Tidal Flat Extraction and Analysis in China Based on Multi-Source Remote Sensing Image Collection and MSIC-OA Algorithm
Abstract
1. Introduction
2. Materials and Methods
2.1. Study Area
2.2. Data Sources
2.3. Extraction of Tidal Flat
- Maximal Water Extent: Apply the MSIC algorithm to the mNDWI band to generate a composite image representing the maximal water extent (mNDWI-MSIC). Then, use the Otsu algorithm on the mNDWI-MSIC image to obtain the original maximal water extent image, which includes both seawater and inland water. Exclude the inland water based on the principle of maximum connectivity to derive the maximal water surface image.
- Minimal Water Extent: Apply the MSIC algorithm to the NDVI band to create a composite image of the minimal water extent (NDVI-MSIC).
- Intertidal Area Creation: Clip the minimal water image using the maximal water surface image. This results in an intertidal area image, referred to as the original high water image, which includes seawater, tidal flats, and intertidal vegetation.
- Removal of Intertidal Vegetation: Use the Otsu algorithm on the original high water image to identify the maximal intertidal vegetation extent, and then remove the vegetation from the original high water image. This yields an image containing only seawater and tidal flats.
- Final Tidal Flat Extraction: Apply the Otsu algorithm to the seawater and tidal flat image to isolate the tidal flats.
2.4. Extraction and Classification of Shoreline
3. Results
3.1. Precision Analysis of Tidal Flat Extraction
3.2. Tidal Flat Stock
3.3. Spatial Distribution of Tidal Flats
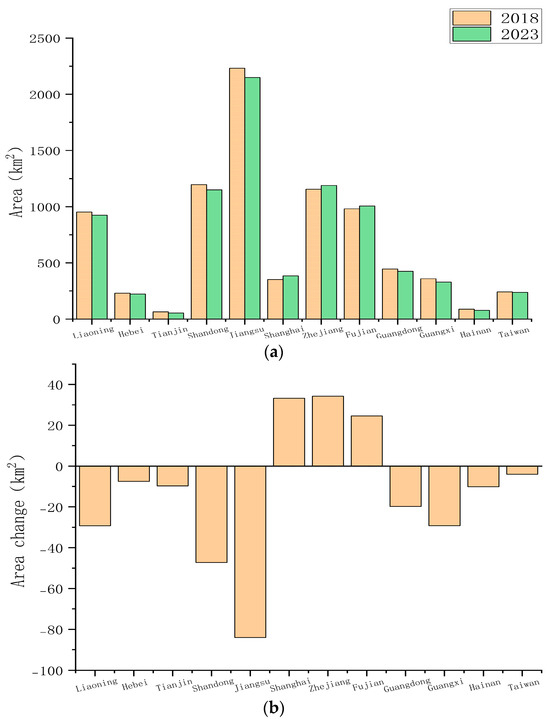
3.4. Tidal Flat Area Change in China, 2018–2023
3.5. Coastline Information
4. Discussion
5. Conclusions
- The overall classification accuracy of the tidal flat extraction results in China in 2018 is 92.77%, with an area of 8300.34 km2. In 2023, the accuracy improves to 95.19%, with the total area reducing to 8151.54 km2, indicating a decrease of 148.80 km2 from 2018 to 2023.
- The three provinces with the largest tidal flat area in 2023 are: Jiangsu, Zhejiang and Shandong
- In 2023, 54.88% of China’s tidal flats are distributed in river and bay areas, and when excluding Jiangsu province, this proportion increases to 72.64%. Most of China’s tidal flats are located near river inlets and bays.
- The total length of China’s coastline adjacent to tidal flats in 2023 is 10,196.17 km. The development degree of the tidal flats is 2.04, indicating that most tidal flats have been significantly developed and utilized.
Author Contributions
Funding
Data Availability Statement
Acknowledgments
Conflicts of Interest
References
- Murray, N.J.; Phinn, S.R.; Clemens, R.S.; Roelfsema, C.M.; Fuller, R.A. Continental scale mapping of tidal flats across East Asia using the Landsat archive. Remote Sens. 2012, 4, 3417–3426. [Google Scholar] [CrossRef]
- Wang, X.; Xiao, X.; Zou, Z.; Chen, B.; Ma, J.; Dong, J.; Doughty, R.B.; Zhong, Q.; Qin, Y.; Dai, S.; et al. Tracking annual changes of coastal tidal flats in China during 1986–2016 through analyses of Landsat images with Google Earth Engine. Remote Sens. Environ. 2020, 238, 110987. [Google Scholar] [CrossRef]
- Barbier, E.B.; Koch, E.W.; Silliman, B.R.; Hacker, S.D.; Wolanski, E.; Primavera, J.; Granek, E.F.; Polasky, S.; Aswani, S.; Cramer, L.A.; et al. Coastal ecosystem-based management with nonlinear ecological functions and values. Science 2008, 319, 321–323. [Google Scholar] [CrossRef]
- Dhanjal-Adams, K.L.; Hanson, J.O.; Murray, N.J.; Phinn, S.R.; Wingate, V.R.; Mustin, K.; Lee, J.R.; Allan, J.R.; Cappadonna, J.L.; Studds, C.E.; et al. The distribution and protection of intertidal habitats in Australia. Emu-Austral Ornithol. 2016, 116, 208–214. [Google Scholar] [CrossRef]
- Ghosh, S.; Mishra, D.R.; Gitelson, A.A. Long-term monitoring of biophysical characteristics of tidal wetlands in the northern Gulf of Mexico—A methodological approach using MODIS. Remote Sens. Environ. 2016, 173, 39–58. [Google Scholar] [CrossRef]
- Tiner, R.W. Tidal Wetlands Primer: An Introduction to Their Ecology, Natural History, Status, and Conservation; University of Massachusetts Press: Amherst, MA, USA, 2013. [Google Scholar]
- Murray, N.J.; Ma, Z.; Fuller, R.A. Tidal flats of the Yellow Sea: A review of ecosystem status and anthropogenic threats. Austral Ecol. 2015, 40, 472–481. [Google Scholar] [CrossRef]
- Meng, W.; Hu, B.; He, M.; Liu, B.; Mo, X.; Li, H.; Wang, Z.; Zhang, Y. Temporal-spatial variations and driving factors analysis of coastal reclamation in China. Estuar. Coast. Shelf Sci. 2017, 191, 39–49. [Google Scholar] [CrossRef]
- Deegan, L.A.; Johnson, D.S.; Warren, R.S.; Peterson, B.J.; Fleeger, J.W.; Fagherazzi, S.; Wollheim, W.M. Coastal eutrophication as a driver of salt marsh loss. Nature 2012, 490, 388–392. [Google Scholar] [CrossRef]
- Gardner, R.C.; Finlayson, C. Global Wetland Outlook: State of the World’s Wetlands and Their Services to People; Ramsar Convention Secretariat: Gland, Switzerland, 2018; pp. 2020–2025. [Google Scholar]
- Cf, O. Transforming Our World: The 2030 Agenda for Sustainable Development; United Nations: New York, NY, USA, 2015. [Google Scholar]
- Arkema, K.K.; Guannel, G.; Verutes, G.; Wood, S.A.; Guerry, A.; Ruckelshaus, M.; Kareiva, P.; Lacayo, M.; Silver, J.M. Coastal habitats shield people and property from sea-level rise and storms. Nat. Clim. Chang. 2013, 3, 913–918. [Google Scholar] [CrossRef]
- Zhu, Z.; Vuik, V.; Visser, P.J.; Soens, T.; van Wesenbeeck, B.; van de Koppel, J.; Jonkman, S.N.; Temmerman, S.; Bouma, T.J. Historic storms and the hidden value of coastal wetlands for nature-based flood defence. Nat. Sustain. 2020, 3, 853–862. [Google Scholar] [CrossRef]
- Hou, X.Y.; Wu, T.; Hou, W.; Chen, Q.; Wang, Y.; Yu, L. Characteristics of coastline changes in mainland China since the early 1940s. Sci. China Earth Sci. 2016, 59, 1791–1802. [Google Scholar] [CrossRef]
- Mao, D.; Wang, Z.; Wu, J.; Wu, B.; Zeng, Y.; Song, K.; Yi, K.; Luo, L. China’s wetlands loss to urban expansion. Land Degrad. Dev. 2018, 29, 2644–2657. [Google Scholar] [CrossRef]
- Xu, N.; Gong, P. Significant coastline changes in China during 1991–2015 tracked by Landsat data. Sci. Bull. 2018, 63, 883–886. [Google Scholar] [CrossRef] [PubMed]
- Ma, Z.; Melville, D.S.; Liu, J.; Chen, Y.; Yang, H.; Ren, W.; Zhang, Z.; Piersma, T.; Li, B. Rethinking China’s new great wall. Science 2014, 346, 912–914. [Google Scholar] [CrossRef]
- Guo, Q.; Pu, R.; Tapley, K.; Cheng, J.; Li, J.; Jiao, T. Impacts of coastal development strategies on long-term coastline changes: A comparison between Tampa Bay, USA and Xiangshan Harbor, China. Pap. Appl. Geogr. 2019, 5, 126–139. [Google Scholar] [CrossRef]
- NDRC, Ministry of Natural Resources. The National Major Project Overall Planning of Important Ecosystem Protection and Restoration (2021–2035) [EB/OL]. 12 June 2020. Available online: http://www.gov.cn/zhengce/zhengceku/2020-06/12/content_5518982.htm (accessed on 1 July 2021).
- Sun, Z.; Sun, W.; Tong, C.; Zeng, C.; Yu, X.; Mou, X. China’s coastal wetlands: Conservation history, implementation efforts, existing issues and strategies for future improvement. Environ. Int. 2015, 79, 25–41. [Google Scholar] [CrossRef]
- Xu, W.; Xiao, Y.; Zhang, J.; Yang, W.; Zhang, L.; Hull, V.; Wang, Z.; Zheng, H.; Liu, J.; Polasky, S.; et al. Reply to Yang et al.: Coastal wetlands are not well represented by protected areas for endangered birds. Proc. Natl. Acad. Sci. USA 2017, 114, E5493. [Google Scholar] [CrossRef]
- Yang, H.; Ma, M.; Thompson, J.R.; Flower, R.J. Protect coastal wetlands in China to save endangered migratory birds. Proc. Natl. Acad. Sci. USA 2017, 114, E5491–E5492. [Google Scholar] [CrossRef]
- Zhao, C.; Qin, C.Z.; Teng, J. Mapping large-area tidal flats without the dependence on tidal elevations: A case study of Southern China. ISPRS J. Photogramm. Remote Sens. 2020, 159, 256–270. [Google Scholar] [CrossRef]
- Tian, B.; Wu, W.; Yang, Z.; Zhou, Y. Drivers, trends, and potential impacts of long-term coastal reclamation in China from 1985 to 2010. Estuar. Coast. Shelf Sci. 2016, 170, 83–90. [Google Scholar] [CrossRef]
- Mueller-Navarra, K.; Milker, Y.; Bunzel, D.; Lindhorst, S.; Friedrich, J.; Arz, H.; Schmiedl, G. Evolution of a salt marsh in the southeastern North Sea region–anthropogenic and natural forcing. Estuar. Coast. Shelf Sci. 2019, 218, 268–277. [Google Scholar] [CrossRef]
- Jiang, W.; Lv, J.; Wang, C.; Chen, Z.; Liu, Y. Marsh wetland degradation risk assessment and change analysis: A case study in the Zoige Plateau, China. Ecol. Indic. 2017, 82, 316–326. [Google Scholar] [CrossRef]
- Cozzoli, F.; Smolders, S.; Eelkema, M.; Ysebaert, T.; Escaravage, V.; Temmerman, S.; Meire, P.; Herman, P.M.; Bouma, T.J. A modeling approach to assess coastal management effects on benthic habitat quality: A case study on coastal defense and navigability. Estuar. Coast. Shelf Sci. 2017, 184, 67–82. [Google Scholar] [CrossRef]
- Xu, Y.; Cai, Y.; Sun, T.; Yang, Z.; Hao, Y. Coupled hydrodynamic and ecological simulation for prognosticating land reclamation impacts in river estuaries. Estuar. Coast. Shelf Sci. 2018, 202, 290–301. [Google Scholar] [CrossRef]
- Wang, Y.P.; Gao, S.; Jia, J.; Thompson, C.E.; Gao, J.; Yang, Y. Sediment transport over an accretional intertidal flat with influences of reclamation, Jiangsu coast, China. Mar. Geol. 2012, 291, 147–161. [Google Scholar] [CrossRef]
- Garcia-Oliva, M.; Hooper, T.; Djordjević, S.; Belmont, M. Exploring the implications of tidal farms deployment for wetland-birds habitats in a highly protected estuary. Mar. Policy 2017, 81, 359–367. [Google Scholar] [CrossRef]
- de Vriend, H.J. Ecosystem-based coastal defence in the face of global change. Nat. Int. Wkly. J. Sci. 2013, 504, 79–83. [Google Scholar]
- Campbell, A.; Wang, Y. High spatial resolution remote sensing for salt marsh mapping and change analysis at Fire Island National Seashore. Remote Sens. 2019, 11, 1107. [Google Scholar] [CrossRef]
- Sagar, S.; Roberts, D.; Bala, B.; Lymburner, L. Extracting the intertidal extent and topography of the Australian coastline from a 28 year time series of Landsat observations. Remote Sens. Environ. 2017, 195, 153–169. [Google Scholar] [CrossRef]
- Murray, N.J.; Clemens, R.S.; Phinn, S.R.; Possingham, H.P.; Fuller, R.A. Tracking the rapid loss of tidal wetlands in the Yellow Sea. Front. Ecol. Environ. 2014, 12, 267–272. [Google Scholar] [CrossRef]
- Murray, N.J.; Phinn, S.R.; DeWitt, M.; Ferrari, R.; Johnston, R.; Lyons, M.B.; Clinton, N.; Thau, D.; Fuller, R.A. The global distribution and trajectory of tidal flats. Nature 2019, 565, 222–225. [Google Scholar] [CrossRef] [PubMed]
- Han, Q.; Niu, Z.; Wu, M.; Wang, J. Remote-sensing monitoring and analysis of China intertidal zone changes based on tidal correction. Chin. Sci. Bull. 2019, 64, 456–473. [Google Scholar]
- Zhang, H.; Jiang, Q.; Xu, J. Coastline Extraction Using Support Vector Machine from Remote Sensing Image. J. Multimed. 2013, 8, 175–182. [Google Scholar]
- Zhang, D.; Liu, G.; Hu, W. Mapping Tidal Flats with Landsat 8 images and Google earth engine: A case study of the China’s Eastern Coastal Zone circa 2015. Remote Sens. 2019, 11, 924. [Google Scholar] [CrossRef]
- Cao, W.; Zhou, Y.; Li, R.; Li, X. Mapping changes in coastlines and tidal flats in developing islands using the full time series of Landsat images. Remote Sens. Environ. 2020, 239, 111665. [Google Scholar] [CrossRef]
- Wang, X.; Xiao, X.; Zou, Z.; Hou, L.; Qin, Y.; Dong, J.; Doughty, R.B.; Chen, B.; Zhang, X.; Chen, Y.; et al. Mapping coastal wetlands of China using time series Landsat images in 2018 and Google Earth Engine. ISPRS J. Photogramm. Remote Sens. 2020, 163, 312–326. [Google Scholar] [CrossRef]
- Li, H.; Jia, M.; Zhang, R.; Ren, Y.; Wen, X. Incorporating the plant Phenological trajectory into mangrove species mapping with dense time series Sentinel-2 imagery and the Google earth engine platform. Remote Sens. 2019, 11, 2479. [Google Scholar] [CrossRef]
- Jia, M.; Wang, Z.; Mao, D.; Ren, C.; Wang, C.; Wang, Y. Rapid, robust, and automated mapping of tidal flats in China using time series Sentinel-2 images and Google Earth Engine. Remote Sens. Environ. 2021, 255, 112285. [Google Scholar] [CrossRef]
- Mao, D.; Liu, M.; Wang, Z.; Li, L.; Man, W.; Jia, M.; Zhang, Y. Rapid Invasion of Spartina Alterniflora in the Coastal Zone of Mainland China: Spatiotemporal Patterns and Human Prevention. Sensors 2019, 19, 2308. [Google Scholar] [CrossRef]
- Liu, J.; Kuang, W.; Zhang, Z.; Xu, X.; Qin, Y.; Ning, J.; Zhou, W.; Zhang, S.; Li, R.; Yan, C.; et al. Spatiotemporal characteristics patterns causes of land-use changes in China since the late 1980s. J. Geogr. Sci. 2014, 24, 195–210. [Google Scholar] [CrossRef]
- Lic, J.; Liul, Y.; Wangj, H. Comparison of two methods of fusing remote sensing images with fidelity of spectral information. J. Image Graph. 2004, 9, 1376–1385. [Google Scholar]
- Otsu, N. A threshold selection method from gray-level histograms. IEEE Trans. Syst. Man Cybern. 1979, 9, 62. [Google Scholar] [CrossRef]
- Xu, H. Modification of normalized difference water index (NDWI) to enhance open water features in remotely sensed imagery. Int. J. Remote Sens. 2006, 27, 3025–3033. [Google Scholar] [CrossRef]
- Tucker, C.J. Red and photographic infrared linear combinations for monitoring vegetation. Remote Sens. Environ. 1979, 8, 127–150. [Google Scholar] [CrossRef]
- Zhong, L.; Hu, L.; Zhou, H. Deep learning based multi-temporal crop classification. Remote Sens. Environ. 2019, 221, 430–443. [Google Scholar] [CrossRef]
- Wang, Y.; Zhu, D.K. Tidal Flats in China, Oceanology of China Seas; Springer: Berlin/Heidelberg, Germany, 1994; pp. 445–456. [Google Scholar]









| Satellite | Band | Resolution/m |
|---|---|---|
| Sentinel-2 (MSI) | B3 (Green) | 10 |
| B4 (Red) | 10 | |
| B8 (NIR) | 10 | |
| B11 (SWIR1) | 20 | |
| Landsat 8 (OLI) | B3 (Green) | 30 |
| B4 (Red) | 30 | |
| B5 (NIR) | 30 | |
| B6 (SWIR1) | 30 | |
| B8 (Panchromatic) | 15 | |
| Landsat 9 (OLI-2) | B3 (Green) | 30 |
| B4 (Red) | 30 | |
| B5 (NIR) | 30 | |
| B6 (SWIR1) | 30 | |
| B8 (Panchromatic) | 15 |
| Primary Classification | Secondary Classification | Interpretation Symbol | Description |
|---|---|---|---|
| Natural Shoreline | Sandy Shoreline | ![]() | Located in sandy beach areas |
| Mud Shoreline | ![]() | Located in mud or silt-sand mudflat areas | |
| Rocky Shoreline | ![]() | Located in rocky coastal areas | |
| Artificial Shoreline | Engineered Embankment | ![]() | Located in urban and transportation construction areas, including shorelines formed by port and dock construction |
| Non-engineered Embankment | ![]() | Regularly distributed patches such as aquaculture water bodies, farmland, and salt fields on the inland side |
| Reference Category | |||||||||
|---|---|---|---|---|---|---|---|---|---|
| TF | Non-TF | Total | Use. Acc/% | Pro. Acc/% | Ove. Acc/% | F1 Score | |||
| 2018 | Image Category | TF | 2772 | 308 | 3080 | 90.00 | 96.98 | 92.77 | 0.88 |
| Non-TF | 415 | 6505 | 6920 | 94.00 | 95.48 | ||||
| Total | 3187 | 6813 | 10,000 | ||||||
| 2023 | TF | 2752 | 272 | 3024 | 91.01 | 92.94 | 95.19 | 0.92 | |
| Non-TF | 209 | 6767 | 6976 | 97.00 | 96.14 | ||||
| Total | 2961 | 7039 | 10,000 | ||||||
| Region | Area (km2) | Proportion (%) |
|---|---|---|
| Liaoning | 923.44 | 11.33 |
| Hebei | 222.63 | 2.73 |
| Tianjin | 55.33 | 0.68 |
| Shandong | 1150.07 | 14.11 |
| Jiangsu | 2149.01 | 26.36 |
| Shanghai | 384.94 | 4.72 |
| Zhejiang | 1189.49 | 14.59 |
| Fujian | 1006.13 | 12.34 |
| Guangdong | 425.45 | 5.22 |
| Guangxi | 329.63 | 4.04 |
| Hainan | 77.90 | 0.96 |
| Taiwan | 237.52 | 2.91 |
| China | 8151.54 | 100.00 |
Disclaimer/Publisher’s Note: The statements, opinions and data contained in all publications are solely those of the individual author(s) and contributor(s) and not of MDPI and/or the editor(s). MDPI and/or the editor(s) disclaim responsibility for any injury to people or property resulting from any ideas, methods, instructions or products referred to in the content. |
© 2024 by the authors. Licensee MDPI, Basel, Switzerland. This article is an open access article distributed under the terms and conditions of the Creative Commons Attribution (CC BY) license (https://creativecommons.org/licenses/by/4.0/).
Share and Cite
Sun, J.; Tang, C.; Mu, K.; Li, Y.; Zheng, X.; Zou, T. Tidal Flat Extraction and Analysis in China Based on Multi-Source Remote Sensing Image Collection and MSIC-OA Algorithm. Remote Sens. 2024, 16, 3607. https://doi.org/10.3390/rs16193607
Sun J, Tang C, Mu K, Li Y, Zheng X, Zou T. Tidal Flat Extraction and Analysis in China Based on Multi-Source Remote Sensing Image Collection and MSIC-OA Algorithm. Remote Sensing. 2024; 16(19):3607. https://doi.org/10.3390/rs16193607
Chicago/Turabian StyleSun, Jixiang, Cheng Tang, Ke Mu, Yanfang Li, Xiangyang Zheng, and Tao Zou. 2024. "Tidal Flat Extraction and Analysis in China Based on Multi-Source Remote Sensing Image Collection and MSIC-OA Algorithm" Remote Sensing 16, no. 19: 3607. https://doi.org/10.3390/rs16193607
APA StyleSun, J., Tang, C., Mu, K., Li, Y., Zheng, X., & Zou, T. (2024). Tidal Flat Extraction and Analysis in China Based on Multi-Source Remote Sensing Image Collection and MSIC-OA Algorithm. Remote Sensing, 16(19), 3607. https://doi.org/10.3390/rs16193607






