Gastrointestinal Contributions to the Postprandial Experience
Abstract
1. Introduction
2. Meal Ingestion and Digestive Sensations
3. Gastrointestinal Responses to Meal Ingestion
3.1. Digestive Function
3.2. Somatic Responses to Meal Ingestion
3.3. Gastrointestinal Sensitivity
4. Composition of the Meal
4.1. Absorbable Meal Components
4.2. Non-Absorbable Meal Residues, Colonic Content and Microbiota
5. Conditioning Factors
5.1. Meal Palatability
5.2. Physiological Status
5.3. Cognitive/Emotive Conditioning
6. Other Factors Inherent to the Individual
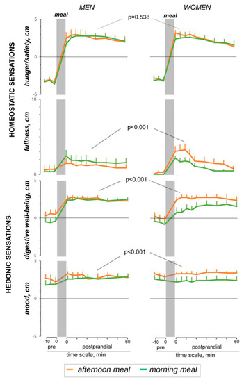
6.1. Effect of Sex
6.2. Functional Gut Disorders
7. Conclusions
Author Contributions
Funding
Institutional Review Board Statement
Informed Consent Statement
Data Availability Statement
Acknowledgments
Conflicts of Interest
References
- Pribic, T.; Azpiroz, F. Biogastronomy: Factors that determine the biological response to meal ingestion. Neurogastroenterol. Motil. 2018, 30, e13309. [Google Scholar] [CrossRef]
- Monrroy, H.; Pribic, T.; Galan, C.; Nieto, A.; Amigo, N.; Accarino, A.; Correig, X.; Azpiroz, F. Meal Enjoyment and Tolerance in Women and Men. Nutrients 2019, 11, 119. [Google Scholar] [CrossRef]
- Simon, J.J.; Wetzel, A.; Sinno, M.H.; Skunde, M.; Bendszus, M.; Preissl, H.; Enck, P.; Herzog, W.; Friederich, H.-C. Integration of homeostatic signaling and food reward processing in the human brain. JCI Insight 2017, 2. Available online: https://insight.jci.org/articles/view/92970 (accessed on 8 March 2021). [CrossRef]
- Pribic, T.; Kilpatrick, L.; Ciccantelli, B.; Malagelada, C.; Accarino, A.; Rovira, A.; Pareto, D.; Mayer, E.; Azpiroz, F. Brain networks associated with cognitive and hedonic responses to a meal. Neurogastroenterol. Motil. 2017, 29, e13031. [Google Scholar] [CrossRef]
- Ciccantelli, B.; Pribic, T.; Malagelada, C.; Accarino, A.; Azpiroz, F. Relation between cognitive and hedonic responses to a meal. Neurogastroenterol. Motil. 2017, 29, e13011. [Google Scholar] [CrossRef]
- Malagelada, C.; Barba, I.; Accarino, A.; Molne, L.; Mendez, S.; Campos, E.; Gonzalez, A.; Alonso-Cotoner, C.; Santos, J.; Malagelada, J.-R.; et al. Cognitive and hedonic responses to meal ingestion correlate with changes in circulating metabolites. Neurogastroenterol. Motil. 2016, 28, 1806–1814. [Google Scholar] [CrossRef]
- Malagelada, C.; Pribic, T.; Ciccantelli, B.; Cañellas, N.; Gomez, J.; Amigo, N.; Accarino, A.; Correig, X.; Azpiroz, F. Metabolomic signature of the postprandial experience. Neurogastroenterol. Motil. 2018, 30, e13447. [Google Scholar] [CrossRef]
- Camilleri, M. Peripheral mechanisms in appetite regulation. Gastroenterology 2015, 148, 1219–1233. [Google Scholar] [CrossRef]
- Feinle-Bisset, C. Upper gastrointestinal sensitivity to meal-related signals in adult humans—Relevance to appetite regulation and gut symptoms in health, obesity and functional dyspepsia. Physiol. Behav. 2016, 162, 69–82. [Google Scholar] [CrossRef]
- Tack, J.; Deloose, E.; Ang, D.; Scarpellini, E.; Vanuytsel, T.; Van Oudenhove, L.; Depoortere, I. Motilin-induced gastric contractions signal hunger in man. Gut 2016, 65, 214–224. [Google Scholar] [CrossRef]
- Halawi, H.; Camilleri, M.; Acosta, A.; Vazquez-Roque, M.; Oduyebo, I.; Burton, D.; Busciglio, I.; Zinsmeister, A.R. Relationship of gastric emptying or accommodation with satiation, satiety, and postprandial symptoms in health. Am. J. Physiol. Gastrointest. Liver Physiol. 2017, 313, G442–G447. [Google Scholar] [CrossRef] [PubMed]
- Boeckxstaens, G.; Camilleri, M.; Sifrim, D.; Houghton, L.A.; Elsenbruch, S.; Lindberg, G.; Azpiroz, F.; Parkman, H.P. Fundamentals of Neurogastroenterology: Physiology/Motility—Sensation. Gastroenterology 2016, 150, 1292–1304.e2. [Google Scholar] [CrossRef]
- Distrutti, E.; Azpiroz, F.; Soldevilla, A.; Malagelada, J.R. Gastric wall tension determines perception of gastric distention. Gastroenterology 1999, 116, 1035–1042. [Google Scholar] [CrossRef]
- Azpiroz, F.; Feinle-Bisset, C.; Grundy, D.; Tack, J. Gastric sensitivity and reflexes: Basic mechanisms underlying clinical problems. J. Gastroenterol. 2014, 49, 206–218. [Google Scholar] [CrossRef] [PubMed]
- Notivol, R.; Coffin, B.; Azpiroz, F.; Mearin, F.; Serra, J.; Malagelada, J.R. Gastric tone determines the sensitivity of the stomach to distention. Gastroenterology 1995, 108, 330–336. [Google Scholar] [CrossRef]
- Moragas, G.; Azpiroz, F.; Pavia, J.; Malagelada, J.R. Relations among intragastric pressure, postcibal perception, and gastric emptying. Am. J. Physiol. 1993, 264 Pt 1, G1112–G1117. [Google Scholar] [CrossRef] [PubMed]
- Kiela, P.R.; Ghishan, F.K. Physiology of Intestinal Absorption and Secretion. Best Pract. Res. Clin. Gastroenterol. 2016, 30, 145–159. [Google Scholar] [CrossRef] [PubMed]
- Alhabeeb, H.; AlFaiz, A.; Kutbi, E.; AlShahrani, D.; Alsuhail, A.; AlRajhi, S.; Alotaibi, N.; Alotaibi, K.; AlAmri, S.; Alghamdi, S.; et al. Gut Hormones in Health and Obesity: The Upcoming Role of Short Chain Fatty Acids. Nutrients 2021, 13, 481. [Google Scholar] [CrossRef] [PubMed]
- Malagelada, C.; Accarino, A.; Molne, L.; Mendez, S.; Campos, E.; Gonzalez, A.; Malagelada, J.R.; Azpiroz, F. Digestive, cognitive and hedonic responses to a meal. Neurogastroenterol Motil. 2015, 27, 389–396. [Google Scholar] [CrossRef] [PubMed]
- Coffin, B.; Azpiroz, F.; Guarner, F.; Malagelada, J.R. Selective gastric hypersensitivity and reflex hyporeactivity in functional dyspepsia. Gastroenterology 1994, 107, 1345–1351. [Google Scholar] [CrossRef]
- Caldarella, M.P.; Azpiroz, F.; Malagelada, J.-R. Antro-fundic dysfunctions in functional dyspepsia. Gastroenterology 2003, 124, 1220–1229. [Google Scholar] [CrossRef]
- Enck, P.; Azpiroz, F.; Boeckxstaens, G.; Elsenbruch, S.; Feinle-Bisset, C.; Holtmann, G.; Lackner, J.M.; Ronkainen, J.; Schemann, M.; Stengel, A.; et al. Functional dyspepsia. Nat. Rev. Dis. Primers. 2017, 3, 17081. [Google Scholar] [CrossRef]
- Villoria, A.; Azpiroz, F.; Soldevilla, A.; Perez, F.; Malagelada, J.-R. Abdominal accommodation: A coordinated adaptation of the abdominal wall to its content. Am. J. Gastroenterol. 2008, 103, 2807–2815. [Google Scholar] [CrossRef] [PubMed]
- Burri, E.; Cisternas, D.; Villoria, A.; Accarino, A.; Soldevilla, A.; Malagelada, J.-R.; Azpiroz, F. Accommodation of the abdomen to its content: Integrated abdomino-thoracic response. Neurogastroenterol. Motil. 2012, 24, 312-e162. [Google Scholar] [CrossRef]
- Burri, E.; Cisternas, D.; Villoria, A.; Accarino, A.; Soldevilla, A.; Malagelada, J.-R.; Azpiroz, F. Abdominal accommodation induced by meal ingestion: Differential responses to gastric and colonic volume loads. Neurogastroenterol. Motil. 2013, 25, 339-e253. [Google Scholar] [CrossRef]
- Villoria, A.; Azpiroz, F.; Burri, E.; Cisternas, D.; Soldevilla, A.; Malagelada, J.-R. Abdomino-phrenic dyssynergia in patients with abdominal bloating and distension. Am. J. Gastroenterol. 2011, 106, 815–819. [Google Scholar] [CrossRef]
- Burri, E.; Barba, E.; Huaman, J.W.; Cisternas, D.; Accarino, A.; Soldevilla, A.; Malagelada, J.-R.; Azpiroz, F. Mechanisms of postprandial abdominal bloating and distension in functional dyspepsia. Gut 2014, 63, 395–400. [Google Scholar] [CrossRef]
- Barba, E.; Burri, E.; Accarino, A.; Cisternas, D.; Quiroga, S.; Monclus, E.; Navazo, I.; Malagelada, J.-R.; Azpiroz, F. Abdominothoracic mechanisms of functional abdominal distension and correction by biofeedback. Gastroenterology 2015, 148, 732–739. [Google Scholar] [CrossRef]
- Livovsky, D.M.; Barber, C.; Barba, E.; Accarino, A.; Azpiroz, F. Abdominothoracic Postural Tone Influences the Sensations Induced by Meal Ingestion. Nutrients 2021, 13, 658. [Google Scholar] [CrossRef]
- Barba, E.; Accarino, A.; Azpiroz, F. Correction of Abdominal Distention by Biofeedback-Guided Control of Abdominothoracic Muscular Activity in a Randomized, Placebo-Controlled Trial. Clin. Gastroenterol. Hepatol. 2017, 15, 1922–1929. [Google Scholar] [CrossRef] [PubMed]
- Rayner, C.K.; Hughes, P.A. Small Intestinal Motor and Sensory Function and Dysfunction. In Sleisenger and Fordtran’s Gastrointestinal and Liver Disease; Pathophysiology, Diagnosis, Management; Elsevier: Philadelphia, PA, USA, 2021; pp. 1580–1594.e3. [Google Scholar]
- Furness, J.B.; Kunze, W.A.A.; Clerc, N., II. The intestine as a sensory organ: Neural, endocrine, and immune responses. Am. J. Physiol. Gastrointest. Liver Physiol. 1999, 277, G922–G928. [Google Scholar] [CrossRef]
- Bentley, F.H.; Smithwick, R. Visceral pain produced by balloon distension of the jejunum. Lancet 1940, 236, 389–391. [Google Scholar] [CrossRef]
- Ray, B.S.; Neill, C.L. Abdominal Visceral Sensation in Man. Ann. Surg. 1947, 126, 709–723. [Google Scholar] [CrossRef]
- Wilder-Smith, C.H. The balancing act: Endogenous modulation of pain in functional gastrointestinal disorders. Gut 2011, 60, 1589–1599. [Google Scholar] [CrossRef] [PubMed]
- Azpiroz, F. Intestinal perception: Mechanisms and assessment. Br. J. Nutr. 2005, 93 (Suppl. 1), S7–S12. [Google Scholar] [CrossRef] [PubMed][Green Version]
- Ly, H.G.; Dupont, P.; Van Laere, K.; Depoortere, I.; Tack, J.; Van Oudenhove, L. Differential brain responses to gradual intragastric nutrient infusion and gastric balloon distension: A role for gut peptides? Neuroimage 2017, 144 Pt A, 101–112. [Google Scholar] [CrossRef] [PubMed]
- Accarino, A.M.; Azpiroz, F.; Malagelada, J.R. Symptomatic responses to stimulation of sensory pathways in the jejunum. Am. J. Physiol. 1992, 263 Pt 1, G673–G677. [Google Scholar] [CrossRef] [PubMed]
- Serra, J.; Azpiroz, F.; Malagelada, J.R. Perception and reflex responses to intestinal distention in humans are modified by simultaneous or previous stimulation. Gastroenterology 1995, 109, 1742–1749. [Google Scholar] [CrossRef]
- Serra, J.; Azpiroz, F.; Malagelada, J.R. Modulation of gut perception in humans by spatial summation phenomena. J. Physiol. 1998, 506 Pt 2, 579–587. [Google Scholar] [CrossRef]
- Huaman, J.-W.; Mego, M.; Bendezú, A.; Monrroy, H.; Samino, S.; Accarino, A.; Saperas, E.; Azpiroz, F. Correction of Dyssynergic Defecation, but Not Fiber Supplementation, Reduces Symptoms of Functional Dyspepsia in Patients With Constipation in a Randomized Trial. Clin. Gastroenterol. Hepatol. 2020, 18, 2463–2470.e1. [Google Scholar] [CrossRef]
- Grundy, D. Neuroanatomy of Visceral Nociception: Vagal and Splanchnic Afferent. Gut 2002, 51 (Suppl. 1), i2–i5. [Google Scholar] [CrossRef]
- Azpiroz, F. Gastrointestinal perception: Pathophysiological implications. Neurogastroenterol. Motil. 2002, 14, 229–239. [Google Scholar] [CrossRef]
- Pribic, T.; Vilaseca, H.; Nieto, A.; Hernandez, L.; Monrroy, H.; Malagelada, C.; Accarino, A.; Roca, J.; Azpiroz, F. Meal composition influences postprandial sensations independently of valence and gustation. Neurogastroenterol. Motil. 2018, 25, e13337. [Google Scholar] [CrossRef]
- Accarino, A.M.; Azpiroz, F.; Malagelada, J.R. Modification of small bowel mechanosensitivity by intestinal fat. Gut 2001, 48, 690–695. [Google Scholar] [CrossRef]
- Caldarella, M.P.; Azpiroz, F.; Malagelada, J.-R. Selective effects of nutrients on gut sensitivity and reflexes. Gut 2007, 56, 37–42. [Google Scholar] [CrossRef][Green Version]
- Weltens, N.; Zhao, D.; Van Oudenhove, L. Where is the comfort in comfort foods? Mechanisms linking fat signaling, reward, and emotion. Neurogastroenterol. Motil. 2014, 26, 303–315. [Google Scholar] [CrossRef] [PubMed]
- Bendezú, R.A.; Mego, M.; Monclus, E.; Merino, X.; Accarino, A.; Malagelada, J.R.; Navazo, I.; Azpiroz, F. Colonic content: Effect of diet, meals, and defecation. Neurogastroenterol. Motil. 2017, 29, e12930. [Google Scholar] [CrossRef]
- Simrén, M.; Barbara, G.; Flint, H.J.; Spiegel, B.M.R.; Spiller, R.C.; Vanner, S.; Verdu, E.F.; Whorwell, P.J.; Zoetendal, E.G. Rome Foundation Committee Intestinal Microbiota in Functional Bowel Disorders: A Rome Foundation Report. Gut 2013, 62, 159–176. [Google Scholar]
- Aziz, Q.; Doré, J.; Emmanuel, A.; Guarner, F.; Quigley, E.M.M. Gut microbiota and gastrointestinal health: Current concepts and future directions. Neurogastroenterol. Motil. 2013, 25, 4–15. [Google Scholar] [CrossRef] [PubMed]
- Wu, G.D.; Lewis, J.D. Analysis of the human gut microbiome and association with disease. Clin. Gastroenterol. Hepatol. 2013, 11, 774–777. [Google Scholar] [CrossRef]
- Mayer, E.A.; Hsiao, E.Y. The Gut and Its Microbiome as Related to Central Nervous System Functioning and Psychological Well-being: Introduction to the Special Issue of Psychosomatic Medicine. Psychosom. Med. 2017, 79, 844–846. [Google Scholar] [CrossRef]
- Azpiroz, F. Intestinal gas. In Sleisenger and Fordtran’s Gastrointestinal and Liver Disease, 10th ed.; Pathophysiology, Diagnosis, Management; Elsevier: Amsterdam, The Netherlands, 2015; pp. 242–250. [Google Scholar]
- Manichanh, C.; Eck, A.; Varela, E.; Roca, J.; Clemente, J.C.; González, A.; Knights, D.; Knight, R.; Estrella, S.; Hernandez, C.; et al. Anal gas evacuation and colonic microbiota in patients with flatulence: Effect of diet. Gut 2014, 63, 401–408. [Google Scholar] [CrossRef] [PubMed]
- Mego, M.; Accarino, A.; Malagelada, J.-R.; Guarner, F.; Azpiroz, F. Accumulative effect of food residues on intestinal gas production. Neurogastroenterol. Motil. 2015, 27, 1621–1628. [Google Scholar] [CrossRef] [PubMed]
- Ceballos Inza, V.; MonclúsLahoya, E.; Vázquez Alcocer, P.P.; Bendezú García, Á.; Mego Silva, M.; Merino Casabiel, X.; AzpirozVidaur, F.; Navazo Álvaro, I. Colonic content assessment from MRI imaging using a semi-automatic approach. In EG VCBM 2019: Eurographics Workshop on Visual Computing for Biology and Medicine: Full and Short Paper Proceedings, Brno, Czech Republic, 4–6 September 2019; European Association for Computer Graphics (Eurographics): Geneva, Switzerland, 2019; pp. 17–26. Available online: https://upcommons.upc.edu/handle/2117/174469 (accessed on 8 March 2021).
- Orellana, B.; Monclús, E.; Brunet, P.; Navazo, I.; Bendezú, Á.; Azpiroz, F. A scalable approach to T2-MRI colon segmentation. Med. Image Anal. 2020, 63, 101697. [Google Scholar] [CrossRef]
- Huaman, J.-W.; Mego, M.; Manichanh, C.; Cañellas, N.; Cañueto, D.; Segurola, H.; Jansana, M.; Malagelada, C.; Accarino, A.; Vulevic, J.; et al. Effects of Prebiotics vs a Diet Low in FODMAPs in Patients With Functional Gut Disorders. Gastroenterology 2018, 155, 1004–1007. [Google Scholar] [CrossRef]
- Azpiroz, F.; Molne, L.; Mendez, S.; Nieto, A.; Manichanh, C.; Mego, M.; Accarino, A.; Santos, J.; Sailer, M.; Theis, S.; et al. Effect of Chicory-derived Inulin on Abdominal Sensations and Bowel Motor Function. J. Clin. Gastroenterol. 2017, 51, 619–625. [Google Scholar] [CrossRef]
- Azpiroz, F.; Dubray, C.; Bernalier-Donadille, A.; Cardot, J.-M.; Accarino, A.; Serra, J.; Wagner, A.; Respondek, F.; Dapoigny, M. Effects of scFOS on the composition of fecal microbiota and anxiety in patients with irritable bowel syndrome: A randomized, double blind, placebo controlled study. Neurogastroenterol. Motil. 2017, 29, e12911. [Google Scholar] [CrossRef]
- Le Nevé, B.; de la Torre, A.M.; Tap, J.; Derrien, M.; Cotillard, A.; Barba, E.; Mego, M.; Nieto Ruiz, A.; Hernandez-Palet, L.; Dornic, Q.; et al. A Fermented Milk Product with, B. Lactis CNCM I-2494 and Lactic Acid Bacteria Improves Gastrointestinal Comfort in Response to a Challenge Diet Rich in Fermentable Residues in Healthy Subjects. Nutrients 2020, 12, 320. [Google Scholar] [CrossRef] [PubMed]
- Hungin, A.P.S.; Mitchell, C.R.; Whorwell, P.; Mulligan, C.; Cole, O.; Agréus, L.; Fracasso, P.; Lionis, C.; Mendive, J.; Philippart de Foy, J.-M.; et al. Systematic review: Probiotics in the management of lower gastrointestinal symptoms—An updated evidence-based international consensus. Aliment. Pharmacol. Ther. 2018, 47, 1054–1070. [Google Scholar] [CrossRef]
- Sanders, M.E.; Merenstein, D.J.; Reid, G.; Gibson, G.R.; Rastall, R.A. Probiotics and prebiotics in intestinal health and disease: From biology to the clinic. Nat. Rev. Gastroenterol. Hepatol. 2019, 16, 605–616. [Google Scholar] [CrossRef]
- Guarino, M.P.L.; Altomare, A.; Emerenziani, S.; Di Rosa, C.; Ribolsi, M.; Balestrieri, P.; Iovino, P.; Rocchi, G.; Cicala, M. Mechanisms of Action of Prebiotics and Their Effects on Gastro-Intestinal Disorders in Adults. Nutrients 2020, 12, 1037. [Google Scholar] [CrossRef] [PubMed]
- Sauer, H.; Ohla, K.; Dammann, D.; Teufel, M.; Zipfel, S.; Enck, P.; Mack, I. Changes in Gustatory Function and Taste Preference Following Weight Loss. J. Pediatr. 2017, 182, 120–126. [Google Scholar] [CrossRef] [PubMed]
- Livovsky, D.M.; Pribic, T.; Azpiroz, F. Food, Eating, and the Gastrointestinal Tract. Nutrients 2020, 12, 986. [Google Scholar] [CrossRef] [PubMed]
- Pribic, T.; Hernandez, L.; Nieto, A.; Malagelada, C.; Accarino, A.; Azpiroz, F. Effects of meal palatability on postprandial sensations. Neurogastroenterol. Motil. 2018, 30, e13248. [Google Scholar] [CrossRef]
- Cabanac, M. Physiological role of pleasure. Science 1971, 173, 1103–1107. [Google Scholar] [CrossRef] [PubMed]
- Pribic, T.; Nieto, A.; Hernandez, L.; Malagelada, C.; Accarino, A.; Azpiroz, F. Appetite influences the responses to meal ingestion. Neurogastroenterol. Motil. 2017, 29, e13072. [Google Scholar] [CrossRef]
- de Graaf, C. Texture and satiation: The role of oro-sensory exposure time. Physiol. Behav. 2012, 107, 496–501. [Google Scholar] [CrossRef]
- Andrade, A.M.; Greene, G.W.; Melanson, K.J. Eating slowly led to decreases in energy intake within meals in healthy women. J. Am. Diet. Assoc. 2008, 108, 1186–1191. [Google Scholar] [CrossRef]
- Robinson, E.; Almiron-Roig, E.; Rutters, F.; de Graaf, C.; Forde, C.G.; Tudur Smith, C.; Nolan, S.J.; Jebb, S.A. A systematic review and meta-analysis examining the effect of eating rate on energy intake and hunger. Am. J. Clin. Nutr. 2014, 100, 123–151. [Google Scholar] [CrossRef]
- Viskaal-van Dongen, M.; Kok, F.J.; de Graaf, C. Eating rate of commonly consumed foods promotes food and energy intake. Appetite 2011, 56, 25–31. [Google Scholar] [CrossRef] [PubMed]
- Mearin, F.; Cucala, M.; Azpiroz, F.; Malagelada, J.R. The origin of symptoms on the brain-gut axis in functional dyspepsia. Gastroenterology 1991, 101, 999–1006. [Google Scholar] [CrossRef]
- Khlevner, J.; Park, Y.; Margolis, K.G. Brain–Gut Axis Clinical Implications. Gastroenterol. Clin. N. Am. 2018, 47, 727–739. [Google Scholar] [CrossRef]
- Accarino, A.M.; Azpiroz, F.; Malagelada, J.R. Attention and distraction: Effects on gut perception. Gastroenterology 1997, 113, 415–422. [Google Scholar] [CrossRef]
- Brunstrom, J.M.; Mitchell, G.L. Effects of distraction on the development of satiety. Br. J. Nutr. 2006, 96, 761–769. [Google Scholar]
- Hardcastle, S.J.; Thøgersen-Ntoumani, C.; Chatzisarantis, N.L.D. Food Choice and Nutrition: A Social Psychological Perspective. Nutrients 2015, 7, 8712–8715. [Google Scholar] [CrossRef]
- Péneau, S.; Mekhmoukh, A.; Chapelot, D.; Dalix, A.-M.; Airinei, G.; Hercberg, S.; Bellisle, F. Influence of environmental factors on food intake and choice of beverage during meals in teenagers: A laboratory study. Br. J. Nutr. 2009, 102, 1854–1859. [Google Scholar] [CrossRef] [PubMed]
- Coelho, J.S.; Idler, A.; Werle, C.O.C.; Jansen, A. Sweet temptation: Effects of exposure to chocolate-scented lotion on food intake. Food Qual. Prefer. 2011, 22, 780–784. [Google Scholar] [CrossRef]
- Edwards, J.S.A.; Meiselman, H.L.; Edwards, A.; Lesher, L. The influence of eating location on the acceptability of identically prepared foods. Food Qual. Prefer. 2003, 14, 647–652. [Google Scholar] [CrossRef]
- Guéguen, N.; Petr, C. Odors and consumer behavior in a restaurant. Int. J. Hosp. Manag. 2006, 25, 335–339. [Google Scholar] [CrossRef]
- Pribic, T.; Vilaseca, H.; Nieto, A.; Hernandez, L.; Malagelada, C.; Accarino, A.; Roca, J.; Azpiroz, F. Education of the postprandial experience by a sensory-cognitive intervention. Neurogastroenterol. Motil. 2018, 30, e13197. [Google Scholar] [CrossRef]
- Barba, E.; Sánchez, B.; Burri, E.; Accarino, A.; Monclus, E.; Navazo, I.; Guarner, F.; Margolles, A.; Azpiroz, F. Abdominal distension after eating lettuce: The role of intestinal gas evaluated in vitro and by abdominal CT imaging. Neurogastroenterol. Motil. 2019, 31, e13703. [Google Scholar] [CrossRef] [PubMed]
- Gramsch, C.; Kattoor, J.; Icenhour, A.; Forsting, M.; Schedlowski, M.; Gizewski, E.R.; Elsenbruch, S. Learning pain-related fear: Neural mechanisms mediating rapid differential conditioning, extinction and reinstatement processes in human visceral pain. Neurobiol. Learn Mem. 2014, 116, 36–45. [Google Scholar] [CrossRef]
- Kattoor, J.; Gizewski, E.R.; Kotsis, V.; Benson, S.; Gramsch, C.; Theysohn, N.; Maderwald, S.; Forsting, M.; Schedlowski, M.; Elsenbruch, S. Fear conditioning in an abdominal pain model: Neural responses during associative learning and extinction in healthy subjects. PLoS ONE 2013, 8, e51149. [Google Scholar] [CrossRef] [PubMed]
- Icenhour, A.; Labrenz, F.; Ritter, C.; Theysohn, N.; Forsting, M.; Bingel, U.; Elsenbruch, S. Learning by experience? Visceral pain-related neural and behavioral responses in a classical conditioning paradigm. Neurogastroenterol. Motil. 2017, 29, e13026. [Google Scholar] [CrossRef] [PubMed]
- Yamamoto, T. Central mechanisms of roles of taste in reward and eating. Acta Physiol. Hung. 2008, 95, 165–186. [Google Scholar] [CrossRef]
- Feinle-Bisset, C.; Meier, B.; Fried, M.; Beglinger, C. Role of cognitive factors in symptom induction following high and low fat meals in patients with functional dyspepsia. Gut 2003, 52, 1414–1418. [Google Scholar] [CrossRef] [PubMed]
- Lee, I.-S.; Kullmann, S.; Scheffler, K.; Preissl, H.; Enck, P. Fat label compared with fat content: Gastrointestinal symptoms and brain activity in functional dyspepsia patients and healthy controls. Am. J. Clin. Nutr. 2018, 108, 127–135. [Google Scholar] [CrossRef]
- Icenhour, A.; Langhorst, J.; Benson, S.; Schlamann, M.; Hampel, S.; Engler, H.; Forsting, M.; Elsenbruch, S. Neural circuitry of abdominal pain-related fear learning and reinstatement in irritable bowel syndrome. Neurogastroenterol. Motil. 2015, 27, 114–127. [Google Scholar] [CrossRef]
- Monrroy, H.; Borghi, G.; Pribic, T.; Galan, C.; Nieto, A.; Amigo, N.; Accarino, A.; Correig, X.; Azpiroz, F. Biological Response to Meal Ingestion: Gender Differences. Nutrients 2019, 11, 702. [Google Scholar] [CrossRef]
- Mearadji, B.; Penning, C.; Vu, M.K.; van der Schaar, P.J.; van Petersen, A.S.; Kamerling, I.M.; Masclee, A.A. Influence of gender on proximal gastric motor and sensory function. Am. J. Gastroenterol. 2001, 96, 2066–2073. [Google Scholar] [CrossRef]
- Abid, S.; Anis, M.K.; Azam, Z.; Jafri, W.; Lindberg, G. Satiety drinking tests: Effects of caloric content, drinking rate, gender, age, and body mass index. Scand J. Gastroenterol. 2009, 44, 551–556. [Google Scholar] [CrossRef] [PubMed]
- Hutson, W.R.; Roehrkasse, R.L.; Wald, A. Influence of gender and menopause on gastric emptying and motility. Gastroenterology 1989, 96, 11–17. [Google Scholar] [CrossRef]
- Bennink, R.; Peeters, M.; Van den Maegdenbergh, V.; Geypens, B.; Rutgeerts, P.; De Roo, M.; Mortelmans, L. Comparison of total and compartmental gastric emptying and antral motility between healthy men and women. Eur. J. Nucl. Med. 1998, 25, 1293–1299. [Google Scholar] [CrossRef] [PubMed]
- Kilpatrick, L.; Pribic, T.; Ciccantelli, B.; Malagelada, C.; Livovsky, D.M.; Accarino, A.; Pareto, D.; Azpiroz, F.; Mayer, E.A. Sex Differences and Commonalities in the Impact of a Palatable Meal on Thalamic and Insular Connectivity. Nutrients 2020, 12, 1627. [Google Scholar] [CrossRef] [PubMed]
- Masihy, M.; Monrroy, H.; Borghi, G.; Pribic, T.; Galan, C.; Nieto, A.; Accarino, A.; Azpiroz, F. Influence of Eating Schedule on the Postprandial Response: Gender Differences. Nutrients 2019, 11, 401. [Google Scholar] [CrossRef] [PubMed]
- Benson, S.; Kattoor, J.; Kullmann, J.S.; Hofmann, S.; Engler, H.; Forsting, M.; Gizewski, E.R.; Elsenbruch, S. Towards understanding sex differences in visceral pain: Enhanced reactivation of classically-conditioned fear in healthy women. Neurobiol. Learn. Mem. 2014, 109, 113–121. [Google Scholar] [CrossRef]
- Feinle-Bisset, C.; Azpiroz, F. Dietary and lifestyle factors in functional dyspepsia. Nat. Rev. Gastroenterol. Hepatol. 2013, 10, 150–157. [Google Scholar] [CrossRef]
- Feinle-Bisset, C.; Azpiroz, F. Dietary lipids and functional gastrointestinal disorders. Am. J. Gastroenterol. 2013, 108, 737–747. [Google Scholar] [CrossRef]
- Feinle, C.; Meier, O.; Otto, B.; D’Amato, M.; Fried, M. Role of duodenal lipid and cholecystokinin A receptors in the pathophysiology of functional dyspepsia. Gut 2001, 48, 347–355. [Google Scholar] [CrossRef]
- Fried, M.; Feinle, C. The role of fat and cholecystokinin in functional dyspepsia. Gut 2002, 51 (Suppl. 1), i54–i57. [Google Scholar] [CrossRef]
- Barbera, R.; Feinle, C.; Read, N.W. Nutrient-specific modulation of gastric mechanosensitivity in patients with functional dyspepsia. Dig. Dis. Sci. 1995, 40, 1636–1641. [Google Scholar] [CrossRef]
- Pilichiewicz, A.N.; Feltrin, K.L.; Horowitz, M.; Holtmann, G.; Wishart, J.M.; Jones, K.L.; Talley, N.J.; Feinle-Bisset, C. Functional dyspepsia is associated with a greater symptomatic response to fat but not carbohydrate, increased fasting and postprandial CCK, and diminished PYY. Am. J. Gastroenterol. 2008, 103, 2613–2623. [Google Scholar] [CrossRef]
- Böhn, L.; Störsrud, S.; Liljebo, T.; Collin, L.; Lindfors, P.; Törnblom, H.; Simrén, M. Diet low in FODMAPs reduces symptoms of irritable bowel syndrome as well as traditional dietary advice: A randomized controlled trial. Gastroenterology 2015, 149, 1399–1407.e2. [Google Scholar] [CrossRef] [PubMed]
- Azpiroz, F.; Hernandez, C.; Guyonnet, D.; Accarino, A.; Santos, J.; Malagelada, J.-R.; Guarner, F. Effect of a low-flatulogenic diet in patients with flatulence and functional digestive symptoms. Neurogastroenterol. Motil. 2014, 26, 779–785. [Google Scholar] [CrossRef] [PubMed]
- Moayyedi, P.; Simrén, M.; Bercik, P. Evidence-based and mechanistic insights into exclusion diets for IBS. Nat. Rev. Gastroenterol. Hepatol. 2020, 17, 406–413. [Google Scholar] [CrossRef] [PubMed]



Publisher’s Note: MDPI stays neutral with regard to jurisdictional claims in published maps and institutional affiliations. |
© 2021 by the authors. Licensee MDPI, Basel, Switzerland. This article is an open access article distributed under the terms and conditions of the Creative Commons Attribution (CC BY) license (http://creativecommons.org/licenses/by/4.0/).
Share and Cite
Livovsky, D.M.; Azpiroz, F. Gastrointestinal Contributions to the Postprandial Experience. Nutrients 2021, 13, 893. https://doi.org/10.3390/nu13030893
Livovsky DM, Azpiroz F. Gastrointestinal Contributions to the Postprandial Experience. Nutrients. 2021; 13(3):893. https://doi.org/10.3390/nu13030893
Chicago/Turabian StyleLivovsky, Dan M., and Fernando Azpiroz. 2021. "Gastrointestinal Contributions to the Postprandial Experience" Nutrients 13, no. 3: 893. https://doi.org/10.3390/nu13030893
APA StyleLivovsky, D. M., & Azpiroz, F. (2021). Gastrointestinal Contributions to the Postprandial Experience. Nutrients, 13(3), 893. https://doi.org/10.3390/nu13030893

