Distribution Network Power Loss Analysis Considering Uncertainties in Distributed Generations
Abstract
:1. Introduction
1.1. Background and Motivation
1.2. Literature Review
- Prorated (pro rata, PR) method which distributes the losses based on the actual power consumption of devices, regardless of network configuration and the load locations [1]. The PR method is simple to implement but unfair for loads that are near the generation sources. In other words, loads that are remote from the generations should have accounted for more losses, which is not considered in the PR method.
 - Distance-adjusted pro rata (DAPR) method. The distance of the load to a root node, such as a generation source, along with the power demand, are considered as a megawatt-mile factor [2]. The DAPR method includes the distance factor but does not consider the nonlinear characteristics of the power flow.
 - Incremental loss method. By using the linearization in the Newton–Raphson method for solving the power flow, the incremental losses can be derived by perturbing the loads or generations with a small value [3,4,5,6]. This method assumes a single slack bus or distributed slack buses and can cause over-calculation of total losses since the slack bus is not included in the iterations. Another disadvantage of this method is the unsuitability for ADN, which has a high R/X ratio.
 - Power tracing methods. This type methods traces the losses based on branch power flow and the connected nodal injections. Existing traceing methods include graph theory-based tracing methods as proposed in [12,13] and various tracing algorithms [14,15,16,17]. Normalization is required if the method overestimates or underestimates the total losses.
 
- Monte–Carlo based simple random sampling (SRS) method. This method first takes a large number of random samples for each group of random variables. If the number of samples is large enough, according to the large number theory, the samples could represent the random variables. Next, calculations are performed over each group of the random variables, and the results are analyzed to obtain the statistics.
 - Monte–Carlo based reduced sampling methods. Different from the simple random sampling, these methods use more sophisticated sampling techniques, such as layered sampling, to reduce the redundancy of samples and thus reduce the computational burden [21].
 
1.3. Contribution and Paper Organization
- Presenting a nodal power loss tracing method for quantifying the losses induced by DGs in the distribution network. The presented model is linear and thus rapid to calculate for large data samples.
 - Proposing a Latin hypercube sampling backed stochastic loss analysis method that is applicable for representing the uncertainty of DG power outputs. The sampling method is first introduced, and the procedure to evaluate the samples are elaborated.
 
2. Distribution Network Loss Assessment
2.1. Basic Formulations for Loss Assessment
- The loss assigned to the node connecting the distribution to the transmission networks is zero. This node is responsible for balancing the power supply and demand but does not account for any loss caused by power distribution.
 - The loss assigned to the load on the nodes where the net generation is positive, namely, the total power generation is greater than the total load, is considered as zero. The load on such nodes are fully supplied locally and will not incur any distribution loss.
 
2.2. Assessing Load-Induced Distribution Losses
2.3. Assessing DG-Induced Power Distribution Losses
2.4. Normalization
2.5. Procedure for Calculating Distribution Losses
- Initialization: Based on the assumption, set the losses to zeros for the node that connects the distribution network to the transmission network, alongside the nodes that are purely power sources (for calculating load-induced losses) or purely power demands (for calculating DG-induced losses).
 - Recursive calculation: For each of the rest nodes, recursively calculate the losses on the nodes that send power to (for calculating load-induced losses) or receive power from (for calculating DG-induced losses) the current node, and then calculate the losses on the current node using (14) (for load-induced losses) or (16) (for DG-induced losses).
 - Normalize the load-induced and DG-induced losses using the equations in Section 2.4.
 
3. Latin Hypercube Sampling Approach
3.1. Sampling Process
- Evenly divide the range of [0, 1] into N intervals, each with a probability range of .
 - Take one sample randomly from each interval. A total of N cumulative probability values, are obtained in this step.
 - Calculate the corresponding variable value for each sample by using the inverse CDF function, namely, .
 
3.2. Permutation and Combination Processes
- Generate a linear space matrix L having the same shape of S. Each row in the L matrix is a linear space with an increment of 1, namely, .
 - For each row in L, permute the elements in a random order. Effective implementation is to loop over the row back and forth, for each element, randomly choose another element and randomly decide whether to swap.
 - For each row in the matrix, reorder the elements based on the index order in the permutated L matrix to obtain the permutated sampling matrix S.
 
- Using LHS, the number of samples for each variable can be controlled to a manageable size of N, which can be adjustable based on the distribution characteristics. On the other hand, the number of samples for the LHS must be determined before running the case studies, but the SRS-based method allows for building up the cases incrementally.
 - The LHS-based method guarantees (one and only one) sampling coverage for each interval. The SRS-based on method, however, requires a considerably larger sample size to cover the range.
 - For linear problems, the LHS-based methods can provide an estimation for the output, which is a linear weighted combination of the inputs.
 
4. Stochastic Distribution Network Loss Analysis
4.1. General Formulation and Solution Work Flow
- Load the network data file that includes bus and branch parameters, base generation and load data, and shunt admittance data.
 - Determine and set sample size N for each input variable.
 - Using the selected sampling method (random or LHS), generate the input data matrix S with the size of , where K is the number of input variables.
 - For each array of input sample, namely, each column in S, run the network loss evaluation routine and store the output data accordingly.
 - After all the sample inputs are computed, compute the statistics (mean value and standard deviation) of the output data for each variable.
 
4.2. Statistical Metrics for the Stochastic Method
5. Discussion and Case Studies
The 36-Bus Radial System
- The losses associated with the DG on bus 1 and the loads on buses with DGs were zero.
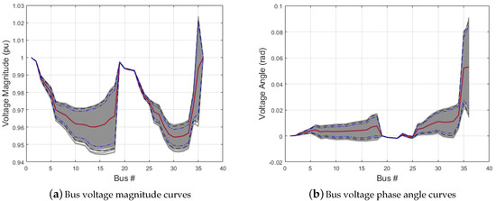
 - Losses due to active power and reactive power for the buses with DGs that were exporting power were not affected by the stochastic inputs. Buses that were farther from the DGs and the substation (bus 1) were subject to higher loss variation under uncertain DG outputs.
 - The voltages on the buses close to the substation (bus 1) had comparatively small variations. This applies to buses 2, 3, 19, 20, 21 and 22.
 - The difference of the 85% and the 95% confidence intervals for voltages from the SRS and LHS, shown in Figure 3, are within 10−3 per unit.
 
- The mean values from both random sampling and LHS-based sampling approached the SRS results after about 150 samples.
 - The standard deviations started at a high level and fluctuated with a downward trend as the number of samples increased.
 
- The results of the random sampling had higher fluctuations in the error metrics compared with the results of the LHS-based methods.
 - The LHS-based method converged to the benchmark value faster, as seen in the error of the mean value plots in Figure 9a.
 - Due to the completely random feature, the errors of the standard deviation did not show a consistent decrease as the number of samples increased, as seen in Figure 8b. The decreasing trend was more consistent using the LHS-based sample inputs.
 
6. Conclusions
- The distribution loss analysis method can account for the network topology and the amount of load and can assign losses for both loads and DGs.
 - The stochastic analysis verifies that, for the same amount of load, the more losses it occurs, the farther it is from the substation bus.
 - The LHS can achieve the same level of errors in the mean value and standard deviation with significantly fewer samples, compared with the SRS-based sampling method.
 
Author Contributions
Funding
Acknowledgments
Conflicts of Interest
References
- Conejo, A.J.; Arroyo, J.M.; Alguacil, N.; Guijarro, A.L. Transmission Loss Allocation: A Comparison of Different Practical Algorithms. IEEE Trans. Power Syst. 2002, 17, 571–576. [Google Scholar] [CrossRef]
 - Happ, H.H. Cost of wheeling methodologies. IEEE Trans. Power Syst. 1994, 9, 147–156. [Google Scholar] [CrossRef]
 - Mutale, J.; Strbac, G.; Curcic, S.; Jenkins, N. Allocation of losses in distribution systems with embedded generation. IEE Proc. Gen. Transm. Distrib. 2000, 147, 7–14. [Google Scholar] [CrossRef]
 - Galiana, F.D.; Conejo, A.J.; Kockar, I. Incremental transmission loss allocation under pool dispatch. IEEE Trans. Power Syst. 2002, 17, 26–33. [Google Scholar] [CrossRef]
 - Carpaneto, E.; Chicco, G.; Sumaili Akilimali, J. Loss partitioning and loss allocation in three-phase radial distribution systems with distributed generation. IEEE Trans. Power Syst. 2008, 23, 1039–1049. [Google Scholar] [CrossRef]
 - Carpaneto, E.; Chicco, G.; Sumaili Akilimali, J. Characterization of the loss allocation techniques for radial systems with distributed generation. Electr. Power Syst. Res. 2008, 78, 1396–1406. [Google Scholar] [CrossRef]
 - Atanasovski, M.; Taleski, R. Energy summation method for loss allocation in radial distribution networks with DG. IEEE Trans. Power Syst. 2012, 27, 1433–1440. [Google Scholar] [CrossRef]
 - Conejo, A.J.; Galiana, F.D.; Kockar, I. Z-bus loss allocation. IEEE Trans. Power Syst. 2001, 21, 54. [Google Scholar] [CrossRef]
 - Daniel, J.; Salgado, R.; Irving, M. Transmission loss allocation through a modified Ybus. IEE Proc. Gen. Transm. Distrib. 2005, 152, 208–241. [Google Scholar] [CrossRef]
 - Carpaneto, E.; Chicco, G.; Akilimali, J.S. Branch current decomposition method for loss allocation in radial distribution systems with distributed generation. IEEE Trans. Power Syst. 2006, 21, 1170–1179. [Google Scholar] [CrossRef]
 - Fang, W.L.; Ngan, H.W. Succinct method for allocation of network losses. IEE Proc. Gen. Transm. Distrib. 2002, 149, 171–174. [Google Scholar] [CrossRef]
 - Strbac, G.; Kirschen, D.; Ahmed, S. Allocating transmission system usage on the basis of traceable contributions of generators and loads to flows. IEEE Trans. Power Syst. 1998, 13, 527–534. [Google Scholar] [CrossRef]
 - Lim, V.S.; McDonald, J.D.; Saha, T.K. Development of a new loss allocation method for a hybrid electricity market using graph theory. Electr. Power Syst. Res. 2009, 79, 301–310. [Google Scholar] [CrossRef]
 - Costa, P.M.; Matos, M.A. Loss Allocation in Distribution Networks With Embedded Generation. IEEE Trans. Power Syst. 2004, 19, 384–389. [Google Scholar] [CrossRef]
 - Rao, M.S.S.; Soman, S.A.; Chitkara, P.; Gajbhiye, R.K.; Hemachandra, N.; Menezes, B.L. Min-max fair power flow tracing for transmission system usage cost allocation: A large system perspective. IEEE Trans. Power Syst. 2010, 25, 1457–1468. [Google Scholar] [CrossRef]
 - Savier, J.S.; Das, D. An exact method for loss allocation in radial distribution systems. Int. J. Electr. Power Energy Syst. 2012, 36, 100–106. [Google Scholar] [CrossRef]
 - Jagtap, K.M.; Khatod, D.K. Loss allocation in radial distribution networks with various distributed generation and load models. Int. J. Electr. Power Energy Syst. 2016, 75, 173–186. [Google Scholar] [CrossRef]
 - Kalambe, S.; Agnihotri, G. Loss minimization techniques used in distribution network: Bibliographical survey. Renew. Sustain. Energy Rev. 2014, 29, 184–200. [Google Scholar] [CrossRef]
 - Expoßsito, A.G.; Santos, J.M.R.; Garcißa, T.G.; Ruiz Velasco, E.A. Fair allocation of transmission power losses. IEEE Trans. Power Syst. 2000, 15, 184–188. [Google Scholar] [CrossRef]
 - Ghofrani-Jahromi, Z.; Mahmoodzadeh, Z.; Ehsan, M. Distribution Loss Allocation for Radial Systems Including DGs. IEEE Trans. Power Deliv. 2014, 29, 72–88. [Google Scholar] [CrossRef]
 - Yu, H.; Chung, C.Y.; Wong, K.P.; Lee, H.W.; Zhang, J.H. Probabilistic load flow evaluation with hybrid latin hypercube sampling and cholesky decomposition. IEEE Trans. Power Syst. 2009, 24, 661–667. [Google Scholar] [CrossRef]
 - Baghaee, H.R.; Mirsalim, M.; Gharehpetian, G.B.; Talebi, H.A. Three-phase AC/DC power-flow for balanced/unbalanced microgrids including wind/solar, droop-controlled and electronically-coupled distributed energy resources using radial basis function neural networks. IET Power Electron. 2016, 10, 313–328. [Google Scholar] [CrossRef]
 - Baghaee, H.R.; Mirsalim, M.; Gharehpetian, G.B.; Talebi, H.A. Application of RBF neural networks and unscented transformation in probabilistic power-flow of microgrids including correlated wind/PV units and plug-in hybrid electric vehicles. Simul. Model. Pract. Theory 2017, 72, 51–68. [Google Scholar] [CrossRef]
 - Baghaee, H.R.; Mirsalim, M.; Gharehpetian, G.B.; Talebi, H.A. Fuzzy unscented transform for uncertainty quantification of correlated wind/PV microgrids: possibilistic–probabilistic power flow based on RBFNNs. IET Renew. Power Gen. 2017, 11, 867–877. [Google Scholar] [CrossRef]
 - Baghaee, H.R.; Mirsalim, M.; Gharehpetian, G.B.; Talebi, H.A. Generalized three phase robust load-flow for radial and meshed power systems with and without uncertainty in energy resources using dynamic radial basis functions neural networks. J. Clean. Prod. 2018, 174, 96–113. [Google Scholar] [CrossRef]
 - Baghaee, H.R.; Mirsalim, M.; Gharehpetan, G.B.; Talebi, H.A. Nonlinear load sharing and voltage compensation of microgrids based on harmonic power-flow calculations using radial basis function neural networks. IEEE Syst. J. 2018, 12, 2749–2759. [Google Scholar] [CrossRef]
 - Baghaee, H.R.; Mirsalim, M.; Gharehpetian, G.B. Performance Improvement of Multi-DER Microgrid for Small- and Large-Signal Disturbances and Nonlinear Loads: Novel Complementary Control Loop and Fuzzy Controller in a Hierarchical Droop-Based Control Scheme. IEEE Syst. J. 2018, 12, 444–451. [Google Scholar] [CrossRef]
 - Baghaee, H.; Mirsalim, M.; Gharehpetian, G.; Talebi, H. Eigenvalue, Robustness and Time Delay Analysis of Hierarchical Control Scheme in Multi-DER Microgrid to Enhance Small/Large-Signal Stability Using Complementary Loop and Fuzzy Logic Controller. J. Circuits Syst. Comput. 2017, 26, 1–34. [Google Scholar] [CrossRef]
 - Baghaee, H.R.; Mirsalim, M.; Gharehpetian, G.B. Power Calculation Using RBF Neural Networks to Improve Power Sharing of Hierarchical Control Scheme in Multi-DER Microgrids. IEEE J. Emerg. Sel. Top. Power Electron. 2016, 4, 1217–1225. [Google Scholar] [CrossRef]
 - Di Fazio, A.R.; Russo, M.; Valeri, S.; De Santis, M. Sensitivity-based model of low voltage distribution systems with distributed energy resources. Energies 2016, 9, 801. [Google Scholar] [CrossRef]
 - Savier, J.S.; Das, D. Impact of network reconfiguration on loss allocation of radial distribution systems. IEEE Trans. Power Deliv. 2007, 22, 2473–2480. [Google Scholar] [CrossRef]
 - Cui, H.; Li, F.; Fang, X.; Long, R. Distribution network reconfiguration with aggregated electric vehicle charging strategy. In Proceedings of the IEEE Power and Energy Society General Meeting, Denver, CO, USA, 26–30 July 2015. [Google Scholar] [CrossRef]
 - Mahmoud, K.; Yorino, N.; Ahmed, A. Optimal Distributed Generation Allocation in Distribution Systems for Loss Minimization. IEEE Trans. Power Syst. 2016, 31, 960–969. [Google Scholar] [CrossRef]
 









| Bus | Pl (kW) | Ql (kW) | Qsh (kVar) | Pg (kW) | Qg (kVar) | V (pu) | (deg) | 
|---|---|---|---|---|---|---|---|
| 1 | 0 | 0 | 0 | 2765.022 | 1856.322 | 1 | 0 | 
| 2 | 100 | 60 | 0 | 0 | 0 | 0.998 | 0.015 | 
| 3 | 90 | 40 | 0 | 0 | 0 | 0.988 | 0.097 | 
| 4 | 120 | 80 | 0 | 0 | 0 | 0.984 | 0.163 | 
| 5 | 60 | 30 | 0 | 0 | 0 | 0.980 | 0.230 | 
| 6 | 60 | 20 | 0 | 0 | 0 | 0.970 | 0.260 | 
| 7 | 200 | 100 | 0 | 0 | 0 | 0.968 | 0.176 | 
| 8 | 200 | 100 | 0 | 0 | 0 | 0.967 | 0.203 | 
| 9 | 60 | 20 | 0 | 0 | 0 | 0.964 | 0.192 | 
| 10 | 60 | 20 | 0 | 0 | 0 | 0.962 | 0.191 | 
| 11 | 45 | 30 | 0 | 0 | 0 | 0.962 | 0.197 | 
| 12 | 60 | 35 | 0 | 0 | 0 | 0.961 | 0.206 | 
| 13 | 60 | 35 | 0 | 0 | 0 | 0.960 | 0.220 | 
| 14 | 120 | 80 | 0 | 0 | 0 | 0.960 | 0.229 | 
| 15 | 60 | 10 | 0 | 0 | 0 | 0.961 | 0.243 | 
| 16 | 60 | 20 | 0 | 0 | 0 | 0.962 | 0.266 | 
| 17 | 60 | 20 | 0 | 0 | 0 | 0.965 | 0.390 | 
| 18 | 90 | 40 | 0 | 0 | 0 | 0.967 | 0.429 | 
| 19 | 90 | 40 | 0 | 0 | 0 | 0.997 | 0.004 | 
| 20 | 90 | 40 | 0 | 0 | 0 | 0.994 | −0.063 | 
| 21 | 90 | 40 | 0 | 0 | 0 | 0.993 | −0.082 | 
| 22 | 90 | 40 | 0 | 0 | 0 | 0.992 | −0.103 | 
| 23 | 90 | 50 | 0 | 0 | 0 | 0.985 | 0.067 | 
| 24 | 420 | 200 | 0 | 0 | 0 | 0.978 | −0.021 | 
| 25 | 420 | 200 | 0 | 0 | 0 | 0.975 | −0.064 | 
| 26 | 60 | 25 | 0 | 0 | 0 | 0.969 | 0.292 | 
| 27 | 60 | 25 | 0 | 0 | 0 | 0.967 | 0.338 | 
| 28 | 60 | 20 | 0 | 0 | 0 | 0.961 | 0.451 | 
| 29 | 120 | 70 | 0 | 0 | 0 | 0.956 | 0.549 | 
| 30 | 200 | 600 | 0 | 0 | 0 | 0.954 | 0.635 | 
| 31 | 150 | 70 | 0 | 0 | 0 | 0.955 | 0.604 | 
| 32 | 210 | 100 | 0 | 0 | 0 | 0.955 | 0.606 | 
| 33 | 60 | 40 | 0 | 0 | 0 | 0.957 | 0.645 | 
| 34 | 0 | 0 | 0 | 240 | 96 | 0.972 | 0.914 | 
| 35 | 0 | 0 | 0 | 400 | 160 | 0.994 | 3.005 | 
| 36 | 0 | 0 | 0 | 400 | 294.341 | 1 | 3.04 | 
| Total | 3715 | 2300 | 0 | 3805.022 | 2406.663 | - | - | 
| Active Power Losses (kW) | Reactive Power Losses (kVar) | |||||||
|---|---|---|---|---|---|---|---|---|
| Bus/Gen | 1 | 34 | 35 | 36 | 1 | 34 | 35 | 36 | 
| 2 | 0.229 | 0 | 0 | 0 | 0.103 | 0 | 0 | 0 | 
| 3 | 1.141 | 0 | 0 | 0 | 0.322 | 0 | 0 | 0 | 
| 4 | 2.179 | 0 | 0 | 0 | 0.951 | 0 | 0 | 0 | 
| 5 | 1.343 | 0 | 0 | 0 | 0.365 | 0 | 0 | 0 | 
| 6 | 1.946 | 0 | 0 | 0 | 0.337 | 0 | 0 | 0 | 
| 7 | 6.846 | 0 | 0 | 0 | 2.631 | 0 | 0 | 0 | 
| 8 | 3.673 | 0.087 | 0 | 0 | 1.893 | 1.413 | 0 | 0 | 
| 9 | 1.163 | 0.151 | 0 | 0 | 0.386 | 0.433 | 0 | 0 | 
| 10 | 1.235 | 0.22 | 0 | 0 | 0.418 | 0.45 | 0 | 0 | 
| 11 | 0.969 | 0.108 | 0 | 0 | 0.709 | 0.39 | 0 | 0 | 
| 12 | 1.297 | 0.179 | 0 | 0 | 0.818 | 0.502 | 0 | 0 | 
| 13 | 1.253 | 0.191 | 0.137 | 0 | 0.844 | 0.483 | 0.203 | 0 | 
| 14 | 0.089 | −0.137 | 1.778 | 0 | 0.92 | 0.136 | 7.62 | 0 | 
| 15 | 0 | 0 | 1.515 | 0 | 0 | 0 | 3.328 | 0 | 
| 16 | 0 | 0 | 0.956 | 0 | 0 | 0 | 3.612 | 0 | 
| 17 | 0 | 0 | 0.824 | 0 | 0 | 0 | 3.41 | 0 | 
| 18 | 0 | 0 | 0.627 | 0 | 0 | 0 | 5.261 | 0 | 
| 19 | 0.243 | 0 | 0 | 0 | 0.101 | 0 | 0 | 0 | 
| 20 | 0.521 | 0 | 0 | 0 | 0.351 | 0 | 0 | 0 | 
| 21 | 0.571 | 0 | 0 | 0 | 0.41 | 0 | 0 | 0 | 
| 22 | 0.615 | 0 | 0 | 0 | 0.468 | 0 | 0 | 0 | 
| 23 | 1.462 | 0 | 0 | 0 | 0.673 | 0 | 0 | 0 | 
| 24 | 9.363 | 0 | 0 | 0 | 4.653 | 0 | 0 | 0 | 
| 25 | 10.665 | 0 | 0 | 0 | 5.672 | 0 | 0 | 0 | 
| 26 | 2.058 | 0 | 0 | 0 | 0.487 | 0 | 0 | 0 | 
| 27 | 2.174 | 0 | 0 | 0 | 0.476 | 0 | 0 | 0 | 
| 28 | 2.617 | 0 | 0 | 0 | 0.326 | 0 | 0 | 0 | 
| 29 | 6.212 | 0 | 0 | 0 | 2.012 | 0 | 0 | 0 | 
| 30 | 15.902 | 0 | 0 | −2.445 | 23.693 | 0 | 0 | 2.549 | 
| 31 | 1.229 | 0 | 0 | 2.691 | −0.272 | 0 | 0 | 8.786 | 
| 32 | 0 | 0 | 0 | 5.227 | 0 | 0 | 0 | 13.945 | 
| 33 | 0 | 0 | 0 | 0.919 | 0 | 0 | 0 | 4.398 | 
| 34 | 0 | 0 | 0 | 0 | 0 | 0 | 0 | 0 | 
| 35 | 0 | 0 | 0 | 0 | 0 | 0 | 0 | 0 | 
| 36 | 0 | 0 | 0 | 0 | 0 | 0 | 0 | 0 | 
| Bus | 1 | 2 | 3 | 4 | 5 | 6 | 7 | 8 | 9 | 
|---|---|---|---|---|---|---|---|---|---|
| V (×10−4 pu) | 0 | 0.001 | 0.007 | 0.011 | 0.015 | 0.022 | 0.020 | 0.018 | 0.023 | 
| (×10−4 deg) | 0 | 0.017 | 0.011 | 0.018 | 0.025 | 0.045 | 0.044 | 0.044 | 0.046 | 
| Bus | 10 | 11 | 12 | 13 | 14 | 15 | 16 | 17 | 18 | 
| V (×10−4 pu) | 0.029 | 0.030 | 0.032 | 0.039 | 0.043 | 0.046 | 0.049 | 0.057 | 0.061 | 
| (×10−4 deg) | 0.049 | 0.049 | 0.049 | 0.053 | 0.055 | 0.057 | 0.058 | 0.064 | 0.066 | 
| Bus | 19 | 20 | 21 | 22 | 23 | 24 | 25 | 26 | 27 | 
| V (×10−4 pu) | 0.001 | 0.001 | 0.001 | 0.001 | 0.007 | 0.007 | 0.007 | 0.025 | 0.029 | 
| (×10−4 deg) | 0.002 | 0.002 | 0.002 | 0.002 | 0.002 | 0.011 | 0.011 | 0.049 | 0.054 | 
| Bus | 28 | 29 | 30 | 31 | 32 | 33 | 34 | 35 | 36 | 
| V (×10−4 pu) | 0.041 | 0.051 | 0.059 | 0.069 | 0.072 | 0.074 | −0.004 | 0.102 | 0 | 
| (×10−4 deg) | 0.082 | 0.104 | 0.113 | 0.142 | 0.152 | 0.166 | −0.014 | 0.131 | 0.562 | 
© 2019 by the authors. Licensee MDPI, Basel, Switzerland. This article is an open access article distributed under the terms and conditions of the Creative Commons Attribution (CC BY) license (http://creativecommons.org/licenses/by/4.0/).
Share and Cite
Li, H.; Cui, H.; Li, C. Distribution Network Power Loss Analysis Considering Uncertainties in Distributed Generations. Sustainability 2019, 11, 1311. https://doi.org/10.3390/su11051311
Li H, Cui H, Li C. Distribution Network Power Loss Analysis Considering Uncertainties in Distributed Generations. Sustainability. 2019; 11(5):1311. https://doi.org/10.3390/su11051311
Chicago/Turabian StyleLi, Hongmei, Hantao Cui, and Chunjie Li. 2019. "Distribution Network Power Loss Analysis Considering Uncertainties in Distributed Generations" Sustainability 11, no. 5: 1311. https://doi.org/10.3390/su11051311
APA StyleLi, H., Cui, H., & Li, C. (2019). Distribution Network Power Loss Analysis Considering Uncertainties in Distributed Generations. Sustainability, 11(5), 1311. https://doi.org/10.3390/su11051311
        
