Levels of Cognitive Congruence between Managers and Team Members’ Perceptions of Cooperation at Work
Abstract
:1. Levels of Congruence and Symmetry in the Perceptions of Cooperation in Workteams
2. Method
2.1. Participants
2.2. Measures
3. Procedures and Data Analysis
4. Results
5. Discussion
Author Contributions
Funding
Acknowledgments
Conflicts of Interest
References
- Gilbert, G.R.; Myrtle, R.C.; Sohi, R.S. Relational behavior of leaders: A comparison by vocational context. J. Leadersh. Organ. Stud. 2015, 22, 149–160. [Google Scholar] [CrossRef]
- Round, J.; Dawis, R.; Lofquist, L. Measurement of person-environment fit and prediction of satisfaction in the theory of work adjustment. J. Vocat. Behav. 1987, 31, 297–318. [Google Scholar] [CrossRef]
- Edwards, J.A. Person job-fit: A conceptual integration, literature review and methodological critique. In International Review of Industrial and Organizational Psychology; Cooper, C.L., Robertson, I.T., Eds.; John Wiley: Oxford, UK, 1991; pp. 283–357. [Google Scholar]
- Li, Z.F. Mutual Monitoring and Corporate Governance. J. Bank. Financ. 2014, 45, 255–269. [Google Scholar]
- Li, Z.F. Mutual Monitoring and Agency Problems. SSRN Electron. J. 2014, 1–40. [Google Scholar] [CrossRef]
- Taylor, D.M.; Brown, R.J. Towards a more social psychology? Br. J. Soc. Clin. Psychol. 1979, 18, 173–180. [Google Scholar] [CrossRef]
- Araújo, D.; Davids, K. Team Synergies in Sport: Theory and Measures. Front. Psychol. 2016. [Google Scholar] [CrossRef]
- Li, Z.F.; Thibodeau, C. CSR-Contingent Executive Compensation Incentive and Earnings Management. Sustainability 2019, 11, 3421. [Google Scholar] [CrossRef]
- Olmedilla, A.; Garcia-Mas, A.; Luo, Y.; Llaneras, C.; Ruiz-Barquín, R.; Fuster-Parra, P. Multilevel psychological analysis for cooperative work teams. In Proceedings of the International Conference on Cooperative Design, Visualization and Engineering, Sydney, Australia, 24–27 October 2016; pp. 322–331. [Google Scholar]
- Lausic, D.; Razon, S.; Tenenbaum, G. Nonverbal sensitivity. Verbal communication and team coordination in tennis doubles. Int. J. Sport Exerc. Psychol. 2015, 13, 398–414. [Google Scholar] [CrossRef]
- López, C.J.; Mohamed, K.M.; El Yousfi, M.M.; Zurita, F.; Martínez, A. Communicative features in basketball coaches from different levels. A Case study. Cult. Cienc. Deporte 2011, 6, 199–206. [Google Scholar]
- Carron, A.V.; Brawley, L.R. Cohesion: Conceptual and measurement issues. Small Group Res. 2000, 31, 89–106. [Google Scholar] [CrossRef]
- Carless, S.A.; De Paola, C. The measurement of cohesion in work teams. Small Group Res. 2000, 31, 78–88. [Google Scholar] [CrossRef]
- Carron, A.V.; Brawley, R.L.; Widmeyer, W.N. The measurement of cohesiveness in sport groups. In Advances in Sport and Exercise Psychology Measurement; Duda, J.L., Ed.; Fitness Information Technology: Morgantown, WV, USA, 1998; pp. 214–226. [Google Scholar]
- García-Mas, A. Cooperation and competition in sportive teams. A preliminary study. An. Psicol. 2001, 1, 115–130. [Google Scholar]
- Rabbie, J.M. Determinants of the intra-group instrumental cooperation. In Cooperation and Prosocial Behavior; Hinde, E.H., Groebel, J., Eds.; Visor Aprendizaje: Madrid, Spain, 1995; pp. 97–131. [Google Scholar]
- Ponseti, F.J.; Garcia-Mas, A.; Palou, P.; Cantallops, J.; Fuster-Parra, P. Self-determined motivation and types of sportive cooperation among players on competitive teams: A Bayesian network analysis. Int. J. Sport Psychol. 2016, 47, 428–442. [Google Scholar]
- Topa-Cantisano, G.; Morales-Domínguez, F. Burnout and team identification: Role of social support in a model of structural equations. Int. J. Clin. Health Psychol. 2006, 7, 337–348. [Google Scholar]
- Rivas, C.; Ponzanelli, R.; De la Llave, A.; Pérez-Llantada, M.C.; Garcia-Mas, A. Individualismo y colectivismo en la relación a la eficacia colectiva percibida en jugadores de fútbol (Individualism and collectivism in relationship with perceived collective efficacy in football players). Rev. Mex. Psicol. 2015, 32, 68–80. [Google Scholar]
- Scandroglio, B.; López-Martínez, J.S.; San José Sebastián, M.C. La Teoría de la Identidad Social: Una síntesis crítica de sus fundamentos, evidencias y controversias (The Social Identity Theory: A critical synthesis of its foundations and controversies). Psicothema 2008, 20, 80–89. [Google Scholar] [PubMed]
- Sousa, C.; Torregrosa, M.; Viladrich, C.; Villamarín, F.; Cruz, J. The commitment of young soccer players. Psicothema 2007, 19, 256–262. [Google Scholar] [PubMed]
- García-Mas, A.; Palou, P.; Gili, M.; Ponseti, X.; Borrás, P.A.; Vidal, J.; Cruz, J.; Torregrosa, M.; Villamarín, F.; Sousa, C. Commitment, enjoyment and motivation in young soccer competitive players. Span. J. Psychol. 2010, 13, 609–616. [Google Scholar] [CrossRef]
- Parsons, F. Choosing a Vocation; Houghton Mifflin Co.: New York, NY, USA; Boston, MA, USA, 1909. [Google Scholar]
- Dawis, R.V.; England, G.; Lofquist, L.H. A Theory of Work Adjustment; University of Minnesota, Industrial Relations Center: Minneapolis, MN, USA, 1964. [Google Scholar]
- Dawis, R.V.; Lofquist, L.H. A Psychological Theory of Work Adjustment: An Individual Differences Model and Its Applications; University of Minnesota Press: Minneapolis, MN, USA, 1984. [Google Scholar]
- Kristof-Brown, A.L. Person-organization fit: An integrative review of its conceptualizations, measurement, and implications. Pers. Psychol. 1996, 49, 1–49. [Google Scholar] [CrossRef]
- Festinger, L. A Theory of Cognitive Dissonance; Stanford University Press: Palo Alto, CA, USA, 1962. [Google Scholar]
- Wingreen, S.C.; Blanton, J.E.; Kittner, M.L.; Fentriss, R.A. Toward a social cognitive basis for the IT professional’s person-organization fit research-in-progress. In Proceedings of the 2003 ACM SIGMIS CPR Conference, Philadelphia, PA, USA, 10–12 April 2003; pp. 179–182. [Google Scholar]
- Erdogan, B.; Kraimer, M.L.; Liden, R.C. Work value congruence and intrinsic career success: The compensatory roles of leader-member exchange and perceived organizational support. Pers. Psychol. 2004, 57, 305–332. [Google Scholar] [CrossRef]
- Kristof-Brown, A.L.; Zimmerman, R.D.; Johnson, E.C. Consequences of individuals’ fit at work: A meta-analysis of person-job, person-organization, person-group, and person-supervisor fit. Pers. Psychol. 2005, 58, 281–342. [Google Scholar] [CrossRef]
- Van Vianen, J.A.E.M. Person-organization fit: The match between newcomer’s and recruiters’ preferences for organizational cultures. Pers. Psychol. 2000, 53, 113–149. [Google Scholar] [CrossRef]
- Wayne, S.J.; Shore, L.M.; Liden, R.C. Perceived organizational support and leader-member exchange: A social exchange perspective. Acad. Manag. J. 1997, 40, 82–111. [Google Scholar] [CrossRef]
- García-Mas, A.; Olmedilla, A.; Morilla, M.; Rivas, C.; García-Quinteiro, E.; Ortega, E. A new model of sportive cooperation and its evaluation with a questionnaire. Psicothema 2006, 18, 425–432. [Google Scholar] [PubMed]
- Tasa, K.; Taggar, S.; Saijts, G.H. The development of collective efficacy in teams: A multilevel and longitudinal perspective. J. Appl. Psychol. 2007, 92, 17–27. [Google Scholar] [CrossRef] [PubMed]
- Ruiz-Barquín, R.; Olmedilla, A.; Fuster-Parra, P.; Ponseti, F.X.; Luo, Y.; Garcia-Mas, A. Team cooperation and its factors: A confirmatory analysis. In Cooperative Design, Visualization and Engineeering CDVE2017; Luo, Y., Ed.; Volume 10451 Series Lecture Notes in Computer Science; Springer: Basel, Switzerland, 2017; pp. 278–289. [Google Scholar]
- Senécal, J.; Loughead, T.M.; Bloom, G.A. A Season-long team-building intervention: Examining the effect of team goal setting on cohesion. J. Sport Exerc. Psychol. 2008, 30, 186–189. [Google Scholar] [CrossRef] [PubMed]
- Coles, J.; Li, Z.F. Managerial Attributes, Incentives, and Performance. SSRN Electron. J. 2013. [Google Scholar] [CrossRef]
- Coles, J.; Li, Z.F. An Empirical Assessment of Empirical Corporate Finance. SSRN Electron. J. 2012. [Google Scholar] [CrossRef]



|
| Factors | M | SD | z | p |
|---|---|---|---|---|
| Cooperative Global Teamwork A | 12.03 | 2.38 | −5.05 | 0.001 *** |
| Cooperative Global Teamwork B | 13.29 | 1.54 | ||
| Team Personal Growing A | 6.30 | 1.54 | −0.40 | 0.692 |
| Team Personal Growing B | 6.35 | 1.42 | ||
| Emotional cooperation A | 3.91 | 0.96 | −3.55 | 0.001 *** |
| Emotional cooperation B | 3.52 | 0.89 | ||
| Conditional cooperation A | 4.17 | 1.07 | −1.16 | 0.248 |
| Conditional cooperation B | 4.27 | 1.06 | ||
| Total Version A (team member) | 26.40 | 3.50 | −2.78 | 0.005 ** |
| Total Version B (manager–coach) | 27.43 | 2.67 |
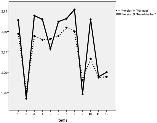
| Items | M | SD | Z | Sig |
|---|---|---|---|---|
| Item 1A | 2.47 | 0.55 | −2.55 | 0.011 * |
| Item 1B | 2.64 | 0.50 | ||
| Item 2A | 1.77 | 0.66 | −122 | 0.222 |
| Item 2B | 1.68 | 0.83 | ||
| Item 3A | 2.44 | 0.65 | −3.55 | 0.001 *** |
| Item 3B | 2.69 | 0.48 | ||
| Item 4A | 2.40 | 0.64 | −3.47 | 0.001 *** |
| Item 4B | 2.65 | 0.57 | ||
| Item 5A | 2.41 | 0.64 | −1.56 | 0.118 |
| Item 5B | 2.29 | 0.76 | ||
| Item 6A | 2.44 | 0.66 | −2.75 | 0.006 ** |
| Item 6B | 2.62 | 0.59 | ||
| Item 7A | 2.55 | 0.65 | −1.91 | 0.056 |
| Item 7B | 2.66 | 0.52 | ||
| Item 8A | 2.50 | 0.59 | −4.23 | 0.001 *** |
| Item 8B | 2.77 | 0.47 | ||
| Item 9A | 1.91 | 0.76 | −2.26 | 0.024 * |
| Item 9B | 1.73 | 0.73 | ||
| Item 10A | 2.17 | 0.77 | −5.29 | 0.001 *** |
| Item 10B | 2.65 | 0.53 | ||
| Item 11A | 1.94 | 0.70 | −0.15 | 0.883 |
| Item 11B | 1.94 | 0.85 | ||
| Item 12A | 1.94 | 0.72 | −0.92 | 0.359 |
| Item 12B | 2.00 | 0.78 |
| Factor 1 A | Factor 2 A | Factor 3 A | Factor 4 A | TOTAL A | |
|---|---|---|---|---|---|
| Factor 1 B | 0.434 *** | 0.125 | −0.109 | −0.034 | 0.307 *** |
| 0 | 0.199 | 0.262 | 0.727 | 0.001 | |
| Factor 2 B | 0.305 *** | 0.580 *** | −0.151 | −0.029 | 0.418 *** |
| 0.001 | 0 | 0.120 | 0.764 | 0 | |
| Factor 3 B | −0.132 | 0.008 | 0.323 *** | 0.001 | 0.009 |
| 0.172 | 0.933 | 0.001 | 0.990 | 0.928 | |
| Factor 4 B | −0.097 | −0.042 | 0.006 | 0.554 *** | 0.081 |
| 0.316 | 0.669 | 0.950 | 0 | 0.406 | |
| TOTAL B | 0.317 *** | 0.364 *** | −0.029 | 0.142 | 0.422 *** |
| 0.001 | 0 | 0.769 | 0.143 | 0 |
| Version A Team Member | Version B Manager | Real Symmetry | ||||
|---|---|---|---|---|---|---|
| Cooperative Global Teamwork | 12.028 | 2.378 | 13.287 | 1.535 | −1.26 | 2.29 |
| Team Personal Growth | 6.296 | 1.542 | 6.352 | 1.416 | −0.06 | 1.379 |
| Emotional Cooperation | 3.9074 | .9623 | 3.519 | .891 | 0.39 | 1.058 |
| Conditional Cooperation | 4.167 | 1.072 | 4.269 | 1.064 | −0.102 | 1.004 |
| Global CWQ | 26.398 | 3.496 | 27.426 | 2.673 | −1.03 | 3.378 |
© 2019 by the authors. Licensee MDPI, Basel, Switzerland. This article is an open access article distributed under the terms and conditions of the Creative Commons Attribution (CC BY) license (http://creativecommons.org/licenses/by/4.0/).
Share and Cite
García-Mas, A.; Núñez Prats, A.; Olmedilla, A.; Ruiz-Barquín, R.; Cantón, E. Levels of Cognitive Congruence between Managers and Team Members’ Perceptions of Cooperation at Work. Sustainability 2019, 11, 6111. https://doi.org/10.3390/su11216111
García-Mas A, Núñez Prats A, Olmedilla A, Ruiz-Barquín R, Cantón E. Levels of Cognitive Congruence between Managers and Team Members’ Perceptions of Cooperation at Work. Sustainability. 2019; 11(21):6111. https://doi.org/10.3390/su11216111
Chicago/Turabian StyleGarcía-Mas, Alexandre, Antonio Núñez Prats, Aurelio Olmedilla, Roberto Ruiz-Barquín, and Enrique Cantón. 2019. "Levels of Cognitive Congruence between Managers and Team Members’ Perceptions of Cooperation at Work" Sustainability 11, no. 21: 6111. https://doi.org/10.3390/su11216111
APA StyleGarcía-Mas, A., Núñez Prats, A., Olmedilla, A., Ruiz-Barquín, R., & Cantón, E. (2019). Levels of Cognitive Congruence between Managers and Team Members’ Perceptions of Cooperation at Work. Sustainability, 11(21), 6111. https://doi.org/10.3390/su11216111

