4 (0.1) | 48 (1.2) | 3809 (98.7) |
| At least one allergen declared | 2640 (68.4) | 1501 (38.9) | |
| No declaration of any allergen | 1052 (27.3) |
| Food Subcategories | Top 7 Allergens Declared in the Ingredients List (n (%)) | ||||||
|---|---|---|---|---|---|---|---|
| Milk | Cereals | Soybean | Eggs | Nuts | Sesame | Mustard | |
| Cream | 40 (100) | 0 (0) | 2 (5) | 0 (0) | 0 (0) | 0 (0) | 0 (0) |
| Milk | 172 (100) | 0 (0) | 3 (2) | 0 (0) | 0 (0) | 0 (0) | 0 (0) |
| Yogurts | 170 (100) | 23 (14) | 6 (4) | 3 (2) | 8 (5) | 10 (6) | 0 (0) |
| Cheese | 213 (100) | 3 (1) | 0 (0) | 1 (0) | 0 (0) | 0 (0) | 0 (0) |
| Milk imitation products | 2 (4) | 2 (4) | 19 (39) | 0 (0) | 17 (35) | 0 (0) | 0 (0) |
| Frozen dairy desserts | 44 (96) | 9 (20) | 25 (54) | 9 (20) | 16 (35) | 0 (0) | 0 (0) |
| Eggs | 0 (0) | 0 (0) | 0 (0) | 35 (100) | 0 (0) | 0 (0) | 0 (0) |
| Canned meat | 33 (41) | 4 (5) | 22 (28) | 0 (0) | 0 (0) | 0 (0) | 8 (10) |
| Sausage or similar products | 13 (37) | 2 (6) | 11 (31) | 0 (0) | 0 (0) | 0 (0) | 4 (11) |
| Meat dish | 11 (52) | 17 (81) | 8 (38) | 4 (19) | 0 (0) | 0 (0) | 2 (10) |
| Seafood products | 1 (1) | 8 (11) | 0 (0) | 0 (0) | 0 (0) | 0 (0) | 1 (1) |
| Vegetable fat or oil | 3 (38) | 0 (0) | 0 (0) | 0 (0) | 0 (0) | 0 (0) | 0 (0) |
| Margarine or mixed origin fat | 21 (54) | 0 (0) | 1 (3) | 0 (0) | 0 (0) | 0 (0) | 0 (0) |
| Butter or animal fat | 34 (100) | 0 (0) | 0 (0) | 0 (0) | 0 (0) | 0 (0) | 0 (0) |
| Cereal or cereal milling products | 11 (22) | 51 (100) | 12 (24) | 7 (14) | 0 (0) | 0 (0) | 0 (0) |
| Rice or similar product | 7 (7) | 27 (28) | 14 (14) | 5 (5) | 0 (0) | 0 (0) | 3 (3) |
| Pasta or similar product | 30 (15) | 194 (97) | 1 (0) | 29 (14) | 0 (0) | 0 (0) | 0 (0) |
| Breakfast cereals | 63 (42) | 137 (92) | 65 (44) | 0 (0) | 26 (17) | 2 (2) | 0 (0) |
| Bread or similar product | 30 (14) | 206 (97) | 32 (15) | 9 (4) | 1 (0) | 39 (18) | 3 (1) |
| Fine bakery ware | 182 (70) | 257 (99) | 154 (59) | 80 (31) | 39 (15) | 6 (2) | 0 (0) |
| Savoury cereal dish | 82 (95) | 86 (100) | 21 (24) | 31 (36) | 0 (0) | 4 (5) | 2 (2) |
| Nuts | 2 (3) | 19 (29) | 4 (6) | 0 (0) | 40 (61) | 1 (2) | 0 (0) |
| Seeds or Kernel | 1 (3) | 0 (0) | 0 (0) | 0 (0) | 0 (0) | 0 (0) | 0 (0) |
| Nuts or seeds products | 1 (4) | 0 (0) | 6 (22) | 0 (0) | 2 (7) | 21 (78) | 0 (0) |
| Vegetables (excluding potato) | 4 (2) | 1 (1) | 0 (0) | 0 (0) | 0 (0) | 0 (0) | 1 (1) |
| Starchy root or potato | 2 (10) | 0 (0) | 0 (0) | 0 (0) | 0 (0) | 0 (0) | 0 (0) |
| Pulse or pulse product | 0 (0) | 1 (2) | 0 (0) | 0 (0) | 0 (0) | 0 (0) | 0 (0) |
| Processed fruit product | 0 (0) | 0 (0) | 0 (0) | 0 (0) | 0 (0) | 0 (0) | 0 (0) |
| Sugar, honey, or syrup | 0 (0) | 0 (0) | 0 (0) | 0 (0) | 0 (0) | 0 (0) | 0 (0) |
| Marmalade | 1 (1) | 2 (2) | 0 (0) | 1 (1) | 1 (1) | 0 (0) | 0 (0) |
| Sugary products (no chocolate) | 1 (1) | 0 (0) | 2 (3) | 3 (4) | 14 (21) | 38 (56) | 0 (0) |
| Chocolate | 159 (77) | 49 (24) | 182 (88) | 1 (0) | 75 (36) | 1 (0) | 0 (0) |
| Juice or nectar | 0 (0) | 0 (0) | 0 (0) | 0 (0) | 0 (0) | 0 (0) | 0 (0) |
| Non-alcoholic beverage | 5 (2) | 2 (1) | 10 (4) | 0 (0) | 0 (0) | 0 (0) | 0 (0) |
| Spices or condiments | 60 (21) | 64 (23) | 33 (12) | 43 (15) | 7 (2) | 2 (1) | 60 (21) |
| Prepared food product | 75 (47) | 55 (34) | 21 (13) | 26 (16) | 1 (1) | 5 (3) | 24 (15) |
| Ready-to-eat meal | 19 (50) | 25 (66) | 11 (29) | 15 (39) | 3 (8) | 2 (5) | 12 (32) |
| Frozen, semi-ready meal | 6 (15) | 16 (40) | 8 (20) | 2 (5) | 1 (3) | 1 (3) | 0 (0) |
| Total | 1498 (39) | 1260 (33) | 673 (17) | 304 (8) | 251 (7) | 132 (3) | 120 (3) |
| Food Subcategories | Top 7 Allergens Declared in the Ingredients List (n (%)) | ||||||
|---|---|---|---|---|---|---|---|
| Milk | Cereals | Soybeans | Eggs | Nuts | Sesame | Peanuts | |
| Cream | 0 (0) | 0 (0) | 0 (0) | 0 (0) | 0 (0) | 0 (0) | 0 (0) |
| Milk | 0 (0) | 0 (0) | 0 (0) | 0 (0) | 0 (0) | 0 (0) | 0 (0) |
| Yogurts | 0 (0) | 8 (5) | 4 (2) | 7 (4) | 12 (7) | 10 (6) | 7 (4) |
| Cheese | 0 (0) | 2 (1) | 3 (1) | 6 (3) | 0 (0) | 0 (0) | 0 (0) |
| Milk imitation products | 0 (0) | 0 (0) | 1 (2) | 0 (0) | 6 (12) | 0 (0) | 0 (0) |
| Frozen dairy desserts | 0 (0) | 16 (35) | 11 (24) | 18 (39) | 22 (48) | 4 (9) | 18 (39) |
| Eggs | 0 (0) | 0 (0) | 0 (0) | 0 (0) | 0 (0) | 0 (0) | 0 (0) |
| Canned meat | 20 (25) | 12 (15) | 34 (43) | 29 (36) | 42 (53) | 1 (1) | 6 (8) |
| Sausage or similar products | 8 (23) | 4 (11) | 7 (20) | 13 (37) | 11 (31) | 0 (0) | 4 (11) |
| Meat dish | 8 (38) | 2 (10) | 0 (0) | 3 (14) | 3 (14) | 0 (0) | 0 (0) |
| Seafood products | 1 (1) | 1 (1) | 1 (1) | 1 (1) | 0 (0) | 0 (0) | 0 (0) |
| Vegetable fat or oil | 0 (0) | 0 (0) | 0 (0) | 0 (0) | 0 (0) | 0 (0) | 0 (0) |
| Margarine or mixed origin fat | 12 (31) | 0 (0) | 0 (0) | 0 (0) | 0 (0) | 0 (0) | 0 (0) |
| Butter or animal fat | 0 (0) | 0 (0) | 0 (0) | 0 (0) | 0 (0) | 0 (0) | 0 (0) |
| Cereal or cereal milling products | 25 (25) | 0 (0) | 15 (29) | 28 (55) | 15 (29) | 21 (41) | 4 (8) |
| Rice or similar product | 12 (12) | 4 (4) | 8 (8) | 17 (18) | 3 (3) | 16 (16) | 8 (8) |
| Pasta or similar product | 12 (6) | 0 (0) | 73 (36) | 47 (23) | 1 (0) | 4 (2) | 1 (0) |
| Breakfast cereals | 55 (37) | 3 (2) | 29 (19) | 3 (2) | 87 (58) | 25 (17) | 43 (29) |
| Bread or similar product | 87 (41) | 2 (1) | 38 (18) | 79 (37) | 46 (22) | 100 (47) | 4 (2) |
| Fine bakery ware | 46 (18) | 0 (0) | 56 (22) | 104 (40) | 163 (63) | 131 (51) | 65 (25) |
| Savoury cereal dish | 3 (3) | 0 (0) | 24 (28) | 35 (41) | 36 (42) | 61 (71) | 1 (1) |
| Nuts | 2 (3) | 38 (58) | 2 (3) | 0 (0) | 24 (36) | 43 (65) | 40 (61) |
| Seeds or Kernel | 0 (0) | 0 (0) | 0 (0) | 0 (0) | 2 (6) | 0 (0) | 0 (0) |
| Nuts or seeds products | 2 (2) | 8 (30) | 0 (0) | 0 (0) | 3 (11) | 4 (15) | 0 (0) |
| Vegetables (excluding potato) | 0 (0) | 0 (0) | 0 (0) | 0 (0) | 1 (1) | 0 (0) | 0 (0) |
| Starchy root or potato | 8 (38) | 6 (29) | 0 (0) | 3 (14) | 0 (0) | 0 (0) | 0 (0) |
| Pulse or pulse product | 0 (0) | 1 (2) | 0 (0) | 0 (0) | 0 (0) | 0 (0) | 0 (0) |
| Processed fruit product | 0 (0) | 4 (9) | 0 (0) | 0 (0) | 4 (9) | 2 (5) | 4 (9) |
| Sugar, honey, or syrup | 0 (0) | 0 (0) | 0 (0) | 0 (0) | 0 (0) | 0 (0) | 0 (0) |
| Marmalade | 2 (2) | 9 (11) | 0 (0) | 0 (0) | 0 (0) | 0 (0) | 0 (0) |
| Sugary products (no chocolate) | 2 (3) | 1 (1) | 1 (1) | 2 (3) | 31 (46) | 4 (6) | 32 (47) |
| Chocolate | 48 (23) | 112 (54) | 3 (1) | 26 (13) | 121 (58) | 12 (6) | 67 (32) |
| Juice or nectar | 0 (0) | 0 (0) | 0 (0) | 0 (0) | 0 (0) | 0 (0) | 0 (0) |
| Non-alcoholic beverage | 10 (4) | 2 (1) | 3 (1) | 0 (0) | 3 (1) | 1 (0) | 1 (0) |
| Spices or condiments | 50 (18) | 53 (19) | 47 (17) | 54 (19) | 46 (16) | 16 (6) | 22 (8) |
| Prepared food product | 46 (29) | 56 (35) | 51 (32) | 20 (13) | 18 (11) | 15 (9) | 16 (10) |
| Ready-to-eat meal | 7 (18) | 6 (16) | 11 (29) | 7 (18) | 6 (16) | 10 (26) | 6 (16) |
| Frozen, semi-ready meal | 3 (8) | 1 (3) | 0 (0) | 5 (13) | 0 (0) | 5 (13) | 0 (0) |
| Total | 469 (12) | 351 (9) | 422 (11) | 507 (13) | 706 (18) | 485 (13) | 349 (9) |
| Food Subcategory | Gluten n (%) | Milk n (%) | Soy n (%) | At Least One Claim n (%) |
|---|---|---|---|---|
| Cream | 2 (5) | 0 (0) | 0 (0) | 2 (5) |
| Milk | 2 (1) | 6 (3) | 0 (0) | 8 (5) |
| Yogurts | 9 (5) | 4 (2) | 0 (0) | 13 (8) |
| Cheese | 5 (2) | 2 (1) | 0 (0) | 7 (3) |
| Milk imitation products | 23 (47) | 35 (71) | 5 (10) | 35 (71) |
| Frozen dairy desserts | 2 (4) | 2 (4) | 0 (0) | 4 (9) |
| Canned meat | 39 (49) | 3 (4) | 0 (0) | 39 (49) |
| Sausage or similar products | 13 (37) | 0 (0) | 0 (0) | 13 (37) |
| Seafood products | 1 (1) | 0 (0) | 0 (0) | 1 (1) |
| Butter or animal fat | 0 (0) | 1 (3) | 0 (0) | 1 (3) |
| Rice or similar product | 1 (1) | 0 (0) | 0 (0) | 1 (1) |
| Pasta or similar product | 5 (2) | 0 (0) | 0 (0) | 5 (2) |
| Bread or similar product | 4 (2) | 2 (1) | 0 (0) | 7 (3) |
| Bakery products | 2 (1) | 1 (0) | 0 (0) | 2 (1) |
| Nuts or seeds products | 4 (15) | 0 (0) | 0 (0) | 4 (15) |
| Starchy root or potato | 4 (19) | 0 (0) | 0 (0) | 4 (19) |
| Sugary products (no chocolate) | 8 (12) | 0 (0) | 0 (0) | 8 (12) |
| Chocolate | 17 (8) | 1 (0) | 0 (0) | 18 (9) |
| Juice or nectar | 4 (2) | 4 (2) | 0 (0) | 4 (2) |
| Non-alcoholic beverage | 6 (2) | 0 (0) | 0 (0) | 6 (2) |
| Spices or condiments | 8 (3) | 0 (0) | 0 (0) | 8 (3) |
| Prepared food product | 14 (9) | 1 (1) | 1 (0.6) | 14 (9) |
| Frozen, semi-ready meal | 5 (13) | 0 (0) | 0 (0) | 5 (13) |
| Total | 178 (4.6) | 62 (1.6) | 6 (0.2) | 206 (5.3) |
Publisher’s Note: MDPI stays neutral with regard to jurisdictional claims in published maps and institutional affiliations. |
© 2022 by the authors. Licensee MDPI, Basel, Switzerland. This article is an open access article distributed under the terms and conditions of the Creative Commons Attribution (CC BY) license (https://creativecommons.org/licenses/by/4.0/).
Share and Cite
Katidi, A.; Vlassopoulos, A.; Xanthopoulou, S.; Boutopoulou, B.; Moriki, D.; Sardeli, O.; Rufián-Henares, J.Á.; Douros, K.; Kapsokefalou, M. The Expansion of the Hellenic Food Thesaurus; Allergens Labelling and Allergens-Free Claims on Greek Branded Food Products. Nutrients 2022, 14, 3421. https://doi.org/10.3390/nu14163421
Katidi A, Vlassopoulos A, Xanthopoulou S, Boutopoulou B, Moriki D, Sardeli O, Rufián-Henares JÁ, Douros K, Kapsokefalou M. The Expansion of the Hellenic Food Thesaurus; Allergens Labelling and Allergens-Free Claims on Greek Branded Food Products. Nutrients. 2022; 14(16):3421. https://doi.org/10.3390/nu14163421
Chicago/Turabian StyleKatidi, Alexandra, Antonis Vlassopoulos, Stefania Xanthopoulou, Barbara Boutopoulou, Dafni Moriki, Olympia Sardeli, José Ángel Rufián-Henares, Konstantinos Douros, and Maria Kapsokefalou. 2022. "The Expansion of the Hellenic Food Thesaurus; Allergens Labelling and Allergens-Free Claims on Greek Branded Food Products" Nutrients 14, no. 16: 3421. https://doi.org/10.3390/nu14163421
APA StyleKatidi, A., Vlassopoulos, A., Xanthopoulou, S., Boutopoulou, B., Moriki, D., Sardeli, O., Rufián-Henares, J. Á., Douros, K., & Kapsokefalou, M. (2022). The Expansion of the Hellenic Food Thesaurus; Allergens Labelling and Allergens-Free Claims on Greek Branded Food Products. Nutrients, 14(16), 3421. https://doi.org/10.3390/nu14163421

