Secular Decreasing Trend in Plasma Eicosapentaenoic and Docosahexaenoic Acids among Patients with Acute Coronary Syndrome from 2011 to 2019: A Single Center Descriptive Study
Abstract
1. Introduction
2. Materials and Methods
2.1. Blood Sampling
2.2. Assessment of Additional Risk Factors
2.3. Statistical Analysis
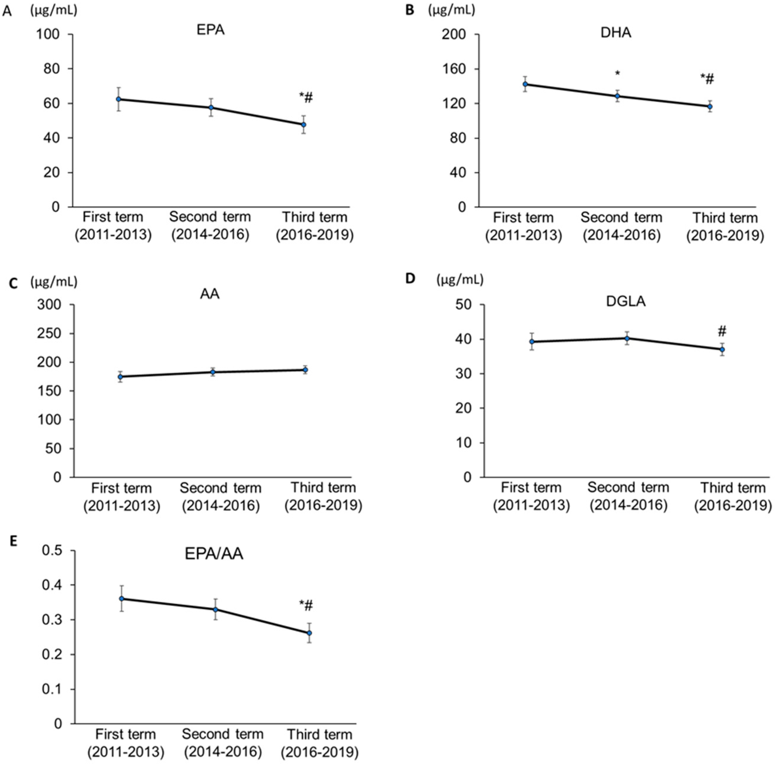
3. Results
4. Discussion
5. Conclusions
Author Contributions
Funding
Institutional Review Board Statement
Informed Consent Statement
Data Availability Statement
Conflicts of Interest
References
- Roth, G.A.; Abate, D.; Abate, K.H.; Abay, S.M.; Abbafati, C.; Abbasi, N.; Abbastabar, H.; Abd-Allah, F.; Abdela, J.; Abdelalim, A.; et al. Global, regional, and national age-sex-specific mortality for 282 causes of death in 195 countries and territories, 1980–2017: A systematic analysis for the global burden of disease study 2017. Lancet 2018, 392, 1736–1788. [Google Scholar] [CrossRef]
- Piepoli, M.F.; Hoes, A.W.; Agewall, S.; Albus, C.; Brotons, C.; Catapano, A.L.; Cooney, M.T.; Corrà, U.; Cosyns, B.; Deaton, C.; et al. 2016 European Guidelines on cardiovascular disease prevention in clinical practice: The Sixth Joint Task Force of the European Society of Cardiology and Other Societies on Cardiovascular Disease Prevention in Clinical Practice (constituted by representatives of 10 societies and by invited experts) Developed with the special contribution of the European Association for Cardiovascular Prevention & Rehabilitation (EACPR). Eur. Heart J. 2016, 37, 2315–2381. [Google Scholar] [PubMed]
- Arnett, D.K.; Blumenthal, R.S.; Albert, M.A.; Buroker, A.B.; Goldberger, Z.D.; Hahn, E.J.; Himmelfarb, C.D.; Khera, A.; Lloyd-Jones, D.; McEvoy, J.W.; et al. 2019 ACC/AHA guideline on the primary prevention of cardiovascular disease: A report of the American College of Cardiology/American Heart Association Task Force on Clinical Practice Guidelines. J. Am. Coll. Cardiol. 2019, 74, e177–e232. [Google Scholar] [CrossRef] [PubMed]
- Mach, F.; Baigent, C.; Catapano, A.L.; Koskinas, K.C.; Casula, M.; Badimon, L.; Chapman, M.J.; De Backer, G.G.; Delgado, V.; Ference, B.A.; et al. 2019 ESC/EAS Guidelines for the management of dyslipidaemias: Lipid modification to reduce cardiovascular risk. Atherosclerosis 2019, 290, 140–205. [Google Scholar] [CrossRef] [PubMed]
- Kimura, K.; Kimura, T.; Ishihara, M.; Nakagawa, Y.; Nakao, K.; Miyauchi, K.; Sakamoto, T.; Tsujita, K.; Hagiwara, N.; Miyazaki, S.; et al. JCS 2018 Guideline on diagnosis and treatment of acute coronary syndrome. Circ. J. 2019, 83, 1085–1196. [Google Scholar] [CrossRef] [PubMed]
- Stone, S.G.; Serrao, G.W.; Mehran, R.; Tomey, M.I.; Witzenbichler, B.; Guagliumi, G.; Peruga, J.Z.; Brodie, B.R.; Dudek, D.; Möckel, M.; et al. Incidence, predictors, and implications of reinfarction after primary percutaneous coronary intervention in ST-segment-elevation myocardial infarction: The harmonizing outcomes with revascularization and stents in acute myocardial infarction trial. Circ. Cardiovasc. Interv. 2014, 7, 543–551. [Google Scholar] [CrossRef]
- Motivala, A.A.; Tamhane, U.; Ramanath, V.S.; Saab, F.; Montgomery, D.G.; Fang, J.; Kline-Rogers, E.; May, N.; Ng, G.; Froehlich, J.; et al. A prior myocardial infarction: How does it affect management and outcomes in recurrent acute coronary syndromes? Clin. Cardiol. 2008, 31, 590–596. [Google Scholar] [CrossRef]
- Sachdeva, A.; Cannon, C.P.; Deedwania, P.C.; Labresh, K.A.; Smith, S.C., Jr.; Dai, D.; Hernandez, A.; Fonarow, G.C. Lipid levels in patients hospitalized with coronary artery disease: An analysis of 136,905 hospitalizations in Get with the Guidelines. Am. Heart J. 2009, 157, 111–117. [Google Scholar] [CrossRef]
- Iso, H.; Kobayashi, M.; Ishihara, J.; Sasaki, S.; Okada, K.; Kita, Y.; Kokubo, Y.; Tsugane, S.; JPHC Study Group. Intake of fish and n3 fatty acids and risk of coronary heart disease among Japanese: The Japan Public Health Center-Based (JPHC) Study Cohort I. Circulation 2006, 113, 195–202. [Google Scholar] [CrossRef]
- Domei, T.; Yokoi, H.; Kuramitsu, S.; Soga, Y.; Arita, T.; Ando, K.; Shirai, S.; Kondo, K.; Sakai, K.; Goya, M.; et al. Ratio of serum n-3 to n-6 polyunsaturated fatty acids and the incidence of major adverse cardiac events in patients undergoing percutaneous coronary intervention. Circ. J. 2012, 76, 423–429. [Google Scholar] [CrossRef]
- Ueeda, M.; Doumei, T.; Takaya, Y.; Ohnishi, N.; Takaishi, A.; Hirohata, S.; Miyoshi, T.; Shinohata, R.; Usui, S.; Kusachi, S. Association of serum levels of arachidonic acid and eicosapentaenoic acid with prevalence of major adverse cardiac events after acute myocardial infarction. Heart Vessel. 2011, 26, 145–152. [Google Scholar] [CrossRef] [PubMed]
- Ninomiya, T.; Nagata, M.; Hata, J.; Hirakawa, Y.; Ozawa, M.; Yoshida, D.; Ohara, T.; Kishimoto, H.; Mukai, N.; Fukuhara, M.; et al. Association between ratio of serum eicosapentaenoic acid to arachidonic acid and risk of cardiovascular disease: The Hisayama Study. Atherosclerosis 2013, 231, 261–267. [Google Scholar] [CrossRef] [PubMed]
- Otsuka, R.; Kato, Y.; Imai, T.; Ando, F.; Shimokata, H. Secular trend of serum docosahexaenoic acid, eicosapentaenoic acid, and arachidonic acid concentrations among Japanese-a 4- and 13-year descriptive epidemiologic study. Prostaglandins Leukot. Essent. Fatty Acids 2015, 94, 35–42. [Google Scholar] [CrossRef] [PubMed]
- King, S.B., 3rd; Smith, S.C., Jr.; Hirshfeld, J.W., Jr.; Jacobs, A.K.; Morrison, D.A.; Williams, D.O.; Feldman, T.E.; Kern, M.J.; O’Neill, W.W.; Schaff, H.V.; et al. 2007 focused update of the ACC/AHA/SCAI 2005 guideline update for percutaneous coronary intervention: A report of the American College of Cardiology/American Heart Association Task Force on Practice guidelines. J. Am. Coll. Cardiol. 2008, 172–209. [Google Scholar] [CrossRef] [PubMed]
- Shimamoto, K.; Ando, K.; Fujita, T.; Hasebe, N.; Higaki, J.; Horiuchi, M.; Imai, Y.; Imaizumi, T.; Ishimitsu, T.; Ito, M.; et al. The Japanese Society of Hypertension Guidelines for the Management of Hypertension (JSH 2014). Hypertens. Res. 2014, 37, 253–390. [Google Scholar] [PubMed]
- Kinoshita, M.; Yokote, K.; Arai, H.; Iida, M.; Ishigaki, Y.; Ishibashi, S.; Umemoto, S.; Egusa, G.; Ohmura, H.; Okamura, T.; et al. Japan Atherosclerosis Society (JAS) Guidelines for Prevention of Atherosclerotic Cardiovascular Diseases 2017. J. Atheroscler. Thromb. 2018, 25, 846–984. [Google Scholar] [CrossRef] [PubMed]
- Yanagisawa, N.; Shimada, K.; Miyazaki, T.; Kume, A.; Kitamura, Y.; Ichikawa, R.; Ohmura, H.; Kiyanagi, T.; Hiki, M.; Fukao, K.; et al. Polyunsaturated fatty acid levels of serum and red blood cells in apparently healthy Japanese subjects living in an urban area. J. Atheroscler. Thromb. 2010, 17, 285–294. [Google Scholar] [CrossRef] [PubMed]
- Yokoyama, S. Beneficial effect of retuning to “Japan Diet” for the Japanese. J. Atheroscler. Thromb. 2019, 26, 1–2. [Google Scholar] [CrossRef]
- Shijo, Y.; Maruyama, C.; Nakamura, E.; Nakano, R.; Shima, M.; Mae, A.; Okabe, Y.; Park, S.; Kameyama, N.; Hirai, S. Japan diet intake changes serum phospholipid fatty acid compositions in middle-aged men: A pilot study. J. Atheroscler. Thromb. 2019, 26, 3–13. [Google Scholar] [CrossRef]
- Mason, R.P.; Libby, P.; Bhatt, D.L. Emerging mechanisms of cardiovascular protection for the omega-3 fatty acid eicosapentaenoic acid. Arterioscler. Thromb. Vasc. Biol. 2020, 40, 1135–1147. [Google Scholar] [CrossRef]
- Bäck, M.; Hansson, G.K. Omega-3 fatty acids, cardiovascular risk, and the resolution of inflammation. FASEB J. 2019, 33, 1536–1539. [Google Scholar] [CrossRef] [PubMed]
- Krämer, H.J.; Stevens, J.; Grimminger, F.; Seeger, W. Fish oil fatty acids and human platelets: Dose-dependent decrease in dienoic and increase in trienoic thromboxane generation. Biochem. Pharmacol. 1996, 52, 1211–1217. [Google Scholar] [CrossRef]
- Mason, R.P.; Dawoud, H.; Jacob, R.F.; Sherratt, S.C.R.; Malinski, T. Eicosapentaenoic acid improves endothelial function and nitric oxide bioavailability in a manner that is enhanced in combination with a statin. Biomed. Pharmacother. 2018, 103, 1231–1237. [Google Scholar] [CrossRef] [PubMed]
- Niki, T.; Wakatsuki, T.; Yamaguchi, K.; Taketani, Y.; Oeduka, H.; Kusunose, K.; Ise, T.; Iwase, T.; Yamada, H.; Soeki, T.; et al. Effects of the addition of eicosapentaenoic acid to strong statin therapy on inflammatory cytokines and coronary plaque components assessed by integrated backscatter intravascular ultrasound. Circ. J. 2016, 80, 450–460. [Google Scholar] [CrossRef] [PubMed]
- Nishio, R.; Shinke, T.; Otake, H.; Nakagawa, M.; Nagoshi, R.; Inoue, T.; Kozuki, A.; Hariki, H.; Osue, T.; Taniguchi, Y.; et al. Stabilizing effect of combined eicosapentaenoic acid and statin therapy on coronary thin-cap fibroatheroma. Atherosclerosis 2014, 234, 114–119. [Google Scholar] [CrossRef]
- Budoff, M.J.; Bhatt, D.L.; Kinninger, A.; Lakshmanan, S.; Muhlestein, J.B.; Le, V.T.; May, H.T.; Shaikh, K.; Shekar, C.; Roy, S.K.; et al. Effect of icosapent ethyl on progression of coronary atherosclerosis in patients with elevated triglycerides on statin therapy: Final results of the EVAPORATE trial. Eur. Heart J. 2020, 41, 3925–3932. [Google Scholar] [CrossRef]
- Lázaro, I.; Rueda, F.; Cediel, G.; Ortega, E.; García-García, C.; Sala-Vila, A.; Bayés-Genís, A. Circulating omega-3 fatty acids and incident adverse events in patients with acute myocardial infarction. J. Am. Coll. Cardiol. 2020, 76, 2089–2097. [Google Scholar] [CrossRef]
- Nordestgaard, B.G.; Varbo, A. Triglycerides and cardiovascular disease. Lancet 2014, 384, 626–635. [Google Scholar] [CrossRef]
- Nordestgaard, B.G. Triglyceride-rich lipoproteins and atherosclerotic cardiovascular disease: New insights from epidemiology, genetics, and biology. Circ. Res. 2016, 118, 547–563. [Google Scholar] [CrossRef]
- Cesaro, A.; Schiavo, A.; Moscarella, E.; Coletta, S.; Conte, M.; Gragnano, F.; Fimiani, F.; Monda, E.; Caiazza, M.; Limongelli, G.; et al. Lipoprotein(a): A genetic marker for cardiovascular disease and target for emerging therapies. J. Cardiovasc. Med. (Hagerstown) 2020. [Google Scholar] [CrossRef]
- Abdelhamid, A.S.; Brown, T.J.; Brainard, J.S.; Biswas, P.; Thorpe, G.C.; Moore, H.J.; Deane, K.H.; Summerbell, C.D.; Worthington, H.V.; Song, F.; et al. Omega-3 fatty acids for the primary and secondary prevention of cardiovascular disease. Cochrane Database Syst. Rev. 2020, CD003177. [Google Scholar] [CrossRef] [PubMed]
- Alexander, D.D.; Miller, P.E.; Van Elswyk, M.E.; Kuratko, C.N.; Bylsma, L.C. A Meta-Analysis of Randomized Controlled Trials and Prospective Cohort Studies of Eicosapentaenoic and Docosahexaenoic Long-Chain Omega-3 Fatty Acids and Coronary Heart Disease Risk. Mayo Clin. Proc. 2017, 92, 15–29. [Google Scholar] [CrossRef] [PubMed]
- Aung, T.; Halsey, J.; Kromhout, D.; Gerstein, H.C.; Marchioli, R.; Tavazzi, L.; Geleijnse, J.M.; Rauch, B.; Ness, A.; Galan, P.; et al. Associations of Omega-3 Fatty Acid Supplement Use with Cardiovascular Disease Risks: Meta-analysis of 10 Trials Involving 77917 Individuals. JAMA Cardiol. 2018, 3, 225–234. [Google Scholar] [CrossRef] [PubMed]
- Bernasconi, A.A.; Wiest, M.M.; Lavie, C.J.; Milani, R.V.; Laukkanen, J.A. Effect of Omega-3 Dosage on Cardiovascular Outcomes: An Updated Meta-Analysis and Meta-Regression of Interventional Trials. Mayo Clin. Proc. 2020. [Google Scholar] [CrossRef]
- Cabiddu, M.F.; Russi, A.; Appolloni, L.; Mengato, D.; Chiumente, M. Omega-3 for the prevention of cardiovascular diseases: Meta-analysis and trial-sequential analysis. Eur. J. Hosp. Pharm. 2020. [Google Scholar] [CrossRef]
- Casula, M.; Olmastroni, E.; Gazzotti, M.; Galimberti, F.; Zambon, A.; Catapano, A.L. Omega-3 polyunsaturated fatty acids supplementation and cardiovascular outcomes: Do formulation, dosage, and baseline cardiovascular risk matter? An updated meta-analysis of randomized controlled trials. Pharmacol. Res. 2020, 160, 105060. [Google Scholar] [CrossRef]
- Doshi, R.; Kumar, A.; Thakkar, S.; Shariff, M.; Adalja, D.; Doshi, A.; Taha, M.; Gupta, R.; Desai, R.; Shah, J.; et al. Meta-analysis Comparing Combined Use of Eicosapentaenoic Acid and Statin to Statin Alone. Am. J. Cardiol. 2020, 125, 198–204. [Google Scholar] [CrossRef]
- Hoang, T.; Kim, J. Comparative Effect of Statins and Omega-3 Supplementation on Cardiovascular Events: Meta-Analysis and Network Meta-Analysis of 63 Randomized Controlled Trials Including 264,516 Participants. Nutrients 2020, 12, 2218. [Google Scholar] [CrossRef]
- Hu, Y.; Hu, F.B.; Manson, J.E. Marine Omega-3 Supplementation and Cardiovascular Disease: An Updated Meta-Analysis of 13 Randomized Controlled Trials Involving 127 477 Participants. J. Am. Heart Assoc. 2019, 8, e013543. [Google Scholar] [CrossRef]
- Lombardi, M.; Chiabrando, J.G.; Vescovo, G.M.; Bressi, E.; Del Buono, M.G.; Carbone, S.; Koenig, R.A.; Van Tassell, B.W.; Abbate, A.; Biondi-Zoccai, G.; et al. Impact of Different Doses of Omega-3 Fatty Acids on Cardiovascular Outcomes: A Pairwise and Network Meta-analysis. Curr. Atheroscler. Rep. 2020, 22, 45. [Google Scholar] [CrossRef]
- Maki, K.C.; Palacios, O.M.; Bell, M.; Toth, P.P. Use of supplemental long-chain omega-3 fatty acids and risk for cardiac death: An updated meta-analysis and review of research gaps. J. Clin. Lipidol. 2017, 11, 1152–1160. [Google Scholar] [CrossRef] [PubMed]
- Popoff, F.; Balaciano, G.; Bardach, A.; Comande, D.; Irazola, V.; Catalano, H.N.; Izcovich, A. Omega 3 fatty acid supplementation after myocardial infarction: A systematic review and meta-analysis. BMC Cardiovasc. Disord. 2019, 19, 136. [Google Scholar] [CrossRef] [PubMed]
- Bhatt, D.L.; Steg, P.G.; Miller, M.; Brinton, E.A.; Jacobson, T.A.; Ketchum, S.B.; Doyle, R.T.; Juliano, R.A.; Jiao, L.; Granowitz, C.; et al. Cardiovascular risk reduction with icosapent ethyl for hypertriglyceridemia. N. Engl. J. Med. 2019, 380, 11–22. [Google Scholar] [CrossRef] [PubMed]
- ASCEND Study Collaborative Group; Bowman, L.; Mafham, M.; Wallendszus, K.; Stevens, W.; Buck, G.; Barton, J.; Murphy, K.; Aung, T.; Haynes, R.; et al. Effects of n-3 fatty acid supplements in diabetes mellitus. N. Engl. J. Med. 2018, 379, 1540–1550. [Google Scholar] [PubMed]
- Manson, J.E.; Cook, N.R.; Lee, I.M.; Christen, W.; Bassuk, S.S.; Mora, S.; Gibson, H.; Albert, C.M.; Gordon, D.; Copeland, T.; et al. Marine n-3 fatty acids and prevention of cardiovascular disease and cancer. N. Engl. J. Med. 2019, 380, 23–32. [Google Scholar] [CrossRef] [PubMed]
- Nicholls, S.J.; Lincoff, A.M.; Garcia, M.; Bash, D.; Ballantyne, C.M.; Barter, P.J.; Davidson, M.H.; Kastelein, J.J.P.; Koenig, W.; McGuire, D.K.; et al. Effect of high-dose omega-3 fatty acids vs corn oil on major adverse cardiovascular events in patients at high cardiovascular risk: The STRENGTH randomized clinical trial. JAMA 2020, 324, 2268–2280. [Google Scholar] [CrossRef] [PubMed]

| First Term (2011–2013), n = 238 | Second Term (2014–2016), n = 285 | Third Term (2017–2019), n = 366 | p Value | |
|---|---|---|---|---|
| Age, years | 70.3 ± 11.4 | 68.5 ± 12.1 | 71.7 ± 12.7 # | 0.003 |
| Male/female | 181 (76)/57 (24) | 227 (80)/58 (20) | 278 (76)/88 (24) | 0.480 |
| Body mass index, kg/m2 | 23.7 ± 3.8 | 23.9 ± 3.4 | 23.8 ± 3.8 | 0.765 |
| Hypertension | 165 (69) | 211 (74) | 264 (72) | 0.489 |
| Diabetes mellitus | 92 (39) | 95 (33) | 140 (38) | 0.340 |
| Dyslipidemia | 159 (67) | 199 (70) | 219 (60) # | 0.023 |
| Current smoker | 69 (29) | 124 (43.8) * | 107 (29) # | <0.001 |
| AMI/UAP | 160 (67)/78 (33) | 194 (68)/91 (32) | 245 (67)/121 (33) | 0.097 |
| History of CAD | 37 (16) | 32 (11) | 47 (13) | 0.34 |
| Statin | 39 (16) | 74 (26) * | 67 (18) # | 0.012 |
| Ezetimibe | N/A | 5 (2) | 7 (2) | 0.710 |
| ACEI/ARB | 65 (28) | 108 (37) | 106 (28) | 0.770 |
| β-blocker | 22 (9) | 28 (10) | 31 (8) | 0.995 |
| Serum creatinine, mg/dL | 1.00 ± 0.91 | 0.98 ± 0.88 | 1.18 ± 1.49 | 0.057 |
| Hemoglobin A1c, % | 6.4 ± 1.3 | 6.0 ± 0.9 * | 6.2 ± 1.1 | 0.005 |
| Total cholesterol, mg/dL | 181 ± 39 | 185 ± 44 | 180 ± 40 | 0.223 |
| LDL-C, mg/dL | 114 ± 33 | 116 ± 36 | 113 ± 34 | 0.692 |
| Triglyceride, mg/dL | 110 ± 131 | 114 ± 99 | 94 ± 77 # | 0.037 |
| HDL-C, mg/dL | 42 ± 10 | 44 ± 12 | 44 ± 12 | 0.257 |
| EPA, μg/mL | 63.0 ± 42.2 | 60.2 ± 38.3 | 51.6 ± 33.2 *# | <0.001 |
| DHA, μg/mL | 138.1 ± 51.7 | 130.2 ± 51.0 | 116.0 ± 43.8 *# | <0.001 |
| AA, μg/mL | 169.6 ± 45.6 | 178.3 ± 53.2 | 180.8 ± 55.7 * | 0.032 |
| DGLA, μg/mL | 36.0 ± 14.7 | 39.3 ± 15.2 * | 36.0 ± 14.8 # | 0.010 |
| EPA/AA | 0.37 ± 0.22 | 0.35 ± 0.22 | 0.29 ± 0.18 *# | <0.001 |
| First Term (2011–2013) | Second Term (2014–2016) | Third Term (2017–2019) | p Value | |
|---|---|---|---|---|
| EPA, μg/mL | ||||
| All patients | 63.0 ± 42.2 | 60.2 ± 38.3 | 51.6 ± 33.2 *# | <0.001 |
| Age ≤ 70 years | 62.8 ± 40.1 | 57.9 ± 37.4 | 49.5 ± 31.2 * | 0.010 |
| Age > 70 years | 65.9 ± 50.4 | 62.6 ± 36.6 | 53.4 ± 34.9 * | 0.018 |
| Men | 64.5 ± 43.9 | 58.8 ± 36.7 | 51.7 ± 31.7 * | 0.002 |
| Women | 63.8 ± 50.3 | 64.8 ± 38.3 | 51.3 ± 37.8 | 0.080 |
| DHA, μg/mL | ||||
| All patients | 138.1 ± 51.7 | 130.2 ± 51.0 | 116.0 ± 43.8 *# | <0.001 |
| Age ≤ 70 years | 142.9 ± 62.5 | 128.6 ± 49.0 | 110.9 ± 41.9 * | <0.001 |
| Age > 70 years | 139.0 ± 48.1 | 131.6 ± 48.4 | 120.2 ± 45.1 * | 0.004 |
| Men | 140.5 ± 59.1 | 126.3 ± 46.0 * | 111.7 ± 38.9 *,# | <0.001 |
| Women | 142.2 ± 44.4 | 143.9 ± 56.0 | 129.4 ± 54.7 | 0.183 |
| AA, μg/mL | ||||
| All patients | 169.6 ± 45.6 | 178.3 ± 53.2 | 180.8 ± 55.7 * | 0.032 |
| Age ≤ 70 years | 179.4 ± 53.1 | 185.7 ± 53.2 | 192.0 ± 61.7 | 0.225 |
| Age > 70 years | 161.9 ± 39.4 | 164.7 ± 46.4 | 171.5 ± 48.4 | 0.186 |
| Men | 169.7 ± 48.1 | 171.3 ± 50.5 | 179.4 ± 53.3 | 0.093 |
| Women | 174.1 ± 45.8 | 194.8 ± 50.3 | 185.5 ± 63.1 | 0.150 |
| DGLA, μg/mL | ||||
| All patients | 36.0 ± 14.7 | 39.3 ± 15.2 * | 36.0 ± 14.8 # | 0.010 |
| Age ≤ 70 years | 40.1 ± 17.2 | 42.8 ± 16.0 | 39.6 ± 14.3 | 0.124 |
| Age > 70 years | 32.4 ±12.7 | 33.5 ± 11.1 | 33.1 ± 14.6 | 0.813 |
| Men | 36.6 ± 15.6 | 38.2 ± 15.0 | 36.2 ± 15.6 | 0.298 |
| Women | 35.2 ± 15.5 | 40.1 ± 13.4 | 35.6 ± 12.2 | 0.066 |
| EPA/AA | ||||
| All patients | 0.37 ± 0.22 | 0.35 ± 0.22 | 0.29 ± 0.18 *,# | <0.001 |
| Age ≤ 70 years | 0.35 ± 0.19 | 0.32 ± 0.20 | 0.27 ± 0.17 * | 0.002 |
| Age > 70 years | 0.40 ± 0.28 | 0.439 ± 0.23 | 0.31 ± 0.19 * | 0.001 |
| Men | 0.38 ± 0.24 | 0.36 ± 0.21 | 0.30 ± 0.21 * | <0.001 |
| Women | 0.35 ± 0.22 | 0.35 ± 0.23 | 0.27 ± 0.17 | 0.035 |
| First Term (2011–2013), n = 92 | Second Term (2014–2016), n = 95 | Third Term (2017–2019), n = 139 | p Value | |
|---|---|---|---|---|
| EPA, μg/mL | ||||
| Age ≤ 70 years | 71.2 ± 44.3 | 58.1 ± 32.2 | 46.3 ± 28.2 *,# | 0.001 |
| Age > 70 years | 71.4 ± 50.5 | 62.5 ± 40.8 | 54.3 ± 41.4 * | 0.125 |
| Men | 71.6 ± 49.3 | 59.9 ± 37.8 | 48.2 ± 28.5 *,# | <0.001 |
| Women | 70.2 ± 37.1 | 61.4 ± 31.8 | 60.0 ± 56.1 | 0.732 |
| DHA, μg/mL | ||||
| Age ≤ 70 years | 145.4 ± 67.4 | 127.7 ± 46.8 | 106.2 ± 43.7 *,# | 0.001 |
| Age > 70 years | 146.3 ± 51.1 | 131.4 ± 58.3 | 120.6 ± 54.7 * | 0.055 |
| Men | 144.6 ± 65.0 | 125.9 ± 47.8 * | 106.6 ± 37.1 *,# | <0.001 |
| Women | 150.4 ± 38.8 | 142.9 ± 66.4 | 142.1 ± 77.6 | 0.903 |
| AA, μg/mL | ||||
| Age ≤ 70 years | 183.0 ± 58.8 | 239.4 ± 331.6 | 194.8 ± 70.9 | 0.297 |
| Age > 70 years | 162.6 ± 36.6 | 173.0 ± 38.6 | 170.4 ± 42.5 | 0.455 |
| Men | 173.0 ± 52.6 | 210.2 ± 272.1 | 178.3 ± 50.9 | 0.266 |
| Women | 177.1 ± 45.1 | 199.6 ± 64.4 | 191.2 ± 78.1 | 0.569 |
| DGLA, μg/mL | ||||
| Age ≤ 70 years | 42.6 ± 19.2 | 44.5 ± 16.4 | 39.9 ± 14.4 | 0.348 |
| Age > 70 years | 32.5 ± 12.2 | 34.7 ± 12.8 | 31.2 ± 11.0 | 0.280 |
| Men | 38.2 ± 17.7 | 39.8 ± 15.1 | 34.7 ± 13.1 # | 0.063 |
| Women | 37.8 ± 15.3 | 40.1 ± 17.5 | 36.2 ± 13.9 | 0.694 |
| EPA/AA | ||||
| Age ≤ 70 years | 0.38 ± 0.20 | 0.31 ± 0.19 | 0.25 ± 0.14 *,# | <0.001 |
| Age > 70 years | 0.45 ± 0.33 | 0.36 ± 0.24 | 0.31 ± 0.19 * | 0.016 |
| Men | 0.42 ± 0.27 | 0.34 ± 0.23 | 0.28 ± 0.16 *,# | <0.001 |
| Women | 0.40 ± 0.23 | 0.31 ± 0.14 | 0.30 ± 0.23 | 0.220 |
| First Term (2011–2013), n = 146 | Second Term (2014–2016), n = 190 | Third Term (2017–2019), n = 227 | p Value | |
|---|---|---|---|---|
| EPA, μg/mL | ||||
| Age ≤ 70 years | 54.9 ± 29.5 | 57.7 ± 42.6 | 51.3 ± 32.8 | 0.434 |
| Age > 70 years | 60.9 ± 45.4 | 63.2 ± 35.2 | 52.8 ± 30.0 # | 0.096 |
| Men | 56.8 ± 32.1 | 58.6 ± 38.6 | 53.9 ± 33.6 | 0.491 |
| Women | 60.7 ± 52.0 | 66.7 ± 42.2 | 46.8 ± 22.7 # | 0.036 |
| DHA, μg/mL | ||||
| Age ≤ 70 years | 134.7 ± 47.5 | 129.0 ± 54.2 | 113.7 ± 40.8 *,# | 0.009 |
| Age > 70 years | 131.7 ± 42.3 | 132.3 ± 46.0 | 119.9 ± 37.8 *,# | 0.057 |
| Men | 131.1 ± 45.1 | 127.1 ± 48.4 | 115.0 ± 39.9 *,# | 0.006 |
| Women | 139.1 ± 44.3 | 144.3 ± 56.8 | 122.9 ± 37.1 # | 0.057 |
| AA, μg/mL | ||||
| Age ≤ 70 years | 175.0 ± 41.2 | 185.0 ± 53.1 | 190.3 ± 56.1 * | 0.146 |
| Age > 70 years | 158.5 ± 41.0 | 163.7 ± 51.3 | 172.2 ± 52.0 | 0.151 |
| Men | 164.0 ± 40.1 | 169.8 ± 54.1 | 180.1 ± 54.8 * | 0.031 |
| Women | 174.9 ± 45.9 | 197.1 ± 43.8 * | 182.5 ± 54.3 | 0.137 |
| DGLA, μg/mL | ||||
| Age ≤ 70 years | 37.6 ± 13.1 | 43.4 ± 16.7 * | 39.4 ± 14.3 | 0.027 |
| Age > 70 years | 31.6 ± 11.9 | 33.7 ± 10.7 | 34.3 ± 16.5 | 0.420 |
| Men | 34.7 ± 12.4 | 38.4 ± 15.7 * | 37.2 ± 16.9 | 0.177 |
| Women | 34.4 ± 14.1 | 41.4 ± 11.8 * | 35.3 ± 11.4 # | 0.024 |
| EPA/AA | ||||
| Age ≤ 70 years | 0.31 ±0.16 | 0.32 ± 0.22 | 0.28 ± 0.18 | 0.312 |
| Age > 70 years | 0.37 ± 0.22 | 0.40 ± 0.22 | 0.31± 0.18 *,# | 0.006 |
| Men | 0.35 ± 0.18 | 0.35 ± 0.22 | 0.31 ± 0.20 | 0.101 |
| Women | 0.33 ± 0.22 | 0.36 ± 0.26 | 0.26 ± 0.12 # | 0.038 |
Publisher’s Note: MDPI stays neutral with regard to jurisdictional claims in published maps and institutional affiliations. |
© 2021 by the authors. Licensee MDPI, Basel, Switzerland. This article is an open access article distributed under the terms and conditions of the Creative Commons Attribution (CC BY) license (http://creativecommons.org/licenses/by/4.0/).
Share and Cite
Okada, T.; Miyoshi, T.; Doi, M.; Seiyama, K.; Takagi, W.; Sogo, M.; Nosaka, K.; Takahashi, M.; Okawa, K.; Ito, H. Secular Decreasing Trend in Plasma Eicosapentaenoic and Docosahexaenoic Acids among Patients with Acute Coronary Syndrome from 2011 to 2019: A Single Center Descriptive Study. Nutrients 2021, 13, 253. https://doi.org/10.3390/nu13010253
Okada T, Miyoshi T, Doi M, Seiyama K, Takagi W, Sogo M, Nosaka K, Takahashi M, Okawa K, Ito H. Secular Decreasing Trend in Plasma Eicosapentaenoic and Docosahexaenoic Acids among Patients with Acute Coronary Syndrome from 2011 to 2019: A Single Center Descriptive Study. Nutrients. 2021; 13(1):253. https://doi.org/10.3390/nu13010253
Chicago/Turabian StyleOkada, Tomoaki, Toru Miyoshi, Masayuki Doi, Kosuke Seiyama, Wataru Takagi, Masahiro Sogo, Kazumasa Nosaka, Masahiko Takahashi, Keisuke Okawa, and Hiroshi Ito. 2021. "Secular Decreasing Trend in Plasma Eicosapentaenoic and Docosahexaenoic Acids among Patients with Acute Coronary Syndrome from 2011 to 2019: A Single Center Descriptive Study" Nutrients 13, no. 1: 253. https://doi.org/10.3390/nu13010253
APA StyleOkada, T., Miyoshi, T., Doi, M., Seiyama, K., Takagi, W., Sogo, M., Nosaka, K., Takahashi, M., Okawa, K., & Ito, H. (2021). Secular Decreasing Trend in Plasma Eicosapentaenoic and Docosahexaenoic Acids among Patients with Acute Coronary Syndrome from 2011 to 2019: A Single Center Descriptive Study. Nutrients, 13(1), 253. https://doi.org/10.3390/nu13010253

