- Article
Direction-of-Arrival Estimation Based on Variational Bayesian Inference Under Model Errors
- Can Wang,
- Kun Guo,
- Jiarong Zhang,
- Xiaoying Fu and
- Hai Liu
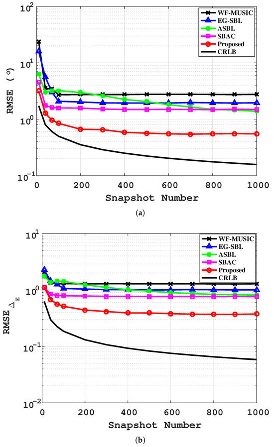
The current self-calibration approaches based on sparse Bayesian learning (SBL) demonstrate robust performance under uniform white noise conditions. However, their efficacy degrades significantly in non-uniform noise environments due to acute sensiti...

