Possible Association of Energy Availability with Transferrin Saturation and Serum Iron during Summer Camp in Male Collegiate Rugby Players
Abstract
1. Introduction
2. Materials and Methods
2.1. Participants and Study Design
2.2. Dietary Instructions
2.3. Dietary Survey
2.4. Blood Analysis
2.5. Physical Activity
2.6. Statistical Analysis
3. Results
3.1. Body Weight
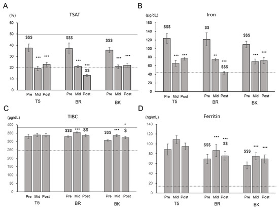
3.2. Biochemical and Hematological Parameters
3.3. Dietary Intake and BMI for Each Position
3.4. Physical Activity
3.5. Energy Balance
3.6. Correlation of BW Change with Blood Parameters and Intakes
3.7. Correlation of TSAT and Serum Iron with Intakes
4. Discussion
5. Conclusions
Supplementary Materials
Author Contributions
Funding
Institutional Review Board Statement
Informed Consent Statement
Data Availability Statement
Acknowledgments
Conflicts of Interest
References
- Duthie, G.; Pyne, D.; Hooper, S. Applied physiology and game analysis of rugby union. Sports Med. 2003, 33, 973–991. [Google Scholar] [CrossRef] [PubMed]
- Brewer, J.; Davis, J. Applied physiology of rugby league. Sports Med. 1995, 20, 129–135. [Google Scholar] [CrossRef] [PubMed]
- Sykes, D.; Twist, C.; Hall, S.; Nicholas, C.; Lamb, K. Semi-automated time-motion analysis of senior elite rugby league. Int. J. Perform. Anal. Sport 2009, 9, 47–59. [Google Scholar] [CrossRef]
- Coutts, A.; Reaburn, P.; Abt, G. Heart rate, blood lactate concentration and estimated energy expenditure in a semi-professional rugby league team during a match: A case study. J. Sports Sci. 2003, 21, 97–103. [Google Scholar] [CrossRef] [PubMed]
- Cunningham, D.J.; Shearer, D.A.; Drawer, S.; Pollard, B.; Eager, R.; Taylor, N.; Cook, C.J.; Kilduff, L.P. Movement Demands of Elite Under-20s and Senior International Rugby Union Players. PLoS ONE 2016, 11, e0164990. [Google Scholar] [CrossRef]
- Deutsch, M.U.; Kearney, G.A.; Rehrer, N.J. Time—Motion analysis of professional rugby union players during match-play. J. Sports Sci. 2007, 25, 461–472. [Google Scholar] [CrossRef]
- Duthie, G.; Pyne, D.; Hooper, S. Time motion analysis of 2001 and 2002 super 12 rugby. J. Sports Sci. 2005, 23, 523–530. [Google Scholar] [CrossRef]
- Eaton, C.; George, K. Position specific rehabilitation for rugby union players. Part I: Empirical movement analysis data. Phys. Ther. Sport 2006, 7, 22–29. [Google Scholar] [CrossRef]
- Mills, B.S.; McMaster, D.T.; Smith, B. Strength training recommendations to improve scrum force and impulse in rugby union forwards. Strength Cond. J. 2019, 41, 64–74. [Google Scholar] [CrossRef]
- Quarrie, K.L.; Wilson, B.D. Force production in the rugby union scrum. J. Sports Sci. 2000, 18, 237–246. [Google Scholar] [CrossRef]
- Watkins, C.M.; Storey, A.; McGuigan, M.R.; Downes, P.; Gill, N.D. Horizontal Force-Velocity-Power Profiling of Rugby Players: A Cross-Sectional Analysis of Competition-Level and Position-Specific Movement Demands. J. Strength Cond. Res. 2021, 35, 1576–1585. [Google Scholar] [CrossRef] [PubMed]
- Milburn, P.D. Biomechanics of rugby union scrummaging. Technical and safety issues. Sports Med. 1993, 16, 168–179. [Google Scholar] [CrossRef] [PubMed]
- McLellan, C.P.; Lovell, D.I.; Gass, G.C. Performance analysis of elite Rugby League match play using global positioning systems. J. Strength Cond. Res. 2011, 25, 1703–1710. [Google Scholar] [CrossRef] [PubMed]
- Gannon, E.A.; Stokes, K.A.; Trewartha, G. Strength and Power Development in Professional Rugby Union Players Over a Training and Playing Season. Int. J. Sports Physiol. Perform. 2016, 11, 381–387. [Google Scholar] [CrossRef] [PubMed]
- Higham, D.G.; Pyne, D.B.; Anson, J.M.; Eddy, A. Movement patterns in rugby sevens: Effects of tournament level, fatigue and substitute players. J. Sci. Med. Sport 2012, 15, 277–282. [Google Scholar] [CrossRef] [PubMed]
- Quarrie, K.L.; Hopkins, W.G.; Anthony, M.J.; Gill, N.D. Positional demands of international rugby union: Evaluation of player actions and movements. J. Sci. Med. Sport 2013, 16, 353–359. [Google Scholar] [CrossRef] [PubMed]
- Holway, F.E.; Spriet, L.L. Sport-specific nutrition: Practical strategies for team sports. J. Sports Sci. 2011, 29 (Suppl. 1), S115–S125. [Google Scholar] [CrossRef]
- Potgieter, S.; Visser, J.; Croukamp, I.; Markides, M.; Nascimento, J.; Scott, K. Body composition and habitual and match-day dietary intake of the FNB Maties Varsity Cup rugby players. S. Afr. J. Sport. Med. 2014, 26, 35. [Google Scholar] [CrossRef]
- Cahill, N.; Lamb, K.; Worsfold, P.; Headey, R.; Murray, S. The movement characteristics of English Premiership rugby union players. J. Sports Sci. 2013, 31, 229–237. [Google Scholar] [CrossRef]
- Mountjoy, M.; Sundgot-Borgen, J.; Burke, L.; Carter, S.; Constantini, N.; Lebrun, C.; Meyer, N.; Sherman, R.; Steffen, K.; Budgett, R.; et al. The IOC consensus statement: Beyond the Female Athlete Triad—Relative Energy Deficiency in Sport (RED-S). Br. J. Sports Med. 2014, 48, 491–497. [Google Scholar] [CrossRef]
- McGuire, A.; Warrington, G.; Doyle, L. Low energy availability in male athletes: A systematic review of incidence, associations, and effects. Transl. Sport. Med. 2020, 3, 173–187. [Google Scholar] [CrossRef]
- Tenforde, A.S.; Barrack, M.T.; Nattiv, A.; Fredericson, M. Parallels with the Female Athlete Triad in Male Athletes. Sports Med. 2016, 46, 171–182. [Google Scholar] [CrossRef]
- Black, K.E.; Black, A.D.; Baker, D.F. Macronutrient Intakes of Male Rugby Union Players: A Review. Int. J. Sport Nutr. Exerc. Metab. 2018, 28, 664–673. [Google Scholar] [CrossRef] [PubMed]
- Costello, N.; Deighton, K.; Preston, T.; Matu, J.; Rowe, J.; Jones, B. Are professional young rugby league players eating enough? Energy intake, expenditure and balance during a pre-season. Eur. J. Sport Sci. 2019, 19, 123–132. [Google Scholar] [CrossRef] [PubMed]
- Potgieter, S. Sport nutrition: A review of the latest guidelines for exercise and sport nutrition from the American College of Sport Nutrition, the International Olympic Committee and the International Society for Sports Nutrition. S. Afr. J. Clin. Nutr. 2013, 26, 6–16. [Google Scholar] [CrossRef]
- Thomas, D.T.; Erdman, K.A.; Burke, L.M. American College of Sports Medicine Joint Position Statement. Nutrition and Athletic Performance. Med. Sci. Sports Exerc. 2016, 48, 543–568. [Google Scholar] [CrossRef]
- Guebels, C.P.; Kam, L.C.; Maddalozzo, G.F.; Manore, M.M. Active women before/after an intervention designed to restore menstrual function: Resting metabolic rate and comparison of four methods to quantify energy expenditure and energy availability. Int. J. Sport Nutr. Exerc. Metab. 2014, 24, 37–46. [Google Scholar] [CrossRef] [PubMed]
- Ainsworth, B.E.; Haskell, W.L.; Herrmann, S.D.; Meckes, N.; Bassett, D.R.; Tudor-Locke, C.; Greer, J.L.; Vezina, J.; Whitt-Glover, M.C.; Leon, A.S. 2011 Compendium of Physical Activities: A second update of codes and MET values. Med. Sci. Sports Exerc. 2011, 43, 1575–1581. [Google Scholar] [CrossRef] [PubMed]
- Ainsworth, B.E.; Haskell, W.L.; Whitt, M.C.; Irwin, M.L.; Swartz, A.M.; Strath, S.J.; O’Brien, W.L.; Bassett, D.R.; Schmitz, K.H.; Emplaincourt, P.O.; et al. Compendium of physical activities: An update of activity codes and MET intensities. Med. Sci. Sports Exerc. 2000, 32, S498–S504. [Google Scholar] [CrossRef] [PubMed]
- Mukaka, M.M. Statistics corner: A guide to appropriate use of correlation coefficient in medical research. Malawi Med. J. 2012, 24, 69–71. [Google Scholar] [CrossRef] [PubMed]
- Lundy, B.; O’Connor, H.; Pelly, F.; Caterson, I. Anthropometric characteristics and competition dietary intakes of professional rugby league players. Int. J. Sport Nutr. Exerc. Metab. 2006, 16, 199–213. [Google Scholar] [CrossRef]
- Imamura, H.; Iide, K.; Yoshimura, Y.; Kumagai, K.; Oshikata, R.; Miyahara, K.; Oda, K.; Miyamoto, N.; Nakazawa, A. Nutrient intake, serum lipids and iron status of colligiate rugby players. J. Int. Soc. Sports Nutr. 2013, 10, 9. [Google Scholar] [CrossRef]
- Perrella, M.M.; Noriyuki, P.S.; Rossi, L. Evaluation of water loss during high intensity rugby training. Rev. Bras. Med. Do Esporte 2005, 11, 229–232. [Google Scholar] [CrossRef][Green Version]
- Meir, R.A.; Halliday, A.J. Pre- and post-game body mass changes during an international rugby tournament: A practical perspective. J. Strength Cond. Res. 2005, 19, 713–716. [Google Scholar] [CrossRef] [PubMed]
- Meir, R.A.; Crowley-McHattan, Z.J.; Brooks, L.O.; Duncan, B.; Gorrie, C. Measures of fluid loss during surfing: A preliminary analysis in recreational surfers. Int. J. Aquat. Res. Educ. 2019, 12, 10. [Google Scholar] [CrossRef][Green Version]
- Ganz, T.; Nemeth, E. Hepcidin and iron homeostasis. Biochim. Biophys. Acta 2012, 1823, 1434–1443. [Google Scholar] [CrossRef] [PubMed]
- Ishibashi, A.; Maeda, N.; Sumi, D.; Goto, K. Elevated Serum Hepcidin Levels during an Intensified Training Period in Well-Trained Female Long-Distance Runners. Nutrients 2017, 9, 277. [Google Scholar] [CrossRef] [PubMed]
- Auersperger, I.; Škof, B.; Leskošek, B.; Knap, B.; Jerin, A.; Lainscak, M. Exercise-induced changes in iron status and hepcidin response in female runners. PLoS ONE 2013, 8, e58090. [Google Scholar] [CrossRef] [PubMed]
- Sim, M.; Dawson, B.; Landers, G.; Wiegerinck, E.T.; Swinkels, D.W.; Townsend, M.-A.; Trinder, D.; Peeling, P. The effects of carbohydrate ingestion during endurance running on post-exercise inflammation and hepcidin levels. Eur. J. Appl. Physiol. 2012, 112, 1889–1898. [Google Scholar] [CrossRef] [PubMed]
- Pasiakos, S.M.; Margolis, L.M.; Murphy, N.E.; McClung, H.L.; Martini, S.; Gundersen, Y.; Castellani, J.W.; Karl, J.P.; Teien, H.K.; Madslien, E.H.; et al. Effects of exercise mode, energy, and macronutrient interventions on inflammation during military training. Physiol. Rep. 2016, 4, 1–11. [Google Scholar] [CrossRef]
- Badenhorst, C.E.; Black, K.E.; O’Brien, W.J. Hepcidin as a Prospective Individualized Biomarker for Individuals at Risk of Low Energy Availability. Int. J. Sport Nutr. Exerc. Metab. 2019, 29, 671–681. [Google Scholar] [CrossRef] [PubMed]



| Age | Height | Body Weight | Change in Body Weight | |||||||||||||||||||
|---|---|---|---|---|---|---|---|---|---|---|---|---|---|---|---|---|---|---|---|---|---|---|
| n | Pre (year) | Pre (cm) | Pre (kg) | Post (kg) | (Post − Pre)/Pre (%) | |||||||||||||||||
| Median | Range | Median | Range | Median | Range | Median | Range | p | Median | Range | ||||||||||||
| T5 | 7 | 21 | 20 | - | 22 | 181 | 165 | - | 188 | 94.9 | 92.9 | - | 112.6 | 93.1 | 92.0 | - | 110.8 | 0.004 ** | −1.9 | −2.7 | - | −0.2 |
| BR | 4 | 21 | 21 | - | 22 | 179 | 176 | - | 183 | 89.4 | 85.5 | - | 98.2 | 88.6 | 85.4 | - | 96.0 | 0.138 | −0.9 | −2.2 | - | −0.1 |
| BK | 8 | 21 | 20 | - | 22 | 174 | 170 | - | 180 | 86.0 | 79.0 | - | 92.7 | 84.2 | 77.1 | - | 92.4 | 0.021 * | −1.5 | −5.9 | - | −0.3 |
| Energy and Nutrient | Goal | Position | n | Pre–Middle | Middle–Post | Pre–Post | ||||||
|---|---|---|---|---|---|---|---|---|---|---|---|---|
| EMM | SE | EMM | SE | EMM | SE | |||||||
| Energy (kcal/kg/day) | >60 | T5 | 7 | 53.0 | 1.7 | 45.8 | 1.5 | 49.4 | 1.5 | |||
| BR | 4 | 58.4 | 2.3 | 55.1 | 2.0 | *** | 56.7 | 2.0 | ** | |||
| BK | 8 | 59.9 | 1.6 | ** | 56.0 | 1.4 | *** | 58.0 | 1.4 | *** | ||
| Protein (g/kg/day) | >2 | T5 | 7 | 1.8 | 0.1 | 1.5 | <0.1 | 1.6 | <0.1 | |||
| BR | 4 | 1.8 | <0.1 | 1.8 | <0.1 | *** | 1.9 | <0.1 | *** | |||
| BK | 8 | 2.0 | 0.1 | * | 1.8 | <0.1 | *** | 1.9 | <0.1 | *** | ||
| Fat (g/kg/day) | T5 | 7 | 1.1 | <0.1 | 1.0 | <0.1 | 1.1 | <0.1 | ||||
| BR | 4 | 1.2 | <0.1 | 1.2 | <0.1 | ** | 1.2 | <0.1 | *** | |||
| BK | 8 | 1.3 | <0.1 | *** | 1.2 | <0.1 | *** | 1.2 | <0.1 | *** | ||
| Carbohydrate (g/kg/day) | 8–12 | T5 | 7 | 8.5 | 0.4 | 7.5 | 0.3 | 8.0 | 0.3 | |||
| BR | 4 | 9.5 | 0.5 | 8.9 | 0.4 | ** | 9.2 | 0.4 | ||||
| BK | 8 | 9.7 | 0.3 | * | 9.2 | 0.3 | *** | 9.5 | 0.3 | ** | ||
| Iron (mg/day) | T5 | 7 | 13.3 | 0.6 | 11.1 | 0.6 | 8.0 | 0.3 | ||||
| BR | 4 | 12.9 | 0.7 | 12.5 | 0.7 | 9.2 | 0.4 | |||||
| BK | 8 | 12.8 | 0.5 | 12.2 | 0.5 | 9.5 | 0.3 | |||||
| Position | n | Change $ | Energy (kcal/kg) | Protein (g/kg) | Iron (mg/day) | |||
|---|---|---|---|---|---|---|---|---|
| Total | 19 | Body Weight | −0.065 | 0.095 | −0.144 | |||
| TSAT | −0.235 | −0.347 | −0.288 | |||||
| Serum Iron | −0.070 | −0.168 | −0.339 | # | ||||
| T5 | 7 | Body Weight | 0.107 | 0.393 | * | 0.464 | * | |
| TSAT | 0.179 | 0.536 | ** | −0.071 | ||||
| Serum Iron | 0.179 | 0.536 | ** | −0.071 | ||||
| BR | 4 | Body Weight | −0.200 | −0.800 | ### | −0.200 | ||
| TSAT | −1.000 | ### | −0.400 | # | −1.000 | ### | ||
| Serum Iron | −1.000 | ### | −0.400 | # | −1.000 | ### | ||
| BK | 8 | Body Weight | −0.667 | ## | −0.524 | ## | −0.286 | |
| TSAT | −0.333 | # | −0.595 | ## | −0.571 | ## | ||
| Serum Iron | −0.214 | −0.476 | # | −0.619 | ## | |||
Publisher’s Note: MDPI stays neutral with regard to jurisdictional claims in published maps and institutional affiliations. |
© 2021 by the authors. Licensee MDPI, Basel, Switzerland. This article is an open access article distributed under the terms and conditions of the Creative Commons Attribution (CC BY) license (https://creativecommons.org/licenses/by/4.0/).
Share and Cite
Tokuyama, M.; Seino, J.; Sakuraba, K.; Suzuki, Y. Possible Association of Energy Availability with Transferrin Saturation and Serum Iron during Summer Camp in Male Collegiate Rugby Players. Nutrients 2021, 13, 2963. https://doi.org/10.3390/nu13092963
Tokuyama M, Seino J, Sakuraba K, Suzuki Y. Possible Association of Energy Availability with Transferrin Saturation and Serum Iron during Summer Camp in Male Collegiate Rugby Players. Nutrients. 2021; 13(9):2963. https://doi.org/10.3390/nu13092963
Chicago/Turabian StyleTokuyama, Madoka, Jun Seino, Keishoku Sakuraba, and Yoshio Suzuki. 2021. "Possible Association of Energy Availability with Transferrin Saturation and Serum Iron during Summer Camp in Male Collegiate Rugby Players" Nutrients 13, no. 9: 2963. https://doi.org/10.3390/nu13092963
APA StyleTokuyama, M., Seino, J., Sakuraba, K., & Suzuki, Y. (2021). Possible Association of Energy Availability with Transferrin Saturation and Serum Iron during Summer Camp in Male Collegiate Rugby Players. Nutrients, 13(9), 2963. https://doi.org/10.3390/nu13092963

