The Effects of Trifolium pratense L. Sprouts’ Phenolic Compounds on Cell Growth and Migration of MDA-MB-231, MCF-7 and HUVEC Cells
Abstract
1. Introduction
2. Materials and Methods
2.1. Chemicals and Reagents
2.2. Preparation of Red Clover Extracts and Phenolic Compounds Determination
2.3. Cell Culture and Exposure Conditions
2.4. Cell Viability
2.5. Detection of Intracellular Reactive Oxygen Species (ROS) Generation
2.6. Measurement of Mitochondrial Membrane Potential (MMP)
2.7. Phosphatidylserine Externalization and Membrane Permeabilization
2.8. Cell Migration Assay
2.9. Adhesion Assay
2.10. Membrane Fluidity
2.11. Quantitative VEGF Immunoassay
2.12. Gene Expression Analysis
2.13. Western Blot Analysis
2.14. Estrogenic Activity by E-Screen Assay
2.15. Statistical Analysis
3. Results and Discussion
3.1. Isoflavone Compounds Profile and Content
3.2. Assessment of Trifolium pratense L. Extracts on Cellular Viability
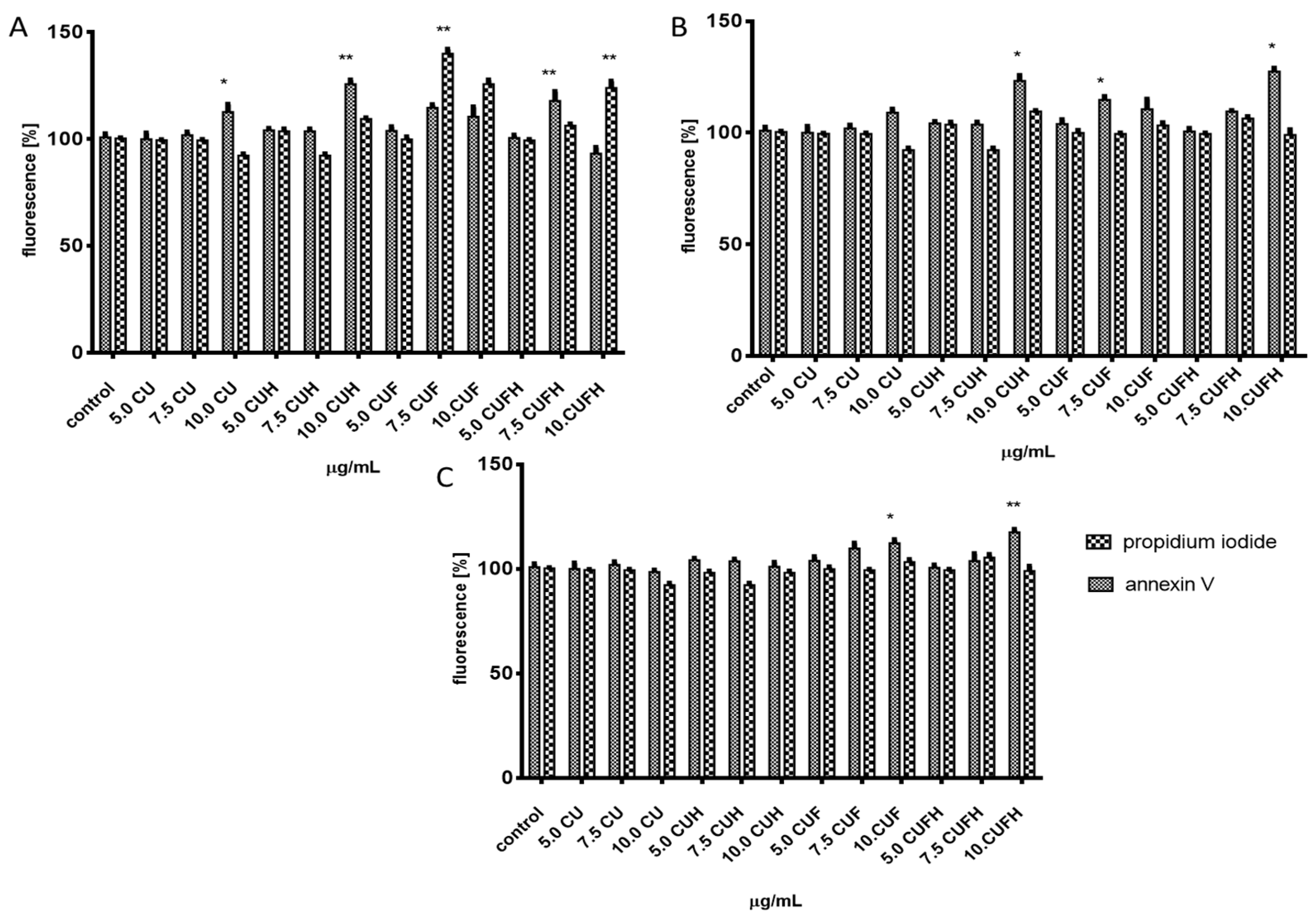
3.3. Trifolium pratense L. as a Chemopreventive Agent
3.4. The Effect of Trifolium pratense L. on Migration and Attachment of Cells
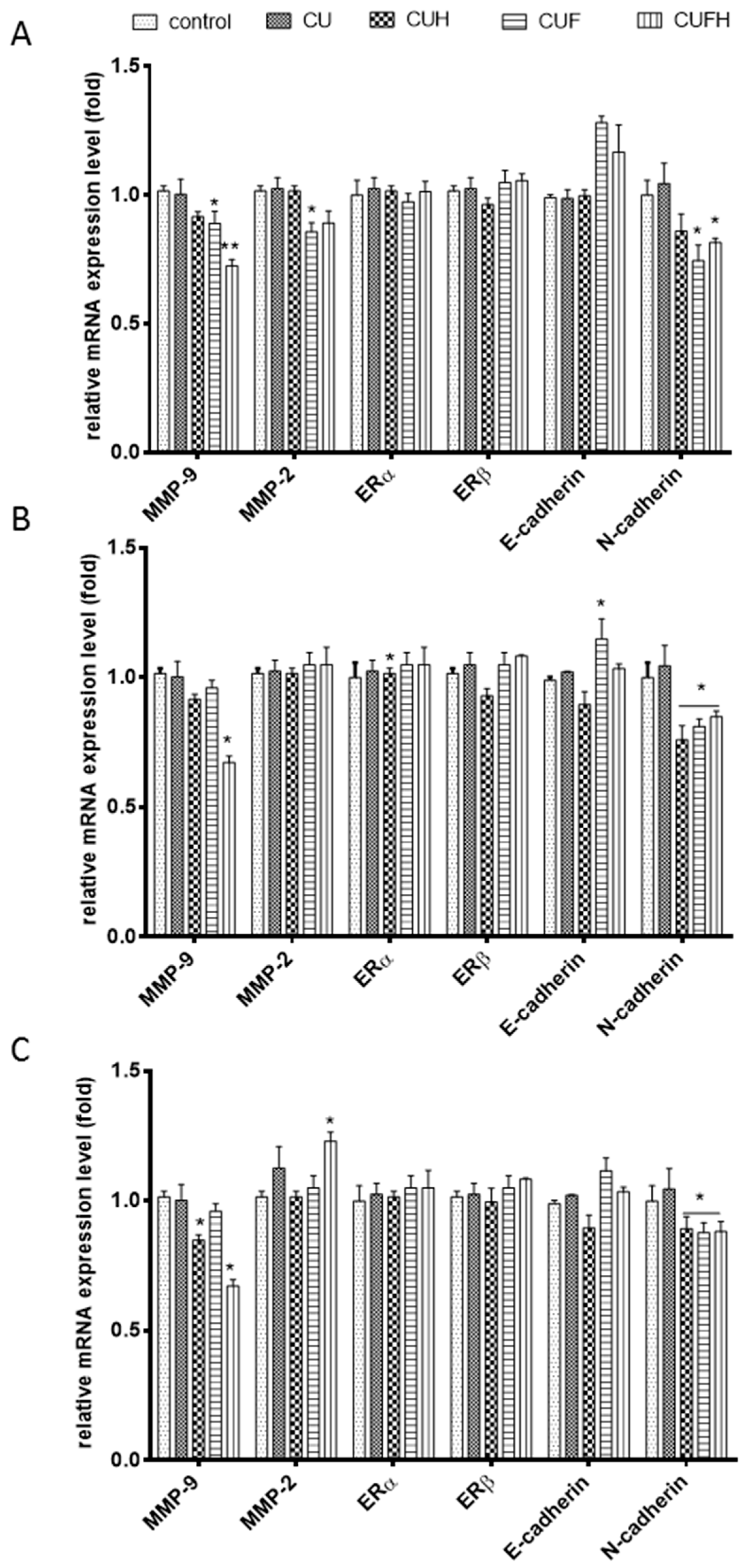
3.5. The Influene of Trifolium pratense L. on Gene Expression
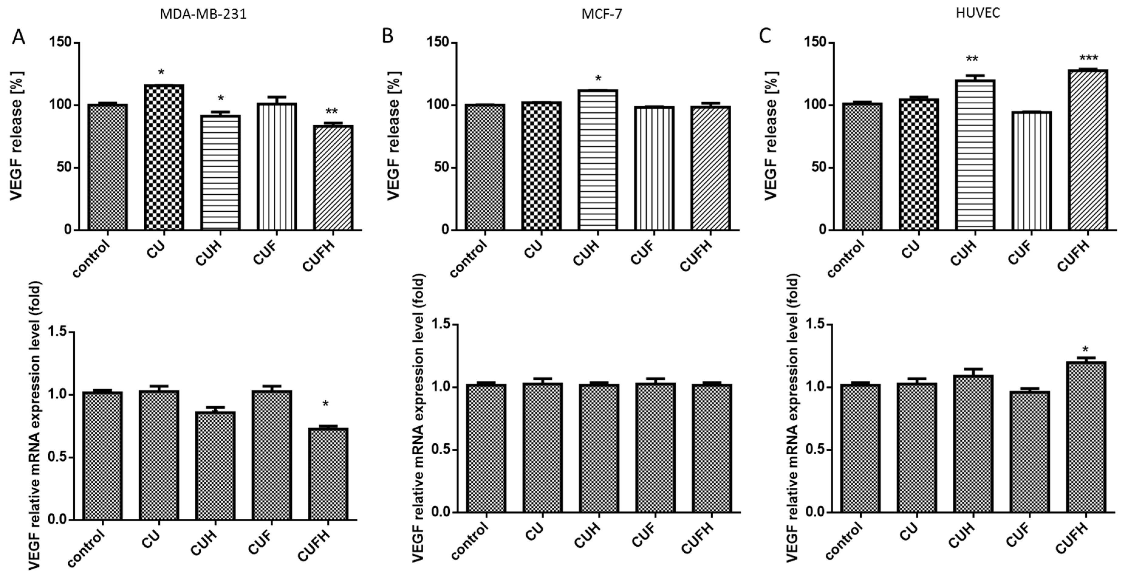
3.6. The Effect of Trifolium pratense L. on VEGF
4. Conclusions
Author Contributions
Funding
Conflicts of Interest
References
- Zhao, L.; Huanga, S.; Meib, S.; Yanga, Z.; Xu, L.; Zhou, N.; Yang, Q.; Shena, Q.; Wang, W.; Lea, X. Pharmacological activation of estrogen receptor beta augments innate immunity to suppress cancer metastasis. Proc. Natl. Acad. Sci. USA 2018, 115, 3673–3681. [Google Scholar] [CrossRef] [PubMed]
- Okazaki, H.; Takeda, S.; Matsuo, S.; Matsumoto, M.; Furuta, M. Inhibitory modulation of human estrogen receptor α and β activities by dicyclohexyl phthalate in human breast cancer cell lines. J. Toxicol. Sci. 2017, 42, 417–425. [Google Scholar] [CrossRef] [PubMed]
- Girgert, R.; Emons, G.; Gründker, C. Estrogen Signaling in ERα -Negative Breast Cancer: ERβ and GPER. Front. Endocrinol. 2019, 9, 781. [Google Scholar] [CrossRef] [PubMed]
- Giovannelli, P.; Di Donato, M.; Migliaccio, A.; Castoria, G. Targeting rapid action of sex-steroid receptors in breast and prostate cancers. Front. Biosci. 2012, 4, 453–461. [Google Scholar] [CrossRef]
- Zhou, M.; Sareddy, G.R.; Li, M.; Liu, J.; Luo, Y.; Venkata, P.P.; Viswanadhapalli, S.; Tekmal, R.R.; Brenner, A.; Vadlamudi, R.K. Estrogen receptor beta enhances chemotherapy response of GBM cells by down regulating DNA damage response pathways. Sci. Rep. 2019, 9, 6124. [Google Scholar] [CrossRef]
- Solakidi, S.; Psarra, A.G.; Sekeris, C.E. Differential subcellular distribution of estrogen receptor isoforms: Localization of ER a in the nucleoli and ER h in the mitochondria of human osteosarcoma SaOS-2 and hepatocarcinoma HepG2 cell lines. Biochim. Biophys. Acta 2005, 1745, 382–392. [Google Scholar] [CrossRef]
- Basu, P.; Maier, C. Phytoestrogens and breast cancer: In vitro anticancer activities of isoflavones, lignans, coumestans, stilbenes and their analogs and derivatives. Biomed. Pharmacother. 2018, 107, 1648–1666. [Google Scholar] [CrossRef]
- Kanno, S.; Hirano, S.; Kayama, F. Effects of phytoestrogens and environmental estrogens on osteoblastic differentiation in MC3T3-E1 cells. Toxicology 2004, 196, 137–145. [Google Scholar] [CrossRef]
- Engelmann, N.; Reppert, A.; Yousef, G.; Rogers, R.; Lila, M.A. In vitro production of radiolabeled red clover (Trifolium pratense) isoflavones. Plant Cell Tissue Organ Cult. 2009, 98, 147–156. [Google Scholar] [CrossRef]
- Budryn, G.; Klewicka, E.; Grzelczyk, J.; Gałązka-Czarnecka, I. Lactic acid fermentation of legume seed sprouts as a method of increasing the content of isoflavones and reducing microbial contamination. Food Chem. 2019, 285, 478–484. [Google Scholar] [CrossRef]
- Lipovac, M.; Chedraui, P.; Gruenhut, C.; Gocan, A.; Kurz, C.; Neuber, B.; Imhof, M. Effect of red clover isoflavones over skin, appendages, and mucosal status in postmenopausal women. Obstet. Gynecol. Int. 2011, 2011, 6. [Google Scholar] [CrossRef] [PubMed]
- Budryn, G.; Gałązka-Czarnecka, I.; Brzozowska, E.; Grzelczyk, J.; Mostowski, R.; Żyżelewicz, D.; Cerón-Carrascob, J.P.; Pérez-Sánchez, H. Evaluation of estrogenic activity of red clover (Trifolium pratense L.) sprouts cultivated under different conditions by content of isoflavones, calorimetric study and molecular modelling. Food Chem. 2018, 245, 324–336. [Google Scholar] [CrossRef] [PubMed]
- Budryn, G.; Grzelczyk, J.; Perez-Sanchez, H. Binding of red clover isoflavones to actin as a potential mechanism of anti-metastatic activity restricting the migration of cancer cells. Molecules 2018, 23, 2471. [Google Scholar] [CrossRef] [PubMed]
- Zakłos-Szyda, M.; Pawlik, N.; Polka, D.; Nowak, A.; Koziołkiewicz, M.; Podsędek, A. Viburnum opulus fruit phenolic compounds as cytoprotective agents able to decrease free fatty acids and glucose uptake by Caco-2 cells. Antioxidants 2019, 8, 262. [Google Scholar] [CrossRef] [PubMed]
- Zakłos-Szyda, M.; Pawlik, N. Japanese quince (Chaenomeles japonica L.) fruit polyphenolic extract modulates carbohydrate metabolism in HepG2 cells via AMP-activated protein kinase. Acta Biochim. Pol. 2018, 65, 67–78. [Google Scholar] [CrossRef]
- Zakłos-Szyda, M.; Pawlik, N. The influence of Viburnum opulus polyphenolic compounds on metabolic activity and migration of HeLa and MCF cells. Acta Innov. 2019, 33, 33–42. [Google Scholar] [CrossRef]
- Liu, Y.; Cao, W.; Zhang, B.; Liu, Y.; Wang, Z.; Wu, Y.; Yu, X.; Zhang, X.; Ming, P.; Zhou, G.; et al. The natural compound magnolol inhibits invasion and exhibits potential in human breast cancer therapy. Sci. Rep. 2013, 3, 3098. [Google Scholar] [CrossRef]
- De, C.; Palacio, J.R.; Martínez, P.; Morros, A. Effect of oxidative stress on plasma membrane fluidity of THP-1 induced macrophages. Biochim. Biophys. Acta Biomembr. 2013, 1828, 357–364. [Google Scholar]
- Ajdzanovic, V.; Mojic, M.; Maksimovic-Ivanic, D.; Bulatovic, M.; Mijatovic, S.; Milosevic, V.; Spasojevic, I. Membrane fluidity, invasiveness and dynamic phenotype of metastatic prostate cancer cells after treatment with soy isoflavones. J. Membr. Biol. 2013, 246, 307–314. [Google Scholar] [CrossRef]
- Uif, A.; Schneider, S.; Gierok, P.; Ionescu, C.; Iuga, C.A.; Lalk, M. The impact of soy isoflavones on MCF-7 and MDA-MB-231 breast cancer cells using a global metabolomic approach. Int. J. Mol. Sci. 2016, 17, 1443. [Google Scholar]
- Ahn, K.S.; Sethi, G.; Bishayee, A. Focus on formononetin: Anticancer potential and molecular targets. Cancers 2019, 11, 611. [Google Scholar]
- Zhou, R.; Xu, L.; Ye, M.; Liao, M.; Du, H.; Chen, H. Formononetin inhibits migration and invasion of MDA-MB-231 and 4T1 breast cancer cells by suppressing MMP-2 and MMP-9 through PI3K/AKT signaling pathways. Horm. Metab. Res. 2014, 46, 753–760. [Google Scholar] [CrossRef] [PubMed]
- Chen, J.; Zhang, X.; Wang, Y.; Ye, Y.; Huang, Z. Differential ability of formononetin to stimulate proliferation of endothelial cells and breast cancer cells via a feedback loop involving MicroRNA-375, RASD1, and ERα. Mol. Carcinog. 2018, 57, 817–830. [Google Scholar] [CrossRef] [PubMed]
- Pandey, M.K.; Gupta, S.C.; Nabavizadeh, A.; Aggarwal, B.B. Regulation of cell signaling pathways by dietary agents for cancer prevention and treatment. In Seminars in Cancer Biology; Academic Press: Cambridge, MA, USA, 2017; Volume 46, pp. 158–181. [Google Scholar]
- Chen, H.; Ma, H.-R.; Gao, Y.-H.; Zhang, X.; Habasi, M.; Hu, R.; Aisa, H.A.A. Isoflavones extracted from chickpea Cicer arietinum L. sprouts induce mitochondria-dependent apoptosis in human breast cancer cells. Phyther. Res. 2015, 29, 210–219. [Google Scholar] [CrossRef]
- Choi, E.U.N.J.; Jung, J.A.E.; Kim, G. Genistein inhibits the proliferation and differentiation of MCF-7 and 3T3-L1 cells via the regulation of ER α expression and induction of apoptosis. Exp. Ther. Med. 2014, 8, 454–458. [Google Scholar] [CrossRef]
- Zakłos-Szyda, M.; Majewska, I.; Redzynia, M.; Koziołkiewicz, M. Antidiabetic effect of polyphenolic extracts from selected edible plants as α-amylase, α-glucosidase and PTP1B inhibitors, and β pancreatic cells cytoprotective agents—A comparative study. Curr. Top. Med. Chem. 2015, 15, 2431–2444. [Google Scholar] [CrossRef]
- Rudzka, D.A.; Cameron, J.M.; Olson, M.F. Reactive oxygen species and hydrogen peroxide generation in cell migration. Commun. Integr. Biol. 2015, 8, e1074360. [Google Scholar] [CrossRef]
- Rudzka, D.A.; Spennati, G.; McGarry, D.J.; Chim, Y.-H.; Neilson, M.; Ptak, A.; Munro, J.; Kalna, G.; Hedley, A.; Moralli, D.; et al. Migration through physical constraints is enabled by MAPK- induced cell softening via actin cytoskeleton re-organization. J. Cell Sci. 2019, 132, jcs224071. [Google Scholar] [CrossRef]
- Owczarek, K.; Hrabec, E.; Fichna, J.; Sosnowska, D.; Koziołkiewicz, M.; Szymański, J.; Lewandowska, U. Flavanols from Japanese quince (Chaenomeles japonica) fruit suppress expression of cyclooxygenase-2,, metalloproteinase-9, and nuclear factor-kappaB in human colon cancer cells. Acta Biochim. Pol. 2017, 64, 567–576. [Google Scholar] [CrossRef]
- Yu, C.; Zhang, P.; Lou, L.; Wang, Y. Perspectives regarding the role of Biochanin A in humans. Front. Pharmacol. 2019, 10, 793. [Google Scholar] [CrossRef]
- Dutta, S.; Khanna, A. Aglycone rich extracts of phytoestrogens cause ROS-mediated DNA damage in breast carcinoma cells. Biomed. Pharmacother. 2016, 84, 1513–1523. [Google Scholar] [CrossRef]
- Phan, H.T.T.; Yoda, T.; Chahal, B.; Morita, M.; Takagi, M.; Vestergaard, C. Structure-dependent interactions of polyphenols with a biomimetic membrane system. Biochim. Biophys. Acta Biomembr. 2014, 1838, 2670–2677. [Google Scholar] [CrossRef]
- Tsuchiya, H. Membrane interactions of phytochemicals as their molecular mechanism applicable to the discovery of drug deads from plants. Molecules 2015, 20, 18923–18966. [Google Scholar] [CrossRef] [PubMed]
- Zhao, W.; Prijic, S.; Urban, B.C.; Tisza, M.J.; Zuo, Y.; Li, L.; Tan, Z.; Chen, X.; Mani, S.A.; Chang, J.T. Candidate antimetastasis drugs suppress the metastatic capacity of breast cancer cells by reducing membrane fluidity. Cancer Res. 2016, 76, 2037–2050. [Google Scholar] [CrossRef] [PubMed]
- Margina, D.; Gradinaru, D.; Manda, G.; Neagoe, I.; Ilie, M. Membranar effects exerted in vitro by polyphenols–quercetin, epigallocatechin gallate and curcumin–on HUVEC and Jurkat cells, relevant for diabetes mellitus. Food Chem. Toxicol. 2013, 61, 86–93. [Google Scholar] [CrossRef] [PubMed]
- Hendrich, A.B.; Ugaj, J.; Michalak, K. Biochanin A similiary influences the fluidity of liposomes formed from charged and zwitterionic lipids. Cell Moll. Biol. Lett. 2002, 7, 284. [Google Scholar]
- Li, S.; Dang, Y.; Zhou, X.; Huang, B.; Huang, X.; Zhang, Z.; Kwan, Y.W.; Chan, S.W.; Leung, G.P.H.; Lee, S.M.; et al. Formononetin promotes angiogenesis through the estrogen receptor alpha-enhanced ROCK pathway. Sci. Rep. 2015, 5, 16815. [Google Scholar] [CrossRef]
- Zhai, K.F.; Duan, H.; Cui, C.Y.; Cao, Y.Y.; Si, J.L.; Yang, H.J.; Wang, Y.C.; Cao, W.G.; Gao, G.Z.; Wei, Z.J. Liquiritin from Glycyrrhiza uralensis attenuating rheumatoid arthritis via reducing inflammation, suppressing angiogenesis, and inhibiting MAPK signaling pathway. J. Agric. Food Chem. 2019, 67, 2856–2864. [Google Scholar] [CrossRef]
- Florian, C.P.; Mansfield, S.R.; Schroeder, J.R. Differences in GPR30 regulation by chlorotriazine herbicides in human breast cells. Biochem. Res. Int. 2016, 2016, 2984081. [Google Scholar] [CrossRef]
- Maxwell, T.; Chun, S.; Lee, K.; Kim, S.; Nam, K. The anti-metastatic effects of the phytoestrogen arctigenin on human breast cancer cell lines regardless of the status of ER expression. Int. J. Oncol. 2017, 50, 727–735. [Google Scholar] [CrossRef]
- Li, L.; Wang, Y.; Wang, X.; Tao, Y.; Bao, K.; Hua, Y.; Jiang, G.; Hong, M. Formononetin attenuated allergic diseases through inhibition of epithelial- derived cytokines by regulating E-cadherin. Clin. Immunol. 2018, 195, 67–76. [Google Scholar] [CrossRef] [PubMed]
- Liu, Q.; Sun, Y.; Zheng, J.M.; Yan, X.L.; Chen, H.M.; Chen, J.K.; Huang, H.Q. Formononetin sensitizes glioma cells to doxorubicin through preventing EMT via inhibition of histone. Int. J. Clin. Exp. Pathol. 2015, 8, 6. [Google Scholar]
- Shih, W.; Yamada, S. N-cadherin as a key regulator of collective cell migration in a 3D environment. Cell Adhes. Migr. 2012, 6, 513–517. [Google Scholar] [CrossRef]
- Wen, M.; Wang, J.; Chiu, T.; Wang, M.; Lee, S.P.; Tai, C. N-Cadherin regulates cell migration through a Rab5-dependent temporal control of macropinocytosis. Traffic 2016, 17, 769–785. [Google Scholar] [CrossRef] [PubMed]
- Scoditti, E.; Calabriso, N.; Massaro, M.; Pellegrino, M.; Storelli, C.; Martines, G.; De Caterina, R.; Carluccio, M.A. Mediterranean diet polyphenols reduce inflammatory angiogenesis through MMP-9 and COX-2 inhibition in human vascular endothelial cells: A potentially protective mechanism in atherosclerotic vascular disease and cancer. Arch. Biochem. Biophys. 2012, 15, 81–89. [Google Scholar] [CrossRef] [PubMed]
- Omoto, Y.; Iwase, H. Clinical significance of estrogen receptor b in breast and prostate cancer from biological aspects. Cancer Sci. 2015, 106, 337–343. [Google Scholar] [CrossRef] [PubMed]
- Wei, Z.; Shan, Z.; Shaikh, Z.A.; Island, R. Epithelial-mesenchymal transition in breast epithelial cells treated with cadmium and the role of Snailhengxi. Toxicol. Appl. Pharmacol. 2018, 344, 46–55. [Google Scholar] [CrossRef] [PubMed]
- Al-bader, M.; Ford, C.; Al-ayadhy, B.; Francis, I. Analysis of estrogen receptor isoforms and variants in breast cancer cell lines. Exp. Therap. Med. 2011, 2, 537–544. [Google Scholar] [CrossRef]
- Xiao, L.; Chang, A.K.; Zang, M.-X.; Bi, H.; Li, S.; Wang, M.; Xing, X.; Wu, H. Induction of the CLOCK gene by E2-ERa signaling promotes the proliferation of breast cancer cells. PLoS ONE. 2014, 9, e95878. [Google Scholar]
- Song, P.; Li, Y.; Dong, Y.; Liang, Y.; Qu, H.; Qi, D.; Lu, Y.; Jin, X.; Guo, Y.; Jia, Y.; et al. Estrogen receptor β inhibits breast cancer cells migration and invasion through CLDN6-mediated autophagy. J. Exp. Clin. Cancer Res. 2019, 38, 354. [Google Scholar] [CrossRef]
- Silva, R.D.S.; Lombardi, A.P.G.; De Souza, D.S.; Vicente, C.M.; Porto, C.S. Activation of estrogen receptor beta (ERβ) regulates the expression of N-cadherin, E-cadherin and β-catenin in androgen -independent prostate cancer cells. Int. J. Biochem. Cell Biol. 2018, 96, 40–50. [Google Scholar] [CrossRef] [PubMed]
- Tian, D.; Li, Y.; Li, X.; Tian, Z. Aloperine inhibits proliferation, migration and invasion and induces apoptosis by blocking the Ras signaling pathway in human breast cancer cells. Mol. Med. Rep. 2018, 18, 3699–3710. [Google Scholar] [CrossRef] [PubMed]
- Elsherbini, A.M.; Mohammed, M.A.R.; Ibrahim, F.M. Effect of Biochanin A versus 17β estradiol in rat submandibular salivary gland. J. Oral Sci. 2017, 59, 579–588. [Google Scholar] [CrossRef][Green Version]
- Zingue, S.; Tchoumtchoua, J.; Ntsa, D.M.; Sandjo, L.P.; Cisilotto, J.; Nde, C.B.M.; Winter, E.; Awounfack, C.F.; Ndinteh, D.T.; Clyne, C.; et al. Estrogenic and cytotoxic potentials of compounds isolated from Millettia macrophylla Benth (Fabaceae): Towards a better understanding of its underlying mechanisms. BMC Complement. Altern. Med. 2016, 16, 421. [Google Scholar] [CrossRef]
- Hsu, L.; Chu, N.; Lin, Y.G. Protein coupled estrogen receptor in breast cancer. Int. J. Mol. Sci. 2019, 20, 306. [Google Scholar] [CrossRef]
- Tian, J.; Wang, Y.; Zhang, X.; Ren, Q.; Li, R.; Huang, Y.; Lu, H.; Chen, J. Calycosin inhibits the in vitro and in vivo growth of breast cancer cells through WDR7-7-GPR30 Signaling. J. Exp. Clin. Cancer Res. 2017, 36, 153. [Google Scholar] [CrossRef]
- Feng, B. Differential expression of GPR30 in preeclampsia placenta tissue and normal placenta tissue and its clinical significance. J. Hainan Med. Univ. 2016, 22, 77–80. [Google Scholar]
- Zhou, K.; Sun, P.; Zhang, Y.; You, X.; Li, P.; Wang, T. Estrogen stimulated migration and invasion of estrogen receptor- negative breast cancer cells involves an ezrin-dependent crosstalk between G protein-coupled receptor 30 and estrogen receptor beta signaling. Steroids 2016, 111, 113–120. [Google Scholar] [CrossRef]
- Molina, L.; Bustamante, F.A.; Bhoola, K.D. Possible role of phytoestrogens in breast cancer via GPER-1/GPR30 signaling. Clin. Sci. 2018, 13, 2583–2598. [Google Scholar] [CrossRef]
- Ray, A.; Dhar, S.; Ray, B.K. Control of VEGF expression in triple-negative breast carcinoma cells by suppression of SAF-1 transcription factor activity. Mol. Cancer Res. 2011, 9, 1030–1042. [Google Scholar] [CrossRef]
- Mirossay, L.; Varinsk, L.; Mojžiš, J. Antiangiogenic effect of flavonoids and chalcones: An update. Int. J. Mol. Sci. 2018, 19, 27. [Google Scholar] [CrossRef] [PubMed]
- Wu, X.Y.; Xu, H.; Wu, Z.F.; Chen, C.; Liu, J.Y.; Wu, G.N. Formononetin, a novel FGFR2 inhibitor, potently inhibits angiogenesis and tumor growth in preclinical models. Oncotarget 2015, 6, 44536–44578. [Google Scholar] [CrossRef] [PubMed]
- Zou, T.; Feng, D.; Song, G.; Li, H.; Tang, H.; Ling, W. The role of Sodium-Dependent Glucose Transporter 1 and Glucose Transporter 2 in the absorption of cyanidin-3-O-β-glucoside in Caco-2 cells. Nutrients 2014, 6, 4165–4177. [Google Scholar] [CrossRef] [PubMed]
- Okabe, Y.; Shimazu, T.; Tanimoto, H. Higher bioavailability of isoflavones after a single ingestion of aglycone-rich fermented soybeans compared with glucoside-rich non-fermented soybeans in Japanese postmenopausal women. J. Sci. Food Agric. 2011, 91, 658–663. [Google Scholar] [CrossRef] [PubMed]
- Uehara, M. Isoflavone metabolism and bone sparing effects of daidzein metabolites. J. Clin. Biochem. Nutr. 2013, 52, 193–201. [Google Scholar] [CrossRef] [PubMed]
- Moon, Y.J.; Sagawa, K.; Frederick, K.; Zhang, S.; Morris, M.E. Pharmacokinetics and bioavailability of the isoflavone biochanin A in rats. AAPS J. 2006, 8, E433–E442. [Google Scholar] [CrossRef]











| Type of Preparation (Name of Extract Studied) | Daidzin | Ononin | Genistin | Sissotrin | Daidzein | Biochanin A | Genistein | Formononetin | Coumestrol | Phenolics Total |
|---|---|---|---|---|---|---|---|---|---|---|
| Clover/UVB (CU) | 2.42 | 216.38 | 17.67 | 2.91 | 1.22 | 75.31 | 3.75 | 250.39 | 0.67 | 570.66 |
| Clover/UVB/H (CUH) | n.d. | n.d. | n.d. | n.d. | 2.70 | 77.16 | 14.75 | 385.25 | 0.67 | 480.52 |
| Clover/UVB/F (CUF) | n.d. | 21.08 | 0.20 | 0.45 | 3.06 | 265.01 | 83.77 | 2377.69 | 0.59 | 2751.84 |
| Clover/UVB/F/H (CUFH) | n.d. | n.d. | n.d. | n.d. | 3.06 | 265.29 | 83.89 | 2390.83 | 0.59 | 2743.67 |
| T. pratense Extracts | IC0 [µg/mL] | IC50 [µg/mL] | ||||
|---|---|---|---|---|---|---|
| MDA-MB-231 | MCF-7 | HUVEC | MDA-MB-231 | MCF-7 | HUVEC | |
| CU | 6.2 | 7.3 | 10.0 | ≥15.0 | >15.0 | >15.0 |
| CUH | 6.0 | 7.0 | 9.8 | 14.8 | >15.0 | >15.0 |
| CUF | 5.4 | 6.0 | 7.0 | 9.8 | 15.0 | 15.0 |
| CUFH | 5.0 | 5.9 | 7.1 | 10.0 | 15.0 | 14.8 |
| T. pratense Extracts | Cells Viability [%] | ||
|---|---|---|---|
| MDA-MB-231 | MCF-7 | HUVEC | |
| 79.50 ± 3.85 | 75.25 ± 3.02 | 71.49 ± 1.08 | |
| CU | 86.64 ± 2.21 | 82.48 ± 2.20 | 80.55 ± 4.32 |
| CUH | 88.45 ± 6.14 | 90.10 ± 3.95 | 82.14 ± 6.45 |
| CUF | 90.21 ± 6.12 | 89.14 ± 6.45 | 76.25 ± 6.45 |
| CUFH | 90.11 ± 9.42 | 91.70 ± 4.31 | 77.36 ± 3.14 |
© 2020 by the authors. Licensee MDPI, Basel, Switzerland. This article is an open access article distributed under the terms and conditions of the Creative Commons Attribution (CC BY) license (http://creativecommons.org/licenses/by/4.0/).
Share and Cite
Zakłos-Szyda, M.; Budryn, G. The Effects of Trifolium pratense L. Sprouts’ Phenolic Compounds on Cell Growth and Migration of MDA-MB-231, MCF-7 and HUVEC Cells. Nutrients 2020, 12, 257. https://doi.org/10.3390/nu12010257
Zakłos-Szyda M, Budryn G. The Effects of Trifolium pratense L. Sprouts’ Phenolic Compounds on Cell Growth and Migration of MDA-MB-231, MCF-7 and HUVEC Cells. Nutrients. 2020; 12(1):257. https://doi.org/10.3390/nu12010257
Chicago/Turabian StyleZakłos-Szyda, Małgorzata, and Grażyna Budryn. 2020. "The Effects of Trifolium pratense L. Sprouts’ Phenolic Compounds on Cell Growth and Migration of MDA-MB-231, MCF-7 and HUVEC Cells" Nutrients 12, no. 1: 257. https://doi.org/10.3390/nu12010257
APA StyleZakłos-Szyda, M., & Budryn, G. (2020). The Effects of Trifolium pratense L. Sprouts’ Phenolic Compounds on Cell Growth and Migration of MDA-MB-231, MCF-7 and HUVEC Cells. Nutrients, 12(1), 257. https://doi.org/10.3390/nu12010257

