Evaluation of the Accuracy and Trend Consistency of Hourly Surface Solar Radiation Datasets of ERA5, MERRA-2, SARAH-E, CERES, and Solcast over China
Abstract
1. Introduction
2. Data and Methods
2.1. Gridded Products
2.2. Surface Reference Observations
2.3. Evaluation Indices and Procedure
- Normalized Mean Bias Deviation, nMBD:
- Normalized Mean Absolute Bias Deviation, nMABD:
- Normalized Root Mean Square Deviation, nRMSD:where is the number of hourly samples, is the mean hourly SSR from the reference surface observations, is the hourly SSR estimated from the validated products, and is the reference hourly SSR observed at surface stations.
3. Results and Discussions
3.1. Accuracy Test
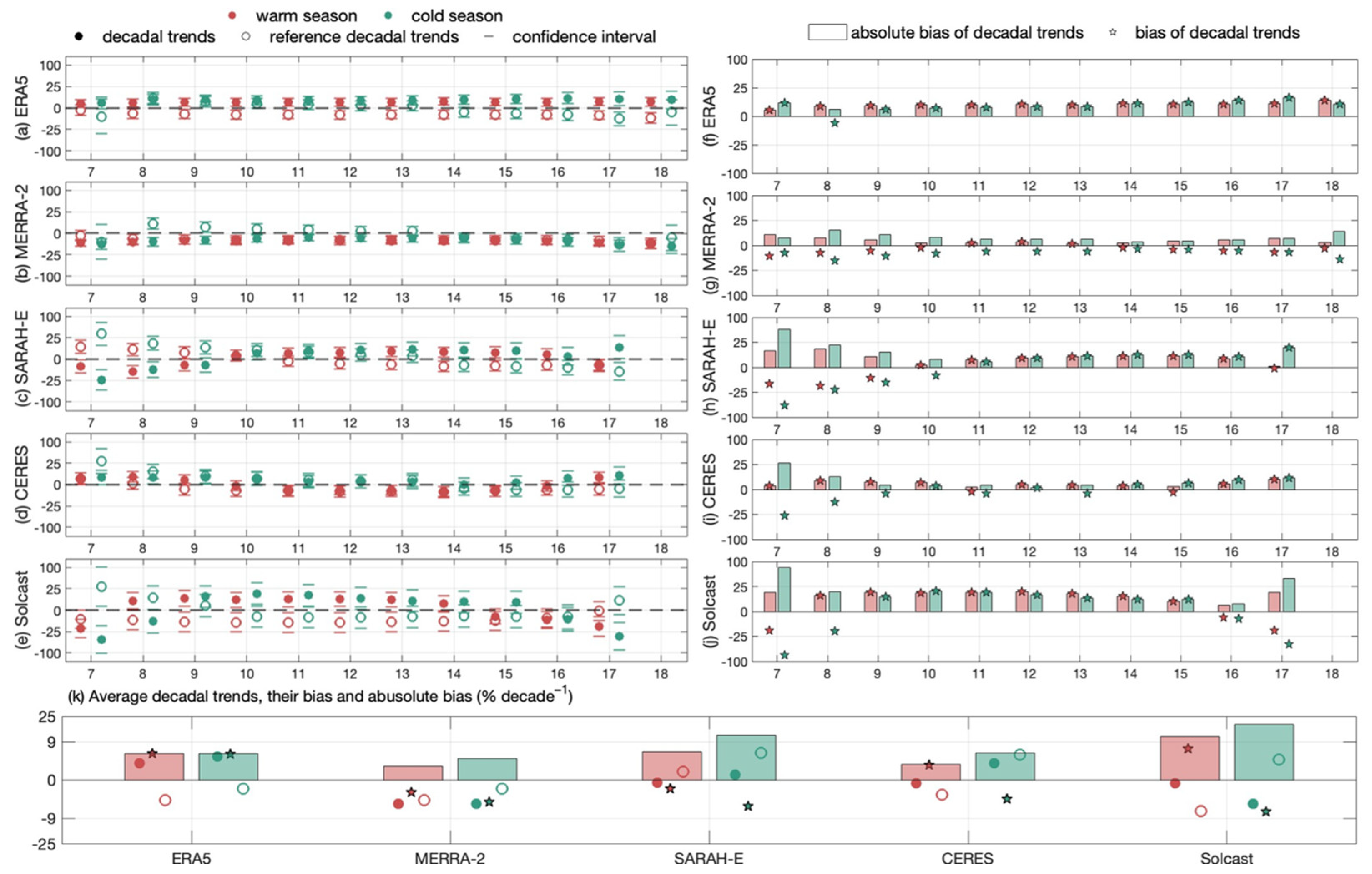
3.2. Trend Consistency Test
3.3. Comprehensive Evaluation
4. Conclusions
Author Contributions
Funding
Data Availability Statement
Conflicts of Interest
Appendix A
| Products | ERA5 | MERRA-2 | SARAH-E | CERES | Solcast | |
|---|---|---|---|---|---|---|
| nMABD (%) | National | 37.2 | 49.8 | 35.4 | 30.8 | 27.0 |
| Warm Season | 32.3 | 44.3 | 30.5 | 26.8 | 23.3 | |
| Cold Season | 53.8 | 64.7 | 55.2 | 45.2 | 40.5 | |
| SW Region | 26.8 | 32.5 | 19.2 | 21.4 | 20.1 | |
| NW Region | 23.2 | 25.5 | 23.3 | 20.7 | 18.0 | |
| NC Region | 17.1 | 22.8 | 16.3 | 11.9 | 13.1 | |
| SC Region | 20.6 | 41.8 | 20.3 | 14.8 | 15.5 | |
| ABSOLUTE TREND BIAS (% DECADE−1) | National | 2.1 | 0.9 | 4.3 | 1.2 | 7.1 |
| Warm Season | 4.2 | 1.1 | 4.9 | 1.4 | 11.5 | |
| Cold Season | 4.3 | 2.9 | 12.2 | 4.4 | 18.9 | |
| SW Region | 4.3 | 5.2 | 7.7 | 7.3 | 15.0 | |
| NW Region | 3.7 | 3.4 | 7.3 | 5.0 | 13.3 | |
| NC Region | 4.0 | 3.6 | 9.7 | 4.9 | 12.7 | |
| SC Region | 5.0 | 5.4 | 9.4 | 5.5 | 11.7 | |

References
- Nations. Carbon Neutrality by 2050: The World’s Most Urgent Mission. Available online: https://www.un.org/sg/en/content/sg/articles/2020-12-11/carbon-neutrality-2050-the-world%E2%80%99s-most-urgent-mission (accessed on 16 April 2024).
- Sweerts, B.; Pfenninger, S.; Yang, S.; Folini, D.; van der Zwaan, B.; Wild, M. Estimation of losses in solar energy production from air pollution in China since 1960 using surface radiation data. Nat. Energy 2019, 4, 657–663. [Google Scholar] [CrossRef]
- National Energy Administration. The Installed Capacity of Solar Power Generation Exceeds 700 Million Kilowatts. Available online: https://www.nea.gov.cn/2024-07/26/c_1310782813.htm (accessed on 29 July 2024).
- Cao, Q.; Liu, Y.; Sun, X.; Yang, L. Country-level evaluation of solar radiation data sets using ground measurements in China. Energy 2022, 241, 122938. [Google Scholar] [CrossRef]
- Yang, D.; Bright, J.M. Worldwide validation of 8 satellite-derived and reanalysis solar radiation products: A preliminary evaluation and overall metrics for hourly data over 27 years. Sol. Energy 2020, 210, 3–19. [Google Scholar] [CrossRef]
- Wild, M.; Folini, D.; Henschel, F.; Fischer, N.; Müller, B. Projections of long-term changes in solar radiation based on CMIP5 climate models and their influence on energy yields of photovoltaic systems. Sol. Energy 2015, 116, 12–24. [Google Scholar] [CrossRef]
- King, D.L.; Boyson, W.E.; Kratochvil, J.A. Photovoltaic Array Performance Model. 2004. Available online: https://www.osti.gov/servlets/purl/919131 (accessed on 3 January 2025).
- Huld, T.; Amillo, A.M.G. Estimating PV Module Performance over Large Geographical Regions: The Role of Irradiance, Air Temperature, Wind Speed and Solar Spectrum. Energies 2015, 8, 5159–5181. [Google Scholar] [CrossRef]
- Ishaque, K.; Salam, Z.; Taheri, H. Accurate MATLAB Simulink PV System Simulator Based on a Two-Diode Model. J. Power Electron. 2011, 11, 179–187. [Google Scholar] [CrossRef]
- Yang, Q.; Huang, T.; Wang, S.; Li, J.; Dai, S.; Wright, S.; Wang, Y.; Peng, H. A GIS-based high spatial resolution assessment of large-scale PV generation potential in China. Appl. Energy 2019, 247, 254–269. [Google Scholar] [CrossRef]
- Wang, Y.; Trentmann, J.; Yuan, W.; Wild, M. Validation of CM SAF CLARA-A2 and SARAH-E Surface Solar Radiation Datasets over China. Remote Sens. 2018, 10, 1977. [Google Scholar] [CrossRef]
- Wang, G.; Wang, T.; Xue, H. Validation and comparison of surface shortwave and longwave radiation products over the three poles. Int. J. Appl. Earth Obs. Geoinf. 2021, 104, 102538. [Google Scholar] [CrossRef]
- Wang, Y.W.; Zhang, J.H.; Sanchez-Lorenzo, A.; Tanaka, K.; Trentmann, J.; Yuan, W.P.; Wild, M. Hourly Surface Observations Suggest Stronger Solar Dimming and Brightening at Sunrise and Sunset Over China. Geophys. Res. Lett. 2021, 48, e2020GL091422. [Google Scholar] [CrossRef]
- Lu, L.; Ma, Q. Diurnal Cycle in Surface Incident Solar Radiation Characterized by CERES Satellite Retrieval. Remote Sens. 2023, 15, 3217. [Google Scholar] [CrossRef]
- Li, J.; Wang, D. A Comparative Study on Three Types of Remote Sensing Solar Radiation Products. Clim. Environ. Res. 2018, 23, 252–258. [Google Scholar] [CrossRef]
- Zhang, X.; Liang, S.; Wild, M.; Jiang, B. Analysis of surface incident shortwave radiation from four satellite products. Remote Sens. Environ. 2015, 165, 186–202. [Google Scholar] [CrossRef]
- Wang, D.; Sheng, L.; Shi, G.; Che, H. Comparison of Surface Solar Radiation Reanalysis Data and Observations over China. J. Appl. Meteorol. Sci. 2012, 23, 729–738. [Google Scholar]
- Liu, J.; Shi, C.; Han, S.; Jiang, Z.; Zhang, T. The Data Fusion of Multi-source Downward Surface Solar Radiation and Evaluation. Remote Sens. Technol. Appl. 2018, 33, 850–856. [Google Scholar]
- Wang, J.; Sun, X.; Sun, R.; Li, Z.; Guo, R.; He, M. Comparison of reanalysis radiation data and observations in China for 2000–2016. J. Trop. Meteorol. 2020, 36, 734–743. [Google Scholar]
- Zhang, X.; Lu, N.; Jiang, H.; Yao, L. Evaluation of Reanalysis Surface Incident Solar Radiation Data in China. Sci. Rep. 2020, 10, 3494. [Google Scholar] [CrossRef]
- Peng, X.; She, J.; Zhang, S.; Tan, J.; Li, Y. Evaluation of Multi-Reanalysis Solar Radiation Products Using Global Surface Observations. Atmosphere 2019, 10, 42. [Google Scholar] [CrossRef]
- Shi, H.; Li, W.; Fan, X.; Zhang, J.; Hu, B.; Husi, L.; Shang, H.; Han, X.; Song, Z.; Zhang, Y.; et al. First assessment of surface solar irradiance derived from Himawari-8 across China. Sol. Energy 2018, 174, 164–170. [Google Scholar] [CrossRef]
- Allen, R.J.; Norris, J.R.; Wild, M. Evaluation of multidecadal variability in CMIP5 surface solar radiation and inferred underestimation of aerosol direct effects over Europe, China, Japan, and India. J. Geophys. Res. Atmos. 2013, 118, 6311–6336. [Google Scholar] [CrossRef]
- Chen, R.S.; Ersi, K.; Yang, J.P.; Lu, S.H.; Zhao, W.Z. Validation of five global radiation models with measured daily data in China. Energy Convers. Manag. 2004, 45, 1759–1769. [Google Scholar] [CrossRef]
- Xia, X.A.; Wang, P.C.; Chen, H.B.; Liang, F. Analysis of downwelling surface solar radiation in China from National Centers for Environmental Prediction reanalysis, satellite estimates, and surface observations. J. Geophys. Res.-Atmos. 2006, 111, 9. [Google Scholar] [CrossRef]
- Wu, F.T.; Fu, C.B. Assessment of GEWEX/SRB version 3.0 monthly global radiation dataset over China. Meteorol. Atmos. Phys. 2011, 112, 155–166. [Google Scholar] [CrossRef]
- Kong, H.; Wang, J.; Cai, L.; Cao, J.; Zhou, M.; Fan, Y. Surface Solar Radiation Resource Evaluation of Xizang Region Based on Station Observation and High-Resolution Satellite Dataset. Remote Sens. 2024, 16, 1405. [Google Scholar] [CrossRef]
- Zhang, X.; Liang, S.; Wang, G.; Yao, Y.; Jiang, B.; Cheng, J. Evaluation of the Reanalysis Surface Incident Shortwave Radiation Products from NCEP, ECMWF, GSFC, and JMA Using Satellite and Surface Observations. Remote Sens. 2016, 8, 225. [Google Scholar] [CrossRef]
- Urraca, R.; Huld, T.; Gracia-Amillo, A.; Javier Martinez-de-Pison, F.; Kaspar, F.; Sanz-Garcia, A. Evaluation of global horizontal irradiance estimates from ERA5 and COSMO-REA6 reanalyses using ground and satellite-based data. Sol. Energy 2018, 164, 339–354. [Google Scholar] [CrossRef]
- Zhang, K.; Zhao, L.; Tang, W.; Yang, K.; Wang, J. Global and Regional Evaluation of the CERES Edition-4A Surface Solar Radiation and Its Uncertainty Quantification. IEEE J. Sel. Top. Appl. Earth Obs. Remote Sens. 2022, 15, 2971–2985. [Google Scholar] [CrossRef]
- Li, J.; Wenjun, T.; Jingwen, Q.; and Yan, Z. Mapping high-resolution surface shortwave radiation over East Asia with the new generation geostationary meteorological satellite Himawari-8. Int. J. Digit. Earth 2023, 16, 323–336. [Google Scholar] [CrossRef]
- Jiang, H.; Yang, Y.P.; Bai, Y.Q.; Wang, H.Z. Evaluation of the Total, Direct, and Diffuse Solar Radiations from the ERA5 Reanalysis Data in China. IEEE Geosci. Remote Sens. Lett. 2020, 17, 47–51. [Google Scholar] [CrossRef]
- Du, Y.; Shi, H.; Zhang, J.; Xia, X.; Yao, Z.; Fu, D.; Hu, B.; Huang, C. Evaluation of MERRA-2 hourly surface solar radiation across China. Sol. Energy 2022, 234, 103–110. [Google Scholar] [CrossRef]
- Yang, K.; Pinker, R.T.; Ma, Y.; Koike, T.; Wonsick, M.M.; Cox, S.J.; Zhang, Y.; Stackhouse, P. Evaluation of satellite estimates of downward shortwave radiation over the Tibetan Plateau. J. Geophys. Res. Atmos. 2008, 113, D17204. [Google Scholar] [CrossRef]
- Gelaro, R.; Mccarty, W.; Suárez, M.J.; Todling, R.; Molod, A.; Takacs, L.; Randles, C.A.; Darmenov, A.; Bosilovich, M.G.; Reichle, R.; et al. The Modern-Era Retrospective Analysis for Research and Applications, Version 2 (MERRA-2). J. Clim. 2017, 30, 5419–5454. [Google Scholar] [CrossRef]
- Buchard, V.; Randles, C.A.; da Silva, A.M.; Darmenov, A.; Colarco, P.R.; Govindaraju, R.; Ferrare, R.; Hair, J.; Beyersdorf, A.J.; Ziemba, L.D.; et al. The MERRA-2 Aerosol Reanalysis, 1980 Onward. Part II: Evaluation and Case Studies. J. Clim. 2017, 30, 6851–6872. [Google Scholar] [CrossRef] [PubMed]
- Randles, C.A.; da Silva, A.M.; Buchard, V.; Colarco, P.R.; Darmenov, A.; Govindaraju, R.; Smirnov, A.; Holben, B.; Ferrare, R.; Hair, J.; et al. The MERRA-2 Aerosol Reanalysis, 1980 Onward. Part I: System Description and Data Assimilation Evaluation. J. Clim. 2017, 30, 6823–6850. [Google Scholar] [CrossRef]
- Amillo, A.G.; Huld, T.; Müller, R. A New Database of Global and Direct Solar Radiation Using the Eastern Meteosat Satellite, Models and Validation. Remote Sens. 2014, 6, 8165–8189. [Google Scholar] [CrossRef]
- Dee, D.; Uppala, S.M.; Simmons, A.; Berrisford, P.; Poli, P.; Kobayashi, S.; Andrae, U.; Balmaseda, M.A.; Balsamo, G.; Bauer, P.; et al. The ERA-Interim reanalysis: Configuration and performance of the data assimilation system. Q. J. R. Meteorol. Soc. 2011, 137, 553–597. [Google Scholar] [CrossRef]
- Huld, T.; Müller, R.; Gracia-Amillo, A.; Pfeifroth, U.; Trentmann, J. Surface Solar Radiation Data Set—Heliosat, Meteosat-East (SARAH-E)—Edition 1.1; Satellite Application Facility on Climate Monitoring (CM SAF): Offenbach, Germany, 2017. [Google Scholar] [CrossRef]
- Wielicki, B.A.; Barkstrom, B.R.; Harrison, E.F.; III, R.B.L.; Smith, G.L.; Cooper, J.E. Clouds and the Earth’s Radiant Energy System (CERES): An Earth Observing System Experiment. Bull. Am. Meteorol. Soc. 1996, 853–868. [Google Scholar] [CrossRef]
- CERES_SYN1deg_Ed4A Data Quality Summary. 2021. Available online: https://ceres.larc.nasa.gov/documents/DQ_summaries/CERES_SYN1deg_Ed4A_DQS.pdf (accessed on 12 June 2023).
- Collins, W.D.; Rasch, P.J.; Eaton, B.E.; Khattatov, B.V.; Lamarque, J.F.; Zender, C.S. Simulating aerosols using a chemical transport model with assimilation of satellite aerosol retrievals: Methodology for INDOEX. J. Geophys. Res. Atmos. 2001, 106, 7313–7336. [Google Scholar] [CrossRef]
- Rutan, D.A.; Kato, S.; Doelling, D.R.; Rose, F.G.; Nguyen, L.T.; Caldwell, T.E.; Loeb, N.G. CERES Synoptic Product: Methodology and Validation of Surface Radiant Flux. J. Atmos. Ocean. Technol. 2015, 32, 1121–1143. [Google Scholar] [CrossRef]
- Bright, J.M. Solcast: Validation of a satellite-derived solar irradiance dataset. Sol. Energy 2019, 189, 435–449. [Google Scholar] [CrossRef]
- Gueymard, C.A. REST2: High-performance solar radiation model for cloudless-sky irradiance, illuminance, and photosynthetically active radiation—Validation with a benchmark dataset. Sol. Energy 2008, 82, 272–285. [Google Scholar] [CrossRef]
- Allen, R.G.; Pereira, L.S.; Raes, D.; Smith, M. Crop Evapotranspiration: Guidelines for Computing Crop Water Requirements. 1998. Available online: https://appgeodb.nancy.inra.fr/biljou/pdf/Allen_FAO1998.pdf (accessed on 24 August 2024).
- Wang, Y.; Trentmann, J.; Pfeifroth, U.; Yuan, W.; Wild, M. Improvement of Air Pollution in China Inferred from Changes between Satellite-Based and Measured Surface Solar Radiation. Remote Sens. 2019, 11, 2910. [Google Scholar] [CrossRef]
- Salazar, G.; Gueymard, C.; Galdino, J.B.; Vilela, O.d.C.; Fraidenraich, N. Solar irradiance time series derived from high-quality measurements, satellite-based models, and reanalyses at a near-equatorial site in Brazil. Renew. Sustain. Energy Rev. 2020, 117, 109478. [Google Scholar] [CrossRef]
- Loeb, N.G.; Doelling, D.R.; Wang, H.L.; Su, W.Y.; Nguyen, C.; Corbett, J.G.; Liang, L.S.; Mitrescu, C.; Rose, F.G.; Kato, S. Clouds and the Earth’s Radiant Energy System (CERES) Energy Balanced and Filled (EBAF) Top-of-Atmosphere (TOA) Edition-4.0 Data Product. J. Clim. 2018, 31, 895–918. [Google Scholar] [CrossRef]
- Chan, C.K.; Yao, X. Air pollution in mega cities in China. Atmos. Environ. 2008, 42, 1–42. [Google Scholar] [CrossRef]
- Sanchez-Lorenzo, A.; Wild, M.; Trentmann, J. Validation and stability assessment of the monthly mean CM SAF surface solar radiation dataset over Europe against a homogenized surface dataset (1983–2005). Remote Sens. Environ. 2013, 134, 355–366. [Google Scholar] [CrossRef]
- Zhou, Z.; Lin, A.; Wang, L.; Qin, W.; Zhong, Y.; He, L. Trends in downward surface shortwave radiation from multi-source data over China during 1984–2015. Int. J. Climatol. 2019, 40, 3467–3485. [Google Scholar] [CrossRef]
- Yang, S.; Wang, X.L.; Wild, M. Causes of Dimming and Brightening in China Inferred from Homogenized Daily Clear-Sky and All-Sky in situ Surface Solar Radiation Records (1958–2016). J. Clim. 2019, 32, 5901–5913. [Google Scholar] [CrossRef]
- Wang, Y.W.; Yang, S.; Sanchez-Lorenzo, A.; Yuan, W.P.; Wild, M. A Revisit of Direct and Diffuse Solar Radiation in China Based on Homogeneous Surface Observations: Climatology, Trends, and Their Probable Causes. J. Geophys. Res. Atmos. 2020, 125, e2020JD032634. [Google Scholar] [CrossRef]
- He, Y.; Wang, K.; Feng, F. Improvement of ERA5 over ERA-Interim in Simulating Surface Incident Solar Radiation throughout China. J. Clim. 2021, 3853–3867. [Google Scholar] [CrossRef]
- Wang, Y.W.; Yang, Y.H. China’s dimming and brightening: Evidence, causes and hydrological implications. Ann. Geophys. 2014, 32, 41–55. [Google Scholar] [CrossRef]








| Products | Spatial Resolution | Time Range | Spatial Coverage | Reference | |
|---|---|---|---|---|---|
| REANALYSIS | ERA5 | 0.25° × 0.25° | 1940–present | Global | https://cds.climate.copernicus.eu/ accessed on 16 June 2023 |
| MERRA-2 | 0.5° × 0.625° | 1980–present | Global | https://disc.gsfc.nasa.gov/ accessed on 16 June 2023 | |
| SATELLITE-DERIVED | SARAH-E | 0.05° × 0.05° | 1999–2016 | 65°S–65°N, 8°W–128°E | https://wui.cmsaf.eu/ accessed on 19 June 2023 |
| CERES-SYN1deg | 1° × 1° | 2003–present | Global | https://ceres.larc.nasa.gov/ accessed on 12 June 2023 | |
| Solcast | 2 km × 2 km | 2007–present | Global | https://solcast.com/ accessed on 7 July 2023 | |
Disclaimer/Publisher’s Note: The statements, opinions and data contained in all publications are solely those of the individual author(s) and contributor(s) and not of MDPI and/or the editor(s). MDPI and/or the editor(s) disclaim responsibility for any injury to people or property resulting from any ideas, methods, instructions or products referred to in the content. |
© 2025 by the authors. Licensee MDPI, Basel, Switzerland. This article is an open access article distributed under the terms and conditions of the Creative Commons Attribution (CC BY) license (https://creativecommons.org/licenses/by/4.0/).
Share and Cite
Wang, H.; Wang, Y. Evaluation of the Accuracy and Trend Consistency of Hourly Surface Solar Radiation Datasets of ERA5, MERRA-2, SARAH-E, CERES, and Solcast over China. Remote Sens. 2025, 17, 1317. https://doi.org/10.3390/rs17071317
Wang H, Wang Y. Evaluation of the Accuracy and Trend Consistency of Hourly Surface Solar Radiation Datasets of ERA5, MERRA-2, SARAH-E, CERES, and Solcast over China. Remote Sensing. 2025; 17(7):1317. https://doi.org/10.3390/rs17071317
Chicago/Turabian StyleWang, Han, and Yawen Wang. 2025. "Evaluation of the Accuracy and Trend Consistency of Hourly Surface Solar Radiation Datasets of ERA5, MERRA-2, SARAH-E, CERES, and Solcast over China" Remote Sensing 17, no. 7: 1317. https://doi.org/10.3390/rs17071317
APA StyleWang, H., & Wang, Y. (2025). Evaluation of the Accuracy and Trend Consistency of Hourly Surface Solar Radiation Datasets of ERA5, MERRA-2, SARAH-E, CERES, and Solcast over China. Remote Sensing, 17(7), 1317. https://doi.org/10.3390/rs17071317

